Late-Time Radio Diagnostics of Magnetar Magnetic Burial and Reemergence in GRB Afterglows
Abstract
1. Introduction
2. Analytical and Numerical Framework for Magnetic-Field Submergence and Reemergence
2.1. Magnetic-Field Submergence Beneath the Magnetar Crust
2.2. Crustal Magnetic-Field Evolution in Millisecond Magnetars
2.2.1. Induction Equation
2.2.2. Characteristic Timescales
2.2.3. Thermal Relaxation and Thermo-Magnetic Feedback
2.2.4. Local Breakthroughs and Feedback
2.2.5. Microphysical Uncertainties: Conductivity, Cooling, and Impurities
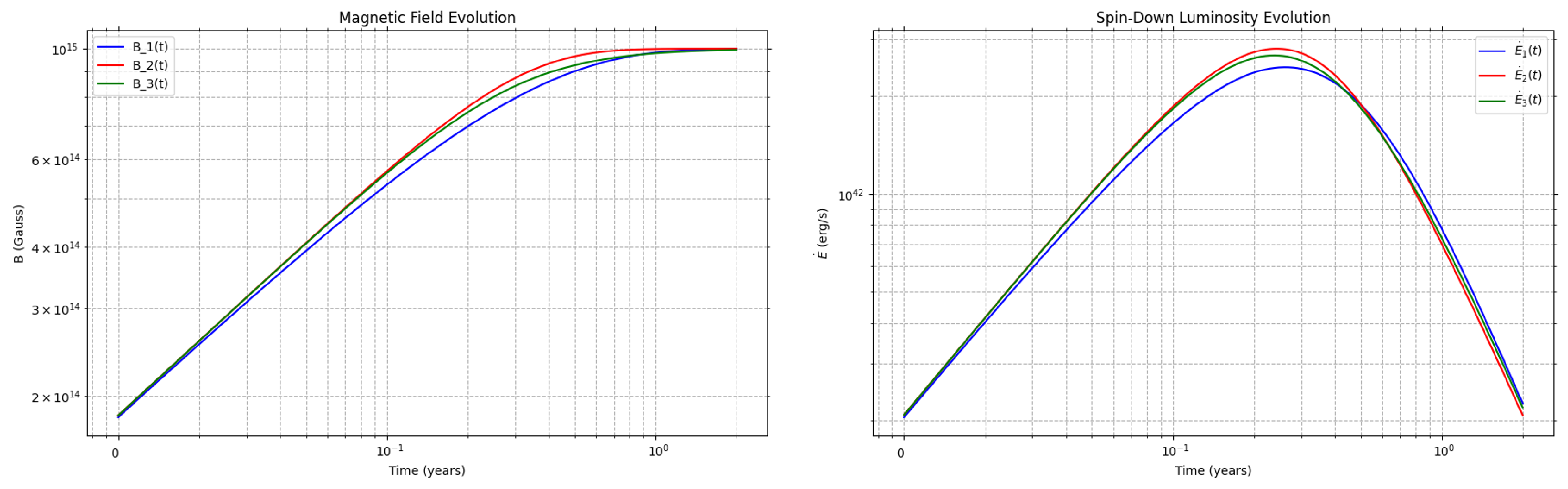
2.3. Magnetic-Field Reemergence: A Unified Parametric Model
2.3.1. Unified Growth Function
2.3.2. Spin-Down with a Time-Dependent Field
2.3.3. Physical Interpretation and Parameter Space
- represents the Hall–Ohm emergence time (Section 2.2.2). Our calibration adopts the regime K introduced by Chamel and Haensel [69] with conductivities – (cgs) appropriate for early, impurity-rich conditions and burial depths informed by the MHD simulations (–1 km). In this regime, decade-scale emergences are natural once Hall transport cascades to small scales ().
- quantifies the relative importance of rapid Hall-driven acceleration versus slower Ohmic relaxation: small yields faster, near-exponential growth; yields slower, power-law–like emergence expected for deeper burial or cooler, purer crusts [56].
- encodes the burial depth set primarily by the fallback mass and the local balance of magnetic and hydrostatic stresses (Section 2.1).
2.3.4. Advantages of the Unified Model
2.3.5. Ejecta–to–Shock Coupling: Minimal Interface
2.3.6. Separable Coupling Ansatz and Its Regime of Validity
3. Theoretical Approach: Dynamics of the GRB Afterglow and Synchrotron Light Curves
3.1. Synchrotron Light Curves Before B-Reemergence
3.2. Light Curves After B-Reemergence
3.3. Analysis of the Light Curves
4. Discussion
5. Gamma-Ray Bursts with Radio Late Observations
5.1. A Sample of Gamma-Ray Bursts
5.1.1. GRB 050709
5.1.2. GRB 050724
5.1.3. GRB 050906
5.1.4. GRB 051221A
5.1.5. GRB 051227
5.1.6. GRB 060313
5.1.7. GRB 060505
5.1.8. GRB 070714B
5.1.9. GRB 070724A
5.1.10. GRB 080121
5.1.11. GRB 080905A
5.1.12. GRB 090510
5.1.13. GRB 090515
5.1.14. GRB 100117A
5.1.15. GRB 100216A
5.1.16. GRB 101219A
5.2. Description
6. Conclusions
- Key outputs and novelty
- We introduce a compact analytic closure for magnetar-field reemergence, encapsulated by a single growth law that reduces crustal microphysics to three observable parameters.
- Closed-form expressions for , , and feed directly into a synchrotron afterglow model, linking internal magnetar evolution to jet-scale energetics without additional nuisance parameters.
- Our framework self-consistently reproduces the timing, flux level, and spectral slope of late-time (–day) cm–mm “bumps”, while remaining agnostic about early X-ray behavior.
- Compared to models without magnetic burial, we obtain order-of-magnitude improvements at day with the addition of only one extra parameter ().
- Constraints from broadband fits (1–100 GHz)
- Emergence timescale: yr; the lower end is Hall–dominated for G, the upper end reflects Ohmic drift at more typical magnetar fields.
- Burial fraction: initial submergence of of the external dipole (), consistent with fallback masses .
- Rebuilt surface field and power: – G and erg s−1, sufficient to account for the observed rebrightenings.
- Robustness: varying the neutron star moment of inertia within modern EoS bounds rescales but shifts by .
- Applications and scope
- We extend the sub-relativistic (deep Newtonian) afterglow formulation of [85], generating light curves when and applying the model to late radio data at 2.1, 1.4, and 6 GHz.
- The parameter space of GRB 050906, GRB 080121, and GRB 100216A is constrained within this unified framework, connecting radio bumps to internal field revival and ejecta–ISM interaction.
- Forecasts: SKA and ngVLA will detect events analogous to at least , offering a decisive test of the buried–magnetar scenario via year-scale, broadly achromatic radio rebrightenings.
- Scope and geometry: should be interpreted as an effective dipolar reemergence timescale. Under strongly hypercritical fallback, the burial outcome is largely insensitive to the seed topology–uniform horizontal/vertical fields, vertical gradients, or loop-like structures–so higher-order multipoles and toroidal flux are phenomenologically absorbed in .
- Microphysics and uncertainties: The effective emergence timescale encapsulates the coupled Hall–Ohm evolution along the cooling history via : cooling lengthens the Ohmic timescale, whereas a higher impurity content (larger ) shortens it. Accordingly, our fits constrain an observationally calibrated , with residual degeneracies against that broadband monitoring, together with VLBI and, when available, polarimetry, can help break.
- Separable coupling and parsimony: We assume a constant coupling efficiency , so the delay kernel alone sets the rebrightening shape and timescale; slow drifts would primarily renormalize the amplitude and leave nearly unchanged at current precision. Our model, therefore, introduces only one physical parameter () relative to no-burial scenarios while delivering order-of-magnitude improvements in fit quality at days, mitigating overfitting concerns.
- Outlook: leveraging source-side delays for future work
- Population inference: Applying the same closure to a nearby controlled GRB sample will yield empirical distributions of and their covariances with the environment () and energetics. This enables testing whether clusters by progenitor channel (collapsars versus mergers) and whether scales with inferred fallback mass.
- Model discrimination: The delay kernel scenario predicts broadly achromatic, year-scale cm–mm bumps with nearly unchanged optically thin spectral index and a single-emergence timescale . This can be contrasted against alternatives (density jumps, refreshed shocks, prolonged fallback without burial), which generically imprint different spectral/temporal couplings and multi-timescale structure. A uniform analysis across events will separate these cases.
- Joint multi-band and imaging tests: Combining 1–100 GHz light curves with VLBI size measurements and late-time calorimetry can break degeneracies between and , anchoring the sub-relativistic dynamics during the deep Newtonian phase. Broadband fits that track the synchrotron peak/SSA evolution provide an internal consistency check of the kernel-driven energy injection.
- Polarization and magnetization probes: If field reemergence drives PWN-like magnetization in the ejecta, low-to-moderate radio linear polarization and modest Faraday rotation trends may appear around (evidencia limitada). Polarimetric monitoring offers an orthogonal test of the mechanism.
- Multi-messenger and context: For mergers that leave long-lived remnants, combining our radio-delay inferences with kilonova ejecta constraints can link to remnant lifetime and composition. In collapsars with SN associations, correlations between and late-time nebular diagnostics (e.g., 56Ni yield) can be explored.
- Forecasts and surveys: The framework yields concrete predictions for detectability with next-generation facilities (e.g., SKA, ngVLA): year-scale, broadly achromatic rebrightenings out to at least the nearby Universe, enabling decisive population tests through regular (monthly) cadence programs.
- Open tools: Releasing the inference pipeline (priors, likelihoods, samplers) and synthetic benchmarks will facilitate reproducibility and enlarge the event pool analyzed under a common delay-kernel framework.
Author Contributions
Funding
Data Availability Statement
Conflicts of Interest
References
- Kumar, P.; Zhang, B. The physics of gamma-ray bursts & relativistic jets. Phys. Rep. 2015, 561, 1–109. [Google Scholar] [CrossRef]
- Piran, T. Gamma-ray bursts and the fireball model. Phys. Rep. 1999, 314, 575–667. [Google Scholar] [CrossRef]
- Metzger, B.D.; Bower, G.C. Constraints on long-lived remnants of neutron star binary mergers from late-time radio observations of short duration gamma-ray bursts. Mon. Not. R. Astron. Soc. 2014, 437, 1821–1827. [Google Scholar] [CrossRef]
- Duncan, R.C.; Thompson, C. Formation of Very Strongly Magnetized Neutron Stars: Implications for Gamma-Ray Bursts. Astrophys. J. Lett. 1992, 392, L9. [Google Scholar] [CrossRef]
- Usov, V.V. Millisecond pulsars with extremely strong magnetic fields as a cosmological source of gamma-ray bursts. Nature 1992, 357, 472–474. [Google Scholar] [CrossRef]
- Thompson, C. A Model of Gamma-Ray Bursts. Mon. Not. R. Astron. Soc. 1994, 270, 480. [Google Scholar] [CrossRef]
- Metzger, B.; Giannios, D.; Thompson, T.; Bucciantini, N.; Quataert, E. The protomagnetar model for gamma-ray bursts. Mon. Not. R. Astron. Soc. 2011, 413, 2031–2056. [Google Scholar] [CrossRef]
- Woosley, S.E. Gamma-Ray Bursts from Stellar Mass Accretion Disks around Black Holes. Astrophys. J. 1993, 405, 273. [Google Scholar] [CrossRef]
- Paczyński, B. Are Gamma-Ray Bursts in Star-Forming Regions? Astrophys. J. Lett. 1998, 494, L45–L48. [Google Scholar] [CrossRef]
- Woosley, S.E.; Bloom, J.S. The Supernova Gamma-Ray Burst Connection. Annu. Rev. Astron. Astrophys. 2006, 44, 507–556. [Google Scholar] [CrossRef]
- MacFadyen, A.I.; Woosley, S.E. Collapsars: Gamma-Ray Bursts and Explosions in “Failed Supernovae”. Astrophys. J. 1999, 524, 262–289. [Google Scholar] [CrossRef]
- Narayan, R.; Paczynski, B.; Piran, T. Gamma-ray bursts as the death throes of massive binary stars. Astrophys. J. Lett. 1992, 395, L83–L86. [Google Scholar] [CrossRef]
- Fryer, C.L.; Woosley, S.E.; Hartmann, D.H. Formation Rates of Black Hole Accretion Disk Gamma-Ray Bursts. Astrophys. J. 1999, 526, 152–177. [Google Scholar] [CrossRef]
- Barkov, M.V.; Komissarov, S.S. Stellar explosions powered by the Blandford-Znajek mechanism. Mon. Not. R. Astron. Soc. 2008, 385, L28–L32. [Google Scholar] [CrossRef]
- Woosley, S.E.; Heger, A. Long Gamma-Ray Transients from Collapsars. Astrophys. J. 2012, 752, 32. [Google Scholar] [CrossRef]
- Chevalier, R.A. Neutron star accretion in a supernova. Astrophys. J. 1989, 346, 847–859. [Google Scholar] [CrossRef]
- Quataert, E.; Kasen, D. Swift 1644+ 57: The longest gamma-ray burst? Mon. Not. R. Astron. Soc. Lett. 2012, 419, L1–L5. [Google Scholar] [CrossRef]
- Piro, A.L.; Ott, C.D. Supernova fallback onto magnetars and propeller-powered supernovae. Astrophys. J. 2011, 736, 108. [Google Scholar] [CrossRef]
- Rowlinson, A.; O’Brien, P.T.; Tanvir, N.R.; Zhang, B.; Evans, P.A.; Lyons, N.; Levan, A.J.; Willingale, R.; Page, K.L.; Onal, O.; et al. The unusual X-ray emission of the short Swift GRB 090515: Evidence for the formation of a magnetar? Mon. Not. R. Astron. Soc. 2010, 409, 531–540. [Google Scholar] [CrossRef]
- Meszaros, P.; Rees, M.J. Gamma-Ray Bursts: Multiwaveband Spectral Predictions for Blast Wave Models. Astrophys. J. Lett. 1993, 418, L59. [Google Scholar] [CrossRef]
- Panaitescu, A.; Kumar, P. Properties of Relativistic Jets in Gamma-Ray Burst Afterglows. Astrophys. J. 2002, 571, 779–789. [Google Scholar] [CrossRef]
- Taylor, G.B.; Frail, D.A.; Berger, E.; Kulkarni, S.R. The Angular Size and Proper Motion of the Afterglow of GRB 030329. Astrophys. J. Lett. 2004, 609, L1–L4. [Google Scholar] [CrossRef]
- Cavallo, G.; Rees, M.J. A qualitative study of cosmic fireballs and gamma -ray bursts. Mon. Not. R. Astron. Soc. 1978, 183, 359–365. [Google Scholar] [CrossRef]
- Waxman, E. Angular Size and Emission Timescales of Relativistic Fireballs. Astrophys. J. Lett. 1997, 491, L19–L22. [Google Scholar] [CrossRef]
- Fraija, N.; Dainotti, M.G.; Betancourt Kamenetskaia, B.; Galván-Gámez, A.; Aguilar-Ruiz, E. Microphysical parameter variation in gamma-ray burst stratified afterglows and closure relations: From sub-GeV to TeV observations. Mon. Not. R. Astron. Soc. 2024, 527, 1884–1909. [Google Scholar] [CrossRef]
- Fraija, N.; Kamenetskaia, B.B.; Gámez, A.G.; Dainotti, M.G.; Vargas, H.L. Closure Relations of Synchrotron Self-Compton from Reverse shock and Fermi-LAT GRBs. Mon. Not. R. Astron. Soc. 2025, 543, 1945–1973. [Google Scholar] [CrossRef]
- Fraija, N.; Betancourt Kamenetskaia, B.; Galván-Gámez, A.; Veres, P.; Becerra, R.L.; Dichiara, S.; Dainotti, M.G.; Lizcano, F.; Aguilar-Ruiz, E. An explanation of GRB Fermi-LAT flares and high-energy photons in stratified afterglows. Mon. Not. R. Astron. Soc. 2024, 527, 1674–1704. [Google Scholar] [CrossRef]
- Sari, R.; Mészáros, P. Impulsive and Varying Injection in Gamma-Ray Burst Afterglows. Astrophys. J. Lett. 2000, 535, L33–L37. [Google Scholar] [CrossRef] [PubMed]
- Nakar, E.; Piran, T.; Granot, J. Variability in GRB Afterglows and GRB 021004. New Astron. 2003, 8, 495–505. [Google Scholar] [CrossRef]
- Uhm, Z.L.; Beloborodov, A.M. On the Mechanism of Gamma-Ray Burst Afterglows. Astrophys. J. Lett. 2007, 665, L93–L96. [Google Scholar] [CrossRef]
- Rossi, E.; Lazzati, D.; Rees, M.J. Afterglow Light Curves, Viewing Angle and the Jet Structure of γ-ray Bursts. Mon. Not. R. Astron. Soc. 2002, 332, 945–950. [Google Scholar] [CrossRef]
- Ryan, G.; van Eerten, H.; MacFadyen, A.; Zhang, B.B. Gamma-Ray Bursts Are Observed Off-axis. Astrophys. J. 2015, 799, 3. [Google Scholar] [CrossRef]
- Fraija, N.; Galvan-Gamez, A.; Betancourt Kamenetskaia, B.; Dainotti, M.G.; Dichiara, S.; Veres, P.; Becerra, R.L.; do E., S. Pedreira, A.C.C. Modeling Gamma-Ray Burst Afterglow Observations with an Off-axis Jet Emission. Astrophys. J. 2022, 940, 189. [Google Scholar] [CrossRef]
- Fraija, N.; Dainotti, M.G.; Levine, D.; Kamenetskaia, B.B.; Galvan-Gamez, A. Off-axis Afterglow Closure Relations and Fermi-LAT Detected Gamma-Ray Bursts. Astrophys. J. 2023, 958, 126. [Google Scholar] [CrossRef]
- Fraija, N.; Kamenetskaia, B.B.; Galván, A.; Montalvo, A.; Do E S Pedreira, A.C.C.; Veres, P.; Becerra, R.L.; Dainotti, M.G.; Dichiara, S.; Vargas, H.L. Late-afterglow Emission from a Quasi-spherical Outflow in a stratified environment. Mon. Not. R. Astron. Soc. 2025. [Google Scholar] [CrossRef]
- Granot, J.; Königl, A.; Piran, T. Implications of the early X-ray afterglow light curves of Swift gamma-ray bursts. Mon. Not. R. Astron. Soc. 2006, 370, 1946–1960. [Google Scholar] [CrossRef]
- Thompson, C.; Duncan, R.C. Neutron Star Dynamos and the Origins of Pulsar Magnetism. Astrophys. J. 1993, 408, 194. [Google Scholar] [CrossRef]
- Geppert, U.; Page, D.; Zannias, T. Central compact objects in supernova remnants. Astron. Astrophys. 1999, 345, 847–854. [Google Scholar]
- Choudhuri, A.R.; Konar, S. Diamagnetic screening of the magnetic field in accreting neutron stars. Mon. Not. R. Astron. Soc. 2002, 332, 933–944. [Google Scholar] [CrossRef]
- Michel, F.C. Magnetic structure of pulsar winds. Astrophys. J. 1994, 431, 397–401. [Google Scholar] [CrossRef]
- Muslimov, A.; Page, D. Magnetic and spin history of very young pulsars. Astrophys. J. 1995, 458, 347. [Google Scholar] [CrossRef]
- Konar, S. Magnetic fields of neutron stars. J. Astrophys. Astron. 2017, 38, 47. [Google Scholar] [CrossRef]
- Vigelius, M.; Melatos, A. Resistive relaxation of a magnetically confined mountain on an accreting neutron star. Mon. Not. R. Astron. Soc. 2009, 395, 1985–1998. [Google Scholar] [CrossRef]
- Li, S.; Beloborodov, A.M. Plastic flow of a neutron star crust mediated by electron captures. Astrophys. J. 2015, 815, 25. [Google Scholar] [CrossRef]
- Gourgouliatos, K.; Cumming, A. Hall effect in neutron star crusts: Evolution, endpoint and dependence on initial conditions. Mon. Not. R. Astron. Soc. 2014, 438, 1618–1629. [Google Scholar] [CrossRef]
- Bernal, C.G.; Page, D.; Lee, W.H. ypercritical accretion onto a newborn neutron star and magnetic field submergence. Astrophys. J. 2013, 770, 106. [Google Scholar] [CrossRef]
- Kasen, D.; Bildsten, L. Supernova Light Curves Powered by Young Magnetars. Astrophys. J. 2010, 717, 245–249. [Google Scholar] [CrossRef]
- Metzger, B.D.; Piro, A.L. Optical and X-ray emission from stable millisecond magnetars formed from the merger of binary neutron stars. Mon. Not. R. Astron. Soc. 2014, 439, 3916–3930. [Google Scholar] [CrossRef]
- Metzger, B.D. Kilonovae. Living Rev. Relativ. 2019, 23, 1. [Google Scholar] [CrossRef]
- Amelino-Camelia, G.; Ellis, J.; Mavromatos, N.E.; Nanopoulos, D.V.; Sarkar, S. Tests of quantum gravity from observations of γ-ray bursts. Nature 1998, 393, 763–765. [Google Scholar] [CrossRef]
- Vasileiou, V.; Jacholkowska, A.; Piron, F.; Bolmont, J.; Couturier, C.; Granot, J.; Stecker, F.W.; Cohen-Tanugi, J.; Longo, F. Constraints on Lorentz invariance violation from Fermi-Large Area Telescope observations of gamma-ray bursts. Phys. Rev. D 2013, 87, 122001. [Google Scholar] [CrossRef]
- Acciari, V.A.; MAGIC Collaboration. Bounds on Lorentz Invariance Violation from MAGIC Observation of GRB 190114C. Phys. Rev. Lett. 2020, 125, 021301. [Google Scholar] [CrossRef] [PubMed]
- Piran, T.; Ofengeim, D.D. Lorentz invariance violation limits from GRB 221009A. Phys. Rev. D 2024, 109, L081501. [Google Scholar] [CrossRef]
- Bernal, C.G.; Lee, W.H.; Page, D. Hypercritical accretion onto a magnetized neutron star surface: A numerical approach. arXiv 2010, arXiv:1006.3003. [Google Scholar] [CrossRef]
- Fraija, N.; Bernal, C.G. Hypercritical accretion phase and neutrino expectation in the evolution of Cassiopeia A. Mon. Not. R. Astron. Soc. 2015, 451, 455–466. [Google Scholar] [CrossRef]
- Viganò, D.; Pons, J.A. Central compact objects and the hidden magnetic field scenario. Mon. Not. R. Astron. Soc. 2012, 425, 2487–2492. [Google Scholar] [CrossRef]
- Fryxell, B.; Olson, K.; Ricker, P.; Timmes, F.X.; Zingale, M.; Lamb, D.; MacNeice, P.; Rosner, R.; Truran, J.; Tufo, H. FLASH: An adaptive mesh hydrodynamics code for modeling astrophysical thermonuclear flashes. Astrophys. J. Suppl. Ser. 2000, 131, 273. [Google Scholar] [CrossRef]
- Haskell, B.; Samuelsson, L.; Glampedakis, K.; Andersson, N. Modelling magnetically deformed neutron stars. Mon. Not. R. Astron. Soc. 2008, 385, 531–542. [Google Scholar] [CrossRef]
- Mukherjee, D. Revisiting field burial by accretion onto neutron stars. J. Astrophys. Astron. 2017, 38, 48. [Google Scholar] [CrossRef]
- Chevalier, R.A.; Emmering, R.T. Are pulsars born as slow rotators? Astrophys. J. 1986, 304, 140–153. [Google Scholar] [CrossRef]
- Perna, R.; Pons, J.A. A Unified Model of the Magnetar and Radio Pulsar Bursting Phenomenology. Astrophys. J. Lett. 2011, 727. [Google Scholar] [CrossRef]
- Goldreich, P.; Reisenegger, A. Magnetic Field Decay in Isolated Neutron Stars. Astrophys. J. 1992, 395, 250–258. [Google Scholar] [CrossRef]
- Potekhin, A.Y.; Pons, J.A.; Page, D. Neutron Stars—Cooling and Transport. Space Sci. Rev. 2015, 191, 239–291. [Google Scholar] [CrossRef]
- Cumming, A.; Arras, P.; Zweibel, E. Magnetic field evolution in neutron star crusts due to the Hall effect and ohmic decay. Astrophys. J. 2004, 609, 999. [Google Scholar] [CrossRef]
- Shalybkov, D.; Urpin, V. Ambipolar diffusion and anisotropy of resistivity in neutron star cores. Mon. Not. R. Astron. Soc. 1995, 273, 643–648. [Google Scholar] [CrossRef]
- Skiathas, D.; Gourgouliatos, K.N. Combined magnetic field evolution in neutron star cores and crusts: Ambipolar diffusion, Hall effect, and Ohmic dissipation. Mon. Not. R. Astron. Soc. 2024, 528, 5178–5188. [Google Scholar] [CrossRef]
- Pons, J.A.; Geppert, U. Magnetic field dissipation in neutron star crusts: From magnetars to isolated neutron stars. Astron. Astrophys. 2007, 470, 303–315. [Google Scholar] [CrossRef]
- Kojima, Y.; Kisaka, S. Magnetic field decay with Hall drift in neutron star crusts. Mon. Not. R. Astron. Soc. 2012, 421, 2722–2730. [Google Scholar] [CrossRef]
- Chamel, N.; Haensel, P. Physics of neutron star crusts. Living Rev. Relativ. 2008, 11, 10. [Google Scholar] [CrossRef]
- Ho, W.C. Evolution of a buried magnetic field in the central compact object neutron stars. Mon. Not. R. Astron. Soc. 2011, 414, 2567–2575. [Google Scholar] [CrossRef]
- Yakovlev, D.; Kaminker, A.; Gnedin, O.Y.; Haensel, P. Neutrino emission from neutron stars. Phys. Rep. 2001, 354, 1–155. [Google Scholar] [CrossRef]
- Aguilera, D.N.; Pons, J.A.; Miralles, J.A. 2D cooling of magnetised neutron stars. Astron. Astrophys. 2008, 486, 255–271. [Google Scholar] [CrossRef]
- Viganò, D.; Rea, N.; Pons, J.A.; Perna, R.; Aguilera, D.N.; Miralles, J.A. Unifying the observational diversity of isolated neutron stars via magneto-thermal evolution models. Mon. Not. R. Astron. Soc. 2013, 434, 123–141. [Google Scholar] [CrossRef]
- Lyutikov, M. Magnetar activity mediated by plastic deformations of neutron star crust. Mon. Not. R. Astron. Soc. 2015, 447, 1407–1417. [Google Scholar] [CrossRef]
- Lander, S.K. Magnetar Field Evolution and Crustal Plasticity. Astrophys. J. Lett. 2016, 824, L21. [Google Scholar] [CrossRef]
- Levin, Y.; Lyutikov, M. On the dynamics of mechanical failures in magnetized neutron star crusts. Mon. Not. R. Astron. Soc. 2012, 427, 1574–1579. [Google Scholar] [CrossRef]
- Chugunov, A.I.; Horowitz, C.J. Breaking stress of neutron star crust. Mon. Not. R. Astron. Soc. Lett. 2010, 407, L54–L58. [Google Scholar] [CrossRef]
- Li, X.; Beloborodov, A.M. Plastic damping of alfvén waves in magnetar flares and delayed afterglow emission. Astrophys. J. 2015, 815, 25. [Google Scholar] [CrossRef]
- Fraija, N.; Bernal, C.; Morales, G.; Negreiros, R. Hypercritical accretion scenario in central compact objects accompanied with an expected neutrino burst. Phys. Rev. D 2018, 98, 083012. [Google Scholar] [CrossRef]
- Metzger, B.; Beniamini, P.; Giannios, D. Effects of Fallback Accretion on Protomagnetar Outflows in Gamma-Ray Bursts and Superluminous Supernovae. Astrophys. J. 2018, 857. [Google Scholar] [CrossRef]
- Suvorov, A.G.; Melatos, A. Recycled pulsars with multipolar magnetospheres from accretion-induced magnetic burial. Mon. Not. R. Astron. Soc. 2020, 499, 3243–3254. [Google Scholar] [CrossRef]
- Troja, E.; Piro, L.; Eerten, H.; Wollaeger, R.T.; Im, M.; Fox, O.D.; Butler, N.R.; Cenko, S.B.; Sakamoto, T.; Fryer, C.L.; et al. The X-ray counterpart to the gravitational-wave event GW170817. Nature 2017, 551, 71–74. [Google Scholar] [CrossRef]
- Hajela, A.; Margutti, R.; Bright, J.; Alexander, K.; Metzger, B.; Nedora, V.; Kathirgamaraju, A.; Margalit, B.; Radice, D.; Guidorzi, C.; et al. Evidence for X-ray emission in excess to the jet-afterglow decay 3.5 yr after the binary neutron star merger GW 170817: A new emission component. Astrophys. J. Lett. 2022, 927, L17. [Google Scholar] [CrossRef]
- Bernal, C.G.; Frajuca, C.; Hirsch, H.D.; Minari, B.; Magalhaes, N.S.; Selbach, L.B. On the overall properties of young neutron stars: An application to the Crab pulsar. Front. Astron. Space Sci. 2024, 11, 1390597. [Google Scholar] [CrossRef]
- Fraija, N.; Bernal, C.G.; Galván-Gámez, A.; Kamenetskaia, B.B.; Dainotti, M.G. Magnetic burial in millisecond magnetars and late GRB afterglow signatures. Mon. Not. R. Astron. Soc. 2025, 541, 1487–1506. [Google Scholar] [CrossRef]
- Tan, J.C.; Matzner, C.D.; McKee, C.F. Trans-Relativistic Blast Waves in Supernovae as Gamma-Ray Burst Progenitors. Astrophys. J. 2001, 551, 946–972. [Google Scholar] [CrossRef]
- Grossman, D.; Korobkin, O.; Rosswog, S.; Piran, T. The long-term evolution of neutron star merger remnants - II. Radioactively powered transients. Mon. Not. R. Astron. Soc. 2014, 439, 757–770. [Google Scholar] [CrossRef]
- Rowlinson, A.; O’brien, P.; Metzger, B.; Tanvir, N.; Levan, A.J. Signatures of magnetar central engines in short GRB light curves. Mon. Not. R. Astron. Soc. 2013, 430, 1061–1087. [Google Scholar] [CrossRef]
- Bernardini, M.; Campana, S.; Ghisellini, G.; d’Avanzo, P.; Burlon, D.; Covino, S.; Ghirlanda, G.; Melandri, A.; Salvaterra, R.; Vergani, S.; et al. How to switch a gamma-ray burst on and off through a magnetar. Astrophys. J. 2013, 775, 67. [Google Scholar] [CrossRef]
- Fraija, N.; Bernal, C.G.; Hidalgo-Gamez, A.M. Signatures of neutrino cooling in the SN1987A scenario. Mon. Not. R. Astron. Soc. 2014, 442, 239–250. [Google Scholar] [CrossRef]
- Dai, Z.G.; Cheng, K.S. Afterglow Emission from Highly Collimated Jets with Flat Electron Spectra: Application to the GRB 010222 Case? Astrophys. J. Lett. 2001, 558, L109–L112. [Google Scholar] [CrossRef]
- Fraija, N.; Dainotti, M.G.; Kamenetskaia, B.B.; Levine, D.; Galvan-Gamez, A. Closure relations of synchrotron self-compton in afterglow-stratified medium and Fermi-LAT detected gamma-ray bursts. Mon. Not. R. Astron. Soc. 2023, 525, 1630–1640. [Google Scholar] [CrossRef]
- Fraija, N.; Dainotti, M.G.; Ugale, S.; Jyoti, D.; Warren, D.C. Synchrotron Self-Compton Afterglow Closure Relations and Fermi-LAT-detected Gamma-Ray Bursts. Astrophys. J. 2022, 934, 188. [Google Scholar] [CrossRef]
- Chevalier, R.A.; Li, Z.Y. Wind Interaction Models for Gamma-Ray Burst Afterglows: The Case for Two Types of Progenitors. Astrophys. J. 2000, 536, 195–212. [Google Scholar] [CrossRef]
- Panaitescu, A.; Mészáros, P. Radiative Regimes in Gamma-Ray Bursts and Afterglows. Astrophys. J. 1998, 501, 772–779. [Google Scholar] [CrossRef]
- Tak, D.; Omodei, N.; Uhm, Z.L.; Racusin, J.; Asano, K.; McEnery, J. Closure Relations of Gamma-Ray Bursts in High Energy Emission. Astrophys. J. 2019, 883, 134. [Google Scholar] [CrossRef]
- Dainotti, M.G.; Omodei, N.; Srinivasaragavan, G.P.; Vianello, G.; Willingale, R.; O’Brien, P.; Nagataki, S.; Petrosian, V.; Nuygen, Z.; Hernandez, X.; et al. On the Existence of the Plateau Emission in High-energy Gamma-Ray Burst Light Curves Observed by Fermi-LAT. Astrophys. J. Suppl. Ser. 2021, 255, 13. [Google Scholar] [CrossRef]
- Dainotti, M.; Levine, D.; Fraija, N.; Warren, D.; Veres, P.; Sourav, S. The Closure Relations in High-Energy Gamma-ray Bursts Detected by Fermi-LAT. Galaxies 2023, 11, 25. [Google Scholar] [CrossRef]
- Ajello, M.; Arimoto, M.; Axelsson, M.; Baldini, L.; Barbiellini, G.; Bastieri, D.; Bellazzini, R.; Bhat, P.N.; Bissaldi, E.; Blandford, R.D.; et al. A Decade of Gamma-Ray Bursts Observed by Fermi-LAT: The Second GRB Catalog. Astrophys. J. 2019, 878, 52. [Google Scholar] [CrossRef]
- Racusin, J.L.; Liang, E.W.; Burrows, D.N.; Falcone, A.; Sakamoto, T.; Zhang, B.B.; Zhang, B.; Evans, P.; Osborne, J. Jet Breaks and Energetics of Swift Gamma-Ray Burst X-Ray Afterglows. Astrophys. J. 2009, 698, 43–74. [Google Scholar] [CrossRef]
- Srinivasaragavan, G.P.; Dainotti, M.G.; Fraija, N.; Hernandez, X.; Nagataki, S.; Lenart, A.; Bowden, L.; Wagner, R. On the Investigation of the Closure Relations for Gamma-Ray Bursts Observed by Swift in the Post-plateau Phase and the GRB Fundamental Plane. Astrophys. J. 2020, 903, 18. [Google Scholar] [CrossRef]
- Dainotti, M.G.; Lenart, A.Ł.; Fraija, N.; Nagataki, S.; Warren, D.C.; De Simone, B.; Srinivasaragavan, G.; Mata, A. Closure relations during the plateau emission of Swift GRBs and the fundamental plane. Publ. Astron. Soc. Jpn. 2021, 73, 970–1000. [Google Scholar] [CrossRef]
- Oates, S.R.; Page, M.J.; De Pasquale, M.; Schady, P.; Breeveld, A.A.; Holland, S.T.; Kuin, N.P.M.; Marshall, F.E. A correlation between the intrinsic brightness and average decay rate of Swift/UVOT gamma-ray burst optical/ultraviolet light curves. Mon. Not. R. Astron. Soc. 2012, 426, L86–L90. [Google Scholar] [CrossRef]
- Yost, S.A.; Harrison, F.A.; Sari, R.; Frail, D.A. A Study of the Afterglows of Four Gamma-Ray Bursts: Constraining the Explosion and Fireball Model. Astrophys. J. 2003, 597, 459–473. [Google Scholar] [CrossRef]
- Kumar, P.; Panaitescu, A. A unified treatment of the gamma-ray burst 021211 and its afterglow. Mon. Not. R. Astron. Soc. 2003, 346, 905–914. [Google Scholar] [CrossRef]
- Ioka, K.; Toma, K.; Yamazaki, R.; Nakamura, T. Efficiency crisis of swift gamma-ray bursts with shallow X-ray afterglows: Prior activity or time-dependent microphysics? A&A 2006, 458, 7–12. [Google Scholar] [CrossRef]
- Fan, Y.; Piran, T. Gamma-ray burst efficiency and possible physical processes shaping the early afterglow. Mon. Not. R. Astron. Soc. 2006, 369, 197–206. [Google Scholar] [CrossRef]
- Panaitescu, A.; Mészáros, P.; Burrows, D.; Nousek, J.; Gehrels, N.; O’Brien, P.; Willingale, R. Evidence for chromatic X-ray light-curve breaks in Swift gamma-ray burst afterglows and their theoretical implications. Mon. Not. R. Astron. Soc. 2006, 369, 2059–2064. [Google Scholar] [CrossRef]
- Ioka, K. Coherent Radiation in Gamma-Ray Bursts and Relativistic Collisionless Shocks. Prog. Theor. Phys. 2005, 114, 1317–1322. [Google Scholar] [CrossRef]
- Lemoine, M. Synchrotron signature of a relativistic blast wave with decaying microturbulence. Mon. Not. R. Astron. Soc. 2013, 428, 845–866. [Google Scholar] [CrossRef]
- Fraija, N.; Laskar, T.; Dichiara, S.; Beniamini, P.; Duran, R.B.; Dainotti, M.G.; Becerra, R.L. GRB Fermi-LAT Afterglows: Explaining Flares, Breaks, and Energetic Photons. Astrophys. J. 2020, 905, 112. [Google Scholar] [CrossRef]
- Kong, S.W.; Wong, A.Y.L.; Huang, Y.F.; Cheng, K.S. Variation of microphysics in wind bubbles: An alternative mechanism for explaining the rebrightenings in Gamma-ray burst afterglows. Mon. Not. R. Astron. Soc. 2010, 402, 409–416. [Google Scholar] [CrossRef]
- Dichiara, S.; Troja, E.; O’Connor, B.; Marshall, F.E.; Beniamini, P.; Cannizzo, J.K.; Lien, A.Y.; Sakamoto, T. Short gamma-ray bursts within 200 Mpc. Mon. Not. R. Astron. Soc. 2020, 492, 5011–5022. [Google Scholar] [CrossRef]
- Lien, A.; Sakamoto, T.; Barthelmy, S.D.; Baumgartner, W.H.; Cannizzo, J.K.; Chen, K.; Collins, N.R.; Cummings, J.R.; Gehrels, N.; Krimm, H.A.; et al. The Third Swift Burst Alert Telescope Gamma-Ray Burst Catalog. Astrophys. J. 2016, 829, 7. [Google Scholar] [CrossRef]
- Abac, A.G.; Abbott, R.; Abouelfettouh, I.; Acernese, F.; Ackley, K.; Adhicary, S.; Adhikari, N.; Ligo Scientific Collaboration; VIRGO Collaboration; Kagra Collaboration. Observation of Gravitational Waves from the Coalescence of a 2.5–4.5 M ⊙ Compact Object and a Neutron Star. Astrophys. J. Lett. 2024, 970, L34. [Google Scholar] [CrossRef]
- Roberts, O.; Veres, P.; Baring, M.; Briggs, M.; Kouveliotou, C.; Bissaldi, E.; Younes, G.; Chastain, S.; DeLaunay, J.; Huppenkothen, D.; et al. Rapid spectral variability of a giant flare from a magnetar in NGC 253. Nature 2021, 589, 207–210. [Google Scholar] [CrossRef] [PubMed]
- Gao, H.; Ding, X.H.; Wu, X.; Dai, Z.; Zhang, B. GRB 080503 LATE AFTERGLOW RE-BRIGHTENING: SIGNATURE OF A MAGNETAR-POWERED MERGER-NOVA. Astrophys. J. 2015, 807, 163. [Google Scholar] [CrossRef]
- Lü, H.J.; Zhang, B. A test of the millisecond magnetar central engine model of gamma-ray bursts with swift data. Astrophys. J. 2014, 785, 74. [Google Scholar] [CrossRef]
- Li, L.; Wu, X.F.; Lei, W.H.; Dai, Z.G.; Liang, E.W.; Ryde, F. Constraining the Type of Central Engine of GRBs with Swift Data. Astrophys. J. Suppl. Ser. 2018, 236, 26. [Google Scholar] [CrossRef]
- Hurley, K.; Boggs, S.E.; Smith, D.M.; Duncan, R.C.; Lin, R.; Zoglauer, A.; Krucker, S.; Hurford, G.; Hudson, H.; Wigger, C.; et al. An exceptionally bright flare from SGR 1806-20 and the origins of short-duration γ-ray bursts. Nature 2005, 434, 1098–1103. [Google Scholar] [CrossRef]
- Villasenor, J.S.; Lamb, D.Q.; Ricker, G.R.; Atteia, J.L.; Kawai, N.; Butler, N.; Nakagawa, Y.; Jernigan, J.G.; Boer, M.; Crew, G.B.; et al. Discovery of the short γ-ray burst GRB 050709. Nature 2005, 437, 855–858. [Google Scholar] [CrossRef] [PubMed]
- Butler, N.; Ricker, G.; Atteia, J.L.; Kawai, N.; Lamb, D.; Woosley, S.; Arimoto, M.; Donaghy, T.; Fenimore, E.; Galassi, M.; et al. GRB050709: A possible short-hard GRB localized by HETE. GRB Coord. Netw. 2005, 3570, 1. [Google Scholar]
- Morgan, A.; Grupe, D.; Gronwall, C.; Racusin, J.; Falcone, A.; Marshall, F.; Chester, M.; Gehrels, N. GRB 050709: Swift UVOT and XRT observations. GRB Coord. Netw. 2005, 3577, 1. [Google Scholar]
- Covino, S.; Malesani, D.; Israel, G.L.; D’Avanzo, P.; Antonelli, L.A.; Chincarini, G.; Fugazza, D.; Conciatore, M.L.; Della Valle, M.; Fiore, F.; et al. Optical emission from GRB 050709: A short/hard GRB in a star-forming galaxy. A&A 2006, 447, L5–L8. [Google Scholar] [CrossRef]
- Krimm, H.; Barbier, L.; Barthelmy, S.; Cummings, J.; Fenimore, E.; Gehrels, N.; Hinshaw, D.; Hullinger, D.; Markwardt, C.; McLean, K.; et al. GRB050724: Refined analysis of the Swift-BAT possible short burst. GRB Coord. Netw. 2005, 3667, 1. [Google Scholar]
- Campana, S.; Tagliaferri, G.; Lazzati, D.; Chincarini, G.; Covino, S.; Page, K.; Romano, P.; Moretti, A.; Cusumano, G.; Mangano, V.; et al. The X-ray afterglow of the short gamma ray burst 050724. A&A 2006, 454, 113–117. [Google Scholar] [CrossRef]
- Prochaska, J.X.; Bloom, J.S.; Chen, H.W.; Hansen, B.; Kalirai, J.; Rich, M.; Richer, H. GRB 050724: Secure host redshift from Keck. GRB Coord. Netw. 2005, 3700, 1. [Google Scholar]
- Krimm, H.; La Parola, V.; de Pasquale, M.; Barthelmy, S.; Blustin, A.; Burrows, D.; Gehrels, N.; Gronwall, C.; Pagani, C.; Page, K. GRB 050906: Swift/BAT detection of a possible burst. GRB Coord. Netw. 2005, 3926, 1. [Google Scholar]
- Cameron, P.B.; Frail, D.A. GRB 050906. summary of radio observations. GRB Coord. Netw. 2005, 4060, 1. [Google Scholar]
- Levan, A.; Tanvir, N. GRB 050906: Bright galaxy in BAT error box. GRB Coord. Netw. 2005, 3927, 1. [Google Scholar]
- Parsons, A.; Barthelmy, S.; Burrows, D.; Capalbi, M.; Cummings, J.; Gehrels, N.; Gronwall, C.; Krimm, H.; Markwardt, C.; Marshall, F.; et al. GRB 051221: Swift detection of a bright short burst. GRB Coord. Netw. 2005, 4363, 1. [Google Scholar]
- Grupe, D.; Burrows, D.N.; Patel, S. GRB 051221A: Chandra afterglow position. GRB Coord. Netw. 2005, 4389, 1. [Google Scholar]
- Soderberg, A.M.; Berger, E.; Kasliwal, M.; Frail, D.A.; Price, P.A.; Schmidt, B.P.; Kulkarni, S.R.; Fox, D.B.; Cenko, S.B.; Gal-Yam, A.; et al. The Afterglow, Energetics, and Host Galaxy of the Short-Hard Gamma-Ray Burst 051221a. Astrophys. J. 2006, 650, 261–271. [Google Scholar] [CrossRef]
- Barbier, L.; Barthelmy, S.; Beardmore, A.; Burrows, D.; Cummings, J.; Falcone, A.; Gehrels, N.; Page, K.; Retter, A.; Roming, P.; et al. GRB 051227: Swift detection of a burst. GRB Coord. Netw. 2005, 4397, 1. [Google Scholar]
- Beardmore, A.; Burrows, D.N.; Page, K.; Marshall, F.; Chester, M. GRB 051227: XRT refined analysis. GRB Coord. Netw. 2005, 4402, 1. [Google Scholar]
- D’Avanzo, P.; Malesani, D.; Covino, S.; Piranomonte, S.; Grazian, A.; Fugazza, D.; Margutti, R.; D’Elia, V.; Antonelli, L.A.; Campana, S.; et al. The optical afterglows and host galaxies of three short/hard gamma-ray bursts. A&A 2009, 498, 711–721. [Google Scholar] [CrossRef]
- Pagani, C.; Burrows, D. GRB 060313: Swift XRT position. GRB Coord. Netw. 2006, 4870, 1. [Google Scholar]
- Roming, P.W.A.; Vanden Berk, D.; Pal’shin, V.; Pagani, C.; Norris, J.; Kumar, P.; Krimm, H.; Holland, S.T.; Gronwall, C.; Blustin, A.J.; et al. GRB 060313: A New Paradigm for Short-Hard Bursts? Astrophys. J. 2006, 651, 985–993. [Google Scholar] [CrossRef]
- Pagani, C.; Barthelmy, S.; Cummings, J.; Gehrels, N.; Grupe, D.; Holland, S.T.; Hunsberger, S.; Markwardt, C.; Marshall, F.; Palmer, D. GRB 060313: Swift-BAT detection of a bright short hard burst. GRB Coord. Netw. 2006, 4867, 1. [Google Scholar]
- Pagani, C.; Morris, D.; Grupe, D.; Burrows, D. GRB 060313: Swift-XRT team refined analysis. GRB Coord. Netw. 2006, 4875, 1. [Google Scholar]
- Hullinger, D.; Barbier, L.; Barthelmy, S.; Cummings, J.; Fenimore, E.; Gehrels, N.; Krimm, H.; Koss, M.; Markwardt, C.; Palmer, D.; et al. GRB 060505 BAT refined analysis. GRB Coord. Netw. 2006, 5142, 1. [Google Scholar]
- Palmer, D.; Cummings, J.; Stamatikos, M.; Markwardt, C.; Sakamoto, T. GRB 060505: Swift-BAT detection of a weak burst. GRB Coord. Netw. 2006, 5076, 1. [Google Scholar]
- Ofek, E.O.; Cenko, S.B.; Gal-Yam, A.; Fox, D.B.; Nakar, E.; Rau, A.; Frail, D.A.; Kulkarni, S.R.; Price, P.A.; Schmidt, B.P.; et al. GRB 060505: A Possible Short-Duration Gamma-Ray Burst in a Star-forming Region at a Redshift of 0.09. Astrophys. J. 2007, 662, 1129–1135. [Google Scholar] [CrossRef]
- Racusin, J.L.; Barthelmy, S.D.; Burrows, D.N.; Chester, M.M.; Gehrels, N.; Krimm, H.A.; Palmer, D.M.; Sakamoto, T. GRB 070714: Swift detection of a bright burst, possibly short. GRB Coord. Netw. 2006, 6020, 1. [Google Scholar]
- Gao, H.; Zhang, B.; Lü, H.J.; Li, Y. Searching for Magnetar-powered Merger-novae from Short GRBS. Astrophys. J. 2017, 837, 50. [Google Scholar] [CrossRef]
- Graham, J.F.; Fruchter, A.S.; Levan, A.J.; Melandri, A.; Kewley, L.J.; Levesque, E.M.; Nysewander, M.; Tanvir, N.R.; Dahlen, T.; Bersier, D.; et al. GRB 070714B—Discovery of the Highest Spectroscopically Confirmed Short Burst Redshift. Astrophys. J. 2009, 698, 1620–1629. [Google Scholar] [CrossRef]
- Ziaeepour, H.; Barthelmy, S.D.; Parsons, A.; Page, K.L.; de Pasquale, M.; Schady, P. Final Swift observations of GRB 070724A. GCN Rep. 2007, 74, 2. [Google Scholar]
- Berger, E.; Cenko, S.B.; Fox, D.B.; Cucchiara, A. Discovery of the Very Red Near-Infrared and Optical Afterglow of the Short-Duration GRB 070724A. Astrophys. J. 2009, 704, 877–882. [Google Scholar] [CrossRef]
- Berger, E. The Host Galaxies of Short-Duration Gamma-Ray Bursts: Luminosities, Metallicities, and Star-Formation Rates. Astrophys. J. 2009, 690, 231–237. [Google Scholar] [CrossRef]
- Cummings, J.R.; Palmer, D.M. GRB 080121: Swift-BAT detection of a very weak, short burst. GRB Coord. Netw. 2008, 7209, 1. [Google Scholar]
- Troja, E.; Burrows, D.N. GRB 080121: Upper limit on X-ray afterglow. GRB Coord. Netw. 2008, 7224, 1. [Google Scholar]
- Perley, D.A.; Foley, R.J.; Bloom, J.S. GRB 080121: Nearby SDSS galaxies. GRB Coord. Netw. 2008, 7210, 1. [Google Scholar]
- Pagani, C.; Baumgartner, W.H.; Beardmore, A.P.; Chester, M.M.; Cummings, J.R.; Evans, P.A.; Gehrels, N.; Grupe, D.; Holland, S.T.; Krimm, H.A.; et al. GRB 080905: Swift detection of a probably-short burst. GRB Coord. Netw. 2008, 8180, 1. [Google Scholar]
- Cummings, J.; Barthelmy, S.D.; Baumgartner, W.; Fenimore, E.; Gehrels, N.; Krimm, H.; Markwardt, C.; Palmer, D.; Pagani, C.; Sakamoto, T.; et al. RB 080905A, Swift-BAT refined analysis. GRB Coord. Netw. 2008, 8187, 1. [Google Scholar]
- Rowlinson, A.; Wiersema, K.; Levan, A.J.; Tanvir, N.R.; O’Brien, P.T.; Rol, E.; Hjorth, J.; Thöne, C.C.; de Ugarte Postigo, A.; Fynbo, J.P.U.; et al. Discovery of the afterglow and host galaxy of the low-redshift short GRB 080905A. Mon. Not. R. Astron. Soc. 2010, 408, 383–391. [Google Scholar] [CrossRef]
- Guiriec, S.; Connaughton, V.; Briggs, M. GRB 090510: Fermi GBM detection. GRB Coord. Netw. 2009, 9336, 1. [Google Scholar]
- Hoversten, E.A.; Barthelmy, S.D.; Burrows, D.N.; Chester, M.M.; Grupe, D.; Kennea, J.A.; Krimm, H.A.; Kuin, N.P.M.; Palmer, D.M.; Ukwatta, T.N. GRB 090510: Swift detection of a short hard burst. GRB Coord. Netw. 2009, 9331, 1. [Google Scholar]
- Ohno, M.; Pelassa, V. Fermi LAT detection of GRB 090510. GRB Coord. Netw. 2009, 9334, 1. [Google Scholar]
- Rau, A.; McBreen, S.; Kruehler, T.; Greiner, J. GRB090510: VLT/FORS2 spectroscopic redshift. GRB Coord. Netw. 2009, 9353, 1. [Google Scholar]
- Beardmore, A.P.; Kennea, J.A.; Markwardt, C.B.; O’Brien, P.T.; Page, K.L.; Palmer, D.M.; Rowlinson, B.A.; Siegel, M.H.; Stamatikos, M.; Ukwatta, T.N. GRB 090515: Swift detection of a short burst. GRB Coord. Netw. 2009, 9356, 1. [Google Scholar]
- Osborne, J.P.; Beardmore, A.P.; Evans, P.A.; Goad, M.R. GRB 090515: Enhanced Swift-XRT position. GRB Coord. Netw. 2009, 9367, 1. [Google Scholar]
- Barthelmy, S.D.; Baumgartner, W.H.; Beardmore, A.P.; Cummings, J.R.; Fenimore, E.E.; Gehrels, N.; Krimm, H.A.; Markwardt, C.B.; Palmer, D.M.; Sakamoto, T.; et al. GRB 090515: Swift-BAT refined analysis. GRB Coord. Netw. 2009, 9364, 1. [Google Scholar]
- Fong, W.; Berger, E. The Locations of Short Gamma-Ray Bursts as Evidence for Compact Object Binary Progenitors. Astrophys. J. 2013, 776, 18. [Google Scholar] [CrossRef]
- de Pasquale, M.; Barthelmy, S.D.; Burrows, D.N.; Campana, S.; Curran, P.A.; Gehrels, N.; Holland, S.T.; Kennea, J.A.; Krimm, H.A.; Mangano, V.; et al. GRB 100117A: Swift detection of a short hard burst. GRB Coord. Netw. 2010, 10336, 1. [Google Scholar]
- Paciesas, W. GRB 100117A: Fermi GBM detection. GRB Coord. Netw. 2010, 10345, 1. [Google Scholar]
- Fong, W.; Berger, E.; Chornock, R.; Tanvir, N.R.; Levan, A.J.; Fruchter, A.S.; Graham, J.F.; Cucchiara, A.; Fox, D.B. The Optical Afterglow and z = 0.92 Early-type Host Galaxy of the Short GRB 100117A. Astrophys. J. 2011, 730, 26. [Google Scholar] [CrossRef]
- Cummings, J.R.; Barthelmy, S.D.; Fox, D.B.; Gehrels, N.; Krimm, H.A.; Palmer, D.M. GCN 10428. GRB Coord. Netw. 2010, 10428, 1. [Google Scholar]
- Rowlinson, A.; Page, K.; Lyons, N. GCN 10435. GRB Coord. Netw. 2010, 10435, 1. [Google Scholar]
- Siegel, M.H.; Rowlinson, A. GCN 10442. GRB Coord. Netw. 2010, 10442, 1. [Google Scholar]
- Gelbord, J.M.; Barthelmy, S.D.; Chester, M.M.; Evans, P.A.; Gehrels, N.; Grupe, D.; Hoversten, E.A.; Kennea, J.A.; Marshall, F.E.; Palmer, D.M.; et al. GRB 101219A: Swift detection of a short hard burst. GRB Coord. Netw. 2010, 11461, 1. [Google Scholar]
- Krimm, H.A.; Barthelmy, S.D.; Baumgartner, W.H.; Cummings, J.R.; Gehrels, N.; Gelbord, J.M.; Markwardt, C.B.; Palmer, D.M.; Sakamoto, T.; Stamatikos, M.; et al. GRB 101219A: Swift-BAT refined analysis. GRB Coord. Netw. 2010, 11467, 1. [Google Scholar]
- Fong, W.; Berger, E.; Chornock, R.; Margutti, R.; Levan, A.J.; Tanvir, N.R.; Tunnicliffe, R.L.; Czekala, I.; Fox, D.B.; Perley, D.A.; et al. Demographics of the Galaxies Hosting Short-duration Gamma-Ray Bursts. Astrophys. J. 2013, 769, 56. [Google Scholar] [CrossRef]
- Fong, W.; Metzger, B.D.; Berger, E.; Özel, F. Radio Constraints on Long-lived Magnetar Remnants in Short Gamma-Ray Bursts. Astrophys. J. 2016, 831, 141. [Google Scholar] [CrossRef]
- Horesh, A.; Hotokezaka, K.; Piran, T.; Nakar, E.; Hancock, P. Testing the Magnetar Model via a Late-time Radio Observations of Two Macronova Candidates. Astrophys. J. Lett. 2016, 819, L22. [Google Scholar] [CrossRef]
- Ricci, R.; Troja, E.; Bruni, G.; Matsumoto, T.; Piro, L.; O’Connor, B.; Piran, T.; Navaieelavasani, N.; Corsi, A.; Giacomazzo, B.; et al. Searching for the radio remnants of short-duration gamma-ray bursts. Mon. Not. R. Astron. Soc. 2021, 500, 1708–1720. [Google Scholar] [CrossRef]









| Frequency Range | |||
|---|---|---|---|
| Frequency Range | |||
|---|---|---|---|
Disclaimer/Publisher’s Note: The statements, opinions and data contained in all publications are solely those of the individual author(s) and contributor(s) and not of MDPI and/or the editor(s). MDPI and/or the editor(s) disclaim responsibility for any injury to people or property resulting from any ideas, methods, instructions or products referred to in the content. |
© 2025 by the authors. Licensee MDPI, Basel, Switzerland. This article is an open access article distributed under the terms and conditions of the Creative Commons Attribution (CC BY) license (https://creativecommons.org/licenses/by/4.0/).
Share and Cite
Fraija, N.; Bernal, C.G.; Galván, A.; Kamenetskaia, B.B.; Dainotti, M.G. Late-Time Radio Diagnostics of Magnetar Magnetic Burial and Reemergence in GRB Afterglows. Galaxies 2025, 13, 127. https://doi.org/10.3390/galaxies13060127
Fraija N, Bernal CG, Galván A, Kamenetskaia BB, Dainotti MG. Late-Time Radio Diagnostics of Magnetar Magnetic Burial and Reemergence in GRB Afterglows. Galaxies. 2025; 13(6):127. https://doi.org/10.3390/galaxies13060127
Chicago/Turabian StyleFraija, Nissim, C. G. Bernal, A. Galván, B. Betancourt Kamenetskaia, and M. G. Dainotti. 2025. "Late-Time Radio Diagnostics of Magnetar Magnetic Burial and Reemergence in GRB Afterglows" Galaxies 13, no. 6: 127. https://doi.org/10.3390/galaxies13060127
APA StyleFraija, N., Bernal, C. G., Galván, A., Kamenetskaia, B. B., & Dainotti, M. G. (2025). Late-Time Radio Diagnostics of Magnetar Magnetic Burial and Reemergence in GRB Afterglows. Galaxies, 13(6), 127. https://doi.org/10.3390/galaxies13060127

