Sign in to use this feature.

Years

Between: -

Subjects

remove_circle_outline
remove_circle_outline
remove_circle_outline
remove_circle_outline
remove_circle_outline
remove_circle_outline
remove_circle_outline
remove_circle_outline
remove_circle_outline

Journals

Article Types

Countries / Regions

Search Results (27)

Search Parameters:
Keywords = oxygen compressor

Order results
Result details
Results per page
Select all
Export citation of selected articles as:
17 pages, 1516 KB  
Article
Novel Process Configuration of Photobioreactor and Supercritical Water Oxidation for Energy Production from Microalgae
by Alessandro Cosenza, Serena Lima, Francesca Scargiali, Franco Grisafi and Giuseppe Caputo
Processes 2025, 13(12), 3860; https://doi.org/10.3390/pr13123860 - 29 Nov 2025
Cited by 1 | Viewed by 678
Abstract
This study presents the first comprehensive investigation of direct supercritical water oxidation (SCWO) of microalgae biomass integrated with photobioreactor oxygen recovery for sustainable energy production. Laboratory-scale experiments were conducted on Nannochloropsis gaditana at optimized conditions (650 °C, 24 MPa, 1 min residence time), [...] Read more.
This study presents the first comprehensive investigation of direct supercritical water oxidation (SCWO) of microalgae biomass integrated with photobioreactor oxygen recovery for sustainable energy production. Laboratory-scale experiments were conducted on Nannochloropsis gaditana at optimized conditions (650 °C, 24 MPa, 1 min residence time), achieving extraordinary conversion efficiency of 99.99% at biomass concentrations as low as 0.5 wt%. Process simulation using Aspen Plus demonstrated that this integrated photobioreactor-SCWO system can recover oxygen produced during photosynthesis, reducing compressor energy demands by 10–15% compared to conventional air-fed systems. The coupled system achieved net thermal power outputs of 47–66 kW from a 1 kg/min microalgae feed at 5–10 wt% biomass concentration, corresponding to an overall system thermal efficiency of approximately 18%. CO2 recovery via mono-ethanolamine absorption enabled 70–80% carbon cycle closure, while simultaneous nutrient recycling through the aqueous phase supports sustainable circular economy principles. This coupled photobioreactor-SCWO process represents an efficient pathway for energy recovery from wet microalgae biomass, eliminating the energy-intensive drying requirement (typically 60–70% of conventional processing energy) and achieving complete mineralization of organic compounds. The system demonstrates technical and energetic viability for scaling to pilot demonstration scale. Full article
Show Figures

Graphical abstract

16 pages, 1390 KB  
Article
A Fast-Time MATLAB Model of an Aeronautical Low-Temperature PEM Fuel Cell for Sustainable Propulsion and Compressor Behavior at Varying Altitudes
by Abolfazl Movahedian, Gianluca Marinaro and Emma Frosina
Sustainability 2025, 17(13), 5817; https://doi.org/10.3390/su17135817 - 24 Jun 2025
Cited by 3 | Viewed by 1233
Abstract
The aviation sector significantly contributes to environmental challenges, including global warming and greenhouse gas emissions, due to its reliance on fossil fuels. Fuel cells present a viable alternative to conventional propulsion systems. In the context of light aircraft applications, proton exchange membrane fuel [...] Read more.
The aviation sector significantly contributes to environmental challenges, including global warming and greenhouse gas emissions, due to its reliance on fossil fuels. Fuel cells present a viable alternative to conventional propulsion systems. In the context of light aircraft applications, proton exchange membrane fuel cells (PEMFCs) have recently attracted growing interest as a substitute for internal combustion engines (ICEs). However, their performance is highly sensitive to altitude variations, primarily due to limitations in compressor efficiency and instability in cathode pressure. To address these challenges, this research presents a comprehensive numerical model that couples a PEMFC system with a dynamic air compressor model under altitude-dependent conditions ranging from 0 to 3000 m. Iso-efficiency lines were integrated into the compressor map to evaluate its behavior across varying environmental parameters. The study examines key fuel cell stack characteristics, including voltage, current, and net power output. The results indicate that, as altitude increases, ambient pressure and air density decrease, causing the compressor to work harder to maintain the required compression ratio at the cathode of the fuel cell module. This research provides a detailed prediction of compressor efficiency trends by implementing iso-efficiency lines into the compressor map, contributing to sustainable aviation and aligning with global goals for low-emission energy systems by supporting cleaner propulsion technologies for lightweight aircraft. Full article
Show Figures

Figure 1

31 pages, 1595 KB  
Article
Assessment of Hydrogen Storage and Pipelines for Hydrogen Farm
by Esmaeil Alssalehin, Paul Holborn and Pericles Pilidis
Energies 2025, 18(5), 1167; https://doi.org/10.3390/en18051167 - 27 Feb 2025
Cited by 12 | Viewed by 3339
Abstract
This paper presents a thorough initial evaluation of hydrogen gaseous storage and pipeline infrastructure, emphasizing health and safety protocols as well as capacity considerations pertinent to industrial applications. As hydrogen increasingly establishes itself as a vital energy vector within the transition towards low-carbon [...] Read more.
This paper presents a thorough initial evaluation of hydrogen gaseous storage and pipeline infrastructure, emphasizing health and safety protocols as well as capacity considerations pertinent to industrial applications. As hydrogen increasingly establishes itself as a vital energy vector within the transition towards low-carbon energy systems, the formulation of effective storage and transportation solutions becomes imperative. The investigation delves into the applications and technologies associated with hydrogen storage, specifically concentrating on compressed hydrogen gas storage, elucidating the principles underlying hydrogen compression and the diverse categories of hydrogen storage tanks, including pressure vessels specifically designed for gaseous hydrogen containment. Critical factors concerning hydrogen gas pipelines are scrutinized, accompanied by a review of appropriate compression apparatus, types of compressors, and particular pipeline specifications necessary for the transport of both hydrogen and oxygen generated by electrolysers. The significance of health and safety in hydrogen systems is underscored due to the flammable nature and high diffusivity of hydrogen. This paper defines the recommended health and safety protocols for hydrogen storage and pipeline operations, alongside exemplary practices for the effective implementation of these protocols across various storage and pipeline configurations. Moreover, it investigates the function of oxygen transport pipelines and the applications of oxygen produced from electrolysers, considering the interconnected safety standards governing hydrogen and oxygen infrastructure. The conclusions drawn from this study facilitate the advancement of secure and efficient hydrogen storage and pipeline systems, thereby furthering the overarching aim of scalable hydrogen energy deployment within both energy and industrial sectors. Full article
(This article belongs to the Special Issue Hydrogen Economy in the Global Energy Transition)
Show Figures

Figure 1

27 pages, 4827 KB  
Technical Note
Design and Operation of a Multifunctional Pilot-Scale Bioreactor for Enhanced Aerobic Fermentation
by Mauro Moresi
Fermentation 2025, 11(2), 101; https://doi.org/10.3390/fermentation11020101 - 17 Feb 2025
Cited by 5 | Viewed by 7302
Abstract
The primary aim of this work was to share the results from a Research Project supported by the Italian National Research Council, which led to the development of a versatile jacketed tower bioreactor. Designed to optimize oxygen transfer efficiency and process control, the [...] Read more.
The primary aim of this work was to share the results from a Research Project supported by the Italian National Research Council, which led to the development of a versatile jacketed tower bioreactor. Designed to optimize oxygen transfer efficiency and process control, the reactor incorporated a reciprocating air compressor, centrifugal pumps, a draft tube with or without perforated plates, and a series of gas–liquid ejectors. Its flexible design enabled operation in both airlift and ejector-loop modes, making it suitable for a wide range of aerobic fermentation processes. By sharing the detailed engineering design, operational procedures of this pilot-scale bioreactor, as well as its performance data when cultivating yeasts on whey and potato wastewater, a detailed blueprint was given to researchers seeking to advance bioreactor technology, particularly in the context of emerging fields like cultured meat production, pharmaceutical manufacturing, and environmental bioremediation. Full article
(This article belongs to the Section Fermentation Process Design)
Show Figures

Figure 1

12 pages, 3144 KB  
Article
Intelligent Control of the Air Compressor (AC) and Back Pressure Valve (BPV) to Improve PEMFC System Dynamic Response and Efficiency in High Altitude Regions
by Lei Gao and Xuechao Wang
Eng 2025, 6(1), 19; https://doi.org/10.3390/eng6010019 - 20 Jan 2025
Cited by 2 | Viewed by 1423
Abstract
Proton exchange membrane fuel cells (PEMFCs), as a clean energy technology, show remarkable potential for a wide range of applications. However, high altitude regions pose significant challenges for PEMFC system operation due to thin air and low oxygen partial pressure. Existing logic judgement-based [...] Read more.
Proton exchange membrane fuel cells (PEMFCs), as a clean energy technology, show remarkable potential for a wide range of applications. However, high altitude regions pose significant challenges for PEMFC system operation due to thin air and low oxygen partial pressure. Existing logic judgement-based controls exhibit defects such as poor robustness and poor adaptability, which seriously restrict PEMFC system operation. In order to address this issue, this paper puts forth an intelligent control of a PEMFC system air compressor (AC) and back pressure valve (BPV) using an asynchronous advantage actor-critic (A3C) algorithm and systematically compares it with the logic judgement-based control. The application of an A3C-based control under three distinct high altitude test conditions demonstrated a notable enhancement in dynamic responsiveness, with an improvement of up to 40% compared to the results for the logic judgement-based control. Additionally, an improvement of 5.8% in electrical efficiency was observed. The results demonstrate that the A3C-based control displays significant robustness and control precision in response to altitude alterations. Full article
Show Figures

Figure 1

15 pages, 3374 KB  
Article
In Situ Remediation of Combined Ammonia and Nitrate Nitrogen Contamination Using Zero-Valent Iron-Enhanced Microorganisms in Acidic Groundwater: A Laboratory and Pilot-Scale Study
by Junyi Chen, Yuchi Luo, Junda Zhang, Zexuan Lu, Yitong Han, Xiangxin Chen, Mingkui Li, Hanyun Fan and Xipeng Wei
Processes 2024, 12(12), 2768; https://doi.org/10.3390/pr12122768 - 5 Dec 2024
Cited by 2 | Viewed by 1765
Abstract
In acidic groundwater, effectively removing both ammonia nitrogen (NH4+-N) and nitrate nitrogen (NO3-N) poses a challenge. This study focused on studying the removal of NH4+-N and NO3-N combined contaminations by zero-valent [...] Read more.
In acidic groundwater, effectively removing both ammonia nitrogen (NH4+-N) and nitrate nitrogen (NO3-N) poses a challenge. This study focused on studying the removal of NH4+-N and NO3-N combined contaminations by zero-valent iron (ZVI) combined with microbial agents in both laboratory and field pilot-scale studies. Laboratory experiments showed that ZVI could reduce the denitrification stage from 15 days to 10 days by increasing solution pH and improving NO3-N reduction efficiency. In a field pilot test (at Qingyuan, Guangdong Province, China), high-pressure injection pumps were used to inject alkaline reagents to raise the pH to 7~8. Meanwhile, compressors were applied to aerate the groundwater to increase the dissolved oxygen (DO) concentration above 2 mg·L−1. Subsequently, microbial agents of nitrobacteria were injected to initiate aerobic nitrification. As the DO level dropped below 2 mg·L−1, agents of micro-ZVI and denitrifying bacteria were injected to stimulate autotrophic denitrification. Intermittent aeration was employed to modify the redox conditions in the groundwater to gradually eliminate NH4+-N and NO3-N. However, due to the effect of the low-permeability layers, adjustments in the frequency of remediation agent injection and aeration were necessary to achieve removal efficiencies exceeding 80% for both NH4+-N and NO3-N. This work aims to overcome the limitations of microbial remediation methods in the laboratory and the field and advance nitrogen pollution remediation technologies in groundwater. Full article
(This article belongs to the Special Issue Advances in Remediation of Contaminated Sites: 2nd Edition)
Show Figures

Figure 1

21 pages, 4592 KB  
Article
Experimental Study on Vehicle Pressure Swing Adsorption Oxygen Production Process Based on Response Surface Methodology
by Ye Li, Lisheng Zhao, Shuguang Li, Jianqiu Bei, Haotu Zhong, Yingshu Liu, Quanli Zhang, Ningqi Sun, Ziyi Li, Shifeng Wang and Xiong Yang
Separations 2024, 11(9), 267; https://doi.org/10.3390/separations11090267 - 11 Sep 2024
Cited by 2 | Viewed by 2614
Abstract
In recent years, the number of people driving from plain areas to the western plateau of China has been increasing, and their safety is threatened by acute high-altitude reactions caused by hypoxia. Vehicle-mounted pressure swing adsorption oxygen supply technology can help solve this [...] Read more.
In recent years, the number of people driving from plain areas to the western plateau of China has been increasing, and their safety is threatened by acute high-altitude reactions caused by hypoxia. Vehicle-mounted pressure swing adsorption oxygen supply technology can help solve this problem. For the optimization of vehicle pressure swing adsorption oxygen production, the influence of different pressure equalization methods on oxygen production efficiency was studied. The best oxygen production performance was achieved when the initial upper pressure equalization method and the simultaneous pressure equalization method were used. Using a 160 W air compressor, the product gas flow rate could reach 2.5 L/min with an oxygen concentration of 93.48%. The impact of adsorption time, equalization time, flow rate, and throttle inner diameter on oxygen concentration and recovery rate was analyzed using the response surface method. The order of the four factors affecting oxygen concentration is as follows: flow rate > adsorption time > equalization time > throttle inner diameter. After optimization, the product gas flow rate was 2.6 L/min, the oxygen concentration was 92.11%, and the oxygen recovery rate was 44.51%. Full article
(This article belongs to the Special Issue Recent Advances in Gas Separation and Purification)
Show Figures

Graphical abstract

18 pages, 5219 KB  
Article
Multi-Physical Field Analysis and Optimization Design of the High-Speed Motor of an Air Compressor for Hydrogen Oxygen Fuel Cells
by Xiaojun Ren, Ming Feng, Jinliang Liu and Rui Du
Energies 2024, 17(11), 2722; https://doi.org/10.3390/en17112722 - 3 Jun 2024
Cited by 6 | Viewed by 1650
Abstract
The hydrogen oxygen fuel cell is a power source with significant potential for development. The air compressor provides ample oxygen for the fuel cell, and as a key component of the air compressor, the performance of the motor greatly impacts the efficiency of [...] Read more.
The hydrogen oxygen fuel cell is a power source with significant potential for development. The air compressor provides ample oxygen for the fuel cell, and as a key component of the air compressor, the performance of the motor greatly impacts the efficiency of the fuel cell. In order to enhance the system performance of high-speed permanent magnet motors, optimization was conducted on the motor’s geometric dimensions to minimize rotor loss and maximize power density, taking into account the comprehensive constraints of electromagnetic and mechanical properties. The finite-element method was employed to analyze the motor’s performance, conducting a multi-physical field analysis that included electromagnetic field, rotor loss, and mechanical strength analysis, as well as temperature field analysis. Aiming at the problem of high temperature rise in high-speed motor winding, the influence of the cooling water flow rate on the winding temperature rise was analyzed and simulated. Based on the analysis results, the minimum cooling water flow rate was obtained. According to the optimized design results, a prototype of an 18 kW, 100,000 rpm motor was manufactured, and the efficiency and temperature rise were tested. The experimental results verify the correctness and effectiveness of the optimal design. Full article
(This article belongs to the Topic Advanced Electrical Machine Design and Optimization Ⅱ)
Show Figures

Figure 1

33 pages, 7483 KB  
Article
Characteristic Investigation of a Novel Aircraft SOFC/GT Hybrid System under Varying Operational Parameters
by Takudzwa Martin Mashamba, Jiale Wen, Catalina Spataru, Yiwu Weng and Xiaojing Lv
Appl. Sci. 2024, 14(8), 3504; https://doi.org/10.3390/app14083504 - 21 Apr 2024
Cited by 4 | Viewed by 3360
Abstract
In this study, the implementation of a solid oxide fuel cell–gas turbine hybrid engine for primary propulsion and electric power generation in aircraft is investigated. The following three parameters, which are crucial in attaining optimal performance at any point in the flight profile, [...] Read more.
In this study, the implementation of a solid oxide fuel cell–gas turbine hybrid engine for primary propulsion and electric power generation in aircraft is investigated. The following three parameters, which are crucial in attaining optimal performance at any point in the flight profile, were identified: the oxygen-to-carbon ratio of the catalytic partial oxidation reformer, the fuel utilization factor of the fuel cell, and the airflow split ratio at the outlet of the high-pressure compressor. The study assesses the impact of varying these parameters within specified ranges on the performance of the hybrid system. At the design point, the system yielded a total power output of 1.96 MW, with 102.5 kW of electric power coming from the fuel cell and 7.9 kN (1.86 MW) of thrust power coming from the gas turbine. The results indicate that varying the oxygen-to-carbon ratio affected the fuel cell’s fuel utilization and resulted in a slight decrease in gas turbine thrust. The fuel utilization factor primarily affected the power output of the fuel cell stack, with a minor impact on thrust. Notably, varying the airflow split ratio showed the most significant influence on the overall system performance. This analysis provides insights into the system’s sensitivities and contributes to the development of more sustainable aircraft energy systems. Full article
(This article belongs to the Special Issue Advances in Fuel Cell Renewable Hybrid Power Systems)
Show Figures

Figure 1

14 pages, 6158 KB  
Article
Effect of Oxygen and Moisture on the Friction and Wear of Carbon Fiber-Reinforced Polymers
by Pontus Johansson, Pär Marklund, Marcus Björling and Yijun Shi
Lubricants 2023, 11(9), 412; https://doi.org/10.3390/lubricants11090412 - 20 Sep 2023
Cited by 8 | Viewed by 2723
Abstract
Carbon fiber-reinforced polytetrafluoroethylene (CF/PTFE) composites are frequently used in tribological dry gas applications, such as in dynamic seals in reciprocating hydrogen gas compressors and Stirling engines, due to their superior friction and wear. Due to the increasing concerns regarding fluoropolymers as possible pollutants [...] Read more.
Carbon fiber-reinforced polytetrafluoroethylene (CF/PTFE) composites are frequently used in tribological dry gas applications, such as in dynamic seals in reciprocating hydrogen gas compressors and Stirling engines, due to their superior friction and wear. Due to the increasing concerns regarding fluoropolymers as possible pollutants of harmful per- and poly-fluoroalkyl substances (PFAS) emissions, replacements for PTFE should be investigated. The literature indicates that CF-reinforced polyetheretherketone (CF/PEEK) may have similar favorable tribological properties to CF/PTFE. However, the tribological behavior of CF/PEEK in dry gas is poorly understood, and no direct comparison has been made between the two materials. The aim of this study was to compare the effect of oxygen and moisture on the friction and wear of CF/PTFE and CF/PEEK. Tribological tests were carried out with a tri-pin-on-disc tribometer in a nitrogen environment with individually controlled contents of oxygen and moisture. The results showed that the effect of oxygen and moisture are distinctly different for CF/PTFE and CF/PEEK. While CF/PTFE performs best in oxygen-deficient environments, CF/PEEK performs best in moisture-enriched environments. Complementary tests with a PTFE composite filled with both CF and PEEK suggested that the environmental sensitivity can be significantly reduced by combining the two polymers. Full article
(This article belongs to the Special Issue Tribology of Polymer-Based Composites)
Show Figures

Figure 1

18 pages, 4869 KB  
Article
Active Disturbance Rejection-Based Performance Optimization and Control Strategy for Proton-Exchange Membrane Fuel Cell System
by Heng Wei and Changqing Du
Electronics 2023, 12(6), 1393; https://doi.org/10.3390/electronics12061393 - 15 Mar 2023
Cited by 4 | Viewed by 2620
Abstract
In this paper, to maximize the net output power and realize better performance optimization and control of the oxygen excess ratio, a complete dynamic model of the proton-exchange membrane fuel cell system is developed and an active disturbance rejection control strategy is proposed. [...] Read more.
In this paper, to maximize the net output power and realize better performance optimization and control of the oxygen excess ratio, a complete dynamic model of the proton-exchange membrane fuel cell system is developed and an active disturbance rejection control strategy is proposed. The active disturbance rejection control drives the uncertainties and perturbations of the system to an extended state, which is predicted and eliminated by real-time input–output data. The simulation results indicate that, compared with the proportion–integral–differential and fuzzy proportion–integral–differential control, the active disturbance rejection control strategy can effectively improve the control performance with a lower control cost and less wear on the compressor, and the integral absolute error of the oxygen excess ratio control is reduced by up to 50%. In addition, the output voltage is improved and the power generation efficiency of the proton-exchange membrane fuel cell under the active disturbance rejection-based oxygen excess ratio control is 1.84% and 0.95% higher than that of the proportion–integral–differential and fuzzy proportion–integral–differential control, respectively. Moreover, the proposed optimal-reference control strategy increases the net power by up to 1.85% compared with the fixed-reference control strategy. Full article
(This article belongs to the Section Systems & Control Engineering)
Show Figures

Figure 1

17 pages, 5175 KB  
Article
Finite-Time Command Filtered Control for Oxygen-Excess Ratio of Proton Exchange Membrane Fuel Cell Systems with Prescribed Performance
by Van Du Phan, Hoai-An Trinh and Kyoung Kwan Ahn
Mathematics 2023, 11(4), 914; https://doi.org/10.3390/math11040914 - 10 Feb 2023
Cited by 7 | Viewed by 1991
Abstract
In recent years, proton exchange membrane fuel cell (PEMFC) has received growing attention as a new sustainable energy source because of its high-power density and zero-emission. In the PEMFC system, the air supply control has a significant impact on the efficiency and lifetime [...] Read more.
In recent years, proton exchange membrane fuel cell (PEMFC) has received growing attention as a new sustainable energy source because of its high-power density and zero-emission. In the PEMFC system, the air supply control has a significant impact on the efficiency and lifetime of the PEMFC stack. However, external disturbances and output constraints regularly have negative effects on air supply control. This paper aims to investigate a novel system analysis and advanced strategy control for the oxygen-excess ratio of a PEMFC system under the variant load current disturbance. The air-supply dynamic model is established which takes into account the supply manifolds, compressor, and the PEMFC stack. The proposed control method is designed based on finite-time command-filter control (FTCFC) to improve the tracking performance and ensure the finite-time convergence. Moreover, owing to the suggested prescribed performance function, the oxygen-excess ratio output remains in the pre-boundedness. Theoretical analysis exhibits that the closed-loop system stability is guaranteed by the Lyapunov theory. Finally, the simulation and hardware-in-loop (HIL) experiments are carried out on MATLAB environment and a 100 W power PEMFC system to validate the effectiveness of the suggested methodology. Full article
Show Figures

Figure 1

17 pages, 3497 KB  
Article
A Novel Control Algorithm of the Air Supply Subsystem: Based on Dynamic Modeling of Proton Exchange Membrane Fuel Cell
by Pengyu Wang, Yangyang Ma, Jianhua Li, Yukun Gao, Yunrui Zhang and Denghui Ma
Processes 2022, 10(8), 1499; https://doi.org/10.3390/pr10081499 - 29 Jul 2022
Cited by 16 | Viewed by 2716
Abstract
In this paper, a novel second-order active disturbance rejection control (2-ADRC) algorithm is proposed to optimize the control of the air supply subsystem for Proton Exchange Membrane Fuel Cell (PEMFC). To improve the optimal control effect of the air supply subsystem for PEMFC, [...] Read more.
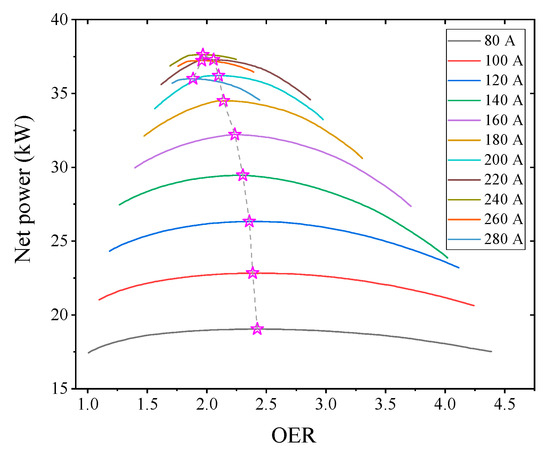
In this paper, a novel second-order active disturbance rejection control (2-ADRC) algorithm is proposed to optimize the control of the air supply subsystem for Proton Exchange Membrane Fuel Cell (PEMFC). To improve the optimal control effect of the air supply subsystem for PEMFC, the modeling theory of the air supply subsystem considering dynamic characteristics of the PEMFC system is first studied, and the dynamic Simulink model of the PEMFC system is established and verified. Then, the optimal oxygen excess ratio (OER) parameters under different load currents are obtained, and the optimal OER parameters are also used as the OER control reference for the designed algorithms. In addition, a 2-ADRC algorithm is designed and proposed to make the actual OER parameters close to the optimal OER in real time. Furthermore, compared with PID and MPC algorithms, the 2-ADRC algorithm can comprehensively consider the two parameters of mass flow and pressure ratio to make the compressor work in the high-efficiency zone and improve the net power and efficiency of the PEMFC system. Full article
Show Figures

Figure 1

16 pages, 5274 KB  
Article
Thermodynamic Analysis of Air-Cycle Refrigeration Systems with Expansion Work Recovery for Compartment Air Conditioning
by Xiaoling Yang, Zhefeng Wang, Ze Zhang, Shuangtao Chen, Yu Hou and Liang Chen
Appl. Sci. 2022, 12(10), 5287; https://doi.org/10.3390/app12105287 - 23 May 2022
Cited by 9 | Viewed by 7547
Abstract
As a requirement for sustainable development, air-cycle refrigeration has received wide attention as a candidate for environmentally friendly air conditioning technology. In this study, the thermodynamic performance of air refrigeration cycles is investigated in compartment air conditioning. The effects of compressor efficiency, expander [...] Read more.
As a requirement for sustainable development, air-cycle refrigeration has received wide attention as a candidate for environmentally friendly air conditioning technology. In this study, the thermodynamic performance of air refrigeration cycles is investigated in compartment air conditioning. The effects of compressor efficiency, expander efficiency, ambient humidity, all-fresh-air supply and ambient pressure on the cycle performance are presented. The effects of compressor arrangement in the high-pressure cycle and the low-pressure cycle are compared. An open-loop high-pressure cycle has a larger COP than that of an open-loop low-pressure cycle but requires larger heat exchange. The performance of air refrigeration cycles with full fresh air is studied, and the influence of fresh air is discussed. Schemes for condensed water recirculation with wet compression are proposed, which can improve the COPs of open-loop low-pressure cycles by 44.7%, 48.8% and 48.4%. In the air conditioning of plateau trains, open-loop high-pressure cycles have slightly lower COPs, but they can supply air with elevated pressure and oxygen concentration. Full article
(This article belongs to the Topic Sustainable Environmental Technologies)
Show Figures

Figure 1

21 pages, 2450 KB  
Article
Exergetic Analysis of a Cryogenic Air Separation Unit
by Sorin Bucsa, Alexandru Serban, Mugur C. Balan, Claudia Ionita, Gabriel Nastase, Catalina Dobre and Alexandru Dobrovicescu
Entropy 2022, 24(2), 272; https://doi.org/10.3390/e24020272 - 13 Feb 2022
Cited by 17 | Viewed by 9913
Abstract
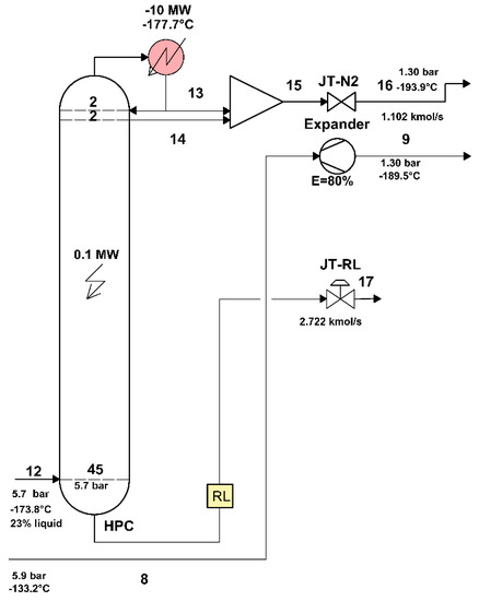
This case study analyzes a cryogenic air separation unit (ASU) with a production of V˙O2=58,300 [m3Nh] of gaseous oxygen with a concentration greater than 98.5%, operating in Romania on a steel plant [...] Read more.
This case study analyzes a cryogenic air separation unit (ASU) with a production of V˙O2=58,300 [m3Nh] of gaseous oxygen with a concentration greater than 98.5%, operating in Romania on a steel plant platform. The goal of the paper is to provide an extensive model of exergetic analysis that could be used in an optimization procedure when decisional parameters are changed or structural design modifications are implemented. For each key part of the Air Separation Unit, an exergetic product and fuel were defined and, based on their definition, the coefficient of performance of each functional zone was calculated. The information about the magnitude of the exergetic losses offers solutions for their future recovery. The analysis of the exergy destructions suggests when it is worth making a larger investment. The exergetic analysis of the compression area of the ASU points out an exergy destruction and loss of 37% from the total plant’s electrical energy input. The exergy loss with the heat transferred to the cooling system of compressors can be recovered; for the exergy destruction portion, the challenge between investment and operating costs should be considered. The exergy destruction of the air separation columns found the High Pressure Column (HPC) to be more destructive than the Low Pressure Column. The share of the exergy destruction in the total plant’s electrical energy input is 8.3% for the HPC. The local COP of the HPC, calculated depending on the total exergy of the local product and fuel, is 62.66%. The calculus of the air separation column is performed with the ChemSep simulator. Full article
(This article belongs to the Section Thermodynamics)
Show Figures

Figure 1

Back to TopTop