Sign in to use this feature.

Years

Between: -

Subjects

remove_circle_outline
remove_circle_outline
remove_circle_outline
remove_circle_outline
remove_circle_outline
remove_circle_outline
remove_circle_outline
remove_circle_outline
remove_circle_outline

Journals

Article Types

Countries / Regions

Search Results (23)

Search Parameters:
Keywords = parking occupancy prediction

Order results
Result details
Results per page
Select all
Export citation of selected articles as:
24 pages, 3062 KB  
Article
Sustainable IoT-Enabled Parking Management: A Multiagent Simulation Framework for Smart Urban Mobility
by Ibrahim Mutambik
Sustainability 2025, 17(14), 6382; https://doi.org/10.3390/su17146382 - 11 Jul 2025
Cited by 2 | Viewed by 1863
Abstract
The efficient management of urban parking systems has emerged as a pivotal issue in today’s smart cities, where increasing vehicle populations strain limited parking infrastructure and challenge sustainable urban mobility. Aligned with the United Nations 2030 Agenda for Sustainable Development and the strategic [...] Read more.
The efficient management of urban parking systems has emerged as a pivotal issue in today’s smart cities, where increasing vehicle populations strain limited parking infrastructure and challenge sustainable urban mobility. Aligned with the United Nations 2030 Agenda for Sustainable Development and the strategic goals of smart city planning, this study presents a sustainability-driven, multiagent simulation-based framework to model, analyze, and optimize smart parking dynamics in congested urban settings. The system architecture integrates ground-level IoT sensors installed in parking spaces, enabling real-time occupancy detection and communication with a centralized system using low-power wide-area communication protocols (LPWAN). This study introduces an intelligent parking guidance mechanism that dynamically directs drivers to the nearest available slots based on location, historical traffic flow, and predicted availability. To manage real-time data flow, the framework incorporates message queuing telemetry transport (MQTT) protocols and edge processing units for low-latency updates. A predictive algorithm, combining spatial data, usage patterns, and time-series forecasting, supports decision-making for future slot allocation and dynamic pricing policies. Field simulations, calibrated with sensor data in a representative high-density urban district, assess system performance under peak and off-peak conditions. A comparative evaluation against traditional first-come-first-served and static parking systems highlights significant gains: average parking search time is reduced by 42%, vehicular congestion near parking zones declines by 35%, and emissions from circling vehicles drop by 27%. The system also improves user satisfaction by enabling mobile app-based reservation and payment options. These findings contribute to broader sustainability goals by supporting efficient land use, reducing environmental impacts, and enhancing urban livability—key dimensions emphasized in sustainable smart city strategies. The proposed framework offers a scalable, interdisciplinary solution for urban planners and policymakers striving to design inclusive, resilient, and environmentally responsible urban mobility systems. Full article
Show Figures

Figure 1

25 pages, 4031 KB  
Article
Highway Rest Area Truck Parking Occupancy Prediction Using Machine Learning: A Case Study from Poland
by Artur Budzyński and Maria Cieśla
Infrastructures 2025, 10(7), 151; https://doi.org/10.3390/infrastructures10070151 - 22 Jun 2025
Cited by 1 | Viewed by 2548
Abstract
Highway rest areas are relevant components of road infrastructure, providing drivers with essential opportunities to rest and mitigate fatigue-related crash risks. Despite their acknowledged importance, little is known about the factors that influence their actual utilization. This study addresses this gap by applying [...] Read more.
Highway rest areas are relevant components of road infrastructure, providing drivers with essential opportunities to rest and mitigate fatigue-related crash risks. Despite their acknowledged importance, little is known about the factors that influence their actual utilization. This study addresses this gap by applying supervised machine learning algorithms to predict hourly occupancy levels of truck parking lots at highway rest areas using a dataset collected from digital monitoring systems in Poland. The dataset includes 10,740 observations and 33 features describing infrastructural, administrative, and locational characteristics of selected rest areas in Poland. Eight classification models—Gradient Boosting, XGBoost, Random Forest, k-NN, Decision Tree, Logistic Regression, SVM, and Naive Bayes—were implemented and compared using standard performance metrics. Gradient Boosting emerged as the best-performing model, achieving the highest prediction accuracy and identifying key features such as the presence of fuel stations, rest area category, and facility amenities as significant predictors of occupancy. The findings highlight the potential of interpretable machine learning methods for supporting infrastructure planning, particularly in identifying underutilized or overburdened facilities. This research demonstrates a data-driven approach for analyzing rest area usage and provides practical insights for optimizing facility distribution, enhancing road safety, and informing future investments in transport infrastructure. Full article
(This article belongs to the Special Issue Smart Mobility and Transportation Infrastructure)
Show Figures

Figure 1

20 pages, 1172 KB  
Article
Uncertainty-Aware Parking Prediction Using Bayesian Neural Networks
by Alireza Nezhadettehad, Arkady Zaslavsky, Abdur Rakib and Seng W. Loke
Sensors 2025, 25(11), 3463; https://doi.org/10.3390/s25113463 - 30 May 2025
Cited by 1 | Viewed by 1860
Abstract
Parking availability prediction is a critical component of intelligent transportation systems, aiming to reduce congestion and improve urban mobility. While traditional deep learning models such as Long Short-Term Memory (LSTM) networks have been widely applied, they lack mechanisms to quantify uncertainty, limiting their [...] Read more.
Parking availability prediction is a critical component of intelligent transportation systems, aiming to reduce congestion and improve urban mobility. While traditional deep learning models such as Long Short-Term Memory (LSTM) networks have been widely applied, they lack mechanisms to quantify uncertainty, limiting their robustness in real-world deployments. This paper proposes a Bayesian Neural Network (BNN)-based framework for parking occupancy prediction that explicitly models both epistemic and aleatoric uncertainty. Although BNNs have shown promise in other domains, they remain underutilised in parking prediction—likely due to the computational complexity and the absence of real-time context integration in earlier approaches. Our approach leverages contextual features, including temporal and environmental factors, to enhance uncertainty-aware predictions. The framework is evaluated under varying data conditions, including data scarcity (90%, 50%, and 10% of training data) and synthetic noise injection to simulate aleatoric uncertainty. Results demonstrate that BNNs outperform other methods, achieving an average accuracy improvement of 27.4% in baseline conditions, with consistent gains under limited and noisy data. Applying uncertainty thresholds at 20% and 30% further improves reliability by enabling selective, confidence-based decision making. This research shows that modelling both types of uncertainty leads to significantly improved predictive performance in intelligent transportation systems and highlights the potential of uncertainty-aware approaches as a foundation for future work on integrating BNNs with hybrid neuro-symbolic reasoning to enhance decision making under uncertainty. Full article
(This article belongs to the Special Issue Sensors in 2025)
Show Figures

Figure 1

14 pages, 8636 KB  
Article
Smart Solutions for Mega-Cities: Utilizing Long Short-Term Memory and Multi-Head Attention in Parking Prediction
by Hasan Kemik, Tugba Dalyan and Murat Aydogan
ISPRS Int. J. Geo-Inf. 2024, 13(12), 449; https://doi.org/10.3390/ijgi13120449 - 13 Dec 2024
Viewed by 1331
Abstract
Finding a parking space is a major concern in megacities, causing drivers to lose time and money while contributing to atmospheric pollution and global warming. This study proposes a method to predict parking slot availability by comparing Long Short-Term Memory (LSTM) and Multi-Head [...] Read more.
Finding a parking space is a major concern in megacities, causing drivers to lose time and money while contributing to atmospheric pollution and global warming. This study proposes a method to predict parking slot availability by comparing Long Short-Term Memory (LSTM) and Multi-Head Attention (MHA) methods using the CityPulse Smart City Datasets. The initial experiments assessed the impact of pollution and time features on prediction accuracy. In a subsequent experiment, the dataset was expanded by incorporating weather-related features and a broader time range while excluding pollution and time features, as informed by the initial results. Various experiments were conducted with different parameters, such as model depth and activation functions. The results demonstrated that MHA outperformed LSTM in predicting occupancy rates, achieving a Mean Absolute Error (MAE) score of 0.0589 on the extended dataset. This study marks a pioneering effort in using MHA for real-time parking occupancy prediction, showcasing significant success with fewer parameters and a smaller model size. Full article
Show Figures

Figure 1

23 pages, 4047 KB  
Article
Enhancing Predictive Models for On-Street Parking Occupancy: Integrating Adaptive GCN and GRU with Household Categories and POI Factors
by Xiaohang Zhao and Mingyuan Zhang
Mathematics 2024, 12(18), 2823; https://doi.org/10.3390/math12182823 - 11 Sep 2024
Cited by 2 | Viewed by 2786
Abstract
Accurate predictions of parking occupancy are vital for navigation and autonomous transport systems. This research introduces a deep learning mode, AGCRU, which integrates Adaptive Graph Convolutional Networks (GCNs) with Gated Recurrent Units (GRUs) for predicting on-street parking occupancy. By leveraging real-world data from [...] Read more.
Accurate predictions of parking occupancy are vital for navigation and autonomous transport systems. This research introduces a deep learning mode, AGCRU, which integrates Adaptive Graph Convolutional Networks (GCNs) with Gated Recurrent Units (GRUs) for predicting on-street parking occupancy. By leveraging real-world data from Melbourne, the proposed model utilizes on-street parking sensors to capture both temporal and spatial dynamics of parking behaviors. The AGCRU model is enhanced with the inclusion of Points of Interest (POIs) and housing data to refine its predictive accuracy based on spatial relationships and parking habits. Notably, the model demonstrates a mean absolute error (MAE) of 0.0156 at 15 min, 0.0330 at 30 min, and 0.0558 at 60 min; root mean square error (RMSE) values are 0.0244, 0.0665, and 0.1003 for these intervals, respectively. The mean absolute percentage error (MAPE) for these intervals is 1.5561%, 3.3071%, and 5.5810%. These metrics, considerably lower than those from traditional and competing models, indicate the high efficiency and accuracy of the AGCRU model in an urban setting. This demonstrates the model as a tool for enhancing urban parking management and planning strategies. Full article
Show Figures

Figure 1

17 pages, 4877 KB  
Article
Smart Parking: Enhancing Urban Mobility with Fog Computing and Machine Learning-Based Parking Occupancy Prediction
by Francisco J. Enríquez, Jose-Manuel Mejía-Muñoz, Gabriel Bravo and Oliverio Cruz-Mejía
Appl. Syst. Innov. 2024, 7(3), 52; https://doi.org/10.3390/asi7030052 - 17 Jun 2024
Cited by 4 | Viewed by 4190
Abstract
Parking occupancy is difficult in most modern cities because of increases in the accessibility and use of motor vehicles, and users generally take several minutes or even hours to find a place to park. In this work, we propose a smart parking prediction [...] Read more.
Parking occupancy is difficult in most modern cities because of increases in the accessibility and use of motor vehicles, and users generally take several minutes or even hours to find a place to park. In this work, we propose a smart parking prediction model in order to help users locate in advance the availability of parking near the places they plan to visit. For this it is proposed a fog computing architecture that integrates a machine learning algorithm based on AdaBoost to predict parking places hours or days in advance. Additionally, a user interface was developed, which involves the collection of user inputs through a mobile application where the user is prompted to enter the destination location and the prediction time interval. Through extensive experimentation using real-world parking flow data, our proposed algorithm demonstrated an improved level of accuracy compared with alternative prediction methods. Moreover, a simulation was conducted to evaluate the system’s latency when using cloud computing versus our hybrid approach combining both fog and cloud computing. The results showed that employing the fog module in conjunction with cloud computing significantly reduced response delay in comparison with using cloud computing alone. Full article
Show Figures

Figure 1

18 pages, 1606 KB  
Article
A Multi-View Approach for Regional Parking Occupancy Prediction with Attention Mechanisms
by Wei Ye, Haoxuan Kuang, Xinjun Lai and Jun Li
Mathematics 2023, 11(21), 4510; https://doi.org/10.3390/math11214510 - 1 Nov 2023
Cited by 6 | Viewed by 2380
Abstract
The near-future parking space availability is informative for the formulation of parking-related policy in urban areas. Plenty of studies have contributed to the spatial–temporal prediction for parking occupancy by considering the adjacency between parking lots. However, their similarities in properties remain unspecific. For [...] Read more.
The near-future parking space availability is informative for the formulation of parking-related policy in urban areas. Plenty of studies have contributed to the spatial–temporal prediction for parking occupancy by considering the adjacency between parking lots. However, their similarities in properties remain unspecific. For example, parking lots with similar functions, though not adjacent, usually have similar patterns of occupancy changes, which can help with the prediction as well. To fill the gap, this paper proposes a multi-view and attention-based approach for spatial–temporal parking occupancy prediction, namely hybrid graph convolution network with long short-term memory and temporal pattern attention (HGLT). In addition to the local view of adjacency, we construct a similarity matrix using the Pearson correlation coefficient between parking lots as the global view. Then, we design an integrated neural network focusing on graph structure and temporal pattern to assign proper weights to the different spatial features in both views. Comprehensive evaluations on a real-world dataset show that HGLT reduces prediction error by about 30.14% on average compared to other state-of-the-art models. Moreover, it is demonstrated that the global view is effective in predicting parking occupancy. Full article
(This article belongs to the Special Issue Advanced Methods in Intelligent Transportation Systems)
Show Figures

Figure 1

11 pages, 851 KB  
Communication
Revealing Long-Term Indoor Air Quality Prediction: An Intelligent Informer-Based Approach
by Hui Long, Jueling Luo, Yalu Zhang, Shijie Li, Si Xie, Haodong Ma and Haonan Zhang
Sensors 2023, 23(18), 8003; https://doi.org/10.3390/s23188003 - 21 Sep 2023
Cited by 8 | Viewed by 3521
Abstract
Indoor air pollution is an urgent issue, posing a significant threat to the health of indoor workers and residents. Individuals engaged in indoor occupations typically spend an average of around 21 h per day in enclosed spaces, while residents spend approximately 13 h [...] Read more.
Indoor air pollution is an urgent issue, posing a significant threat to the health of indoor workers and residents. Individuals engaged in indoor occupations typically spend an average of around 21 h per day in enclosed spaces, while residents spend approximately 13 h indoors on average. Accurately predicting indoor air quality is crucial for the well-being of indoor workers and frequent home dwellers. Despite the development of numerous methods for indoor air quality prediction, the task remains challenging, especially under constraints of limited air quality data collection points. To address this issue, we propose a neural network capable of capturing time dependencies and correlations among data indicators, which integrates the informer model with a data-correlation feature extractor based on MLP. In the experiments of this study, we employ the Informer model to predict indoor air quality in an industrial park in Changsha, Hunan Province, China. The model utilizes indoor and outdoor temperature, humidity, and outdoor particulate matter (PM) values to forecast future indoor particle levels. Experimental results demonstrate the superiority of the Informer model over other methods for both long-term and short-term indoor air quality predictions. The model we propose holds significant implications for safeguarding personal health and well-being, as well as advancing indoor air quality management practices. Full article
(This article belongs to the Section Environmental Sensing)
Show Figures

Figure 1

16 pages, 8730 KB  
Article
Prediction of Vacant Parking Spaces in Multiple Parking Lots: A DWT-ConvGRU-BRC Model
by Liangpeng Gao, Wenli Fan, Zhiyuan Hu and Wenliang Jian
Appl. Sci. 2023, 13(6), 3791; https://doi.org/10.3390/app13063791 - 16 Mar 2023
Cited by 9 | Viewed by 3130
Abstract
For cities, the problem of “difficult parking and chaotic parking” increases carbon emissions and reduces quality of life. Accurately and efficiently predicting the availability of vacant parking spaces (VPSs) can help motorists reduce the time spent looking for a parking space and reduce [...] Read more.
For cities, the problem of “difficult parking and chaotic parking” increases carbon emissions and reduces quality of life. Accurately and efficiently predicting the availability of vacant parking spaces (VPSs) can help motorists reduce the time spent looking for a parking space and reduce greenhouse gas pollution. This paper proposes a deep learning model called DWT-ConvGRU-BRC to predict the future availability of VPSs in multiple parking lots. The model first uses a discrete wavelet transform (DWT) to denoise the historical parking data and then extracts the temporal correlation of the parking lots themselves and the spatial correlation between different parking lots using a convolutional gated recurrent unit network (ConvGRU) while using a BN-ReLU-Conv (1 × 1) module to further improve the propagation and reuse of features in the prediction process. In addition, the model uses availability, temperature, humidity, wind speed, weekdays, and weekends as inputs to improve the accuracy of the forecasts. The model performance is evaluated through a case study of 11 parking lots in Santa Monica. The DWT-ConvGRU-BRC model outperforms the LSTM and GRU baseline methods, with an average testing MAPE of 2.12% when predicting multiple parking lot occupancies over the subsequent 60 min. Full article
(This article belongs to the Topic Intelligent Transportation Systems)
Show Figures

Figure 1

16 pages, 1835 KB  
Article
Determining Commercial Parking Vacancies Employing Multiple WiFiRSSI Fingerprinting Method
by Elmer Magsino, Juan Miguel Carlo Barrameda, Andrei Puno, Spencer Ong, Cyrill Siapco and Jolo Vibal
J. Sens. Actuator Netw. 2023, 12(2), 22; https://doi.org/10.3390/jsan12020022 - 10 Mar 2023
Cited by 7 | Viewed by 2528
Abstract
In this study, we implemented a parking occupancy/vacancy detection system (POVD) in a scaled-down model of a parking system for commercial centers by employing multiple WiFi access points. By exploiting the presence of WiFi routers installed in a commercial establishment, the WiFi’s received [...] Read more.
In this study, we implemented a parking occupancy/vacancy detection system (POVD) in a scaled-down model of a parking system for commercial centers by employing multiple WiFi access points. By exploiting the presence of WiFi routers installed in a commercial establishment, the WiFi’s received signal strength indicator (RSSI) signals were collected to establish the parking fingerprints and then later used to predict the number of occupied/vacant slots. Our extensive experiments were divided into two phases, namely: offline training and online matching phases. During the offline stage, the POVD collects available WiFi RSSI readings to determine the parking lot’s fingerprint based on a given scenario and stores them in a fingerprint database that can be updated periodically. On the other hand, the online stage predicts the number of available parking slots based on the actual scenario compared to the stored database. We utilized multiple router setups in generating WiFi signals and exhaustively considered all possible parking scenarios given the combination of 10 maximum access points and 10 cars. From two testing locations, our results showed that, given a parking area dimension of 13.40 m2 and 6.30 m2 and with the deployment of 4 and 10 routers, our system acquired the best accuracy of 88.18% and 100%, respectively. Moreover, the developed system serves as experiential evidence on how to exploit the available WiFi RSSI readings towards the realization of a smart parking system. Full article
(This article belongs to the Special Issue Smart Cities and Homes: Current Status and Future Possibilities)
Show Figures

Figure 1

18 pages, 3997 KB  
Article
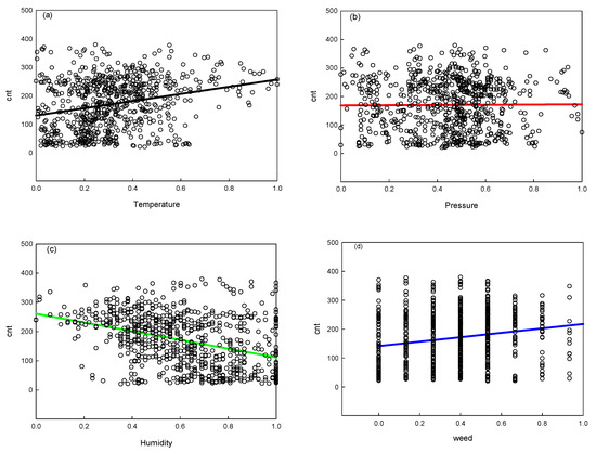
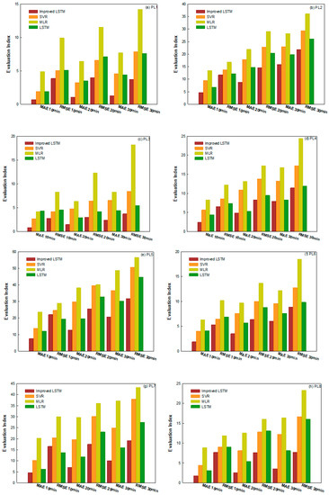
Sustainable Transport in a Smart City: Prediction of Short-Term Parking Space through Improvement of LSTM Algorithm
by Bowen Jin, Yu Zhao and Jing Ni
Appl. Sci. 2022, 12(21), 11046; https://doi.org/10.3390/app122111046 - 31 Oct 2022
Cited by 6 | Viewed by 2232
Abstract
The carbon emission of fuel vehicles is a major consideration that affects the dual carbon goal in urban traffic. The problem of “difficult parking and disorderly parking” in static traffic can easily lead to traffic congestion, an increase in vehicle exhaust emissions, and [...] Read more.
The carbon emission of fuel vehicles is a major consideration that affects the dual carbon goal in urban traffic. The problem of “difficult parking and disorderly parking” in static traffic can easily lead to traffic congestion, an increase in vehicle exhaust emissions, and air pollution. In particulate, when vehicles make an invalid detour and wait for parking with long hours, it often causes extra energy consumption and carbon emission. In this paper, adding a weather influence feature, a short-term parking occupancy rate prediction algorithm based on the long short-term model (LSTM) is proposed. The data used in this model is from Melbourne public data sets, and parking occupancy rates are predicted through historical parking data, weather information, and location information. At the same time, three commonly prediction models, i.e., simple LSTM model, multiple linear regression model (MLR), and support vector regression (SVR), are also used as comparison models. Taking MAE and RMSE as evaluation indexes, the parking occupancy rate during 10 min, 20 min, and 30 min are predicted. The experimental results show that the improved LSTM method achieves better accuracy and stability in the prediction of parking lots. The average MAE and RMSE of the proposed LSTM prediction during intervals of 10 min, 20 min, and 30 min with the weather influence feature algorithm is lower than that of simple LSTM, MLR and that of SVR. Full article
Show Figures

Figure 1

11 pages, 1215 KB  
Article
Investigating Machine Learning Applications in the Prediction of Occupational Injuries in South African National Parks
by Martha Chadyiwa, Juliana Kagura and Aimee Stewart
Mach. Learn. Knowl. Extr. 2022, 4(3), 768-778; https://doi.org/10.3390/make4030037 - 22 Aug 2022
Cited by 11 | Viewed by 3482
Abstract
There is a need to predict occupational injuries in South African National Parks for the purpose of implementing targeted interventions or preventive measures. Machine-learning models have the capability of predicting injuries such that the employees that are at risk of experiencing occupational injuries [...] Read more.
There is a need to predict occupational injuries in South African National Parks for the purpose of implementing targeted interventions or preventive measures. Machine-learning models have the capability of predicting injuries such that the employees that are at risk of experiencing occupational injuries can be identified. Support Vector Machines (SVMs), k Nearest Neighbours (k-NN), XGB classifier and Deep Neural Networks were applied and overall performance was compared to the accuracy of baseline models that always predict low extremity injuries. Data extracted from the Department of Employment and Labour’s Compensation Fund was used for training the models. SVMs had the best performance in predicting between low extremity injuries and injuries in the torso and hands regions. However, the overall accuracy was 56%, which was slightly above the baseline and below findings from similar previous research that reported a minimum of 62%. Gender was the only feature with an importance score significantly greater than zero. There is a need to use more features related to work conditions and which acknowledge the importance of environment in order to improve the accuracy of the predictions of the models. Furthermore, more types of injuries, and employees that have not experienced any injuries, should be included in future studies. Full article
Show Figures

Figure 1

15 pages, 5115 KB  
Article
Assessing the Effects of Landscape Change on the Occupancy Dynamics of the Greater White-Toothed Shrew Crocidura russula
by Ignasi Torre and Mario Díaz
Life 2022, 12(8), 1230; https://doi.org/10.3390/life12081230 - 14 Aug 2022
Cited by 9 | Viewed by 2370
Abstract
Land-use change is the main driver of biodiversity loss in the Mediterranean basin. New socio-economic conditions produced a rewilding process so that cultural landscapes are being invaded by more natural habitats. We analyze the effects of landscape change on the demography and the [...] Read more.
Land-use change is the main driver of biodiversity loss in the Mediterranean basin. New socio-economic conditions produced a rewilding process so that cultural landscapes are being invaded by more natural habitats. We analyze the effects of landscape change on the demography and the spatial distribution of Crocidura russula in six protected areas of the western Mediterranean basin. The study was conducted in the period 2008–2020 on 19 live trapping plots representing the three main natural habitats of the area (scrubland, pinewood, and holm oak woodland). We used a multiscale approach to ensure that the scale of response matched landscape structure (from plot to landscape) using either vegetation profiles (LiDAR) and land use data obtained from years 2007 and 2017. Statistical models (multiple-season single-species occupancy models) showed that C. russula populations were strongly associated to habitat features at the plot level. These models were used to predict occupancy at sampling units for the whole study area (850 km2), showing contrasting trends that shifted at relatively small spatial scales (expansions and retractions of species ranges). Parks showing extreme scrubland encroachment (−8% of area) and afforestation (+6%) significantly reduced habitat suitability for shrews and reductions in occupancy (−5%). Results would indicate faster changes in the spatial distribution of the target species than previously expected on the basis of climate change, driven by fast landscape changes. Full article
(This article belongs to the Section Diversity and Ecology)
Show Figures

Figure 1

11 pages, 1382 KB  
Article
Rock Refuges Are Strongly Associated with Increased Urban Occupancy in the Western Fence Lizard, Sceloporus occidentalis
by Alexander J. Rurik, Seth C. Wilmoth, Kendra E. Dayton and Amanda M. Sparkman
Diversity 2022, 14(8), 655; https://doi.org/10.3390/d14080655 - 14 Aug 2022
Cited by 5 | Viewed by 3038
Abstract
Urbanization has dramatically altered habitats for local species worldwide. While some species are unable to meet the challenges that these alterations bring, others are able to persist as long as a threshold for suitable habitat is met. For reptiles, a key feature for [...] Read more.
Urbanization has dramatically altered habitats for local species worldwide. While some species are unable to meet the challenges that these alterations bring, others are able to persist as long as a threshold for suitable habitat is met. For reptiles, a key feature for persistence in urban areas can be access to suitable refuges from predation, high temperatures, and/or other environmental challenges. We tested for effects of local and landscape variables affecting urban occupancy in the Western Fence Lizard, Sceloporus occidentalis, in transects across an urban–rural gradient, with a specific focus on the presence of rock, tree, and shrub refuges. We found that fence lizards were much more likely to be present in areas with more rock cover, and in parks or low-density residential areas. Occupancy was also positively related to canopy cover in the general vicinity, though negatively related to number of trees along the transects. Our results highlight the importance of assessing local habitat features to successfully predict the occupancy of reptile species in urban habitats, and present directions for future research with concrete conservation and management applications. Full article
(This article belongs to the Special Issue Urban Ecology of the Amphibians and Reptiles)
Show Figures

Figure 1

18 pages, 1146 KB  
Article
Analysis of Machine Learning Approaches’ Performance in Prediction Problems with Human Activity Patterns
by Ricardo Torres-López, David Casillas-Pérez, Jorge Pérez-Aracil, Laura Cornejo-Bueno, Enrique Alexandre and Sancho Salcedo-Sanz
Mathematics 2022, 10(13), 2187; https://doi.org/10.3390/math10132187 - 23 Jun 2022
Cited by 6 | Viewed by 2057
Abstract
Prediction problems in timed datasets related to human activities are especially difficult to solve, because of the specific characteristics and the scarce number of predictive (input) variables available to tackle these problems. In this paper, we try to find out whether Machine Learning [...] Read more.
Prediction problems in timed datasets related to human activities are especially difficult to solve, because of the specific characteristics and the scarce number of predictive (input) variables available to tackle these problems. In this paper, we try to find out whether Machine Learning (ML) approaches can be successfully applied to these problems. We deal with timed datasets with human activity patterns, in which the input variables are exclusively related to the day or type of day when the prediction is carried out and, usually, to the meteorology of those days. These problems with a marked human activity pattern frequently appear in mobility and traffic-related problems, delivery prediction (packets, food), and many other activities, usually in cities. We evaluate the performance in these problems of different ML methods such as artificial neural networks (multi-layer perceptrons, extreme learning machines) and support vector regression algorithms, together with an Analogue-type (KNN) approach, which serves as a baseline algorithm and provides information about when it is expected that ML approaches will fail, by looking for similar situations in the past. The considered ML algorithms are evaluated in four real prediction problems with human activity patterns, such as school absences, bike-sharing demand, parking occupation, and packets delivered in a post office. The results obtained show the good performance of the ML algorithms, revealing that they can deal with scarce information in all the problems considered. The results obtained have also revealed the importance of including meteorology as the input variables, showing that meteorology is frequently behind demand peaks or valleys in this kind of problem. Finally, we show that having a number of similar situations in the past (training set) prevents ML algorithms from making important mistakes in the prediction obtained. Full article
Show Figures

Figure 1

Back to TopTop