Sign in to use this feature.

Years

Between: -

Subjects

remove_circle_outline
remove_circle_outline
remove_circle_outline
remove_circle_outline
remove_circle_outline
remove_circle_outline
remove_circle_outline
remove_circle_outline
remove_circle_outline

Journals

remove_circle_outline
remove_circle_outline
remove_circle_outline
remove_circle_outline
remove_circle_outline
remove_circle_outline
remove_circle_outline

Article Types

Countries / Regions

remove_circle_outline
remove_circle_outline
remove_circle_outline
remove_circle_outline

Search Results (411)

Search Parameters:
Keywords = partial correlation network

Order results
Result details
Results per page
Select all
Export citation of selected articles as:
26 pages, 2826 KB  
Article
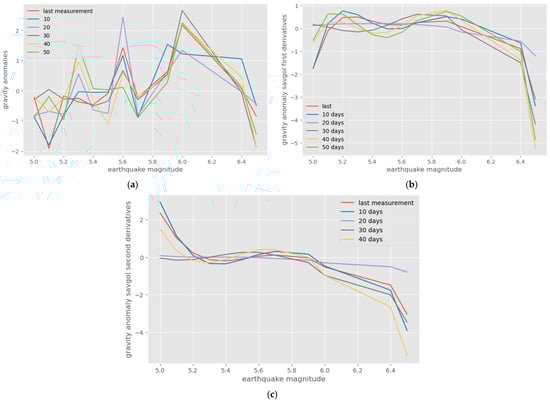
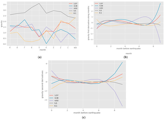
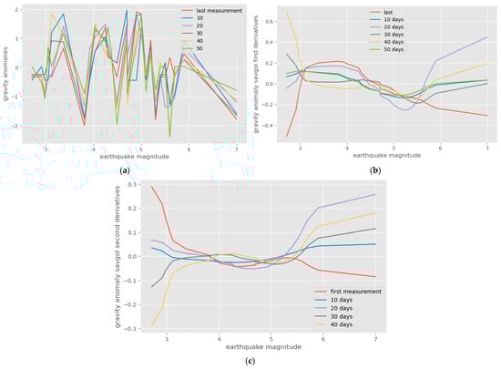
A Correlation Between Earthquake Magnitude and Pre-Seismic Gravity Field Variations over Its Epicenter
by Chrysanthi Chariskou, Eleni Vrochidou and George A. Papakostas
Appl. Sci. 2025, 15(20), 11126; https://doi.org/10.3390/app152011126 - 17 Oct 2025
Viewed by 35
Abstract
Earthquakes are the result of complex interactions between tectonic plates, the mantle, and the lithosphere. Complex geodynamic conditions contribute to the occurrence of seismic phenomena. Tectonic plates can collide, move apart, or slide past each other. Mantle convection by internal heat drives plate [...] Read more.
Earthquakes are the result of complex interactions between tectonic plates, the mantle, and the lithosphere. Complex geodynamic conditions contribute to the occurrence of seismic phenomena. Tectonic plates can collide, move apart, or slide past each other. Mantle convection by internal heat drives plate motions that deform the lithosphere. Rocks deform elastically as stress accumulates and pore fluid pressure changes. Rupture occurs when stress exceeds frictional resistance. The connection between variations in gravity and the magnitude of earthquakes remains unclear. This work aims to examine aspects of this correlation. Three sets of earthquakes, one with events from all over the world, one from broader Greece, and one from the Hellenic Trench in Greece, aiming to cover all cases of geodynamics, from very different to very similar, were employed. Time series of gravity measurements at earthquake epicenters were extracted from GRACE satellite data. Time derivatives of the gravity field, as well as magnitude-dependent variations—reflecting changes relative to earthquake strength—were computed. Multiple linear regression (MLR), partial least squares (PLS) regression, and neural networks (NN) were used to model the relationship between gravity or its derivatives and earthquake magnitude. A correlation between the earthquake magnitude and magnitude derivatives was found. By using the global and Greek datasets, the best accuracy was obtained with MLR, reporting a mean squared error (MSE) of 0.069 with an R2 of 0.979, and MSE was 0.011 with R2 score of 0.997, respectively. By using the Hellenic Trench set, PLS regression derived the best correlation results, reporting an MSE of 0.004 and an R2 of 0.977. Experimental results suggest that gravity, and therefore crustal density, is related to the magnitude of the impending earthquake, but not to its timing. Full article
(This article belongs to the Special Issue Machine Learning Approaches for Seismic Data Analysis)
Show Figures

Figure 1

11 pages, 3639 KB  
Article
Sensitivity of Peru’s Economic Growth Rate to Regional Climate Variability
by Mark R. Jury
Climate 2025, 13(10), 216; https://doi.org/10.3390/cli13100216 - 17 Oct 2025
Viewed by 116
Abstract
The macro-economic growth rate of Peru is analyzed for sensitivity to climatic conditions. Year-on-year fluctuations in the inflation-adjusted gross domestic product (GDP) per capita over the period 1970–2024 are subjected to correlation and composite statistical methods. Upturns relate to cool east Pacific La [...] Read more.
The macro-economic growth rate of Peru is analyzed for sensitivity to climatic conditions. Year-on-year fluctuations in the inflation-adjusted gross domestic product (GDP) per capita over the period 1970–2024 are subjected to correlation and composite statistical methods. Upturns relate to cool east Pacific La Niña, downturns with warm El Niño. Composites are analyzed by subtracting upper and lower terciles, representing a difference of ~USD 40 B at current value. These reveal how the regional climate exerts a partial influence among external factors. During the austral summer with southeasterly winds over the east Pacific, sea temperatures undergo a 2.5 °C cooling. Consequently, atmospheric subsidence draws humid air from the Amazon toward the Peruvian highlands, improving crop production. Dry weather along the coast sustains transportation networks and urban infrastructure, ensuring good economic performance over the year. The opposing influence of El Niño is built into the statistics. A multi-variate algorithm is developed to predict changes in the Peru growth rate. Austral summer winds and subsurface temperatures over the tropical east Pacific account for a modest 23% of year-on-year variance. Although external factors and the varied landscape weaken macro-economic links with climate, our predictors significantly improve on traditional indices: SOI and Nino3. Adaptive measures are suggested to take advantage of Southern Oscillation’s influence on Peru’s economy. Full article
(This article belongs to the Section Climate and Economics)
Show Figures

Figure 1

36 pages, 5903 KB  
Article
Impact of Post-Traumatic Stress Disorder Duration on Volumetric and Microstructural Parameters of the Hippo-Campus, Amygdala, and Prefrontal Cortex: A Multiparametric Magnetic Resonance Imaging Study with Correlation Analysis
by Barbara Paraniak-Gieszczyk and Ewa Alicja Ogłodek
J. Clin. Med. 2025, 14(20), 7242; https://doi.org/10.3390/jcm14207242 - 14 Oct 2025
Viewed by 211
Abstract
Introduction. Post-traumatic stress disorder (PTSD) remains one of the best-described yet also one of the most heterogeneous psychiatric disorders. Existing neuroimaging studies point to key changes in the hippocampus, amygdala, and prefrontal cortex, but the role of PTSD duration in modulating these changes [...] Read more.
Introduction. Post-traumatic stress disorder (PTSD) remains one of the best-described yet also one of the most heterogeneous psychiatric disorders. Existing neuroimaging studies point to key changes in the hippocampus, amygdala, and prefrontal cortex, but the role of PTSD duration in modulating these changes has not been fully explained. Objectives. The aim of the study was to assess the impact of PTSD duration (≤5 years vs. >5 years) on volumetric and microstructural brain parameters, using multiple Magnetic Resonance Imaging (MRI) sequences (3D Ax BRAVO, Cube T2 FLAIR, Diffusion Tensor Imaging—DTI) and a set of macroscopic morphometric measurements. Methods. The study included 92 participants: 33 with PTSD of ≤5 years duration, 31 with PTSD > 5 years, and 28 healthy controls. Volume and diffusion parameters of six Regions of Interest (ROIs) (hippocampus, amygdala, prefrontal cortex—right and left) were evaluated, along with their associations with nine brain measurements (including width of the third ventricle, corpus callosum, and lateral fissures). Statistical analyses included the Kruskal–Wallis test with Compact Letter Display (CLD) correction and Spearman correlations. Results. (1) The volume of the right hippocampus was significantly greater in the PTSD > 5 years group compared to controls (p = 0.006), with intermediate values in the PTSD ≤ 5 years group. (2) In the left amygdala, an increase in Fractional Anisotropy (FA) and related anisotropy measures was observed in PTSD > 5 years (p ≈ 0.02), without volumetric changes. (3) In the left prefrontal cortex, diffusivity was reduced in PTSD ≤ 5 years (p = 0.035), partially normalizing after >5 years. (4) Correlation analysis revealed that chronic PTSD strengthens the negative associations between hippocampal microstructure and both the width of the amygdala and the interhemispheric fissure, indicating a progressive reorganization of fronto-limbic networks. Conclusions. PTSD induces region- and time-dependent brain changes: (a) adaptive/hypertrophic protection of the right hippocampus after many years of illness, (b) cumulative microstructural reorganization of the left amygdala, and (c) transient impairment of diffusion in the left prefrontal cortex in early PTSD. These findings highlight the necessity of considering the temporal dimension in planning therapeutic interventions and in the search for biomarkers of PTSD progression. Full article
(This article belongs to the Section Clinical Neurology)
Show Figures

Figure 1

41 pages, 12462 KB  
Article
Real-Time Efficient Approximation of Nonlinear Fractional-Order PDE Systems via Selective Heterogeneous Ensemble Learning
by Biao Ma and Shimin Dong
Fractal Fract. 2025, 9(10), 660; https://doi.org/10.3390/fractalfract9100660 - 13 Oct 2025
Viewed by 164
Abstract
Rod-pumping systems represent complex nonlinear systems. Traditional soft-sensing methods used for efficiency prediction in such systems typically rely on complicated fractional-order partial differential equations, severely limiting the real-time capability of efficiency estimation. To address this limitation, we propose an approximate efficiency prediction model [...] Read more.
Rod-pumping systems represent complex nonlinear systems. Traditional soft-sensing methods used for efficiency prediction in such systems typically rely on complicated fractional-order partial differential equations, severely limiting the real-time capability of efficiency estimation. To address this limitation, we propose an approximate efficiency prediction model for nonlinear fractional-order differential systems based on selective heterogeneous ensemble learning. This method integrates electrical power time-series data with fundamental operational parameters to enhance real-time predictive capability. Initially, we extract critical parameters influencing system efficiency using statistical principles. These primary influencing factors are identified through Pearson correlation coefficients and validated using p-value significance analysis. Subsequently, we introduce three foundational approximate system efficiency models: Convolutional Neural Network-Echo State Network-Bidirectional Long Short-Term Memory (CNN-ESN-BiLSTM), Bidirectional Long Short-Term Memory-Bidirectional Gated Recurrent Unit-Transformer (BiLSTM-BiGRU-Transformer), and Convolutional Neural Network-Echo State Network-Bidirectional Gated Recurrent Unit (CNN-ESN-BiGRU). Finally, to balance diversity among basic approximation models and predictive accuracy, we develop a selective heterogeneous ensemble-based approximate efficiency model for nonlinear fractional-order differential systems. Experimental validation utilizing actual oil-well parameters demonstrates that the proposed approach effectively and accurately predicts the efficiency of rod-pumping systems. Full article
Show Figures

Figure 1

21 pages, 7305 KB  
Article
Integration of Physiological and Transcriptomic Analyses Provides Insights into the Regulatory Mechanisms of Adventitious Root Formation in Phoebe bournei Cuttings
by Yuhua Li, Haining Xu, Yongjie Zheng, Chenglin Luo, Yueting Zhang, Xinliang Liu and Yanfang Wu
Horticulturae 2025, 11(10), 1238; https://doi.org/10.3390/horticulturae11101238 - 13 Oct 2025
Viewed by 424
Abstract
Phoebe bournei is an important economic tree species in China, its large-scale propagation is limited by the difficulty of adventitious root (AR) formation in cuttings. In this study, morphological, physiological, and transcriptomic analyses were conducted to investigate the process of AR formation in [...] Read more.
Phoebe bournei is an important economic tree species in China, its large-scale propagation is limited by the difficulty of adventitious root (AR) formation in cuttings. In this study, morphological, physiological, and transcriptomic analyses were conducted to investigate the process of AR formation in P. bournei. The results showed that ARs mainly originated from callus tissue. During AR formation, soluble sugar and soluble protein contents changed significantly. Malondialdehyde (MDA) and oxygen free radicals (OFRs) peaked at first sampling stage (PB0), while the activities of polyphenol oxidase (PPO) and indoleacetic acid oxidase (IAAO) exhibited similar patterns. Lignin content increased during callus induction stage, whereas phenolic content continuously declined throughout rooting. Endogenous hormone levels also changed markedly, and Orthogonal partial least squares discriminant analysis (OPLS-DA) analysis indicated that indole-3-acetic acid (IAA) and abscisic acid (ABA) played dominant roles in this process. KEGG enrichment analysis revealed significant enrichment of the phenylpropanoid biosynthesis pathway in all three comparison groups. A total of 48 differentially expressed genes (DEGs) were enriched in plant hormone signal transduction pathways, with 22 and 14 genes associated with IAA and ABA signaling, respectively. Weighted gene co-expression network analysis (WGCNA) further identified two hub modules related to IAA and ABA contents, including eight hub genes such as D6PKL1 and ISTL1. Correlation analysis revealed that the hub genes D6PKL1 and HSP were significantly positively correlated with IAA4 in the IAA signaling pathway. Overall, this study provides new insights into the mechanisms underlying AR formation in P. bournei cuttings and offers a theoretical basis for optimizing its clonal propagation system. Full article
(This article belongs to the Section Propagation and Seeds)
Show Figures

Figure 1

21 pages, 5810 KB  
Article
Investigating Seasonal Water Quality Dynamics in Humid, Subtropical Louisiana Facultative Waste Stabilization Ponds
by Mason Marcantel, Mahathir Bappy and Michael Hayes
Water 2025, 17(20), 2936; https://doi.org/10.3390/w17202936 - 11 Oct 2025
Viewed by 291
Abstract
Waste stabilization ponds (WSPs) in humid, subtropical climates rely on stable temperatures and mechanical aeration to promote microbial activity. These critical infrastructures can lack operational resources to ensure efficient treatment, which can impact downstream communities. This study aims to use remote water quality [...] Read more.
Waste stabilization ponds (WSPs) in humid, subtropical climates rely on stable temperatures and mechanical aeration to promote microbial activity. These critical infrastructures can lack operational resources to ensure efficient treatment, which can impact downstream communities. This study aims to use remote water quality sensor data to establish trends in a yearly dataset and correlate various water quality parameters for simplistic identification of pond health. A facultative WSP was monitored in two stages: the primary settling over a period of 14 months to evaluate partially treated water, and the secondary treatment pond for a period of 11 months to monitor final stage water quality parameters. A statistical analysis was performed on the measured parameters (dissolved oxygen, temperature, conductivity, pH, turbidity, nitrate, and ammonium) to establish a comprehensive yearly, seasonal, and monthly dataset to show fluctuations in water parameter correlations. Standard relationships in dissolved oxygen, conductivity, pH, and temperature were traced during the seasonal fluctuations, which provided insight into nitrogen processing by microbial communities. During this study, the summer period showed the most variability, specifically a deviation in the dissolved oxygen and temperature relationship from a yearly moderate negative correlation (−0.593) to a moderate positive correlation (0.459), indicating a direct relationship. The secondary treatment pond data showed more nitrogen species correlation, which can indicate final cycling during seasonal transitions. Understanding pond dynamics can lead to impactful, proactive operational decisions to address pond imbalance or chemical dosing for final treatment. By establishing parameter correlations, facilities with WSPs can strategically integrate sensor networks for real-time pond health and treatment efficiency monitoring during seasonal fluctuations. Full article
(This article belongs to the Section Wastewater Treatment and Reuse)
Show Figures

Figure 1

19 pages, 4391 KB  
Article
Brassinosteroid Synthesis and Perception Differently Regulate Phytohormone Networks in Arabidopsis thaliana
by Yaroslava Bukhonska, Michael Derevyanchuk, Roberta Filepova, Jan Martinec, Petre Dobrev, Eric Ruelland and Volodymyr Kravets
Int. J. Mol. Sci. 2025, 26(19), 9644; https://doi.org/10.3390/ijms26199644 - 2 Oct 2025
Viewed by 320
Abstract
Brassinosteroids (BRs) are essential regulators of plant development and stress responses, but the distinct contributions of BR biosynthesis and signaling to hormonal crosstalk remain poorly defined. Here, we investigated the effects of the BR biosynthesis inhibitor brassinazole (BRZ) and the BR-insensitive mutant bri1-6 [...] Read more.
Brassinosteroids (BRs) are essential regulators of plant development and stress responses, but the distinct contributions of BR biosynthesis and signaling to hormonal crosstalk remain poorly defined. Here, we investigated the effects of the BR biosynthesis inhibitor brassinazole (BRZ) and the BR-insensitive mutant bri1-6 on endogenous phytohormone profiles in Arabidopsis thaliana. Using multivariate analysis and targeted hormone quantification, we show that BRZ treatment and BRI1 disruption alter hormone balance through partially overlapping but mechanistically distinct pathways. Principal component analysis (PCA) and hierarchical clustering revealed that BRZ and the bri1-6 mutation do not phenocopy each other and that BRZ still alters hormone profiles even in the bri1-6 mutant, suggesting potential BRI1-independent effects. Both BRZ treatment and the bri1-6 mutation tend to influence cytokinins and auxin conjugates divergently. On the contrary, their effects on stress-related hormones converge: BRZ decreases salicylic acid (SA), jasmonic acid (JA), and abscisic acid (ABA) in the WT leaves; similarly, bri1-6 mutants show reduced SA, JA, and ABA. These results indicate that BR biosynthesis and BRI1-mediated perception may contribute independently to hormonal reprogramming, with BRZ eliciting additional effects, possibly via metabolic feedback, compensatory signaling, or off-target action. Hormone correlation analyses revealed conserved co-regulation clusters that reflect underlying regulatory modules. Altogether, our findings provide evidence for a partial uncoupling of BR levels and BR signaling and illustrate how BR pathways intersect with broader hormone networks to coordinate growth and stress responses. Full article
(This article belongs to the Special Issue Emerging Insights into Phytohormone Signaling in Plants)
Show Figures

Figure 1

18 pages, 748 KB  
Review
Statistical Methods for Multi-Omics Analysis in Neurodevelopmental Disorders: From High Dimensionality to Mechanistic Insight
by Manuel Airoldi, Veronica Remori and Mauro Fasano
Biomolecules 2025, 15(10), 1401; https://doi.org/10.3390/biom15101401 - 2 Oct 2025
Viewed by 661
Abstract
Neurodevelopmental disorders (NDDs), including autism spectrum disorder, intellectual disability, and attention-deficit/hyperactivity disorder, are genetically and phenotypically heterogeneous conditions affecting millions worldwide. High-throughput omics technologies—transcriptomics, proteomics, metabolomics, and epigenomics—offer a unique opportunity to link genetic variation to molecular and cellular mechanisms underlying these disorders. [...] Read more.
Neurodevelopmental disorders (NDDs), including autism spectrum disorder, intellectual disability, and attention-deficit/hyperactivity disorder, are genetically and phenotypically heterogeneous conditions affecting millions worldwide. High-throughput omics technologies—transcriptomics, proteomics, metabolomics, and epigenomics—offer a unique opportunity to link genetic variation to molecular and cellular mechanisms underlying these disorders. However, the high dimensionality, sparsity, batch effects, and complex covariance structures of omics data present significant statistical challenges, requiring robust normalization, batch correction, imputation, dimensionality reduction, and multivariate modeling approaches. This review provides a comprehensive overview of statistical frameworks for analyzing high-dimensional omics datasets in NDDs, including univariate and multivariate models, penalized regression, sparse canonical correlation analysis, partial least squares, and integrative multi-omics methods such as DIABLO, similarity network fusion, and MOFA. We illustrate how these approaches have revealed convergent molecular signatures—synaptic, mitochondrial, and immune dysregulation—across transcriptomic, proteomic, and metabolomic layers in human cohorts and experimental models. Finally, we discuss emerging strategies, including single-cell and spatially resolved omics, machine learning-driven integration, and longitudinal multi-modal analyses, highlighting their potential to translate complex molecular patterns into mechanistic insights, biomarkers, and therapeutic targets. Integrative multi-omics analyses, grounded in rigorous statistical methodology, are poised to advance mechanistic understanding and precision medicine in NDDs. Full article
(This article belongs to the Section Bioinformatics and Systems Biology)
Show Figures

Figure 1

29 pages, 30391 KB  
Article
Fixel-Based White Matter Correlates of Sentence Comprehension in Post-Stroke Aphasia
by Dongxiang Fang, Xiangtong Ji, Haozheng Li, Shuqi Xu, Yalan Yang, Jiayun Zhan, Anthony Pak-Hin Kong and Ruiping Hu
Brain Sci. 2025, 15(10), 1039; https://doi.org/10.3390/brainsci15101039 - 25 Sep 2025
Viewed by 465
Abstract
Background/Objectives: Auditory sentence comprehension often remains impaired in individuals with post-stroke aphasia despite recovery in word-level comprehension. Neuroimaging studies have identified a left perisylvian network, especially temporal regions, as central to sentence comprehension, while the role of left frontal areas and specific white [...] Read more.
Background/Objectives: Auditory sentence comprehension often remains impaired in individuals with post-stroke aphasia despite recovery in word-level comprehension. Neuroimaging studies have identified a left perisylvian network, especially temporal regions, as central to sentence comprehension, while the role of left frontal areas and specific white matter tracts remains debated. This study uses advanced fixel-based analysis (FBA) of diffusion MRI to precisely map white matter alterations related to complex sentence comprehension deficits in subacute Mandarin-speaking aphasic patients, addressing gaps from prior voxel-based and English-specific research. Methods: Twenty-three right-handed native Mandarin speakers with subacute (1–6 months post-onset) single left-hemisphere strokes underwent diffusion MRI. Standard preprocessing and FBA were conducted. Whole-brain linear regression assessed associations between fiber density and cross-section (FDC) and non-canonical sentence comprehension, controlling for age, education, time post-stroke, and verb comprehension. Mean FDC was calculated for each tract containing at least one significant fixel identified by FBA. Partial Spearman’s correlations examined relationships between mean FDC values within these tracts and comprehension accuracy for each sentence type, controlling for the same covariates. Results: Canonical sentences were comprehended significantly better than non-canonical sentences. FBA identified significant positive correlations between FDC and non-canonical sentence comprehension in the left superior longitudinal fasciculus (SLF II and SLF III), arcuate fasciculus (AF), middle longitudinal fasciculus, inferior fronto-occipital fasciculus, and the isthmus and splenium of the corpus callosum. Fiber density reduction primarily drove reductions in FDC, whereas reductions in fiber cross-section were limited to dorsal tracts (SLF III and AF). Conclusions: This study highlights a distributed left perisylvian white matter network critical for complex sentence comprehension in Mandarin speakers, refining neurocognitive models by identifying specific white matter substrates and demonstrating FBA’s utility in aphasia research. Full article
(This article belongs to the Special Issue Latest Research on the Treatments of Speech and Language Disorders)
Show Figures

Figure 1

20 pages, 1844 KB  
Article
Detection of Rice Prolamin and Glutelin Content Using Hyperspectral Imaging Combined with Feature Selection Algorithms and Multivariate Regression Models
by Chu Zhang, Zhongjie Tang, Xiaojing Tan, Hengnian Qi, Xincheng Zhang and Shanlin Ma
Foods 2025, 14(19), 3304; https://doi.org/10.3390/foods14193304 - 24 Sep 2025
Viewed by 304
Abstract
Prolamin and glutelin are the major constituents of rice protein. The rapid and non-destructive detection of prolamin and glutelin content is conducive to the accurate assessment of rice quality. In this study, hyperspectral imaging combined with regression models and feature wavelength selection was [...] Read more.
Prolamin and glutelin are the major constituents of rice protein. The rapid and non-destructive detection of prolamin and glutelin content is conducive to the accurate assessment of rice quality. In this study, hyperspectral imaging combined with regression models and feature wavelength selection was employed to detect the rice prolamin and glutelin content. Feature wavelength selection was achieved using the successive projections algorithm (SPA), competitive adaptive reweighted sampling (CARS), and convolutional neural network (CNN)-based Gradient-weighted Class Activation Mapping++ (GradCAM++). Partial least squares regression (PLSR), support vector regression (SVR), back-propagation neural network (BPNN), and CNN models were established using the full spectra and the feature wavelengths. The BPNN models showed the best prediction performance for prolamin and glutelin. The optimal BPNN models achieved a correlation coefficient (r) greater than 0.8 for both proteins. Performance differences were observed between models using feature wavelengths and those using the full spectra. The GradCAM++ method was used to select feature wavelengths with different threshold values, and the performance of different threshold values were compared. The results demonstrated that hyperspectral imaging with multivariate data analysis was feasible for predicting the rice prolamin and glutelin content. This study provided a methodological reference for detecting prolamin and glutelin in rice, as well as the other protein types. Full article
(This article belongs to the Section Food Analytical Methods)
Show Figures

Figure 1

19 pages, 2794 KB  
Article
Estimating Soil Moisture Content in Winter Wheat in Southern Xinjiang by Fusing UAV Texture Feature with Novel Three-Dimensional Texture Indexes
by Tao Sun, Zhijun Li, Zijun Tang, Wei Zhang, Wangyang Li, Zhiying Liu, Jinqi Wu, Shiqi Liu, Youzhen Xiang and Fucang Zhang
Plants 2025, 14(19), 2948; https://doi.org/10.3390/plants14192948 - 23 Sep 2025
Viewed by 345
Abstract
Winter wheat is a major staple crop worldwide, and real-time monitoring of soil moisture content (SMC) is critical for yield security. Targeting the monitoring needs under arid conditions in southern Xinjiang, this study proposes a UAV multispectral-based SMC estimation method that constructs novel [...] Read more.
Winter wheat is a major staple crop worldwide, and real-time monitoring of soil moisture content (SMC) is critical for yield security. Targeting the monitoring needs under arid conditions in southern Xinjiang, this study proposes a UAV multispectral-based SMC estimation method that constructs novel three-dimensional (3-D) texture indices. Field experiments were conducted over two consecutive growing seasons in Kunyu City, southern Xinjiang, China, with four irrigation and four fertilization levels. High-resolution multispectral imagery was acquired at the jointing stage using a UAV-mounted camera. From the imagery, conventional texture features were extracted, and six two-dimensional (2-D) and four 3-D texture indices were constructed. A correlation matrix approach was used to screen feature combinations significantly associated with SMC. Random forest (RF), partial least squares regression (PLSR), and back-propagation neural networks (BPNN) were then used to develop SMC models for three soil depths (0–20, 20–40, and 40–60 cm). Results showed that estimation accuracy for the shallow layer (0–20 cm) was markedly higher than for the middle and deep layers. Under single-source input, using 3-D texture indices (Combination 3) with RF achieved the best shallow-layer performance (validation R2 = 0.827, RMSE = 0.534, MRE = 2.686%). With multi-source fusion inputs (Combination 7: texture features + 2-D texture indices + 3-D texture indices) combined with RF, shallow-layer SMC estimation further improved (R2 = 0.890, RMSE = 0.395, MRE = 1.91%). Relative to models using only conventional texture features, fusion increased R2 by approximately 11.4%, 11.7%, and 18.1% for the shallow, middle, and deep layers, respectively. The findings indicate that 3-D texture indices (e.g., DTTI), which integrate multi-band texture information, more comprehensively capture canopy spatial structure and are more sensitive to shallow-layer moisture dynamics. Multi-source fusion provides complementary information and substantially enhances model accuracy. The proposed approach offers a new pathway for accurate SMC monitoring in arid croplands and is of practical significance for remote sensing-based moisture estimation and precision irrigation. Full article
Show Figures

Figure 1

28 pages, 6560 KB  
Article
SPI-Informed Drought Forecasts Integrating Advanced Signal Decomposition and Machine Learning Models
by Anwar Ali Aldhafeeri, Mumtaz Ali, Mohsin Khan and Abdulhaleem H. Labban
Water 2025, 17(18), 2747; https://doi.org/10.3390/w17182747 - 17 Sep 2025
Viewed by 577
Abstract
Drought is an extremely terrifying environmental calamity, causing declining agricultural production, escalating food prices, water scarcity, soil erosion, increased wildfire risks, and changes in ecosystem. Drought data is noisy and poses challenges to accurate forecasts due to it being nonstationary and non-linear. This [...] Read more.
Drought is an extremely terrifying environmental calamity, causing declining agricultural production, escalating food prices, water scarcity, soil erosion, increased wildfire risks, and changes in ecosystem. Drought data is noisy and poses challenges to accurate forecasts due to it being nonstationary and non-linear. This research aims to construct a contemporary and novel approach termed as TVFEMD-GPR, crossbreeding time varying filter-based empirical mode decomposition (TVFEMD) and gaussian process regression (GPR), to model multi-scaler standardized precipitation index (SPI) to forecast droughts. At first, the statistically significant lags at (t − 1) were computed via partial auto-correlation function (PACF). In the second step, the TVFEMD splits the (t − 1) lag into several factors named as intrinsic mode functions (IMFs) and residual components. The third step is the final step, where the GPR model took the IMFs and residual as input predictors to forecast one-month SPI (SPI1), three-months SPI (SPI3), six-months SPI (SPI6), and twelve-months SPI1 (SPI12) for Mackay and Springfield stations in Australia. To benchmark the new TVFEMD-GPR model, the long short-term memory (LSTM), boosted regression tree (BRT), and cascaded forward neural network (CFNN) were also developed to assess their accuracy in drought forecasting. Moreover, the TVFEMD was integrated to create TVFEMD-LSTM, TVFEMD-BRT, and TVFEMD-CFNN models to forecast multi-scaler SPI where the TVFEMD-GPR surpassed all comparable models in both stations. The outcomes proved that the TVFEMD-GPR outperformed comparable models by acquiring ENS = 0.5054, IA = 0.8082, U95% = 1.8943 (SPI1), ENS = 0.6564, IA = 0.8893, U95% = 1.5745(SPI3), ENS = 0.8237, IA = 0.9502, U95% = 1.1123 (SPI6), and ENS = 0.9285, IA = 0.9813, U95% = 0.7228 (SPI12) for Mackay Station. For Station 2 (Springfield), the TVFEMD-GPR obtained these metrics as ENS = 0.5192, IA = 0.8182, U95% = 1.9100 (SPI1), ENS = 0.6716, IA = 0.8953, U95% = 1.5163 (SPI3), ENS = 0.8289, IA = 0.9534, U95% = 1.1296 (SPI6), and ENS = 0.9311, IA = 0.9829, and U95% = 0.7695 (SPI12). The research exhibits the practicality of the TVFEMD-GPR model to anticipate drought events, minimize their impacts, and implement timely mitigation strategies. Moreover, the TVFEMD-GPR can assist in early warning systems, better water management, and reducing economic losses. Full article
Show Figures

Figure 1

17 pages, 3815 KB  
Article
LMeRAN: Label Masking-Enhanced Residual Attention Network for Multi-Label Chest X-Ray Disease Aided Diagnosis
by Hongping Fu, Chao Song, Xiaolong Qu, Dongmei Li and Lei Zhang
Sensors 2025, 25(18), 5676; https://doi.org/10.3390/s25185676 - 11 Sep 2025
Viewed by 529
Abstract
Chest X-ray (CXR) imaging is essential for diagnosing thoracic diseases, and computer-aided diagnosis (CAD) systems have made substantial progress in automating the interpretation of CXR images. However, some existing methods often overemphasize local features while neglecting global context, limiting their ability to capture [...] Read more.
Chest X-ray (CXR) imaging is essential for diagnosing thoracic diseases, and computer-aided diagnosis (CAD) systems have made substantial progress in automating the interpretation of CXR images. However, some existing methods often overemphasize local features while neglecting global context, limiting their ability to capture the broader pathological landscape. Moreover, most methods fail to model label correlations, leading to insufficient utilization of prior knowledge. To address these limitations, we propose a novel multi-label CXR image classification framework, termed the Label Masking-enhanced Residual Attention Network (LMeRAN). Specifically, LMeRAN introduces an original label-specific residual attention to capture disease-relevant information effectively. By integrating multi-head self-attention with average pooling, the model dynamically assigns higher weights to critical lesion areas while retaining global contextual features. In addition, LMeRAN employs a label mask training strategy, enabling the model to learn complex label dependencies from partially available label information. Experiments conducted on the large-scale public dataset ChestX-ray14 demonstrate that LMeRAN achieves the highest mean AUC value of 0.825, resulting in an increase of 3.1% to 8.0% over several advanced baselines. To enhance interpretability, we also visualize the lesion regions relied upon by the model for classification, providing clearer insights into the model’s decision-making process. Full article
(This article belongs to the Special Issue Vision- and Image-Based Biomedical Diagnostics—2nd Edition)
Show Figures

Figure 1

38 pages, 861 KB  
Article
Advancing Sustainability in Meat Cold Chains: Adoption Determinants of Real-Time Visibility Technologies in Australia
by Sina Davoudi, Peter Stasinopoulos and Nirajan Shiwakoti
Sustainability 2025, 17(17), 7936; https://doi.org/10.3390/su17177936 - 3 Sep 2025
Viewed by 804
Abstract
This study examines the adoption of real-time visibility (RTV) technologies in the Australian meat cold supply chain, a sector where sustainability challenges such as food spoilage, energy inefficiency, and waste are acute. RTV technologies offer promising solutions by enhancing traceability, operational efficiency, and [...] Read more.
This study examines the adoption of real-time visibility (RTV) technologies in the Australian meat cold supply chain, a sector where sustainability challenges such as food spoilage, energy inefficiency, and waste are acute. RTV technologies offer promising solutions by enhancing traceability, operational efficiency, and decision-making across supply chain stages. However, adoption remains uneven due to a range of contextual, organisational, and perceptual factors. Through a nationally distributed quantitative survey targeting stakeholders across inventory, logistics, and retail operations, we identify key drivers and barriers influencing RTV adoption. We explore how demographic factors (e.g., age, role), perceived usefulness and ease of use, and supply chain characteristics interact to shape adoption outcomes. Importantly, the study investigates how horizontal collaboration and data-sharing practices moderate these relationships, especially within the transport and logistics stages where cold chain vulnerabilities are highest. Spearman and partial correlation analyses, alongside binary logistic regression, reveal that perceived ease of use and usefulness are significant predictors of adoption, while barriers such as cost and technical complexity impede it. However, strong collaboration and data-sharing networks can mitigate these barriers and enhance adoption likelihood. Our findings suggest that targeted digital infrastructure investment, workforce training, and policy support for cross-organisational collaboration are essential for advancing sustainability in meat cold chains. This research contributes to a growing body of knowledge that connects technological innovation with food system resilience and waste minimisation. Full article
(This article belongs to the Special Issue Sustainable Management of Logistic and Supply Chain)
Show Figures

Figure 1

27 pages, 5285 KB  
Article
Driving Mechanism of Tourism Green Innovation Efficiency Network Evolution: A TERGM Analysis
by Jun Fu, Heqing Zhang and Le Li
Systems 2025, 13(9), 760; https://doi.org/10.3390/systems13090760 - 1 Sep 2025
Viewed by 432
Abstract
Under the background of global green sustainable development and the urgent need to understand complex regional innovation systems, it is crucial to scientifically assess China’s Tourism Green Innovation Efficiency (TGIE) as a dynamic networked system and reveal its system-level evolution driving mechanism. This [...] Read more.
Under the background of global green sustainable development and the urgent need to understand complex regional innovation systems, it is crucial to scientifically assess China’s Tourism Green Innovation Efficiency (TGIE) as a dynamic networked system and reveal its system-level evolution driving mechanism. This article presents the construction of the TGIE evaluation indicator system, measures the inter-provincial TGIE in China in 2011–2023 based on the three-stage super-efficiency SBM-DEA model, analyzes the spatial correlation network characteristics of TGIE by using the motif analysis method and the social network analysis method, and explores the evolutionary driving mechanism by using the time-exponential random graph model (TERGM). The study shows the following: (1) The TGIE of China exhibits a regional distribution pattern characterized by “high in the east and low in the west.” The efficiency of the eastern coastal region is significantly higher than that of the central and western regions, and the overall efficiency shows a fluctuating upward trend. (2) The local structure of China’s TGIE network is dominated by the chain structure, and the partially closed structure is gradually enhanced. It indicates that the bridge role of intermediary nodes in the cross-regional flow of innovation resources is becoming more and more significant. (3) The overall network evolves from a single center to a polycentric collaboration model. High-efficiency regions attract low-efficiency regions to collaborate through high connectivity, and intermediary nodes play a key role in connecting high- and low-efficiency regions. (4) The evolution of China’s TGIE network is driven by both exogenous and endogenous dynamics, showing significant path dependence and path creation characteristics. This study enhances the theoretical framework of complex systems in tourism innovation and offers theoretical support and policy insights for optimizing the network structure of China’s TGIE as a complex adaptive system and maximizing regional cooperation networks. Full article
Show Figures

Figure 1

Back to TopTop