Sign in to use this feature.

Years

Between: -

Subjects

remove_circle_outline
remove_circle_outline
remove_circle_outline
remove_circle_outline
remove_circle_outline
remove_circle_outline
remove_circle_outline
remove_circle_outline
remove_circle_outline

Journals

Article Types

Countries / Regions

Search Results (38)

Search Parameters:
Keywords = parallel structure–activity relationship studies

Order results
Result details
Results per page
Select all
Export citation of selected articles as:
18 pages, 2240 KB  
Article
Optimizing the Cow Manure-Straw Ratio to Promote Organic Matter Humification: Insights from Three-Dimensional Fluorescence Spectroscopy
by Liangshi Hao, Yan Li, Shuang Wang, Yarun Wang, Yu Hu, Yangyang Xia, Zhixin Qi, Hongsheng Gao, Dan Wei and Wei Li
Plants 2026, 15(5), 729; https://doi.org/10.3390/plants15050729 - 27 Feb 2026
Viewed by 145
Abstract
Straw and cattle manure are common agricultural wastes, and their composting plays a critical role in regional nutrient cycling and organic carbon management. During composting, the structural evolution and humification processes of dissolved organic matter (DOM), fulvic acid (FA), and humic acid (HA) [...] Read more.
Straw and cattle manure are common agricultural wastes, and their composting plays a critical role in regional nutrient cycling and organic carbon management. During composting, the structural evolution and humification processes of dissolved organic matter (DOM), fulvic acid (FA), and humic acid (HA) are regulated by environmental factors such as temperature and pH. However, systematic studies on the multi-component fluorescence characteristics of DOM in straw–manure systems and their coupling with environmental variables remain limited. In this study, maize straw and cattle manure were used as raw materials, with four mixing ratios (T1–T4: 2:8, 4:6, 6:4, and 8:2), to investigate the effects of raw material proportions on the structural evolution of DOM, fulvic acid (FA), and humic acid (HA) during composting. Three-dimensional fluorescence spectroscopy combined with parallel factor analysis (EEMs-PARAFAC) was applied to characterize organic components, their transformation patterns, and their relationships with environmental factors. The EEMs-PARAFAC identified 3, 2, and 3 components for DOM, FA, and HA, respectively. Moderate straw–cow manure ratios (T2 and T3) maintained high microbial activity while promoting humic-like component accumulation and FA-to-HA conversion. Fluorescence indices indicated mixed substrate-derived and microbial sources for DOM, predominantly microbial origins for FA, and a shift in HA from substrate-derived to mixed sources. Overall, humification remained low (humification coefficient < 1.5), reflecting an early composting stage. Mantel analysis and partial least squares path modelling (PLS-PM) revealed temperature as the dominant factor associated with HA formation, whereas an alkaline pH inhibited humification. These findings clarify how substrate ratios regulate humification via environmental microhabitats, providing a theoretical basis for optimizing straw–manure co-composting and enhancing compost stability and soil carbon sequestration. Full article
(This article belongs to the Section Plant–Soil Interactions)
Show Figures

Figure 1

14 pages, 375 KB  
Article
Driving Innovation: Entrepreneurial Leadership in the Jordanian IT Sector, the Role of Artificial Intelligence
by Saleh Fahed Al-khatib and Fatima Mahmoud Bani Sakher
Adm. Sci. 2026, 16(2), 74; https://doi.org/10.3390/admsci16020074 - 3 Feb 2026
Viewed by 352
Abstract
This study investigates the interplay between entrepreneurial leadership and innovation performance in Jordanian IT firms, with a specific focus on the strategic role of Artificial Intelligence (AI). Grounded in a quantitative methodology, data were collected via a structured questionnaire from 162 professionals within [...] Read more.
This study investigates the interplay between entrepreneurial leadership and innovation performance in Jordanian IT firms, with a specific focus on the strategic role of Artificial Intelligence (AI). Grounded in a quantitative methodology, data were collected via a structured questionnaire from 162 professionals within the Jordanian IT sector. The research model positions AI not merely as a tool but as a potential catalytic factor, examining its direct and moderating effects on the leadership–innovation dynamic. Entrepreneurial leadership was assessed through the dimensions of innovative thinking, pro-activeness, and risk-taking, while innovation performance was measured across product, process, and organizational domains. The findings demonstrate that entrepreneurial leadership exerts a significant positive influence on innovation performance. Beyond the primary leadership effect, our data also reveal a significant, direct benefit from AI adoption on innovation outcomes. However, contrary to the proposed hypothesis, the analysis indicates that AI does not function as a statistically significant moderator in the relationship between entrepreneurial leadership and innovation. This suggests that, within this context, AI operates as a parallel driver of innovation rather than an enhancer of the leadership’s effectiveness. The study provides a critical contribution to the literature by challenging the assumed interactive role of AI in leadership models within emerging economies. It offers actionable insights for leaders in technology firms, emphasizing the imperative of developing strong entrepreneurial leadership capabilities and pursuing strategic AI adoption as complementary, yet independent, pathways to achieving superior innovation. Full article
(This article belongs to the Section Leadership)
Show Figures

Figure 1

19 pages, 4096 KB  
Article
Kinetics of Propene Oxidation to Acrolein over Bismuth Molybdates
by Tomislav Penović, Vesna Tomašić, Aleksandra Sander, Stanislav Kurajica and Zoran Gomzi
ChemEngineering 2026, 10(2), 22; https://doi.org/10.3390/chemengineering10020022 - 2 Feb 2026
Viewed by 269
Abstract
The conversion of alkanes/alkenes into useful intermediates is highly important in the chemical industry. In this study, the physicochemical properties and catalytically active forms of bismuth molybdates (BiMo) were investigated using the selective oxidation of propene to acrolein as a model reaction. The [...] Read more.
The conversion of alkanes/alkenes into useful intermediates is highly important in the chemical industry. In this study, the physicochemical properties and catalytically active forms of bismuth molybdates (BiMo) were investigated using the selective oxidation of propene to acrolein as a model reaction. The catalysts were prepared by two methods, coprecipitation and spray-drying, with emphasis on spray-drying. The catalysts were characterized using X-ray diffraction, N2 adsorption/desorption isotherms, scanning electron microscopy, and energy-dispersive X-ray spectroscopy. The catalytic properties of the BiMo samples were studied in a conventional fixed-bed reactor operated under different reaction conditions. The one-dimensional (1D) pseudohomogeneous model was applied to describe the obtained experimental results. The experimental kinetic data were correlated with two complex kinetic models based on multiple reactions (parallel and serial reaction systems). The proposed models were verified by comparing computer simulation data with experimental laboratory results. This study aimed to extend the understanding of the relationship between catalyst composition/structure and catalyst activity/selectivity for different BiMo structures, and to propose kinetic models using two approaches based on parallel and series reactions, in line with efforts to improve the valorization of light olefins. Full article
Show Figures

Figure 1

86 pages, 2463 KB  
Review
Through Massage to the Brain—Neuronal and Neuroplastic Mechanisms of Massage Based on Various Neuroimaging Techniques (EEG, fMRI, and fNIRS)
by James Chmiel and Donata Kurpas
J. Clin. Med. 2026, 15(2), 909; https://doi.org/10.3390/jcm15020909 - 22 Jan 2026
Viewed by 1079
Abstract
Introduction: Massage therapy delivers structured mechanosensory input that can influence brain function, yet the central mechanisms and potential for neuroplastic change have not been synthesized across neuroimaging modalities. This mechanistic review integrates evidence from electroencephalography (EEG), functional MRI (fMRI), and functional near-infrared [...] Read more.
Introduction: Massage therapy delivers structured mechanosensory input that can influence brain function, yet the central mechanisms and potential for neuroplastic change have not been synthesized across neuroimaging modalities. This mechanistic review integrates evidence from electroencephalography (EEG), functional MRI (fMRI), and functional near-infrared spectroscopy (fNIRS) to map how massage alters human brain activity acutely and over time and to identify signals of longitudinal adaptation. Materials and Methods: We conducted a scoping, mechanistic review informed by PRISMA/PRISMA-ScR principles. PubMed/MEDLINE, Cochrane Library, Google Scholar, and ResearchGate were queried for English-language human trials (January 1990–July 2025) that (1) delivered a practitioner-applied manual massage (e.g., Swedish, Thai, shiatsu, tuina, reflexology, myofascial techniques) and (2) measured brain activity with EEG, fMRI, or fNIRS pre/post or between groups. Non-manual stimulation, structural-only imaging, protocols, and non-English reports were excluded. Two reviewers independently screened and extracted study, intervention, and neuroimaging details; heterogeneity precluded meta-analysis, so results were narratively synthesized by modality and linked to putative mechanisms and longitudinal effects. Results: Forty-seven studies met the criteria: 30 EEG, 12 fMRI, and 5 fNIRS. Results: Regarding EEG, massage commonly increased alpha across single sessions with reductions in beta/gamma, alongside pressure-dependent autonomic shifts; moderate pressure favored a parasympathetic/relaxation profile. Connectivity effects were state- and modality-specific (e.g., reduced inter-occipital alpha coherence after facial massage, preserved or reorganized coupling with hands-on vs. mechanical delivery). Frontal alpha asymmetry frequently shifted leftward (approach/positive affect). Pain cohorts showed decreased cortical entropy and a shift toward slower rhythms, which tracked analgesia. Somatotopy emerged during unilateral treatments (contralateral central beta suppression). Adjuncts (e.g., binaural beats) enhanced anti-fatigue indices. Longitudinally, repeated programs showed attenuation of acute EEG/cortisol responses yet improvements in stress and performance; in one program, BDNF increased across weeks. In preterm infants, twice-daily massage accelerated EEG maturation (higher alpha/beta, lower delta) in a dose-responsive fashion; the EEG background was more continuous. In fMRI studies, in-scanner touch and reflexology engaged the insula, anterior cingulate, striatum, and periaqueductal gray; somatotopic specificity was observed for mapped foot areas. Resting-state studies in chronic pain reported normalization of regional homogeneity and/or connectivity within default-mode and salience/interoceptive networks after multi-session tuina or osteopathic interventions, paralleling symptom improvement; some task-based effects persisted at delayed follow-up. fNIRS studies generally showed increased prefrontal oxygenation during/after massage; in motor-impaired cohorts, acupressure/massage enhanced lateralized sensorimotor activation, consistent with use-dependent plasticity. Some reports paired hemodynamic changes with oxytocin and autonomic markers. Conclusions: Across modalities, massage reliably modulates central activity acutely and shows convergent signals of neuroplastic adaptation with repeated dosing and in developmental windows. Evidence supports (i) rapid induction of relaxed/analgesic states (alpha increases, network rebalancing) and (ii) longer-horizon changes—network normalization in chronic pain, EEG maturation in preterm infants, and neurotrophic up-shifts—consistent with trait-level recalibration of stress, interoception, and pain circuits. These findings justify integrating massage into rehabilitation, pain management, mental health, and neonatal care and motivate larger, standardized, multimodal longitudinal trials to define dose–response relationships, durability, and mechanistic mediators (e.g., connectivity targets, neuropeptides). Full article
(This article belongs to the Special Issue Physical Therapy in Neurorehabilitation)
Show Figures

Figure 1

26 pages, 694 KB  
Review
Microbial Biosurfactants: Antimicrobial Agents Against Pathogens
by Albert D. Luong, Maruthapandi Moorthy and John HT Luong
Macromol 2026, 6(1), 6; https://doi.org/10.3390/macromol6010006 - 14 Jan 2026
Cited by 1 | Viewed by 521
Abstract
Microbial biosurfactants (mBSs) are bioactive molecules with diverse applications, notably as antimicrobial agents against antibiotic-resistant pathogens. Produced by bacteria and yeasts, mBSs are classified as glycolipids, lipopeptides, polymeric, and particulate types. The global rise in multidrug-resistant organisms, such as Escherichia coli, Klebsiella [...] Read more.
Microbial biosurfactants (mBSs) are bioactive molecules with diverse applications, notably as antimicrobial agents against antibiotic-resistant pathogens. Produced by bacteria and yeasts, mBSs are classified as glycolipids, lipopeptides, polymeric, and particulate types. The global rise in multidrug-resistant organisms, such as Escherichia coli, Klebsiella pneumoniae, Salmonella typhimurium, Pseudomonas aeruginosa, and Acinetobacter baumannii, underscores the urgent need for new antimicrobial strategies. mBSs disrupt microbial growth by interacting with the lipid components of pathogens, offering promising alternatives to conventional antibiotics. This review highlights the sources, chemical structures, and properties of mBSs, their antimicrobial activities, synergistic effects with antibiotics, and structure–activity relationships. Special emphasis is placed on surfactant modification, where targeted changes—such as valine substitution in surfactin—significantly lower critical micelle concentrations (CMC) and enhance antimicrobial potency. Such rational engineering demonstrates how biosurfactants can be tailored for improved biomedical performance while minimizing cytotoxicity. In parallel, artificial intelligence (AI) algorithms, including artificial neural networks and genetic algorithms, optimize yields, predict substrate suitability from agricultural residues, and guide microbial strain engineering. AI models can predict interfacial behavior and synchronize fermentation with purification. Advancing the understanding of mBS interactions with microbial membranes, combined with modification strategies and AI-guided optimization, is essential for developing targeted therapies against resistant infections. Future research should integrate these approaches to engineer novel derivatives, reduce costs, and validate clinical potential through comprehensive in vivo studies. Full article
Show Figures

Figure 1

23 pages, 1157 KB  
Review
Unifying Phytochemistry, Analytics, and Target Prediction to Advance Dendropanax morbifera Bioactive Discovery
by SuHyun Kim, Damhee Lee, Kyujeong Won, Jinseop Lee, Wooseop Lee, Woohyeon Roh and Youngjun Kim
Life 2026, 16(1), 100; https://doi.org/10.3390/life16010100 - 11 Jan 2026
Viewed by 437
Abstract
Dendropanax morbifera (DM; “Hwangchil”) is an evergreen tree native to southern Korea and Jeju Island, traditionally used for detoxification, anti-inflammatory, immunomodulatory, and neuroprotective purposes. Recent studies indicate that DM extracts and their constituents exhibit a broad range of biological activities, including antioxidant, anti-inflammatory, [...] Read more.
Dendropanax morbifera (DM; “Hwangchil”) is an evergreen tree native to southern Korea and Jeju Island, traditionally used for detoxification, anti-inflammatory, immunomodulatory, and neuroprotective purposes. Recent studies indicate that DM extracts and their constituents exhibit a broad range of biological activities, including antioxidant, anti-inflammatory, antimicrobial, anticancer, antidiabetic, hepatoprotective, and neuroprotective effects. Phytochemical investigations have revealed a chemically diverse profile comprising phenolic acids, flavonoids, diterpenoids, triterpenoids—most notably dendropanoxide—and polyacetylenes, with marked variation in compound distribution across plant parts. Despite this progress, translational application remains constrained by the lack of standardized extraction protocols, substantial variability in high-performance liquid chromatography (HPLC) methodologies, and limited mechanistic validation of reported bioactivities. This review proposes an integrated framework that links extraction strategies tailored to compound class and plant part with standardized C18 reverse-phase HPLC conditions to enhance analytical reproducibility. In parallel, in silico target prediction using SwissTargetPrediction is applied as a hypothesis-generating approach to prioritize potential molecular targets for subsequent experimental validation. By emphasizing methodological harmonization, critical evaluation of evidence levels, and systems-level consideration of multi-compound interactions, this review aims to clarify structure–activity relationships, support pharmacokinetic and safety assessment, and facilitate the rational development of DM-derived materials for medical, nutritional, and cosmetic applications. Full article
(This article belongs to the Section Pharmaceutical Science)
Show Figures

Figure 1

44 pages, 99776 KB  
Article
Ultrastructural Characteristics of the Juvenile Chum Salmon (Oncorhynchus keta) Cerebellum: Interneuron Composition, Neuro–Glial Interactions, Homeostatic Neurogenesis, and Synaptic Plasticity
by Evgeniya V. Pushchina, Evgeniya E. Vekhova and Mariya E. Bykova
Int. J. Mol. Sci. 2025, 26(22), 11123; https://doi.org/10.3390/ijms262211123 - 17 Nov 2025
Viewed by 753
Abstract
Currently, the problem of climate change on Earth is becoming increasingly urgent. These changes are the reason for the increasingly pronounced adaptive differences in different species of fish. A significant gap in ultrastructural data on the organization of the salmon cerebellum was the [...] Read more.
Currently, the problem of climate change on Earth is becoming increasingly urgent. These changes are the reason for the increasingly pronounced adaptive differences in different species of fish. A significant gap in ultrastructural data on the organization of the salmon cerebellum was the main motivation for this study’s microscopic and ultrastructural analyses using transmission and scanning electron microscopy of the cerebellum of juvenile chum salmon Oncorhynchus keta. The study of the interneuron composition of the cerebellum showed the presence of stellate cells in the molecular layer, projection Purkinje cells, and eurydendroid cells in the ganglion layer. Large Golgi cells and granular cells were found in the granular layer. The study of the synaptic structure of the molecular layer showed the presence of synaptic contacts of electrotonic and chemical types, which are an important link in interneuronal communications. Most synaptic endings of parallel fibers of the excitatory type in juvenile chum salmon converge onto dendrites of Purkinje cells. Transmission electron microscopy (TEM) study of neuro–glial relationships also revealed a heterogeneous population of astrocytes and microglia in the cerebellum of juvenile chum salmon. Patterns of apoptosis and phagocytosis involving protoplasmic astrocytes were detected. The presence of protoplasmic astrocytes in the cerebellum of juvenile chum salmon contrasts with data reported for zebrafish. The conducted studies allow us to conclude that the homeostatic growth of the cerebellum of juvenile chum salmon can occur according to an uncertain pattern and be mediated by the presence of adult-type neural stem/progenitor cells (aNSPCs). The presence of aNSPCs of glial and non-glial types in the cerebellum of juvenile chum salmon was demonstrated by TEM and scanning electron microscopy (SEM). The discovery of a large population of non-glial aNSPCs in the dorsal matrix zone (DMZ) and granular layer of juvenile chum salmon, as well as stromal cell clusters on the surface of the cerebellar molecular layer, suggests the activity of a neurogenic program in the brain of juvenile chum salmon that is mainly active during embryonic stages in other vertebrate species. The phenomenon of embryonization in the cerebellum of juvenile chum salmon is determined by the presence of non-glial aNSPCs, which contribute to homeostatic growth. Full article
(This article belongs to the Special Issue Brain Plasticity in Health and Disease)
Show Figures

Figure 1

20 pages, 318 KB  
Article
Effects of Diaphragmatic Therapy on Pelvic Floor Muscle Activity, Stress Levels, and Sexual Life Satisfaction in Polish Women
by Joanna Golec, Sara Gamrot, Monika Michalik, Iwona Sulowska-Daszyk, Monika Nowak and Joanna Balicka-Bom
Appl. Sci. 2025, 15(22), 12055; https://doi.org/10.3390/app152212055 - 13 Nov 2025
Viewed by 2927
Abstract
Pelvic floor muscles (PFMs) in women play a key role, and their proper functioning depends on the coordinated interaction with other anatomical structures, particularly the diaphragm and deep abdominal muscles, which together constitute the so-called core stabilizing unit. The aim of this study [...] Read more.
Pelvic floor muscles (PFMs) in women play a key role, and their proper functioning depends on the coordinated interaction with other anatomical structures, particularly the diaphragm and deep abdominal muscles, which together constitute the so-called core stabilizing unit. The aim of this study was to evaluate the effects of diaphragmatic breathing therapy on pelvic floor muscle function and stress levels in healthy women. The randomized, controlled, parallel-group trial (allocation 1:1) included 42 women aged 21–30 years who met the inclusion and exclusion criteria. The experimental group received diaphragmatic breathing therapy. The following assessment tools were used: Surface Electromyography (sEMG), the Sexual Satisfaction Questionnaire in Close Relationships (KSS) by M. Plopa, and the Perception of Stress Questionnaire (KPS) by M. Plopa and R. Makarowski. In the experimental group, a significant reduction in resting PFM activity was observed in the final stage of the measurement protocol, along with a tendency toward decreased activity during relaxation phases. A trend toward increased amplitude during phasic and tonic contractions was also noted, more pronounced after therapy than in the control group, although not statistically significant. No significant associations between stress dimensions and sexual satisfaction were found in the control group, whereas in the experimental group, higher worry, reduced sense of meaning, low agency and pessimism correlated with lower sexual satisfaction and difficulties achieving orgasm. These findings suggest that diaphragmatic breathing therapy may reduce resting pelvic floor muscle activity and perceived emotional stress. Full article
(This article belongs to the Special Issue Novel Approaches of Physical Therapy-Based Rehabilitation)
21 pages, 1165 KB  
Article
Data-Driven and Structure-Based Modelling for the Discovery of Human DNMT1 Inhibitors: A Pathway to Structure–Activity Relationships
by Paris Christodoulou, Ellie Chytiri, Maria Zervou, Igor Manushin, Charalampos Kolvatzis, Vassilia J. Sinanoglou, Dionisis Cavouras and Eftichia Kritsi
Appl. Sci. 2025, 15(22), 11984; https://doi.org/10.3390/app152211984 - 11 Nov 2025
Viewed by 825
Abstract
Nowadays, the explosive growth of knowledge in the epigenetics field has highlighted DNA methyltransferase 1 (DNMT1) as a key regulator of genomic methylation patterns and a promising therapeutic target in several diseases. In light of the increasing clinical interest in epigenetic enzymes, the [...] Read more.
Nowadays, the explosive growth of knowledge in the epigenetics field has highlighted DNA methyltransferase 1 (DNMT1) as a key regulator of genomic methylation patterns and a promising therapeutic target in several diseases. In light of the increasing clinical interest in epigenetic enzymes, the present study aimed to develop a robust computational framework for the discovery of novel DNMT1 inhibitors, merging both structure and data-driven strategies. Particularly, the study compiled a dataset of established DNMT1 inhibitors and calculated a series of molecular properties, thus enabling the training of a machine learning model to capture critical structure–activity relationships (SARs). When benchmarked against known active compounds, the model effectively discriminated between putative inhibitors and non-inhibitors with high accuracy. In parallel, molecular docking was conducted to screen additional uncharacterized compounds, estimating their binding affinity to human DNMT1. Their respective properties were then extracted and fed into the aforementioned model to predict their inhibitory potential. Our comparative evaluation against known human DNMT1 inhibitors demonstrated high predictive accuracy, confirming the reliability of the proposed integrated approach. By uniting molecular docking with data-driven SAR modelling, this workflow offers an expedited fast-track avenue for identifying promising human DNMT1 inhibitors while reducing experimental overhead. The results highlight the effectiveness of combining cheminformatics, machine learning, and in silico techniques to guide rational drug design, and accelerate the discovery of novel epigenetic inhibitors. Full article
(This article belongs to the Special Issue Development and Application of Computational Chemistry Methods)
Show Figures

Figure 1

23 pages, 2465 KB  
Review
Electrochemical and Redox Strategies for the Synthesis of Catecholamine- and Dihydroxynaphthalene-Based Materials: A Comparative Review
by Chloé Laporte and Vincent Ball
Electrochem 2025, 6(4), 36; https://doi.org/10.3390/electrochem6040036 - 18 Oct 2025
Viewed by 1673
Abstract
Melanins are multifunctional biopolymers with unique properties, ranging from UV and radiation protection to antioxidant activity and metal chelation, making them highly attractive for biomedical applications. Despite extensive research, the mechanisms underlying melanin formation remain only partially understood, and access to these biopolymers [...] Read more.
Melanins are multifunctional biopolymers with unique properties, ranging from UV and radiation protection to antioxidant activity and metal chelation, making them highly attractive for biomedical applications. Despite extensive research, the mechanisms underlying melanin formation remain only partially understood, and access to these biopolymers therefore relies on suitable molecular precursors. While most studies have focused on catecholamine-derived eumelanins such as 3,4-dihydroxyphenylalanine (L-DOPA) and dihydroxyindole (DHI), nitrogen-free precursors such as 1,8-dihydroxynaphthalene (1,8-DHN) are emerging as promising routes to allomelanins. To date, however, these two precursor classes have largely been investigated separately, limiting a broader understanding of structure–function relationships. This review aims to compare electrochemical and redox-based pathways to catecholamine- and DHN-derived materials, emphasizing both their common principles and distinctive features. By bridging these parallel research streams, we propose a methodological framework for guiding future research on melanin-inspired materials and bioelectrochemical technologies. Full article
Show Figures

Figure 1

24 pages, 324 KB  
Article
Cow-Assisted Interventions in Social Farming: First Results of a Pilot Study
by Biancamaria Torquati, Giulia Angelucci and Silvana Diverio
Animals 2025, 15(20), 2957; https://doi.org/10.3390/ani15202957 - 13 Oct 2025
Viewed by 1432
Abstract
Social farming combines agricultural, social, and healthcare functions, and Animal-Assisted Interventions (AAIs) are increasingly being applied within this framework. Despite their potential, cattle are excluded from Italian guidelines and rarely studied. This pilot study explored the feasibility, effects, and economic sustainability of cow-assisted [...] Read more.
Social farming combines agricultural, social, and healthcare functions, and Animal-Assisted Interventions (AAIs) are increasingly being applied within this framework. Despite their potential, cattle are excluded from Italian guidelines and rarely studied. This pilot study explored the feasibility, effects, and economic sustainability of cow-assisted interventions within social farming in Umbria, Italy. It represents an original and innovative contribution, drawing attention to the therapeutic potential of the human–cow relationship. The study presents an experimental cow therapy protocol and proposes behavioral monitoring tools designed both for people with different disabilities and for the animals involved. Four Red Pied Valdostana cows were involved in structured sessions with three groups: adolescents removed from families, young adults with mental health disorders, and individuals with eating disorders. Activities included observation, feeding, grooming, problem solving, and leading. Human outcomes were assessed regarding emotional, relational, and behavioral dimensions, and animal welfare was continuously monitored. A cost analysis was also conducted for Animal-Assisted Activity (AAA), Animal-Assisted Education (AAE), and Animal-Assisted Therapy (AAT). Participants reported improved self-esteem, emotional expression, and social interaction; the eating disorder group showed greater openness toward dairy consumption. Animal welfare remained stable with high tolerance to handling. Costs were driven mainly by professional staff rather than animal care, with average hourly costs of €74.51 (AAA), €144.99 (AAE), and €172.41 (AAT). The comparative analysis demonstrates a clear trade-off: as the intervention shifts from recreational (AAA) to educational (AAE) and finally to therapeutic (AAT), the financial investment increases in parallel with the level of professionalization, personalization, and expected clinical outcomes. Cow-assisted interventions proved to be safe, feasible, and beneficial, supporting their potential inclusion in Italian guidelines on AAIs. Full article
(This article belongs to the Section Human-Animal Interactions, Animal Behaviour and Emotion)
20 pages, 2450 KB  
Article
Mystery of the Passerini Reaction for the Synthesis of the Antimicrobial Peptidomimetics against Nosocomial Pathogenic Bacteria
by Deepak S. Wavhal, Dominik Koszelewski, Cezary Gulko, Paweł Kowalczyk, Anna Brodzka, Karol Kramkowski and Ryszard Ostaszewski
Int. J. Mol. Sci. 2024, 25(15), 8330; https://doi.org/10.3390/ijms25158330 - 30 Jul 2024
Cited by 3 | Viewed by 2361
Abstract
The first example of applying salicylaldehyde derivatives, as well as coumarin with the formyl group at the C8 position in its structure, as carbonyl partners in a three-component Passerini reaction, is presented. As a result of research on the conditions of the Passerini [...] Read more.
The first example of applying salicylaldehyde derivatives, as well as coumarin with the formyl group at the C8 position in its structure, as carbonyl partners in a three-component Passerini reaction, is presented. As a result of research on the conditions of the Passerini reaction, the important role of the hydroxyl group in the salicylaldehyde used in the course of the multicomponent reaction was revealed. When an aldehyde with an unprotected hydroxyl group is used, only two-component α-hydroxy amide products are obtained. In contrast, the use of acylated aldehyde results in three-component α-acyloxy amide products with high efficiency. The developed protocol gives access to structurally diversified peptidomimetics with good yield. The compounds were also evaluated as antimicrobial agents against selected strains of nosocomial pathogenic bacteria. The structure–activity relationship revealed that inhibitory activity is strongly related to the presence of the trifluoromethyl group (CF3) or the methyl group at the C4 position in an unsaturated lactone ring of the coumarin scaffold. MIC and MBC studies were carried out on eight selected pathogenic bacteria strains (Gram-positive pathogenic Staphylococcus aureus strain (ATCC 23235), as well as on Gram-negative E. coli (K12 (ATCC 25404), R2 (ATCC 39544), R3 (ATCC 11775), and R4 (ATCC 39543)), Acinetobacter baumannii (ATCC 17978), Pseudomonas aeruginosa (ATCC 15442), and Enterobacter cloacae (ATCC 49141) have shown that the tested compounds show a strong bactericidal effect at low concentrations. Among all agents investigated, five exhibit higher antimicrobial activity than those observed for commonly used antibiotics. It should be noted that all the compounds tested showed very high activity against S. aureus, which is the main source of nosocomial infections that cause numerous fatalities. Additionally, the cytotoxicity of sixteen derivatives was measured with the use of the MTT test on BALB/c3T3 mouse fibroblast cell lines. The cytotoxicity studies revealed that the tested substances exert a similar or lower effect on cell proliferation than that observed for commonly used antibiotics within the range of therapeutic doses. A parallel MTT assay using ciprofloxacin, bleomycin, and cloxacillin showed that these antibiotics are more cytotoxic when tested in mammalian cells, and cell viability is in the range of 85.0–89.9%. Furthermore, we have shown that the studied coumarin-based peptidomimetics, depending on their structural characteristics, are nonselective and act efficiently against various Gram-positive and Gram-negative pathogens, which is of great importance for hospitalised patients. Full article
(This article belongs to the Special Issue Antimicrobial Agents: Natural Products or Synthetic Compounds)
Show Figures

Figure 1

16 pages, 2211 KB  
Article
Systems Thinking for Supply Chains: Identifying Bottlenecks Using Process Mapping of a Child Health Intervention in the Democratic Republic of the Congo (DRC)
by Aliya Karim, Christian Burri, Jean Serge Ngaima Kila, Nelson Bambwelo, Jean Tony Bakukulu and Don de Savigny
Systems 2024, 12(4), 137; https://doi.org/10.3390/systems12040137 - 18 Apr 2024
Cited by 1 | Viewed by 3145
Abstract
The quality of supply chains in public health interventions in low- and middle-income countries can determine how effectively a program is able to treat its intended population group and subsequently achieve its health targets. We aimed to disentangle where challenges exist hierarchically and [...] Read more.
The quality of supply chains in public health interventions in low- and middle-income countries can determine how effectively a program is able to treat its intended population group and subsequently achieve its health targets. We aimed to disentangle where challenges exist hierarchically and administratively through the application of process mapping to the supply chain of an integrated community case management (iCCM) intervention in the Democratic Republic of the Congo (DRC). We conducted a document review, semi-structured key informant interviews, and focus group discussions with program agents involved in supply chain processes of the child health intervention. Enterprise architecture was used to map the intervention’s supply chain and its participatory actors, and detailed bottlenecks of the chain through the application of a health systems framework. The results of this study will be used to inform a system dynamics model of the supply chain of iCCM in DRC. The greatest bottlenecks leading to stockouts at the community level occurred upstream (from national to province and from zone to health facility). While the use of local procurement processes was partially attempted to strengthen systems, parallel supply chain activities compromised sustainable system integration and development. Initial delays in stock dispensation were due to international procurement at the supplier, inducing a trickle-down effect. Inadequate quantification of supply needs and subsequent insufficient product procuration were the single most important steps that led to stockouts. This study demonstrated that the community health supply chain would be most impacted by improvements made in processes at the highest administrative strata, while exposing its delicate dependence on activities at the lowest levels. Visibility of inventory at all levels and improved data quality and use through a transparent tracking system have the potential to significantly reduce stockouts. Future interventions should take care to not develop parallel processes or exclude local health system agents to avoid disruption and ensure sustainable health outcome gains. Causal loop studies and system dynamics can further identify the systems interactions and relationships and their underlying causal mechanisms in need of intervention. Full article
Show Figures

Figure 1

17 pages, 592 KB  
Article
Correspondence between Expected, Perceived, and Measured Effects of BoNT-A Treatment in Calf Muscles among Children and Adolescents with Cerebral Palsy: A Mixed Methods Study
by Rannei Sæther, Ann-Kristin Gunnes Elvrum and Siri Merete Brændvik
J. Clin. Med. 2024, 13(5), 1453; https://doi.org/10.3390/jcm13051453 - 2 Mar 2024
Cited by 2 | Viewed by 3278
Abstract
(1) Background: Our study explores the relationship between expected, perceived, and measured effects of botulinum toxin A (BoNT-A) treatment and saline (placebo) in children and adolescents with cerebral palsy (CP) in the calf muscles of 20 children and adolescents with cerebral palsy (CP), [...] Read more.
(1) Background: Our study explores the relationship between expected, perceived, and measured effects of botulinum toxin A (BoNT-A) treatment and saline (placebo) in children and adolescents with cerebral palsy (CP) in the calf muscles of 20 children and adolescents with cerebral palsy (CP), aged 4–15 years, using the Gross Motor Function Classification System (GMFCS) I–II. (2) Methods: A mixed methods parallel database design was used. Quantitative and qualitative data were collected at baseline and four weeks after treatment. The primary quantitative measure was gross energy cost (EC) during walking, obtained from a 5-Minute Walk Test (5MWT), while qualitative semi-structured interviews were performed with each parent and child/adolescent individually. (3) Results: Four weeks after treatment, we did not find any correspondence between expected, measured, and perceived effects. Interestingly, parental perceptions of treatment effects were more consistent than the measured outcomes. We also observed a connection between parental treatment expectations and perceived effects, often related to reduced energy expenditure. Children tended to view their parents as treatment experts and had fewer expectations and perceptions themselves. (4) Conclusions: These findings support the importance of child-centered care, which entails actively listening to children’s expectations and perceptions during the treatment process. Full article
(This article belongs to the Section Clinical Neurology)
Show Figures

Graphical abstract

13 pages, 3239 KB  
Article
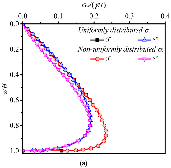
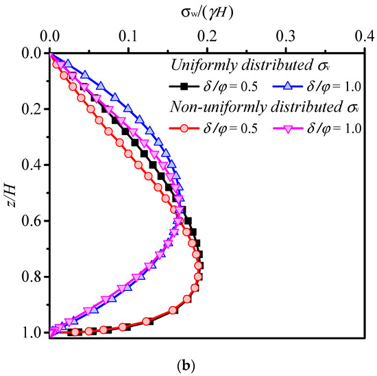
Theoretical Analysis of the Active Earth Pressure on Inclined Retaining Walls
by Gang Zheng, Zhaopeng Liu, Haizuo Zhou, Meiwen Ding and Zhiyi Guo
Buildings 2024, 14(1), 76; https://doi.org/10.3390/buildings14010076 - 26 Dec 2023
Cited by 4 | Viewed by 4351
Abstract
The estimation of earth pressure is crucial in the design of retaining structures. The evaluation of vertical retaining walls has been well studied within the framework of the differential flat element method in prior investigations, in which the vertical stress and maximum principal [...] Read more.
The estimation of earth pressure is crucial in the design of retaining structures. The evaluation of vertical retaining walls has been well studied within the framework of the differential flat element method in prior investigations, in which the vertical stress and maximum principal stress are assumed to be uniformly distributed. Inclined retaining walls have been successfully adopted in excavation engineering. Due to the inclination of retaining walls, the maximum principal stress direction rotates approximately parallel to the inclined wall back, which affects the active earth pressure on the walls. This paper provides an analytical solution to evaluate the active earth pressure on inclined retaining walls. A numerical model is first established to analyze the characteristics of the principal stresses and vertical stress distribution of soil behind walls with various inclination angles. An idealized vertical stress field containing two zones is developed, and a hyperbolic function is proposed to illustrate the distribution of vertical stress at various depths. Subsequently, the relationship between the nonuniform characteristics of the vertical stress and normal stress acting on a differential flat element is established based on a circular stress trajectory. The active earth pressure along the inclined wall is then obtained based on the balance of the forces on the differential elements. The predicted data from the proposed analytical solution are compared with the previous experimental, numerical, and theoretical results with excellent agreement, demonstrating the accuracy of the proposed method. Full article
(This article belongs to the Section Building Structures)
Show Figures

Figure 1

Back to TopTop