Sign in to use this feature.

Years

Between: -

Subjects

remove_circle_outline
remove_circle_outline
remove_circle_outline
remove_circle_outline

Journals

Article Types

Countries / Regions

Search Results (13)

Search Parameters:
Keywords = overfat

Order results
Result details
Results per page
Select all
Export citation of selected articles as:
18 pages, 1503 KB  
Article
Body Composition in Fussy-Eating Children, with and without Neurodevelopmental Disorders, and Their Parents, Following a Taste Education Intervention
by Sigrun Thorsteinsdottir, Ragnar Bjarnason, Helga G. Eliasdottir and Anna S. Olafsdottir
Nutrients 2023, 15(12), 2788; https://doi.org/10.3390/nu15122788 - 18 Jun 2023
Cited by 3 | Viewed by 3969
Abstract
Fussy eaters may have an increased risk of becoming overweight or obese as adolescents, with fussy eating and weight status also correlating with neurodevelopmental disorders (NDs) such as autism spectrum disorder (ASD) and attention deficit/hyperactivity disorder (ADHD). Further, maternal and children’s weight status [...] Read more.
Fussy eaters may have an increased risk of becoming overweight or obese as adolescents, with fussy eating and weight status also correlating with neurodevelopmental disorders (NDs) such as autism spectrum disorder (ASD) and attention deficit/hyperactivity disorder (ADHD). Further, maternal and children’s weight status relationships are well-established. In this study, we analyzed the body composition of parent–child dyads using bioelectrical impedance analysis (BIA). Fifty-one children aged 8–12 years, with an ND (n = 18) and without (n = 33), and their parents, participated in a 7-week food-based Taste Education intervention with 6-month follow-up. The paired t-test was used to compare differences in body composition based on children’s ND status. In logistic regression analysis, odds of children being in the overweight/obese or overfat/obese categories increased by a factor of 9.1 and 10.6, respectively, when having NDs, adjusting for parents’ BMI (body mass index) or fat percentage (FAT%). Children with NDs and their parents had significantly higher mean BMI-SDS (BMI standard deviation score) and FAT% at pre-intervention than children without NDs and their parents. Mean BMI-SDS and FAT% lowered significantly between time points for children with NDs and their parents but not for children without NDs or their parents. The findings underline the need for additional exploration into the relationships between children’s and parents’ body composition based on children’s ND status. Full article
Show Figures

Figure 1

18 pages, 3387 KB  
Article
Body Composition and Fitness Characteristics of Firefighters Participating in a Health and Wellness Program: Relationships and Descriptive Data
by Robert G. Lockie, Joseph M. Dulla, Daniel Higuera, Kristina A. Ross, Robin M. Orr, J. Jay Dawes and Tomas J. Ruvalcaba
Int. J. Environ. Res. Public Health 2022, 19(23), 15758; https://doi.org/10.3390/ijerph192315758 - 26 Nov 2022
Cited by 21 | Viewed by 5527
Abstract
This study investigated body composition and fitness test relationships from firefighters participating in a health and wellness program and categorized firefighters according to population norms relative to sex and age. Data from 270 firefighters (men = 258, women = 12) were analyzed, including [...] Read more.
This study investigated body composition and fitness test relationships from firefighters participating in a health and wellness program and categorized firefighters according to population norms relative to sex and age. Data from 270 firefighters (men = 258, women = 12) were analyzed, including body composition (body mass index [BMI], body fat percentage [BF%], waist circumference [WC], waist-to-hip ratio) and fitness (sit-and-reach, grip strength, leg press, crunches, push-ups, maximal aerobic capacity [V̇O2max]) tests. Mann–Whitney U-test analysis (p < 0.05) showed that male firefighters had a greater WC, WHR, grip strength and leg press. Female firefighters had a greater BF% and better sit-and-reach. Partial correlations controlling for sex indicated 22/24 correlations between body composition and fitness were significant (r = −0.143–−0.640). ~52% of firefighters were overweight, and 25% were Obesity Class I-III. ~76% had an increased risk of cardiovascular disease (CVD) considering BMI and WC. ~22% were fatter than average-to-overfat considering BF%. Most firefighters (73–94%) were good-to-excellent in sit-and-reach, grip strength, and push-ups; average-to-well above average in crunches; average-to-above average in leg press; and had good-to-superior V̇O2max. Although most firefighters had better fitness compared to the general population, many had increased CVD risk. The data highlighted the need for comprehensive approaches to improving firefighter health and decreasing CVD risk. Full article
(This article belongs to the Special Issue Health and Wellness in the Workplace)
Show Figures

Figure 1

11 pages, 614 KB  
Article
Birth Weight and Body Composition as Determined by Isotopic Dilution with Deuterium Oxide in 6- to 8-Year-Old South African Children
by Makama Andries Monyeki, Caroline Molete Sedumedi, John J. Reilly, Xanne Janssen, Herculina Salome Kruger, Ruan Kruger and Cornelia U. Loechl
Children 2022, 9(10), 1597; https://doi.org/10.3390/children9101597 - 21 Oct 2022
Cited by 2 | Viewed by 2463
Abstract
Low and high birth weight (BW) are associated with obesity later in life; however, this association has not been extensively studied in African countries. This study determines the association between BW and body composition derived from deuterium oxide (D2O) dilution in [...] Read more.
Low and high birth weight (BW) are associated with obesity later in life; however, this association has not been extensively studied in African countries. This study determines the association between BW and body composition derived from deuterium oxide (D2O) dilution in 6- to 8-year-old South African children (n = 91; 40 boys, 51 girls). BW was recorded retrospectively from the children’s Road-to-Health cards. Weight and height were measured using standard procedures, and D2O dilution was used to determine total body water and, subsequently, to determine body fat. Fatness was classified using the McCarthy centiles, set at 2nd, 85th, and 95th (underfat, overfat and obese). BW correlated with body composition measures, such as body weight (r = 0.23, p = 0.03), height (r = 0.33, p < 0.001), and fat free mass (FFM; r = 0.27, p = 0.01). When multiple regression analysis was employed, BW significantly and positively associated with FFM (β = 0.24, p = 0.013; 95% CI: 0.032; 0.441) and fat mass (β = 0.21, p = 0.02, 95%CI: 0.001; 0.412) in girls and boys combined. A total of 13% of the children had a low BW, with 21% being overweight and 17% obese. More girls than boys were overweight and obese. Intervention strategies that promote healthy uterine growth for optimal BW are needed in order to curb the global obesity pandemic. Full article
(This article belongs to the Special Issue New Research in Childhood Nutrition)
Show Figures

Figure 1

14 pages, 663 KB  
Article
“Better If They Laugh with Me than at Me”: The Role of Humor in Coping with Obesity-Related Stigma in Women
by Natalia Mazurkiewicz, Mariusz Lipowski, Jarosław Krefta and Małgorzata Lipowska
Int. J. Environ. Res. Public Health 2021, 18(15), 7974; https://doi.org/10.3390/ijerph18157974 - 28 Jul 2021
Cited by 13 | Viewed by 5231
Abstract
This study investigated the role of perceived stigmatization in the relationship between humor styles and coping with stress among young women suffering from stigma due to obesity. In the 21st century, obesity is an increasing global health issue with many physical and mental [...] Read more.
This study investigated the role of perceived stigmatization in the relationship between humor styles and coping with stress among young women suffering from stigma due to obesity. In the 21st century, obesity is an increasing global health issue with many physical and mental consequences for obese women. As a chronic stigmatizing disease, it requires that the affected individuals cope with social consequences; women with obesity are more prone to such consequences than men. Humor fosters the breaking of stereotypes and alleviating the consequences of stigmatization. A total of 127 young adult women (age M = 25.74, SD = 2.73) participated in the study (n = 54 with overfat and n = 73 with healthy fat). Participants filled out the Humor Styles Questionnaire, Perceived Stigmatization Questionnaire, and the Brief COPE Scale. Anthropometric data were gathered using a body composition analyzer. Results indicate that, when perceiving hostile behaviors toward themselves and using humor as a coping strategy, women with overfat select maladaptive styles of humor (i.e., self-defeating and aggressive styles). Women with overfat were also more likely to use humor as a coping strategy in difficult situations. Furthermore, none of the participants were satisfied with their body mass. At the same time, among women without obesity, a lack of compliments was not treated as a problem, even if they had high body fat. Full article
(This article belongs to the Special Issue Second Edition of Stigma, Health and Wellbeing)
Show Figures

Figure 1

12 pages, 363 KB  
Article
Association between Objectively Determined Physical Activity Levels and Body Composition in 6–8-Year-Old Children from a Black South African Population: BC–IT Study
by Caroline M. Sedumedi, Xanne Janssen, John J. Reilly, Herculina S. Kruger and Makama Andries Monyeki
Int. J. Environ. Res. Public Health 2021, 18(12), 6453; https://doi.org/10.3390/ijerph18126453 - 15 Jun 2021
Cited by 9 | Viewed by 3597
Abstract
Physical inactivity in children is a global pandemic in parallel with increasing obesity prevalence. However, studies assessing the association between physical activity (PA) and body composition (BC) report conflicting findings, possibly because of the different methodologies across studies, with objective methods promising reliable [...] Read more.
Physical inactivity in children is a global pandemic in parallel with increasing obesity prevalence. However, studies assessing the association between physical activity (PA) and body composition (BC) report conflicting findings, possibly because of the different methodologies across studies, with objective methods promising reliable results. This study determines the association between objectively determined PA levels and BC in 6–8-year-old children from a black South African population. Ninety-three children aged 6–8 years, who formed part of a larger study on BC using the deuterium dilution method (DDM), were included. Height and weight were measured according to the standard procedures, and body mass index z-score was calculated. Fatness was determined by DDM. An accelerometer was used to measure PA levels. Regression models were performed to determine the relationship between PA and BC. Approximately 23% of the children did not meet the recommended PA guidelines and 27% were overfat. After adjustments were made, more time spent in vigorous PA was significantly associated with lower fat mass (β = −0.25, p = 0.01, 95%CI: −11.08; −1.20) and fat mass % (β = −0.20, p = 0.04, 95%CI: −12.63; −0.18). Participation in high PA, especially of high intensity, was associated with reduced adiposity in children. Behavioural changes such as increasing high intensity PA is strongly recommended for reducing adiposity. Full article
16 pages, 1040 KB  
Article
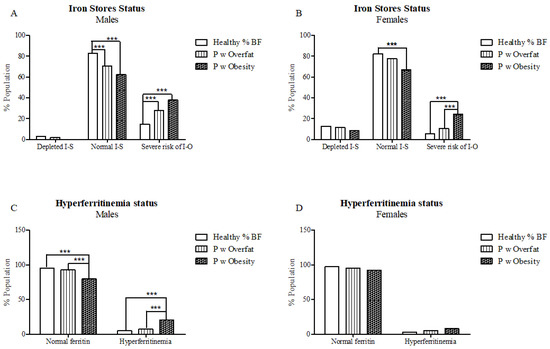
Risk of Iron Overload in Obesity and Implications in Metabolic Health
by Aoibhín Moore Heslin, Aisling O’Donnell, Maria Buffini, Anne P. Nugent, Janette Walton, Albert Flynn and Breige A. McNulty
Nutrients 2021, 13(5), 1539; https://doi.org/10.3390/nu13051539 - 2 May 2021
Cited by 43 | Viewed by 8090
Abstract
Excessive adiposity is associated with several metabolic perturbations including disturbances in iron homeostasis. Increased systemic inflammation in obesity stimulates expression of the iron regulatory hormone hepcidin, which can result in a maldistribution of bodily iron, which may be implicated in metabolic dysfunction. This [...] Read more.
Excessive adiposity is associated with several metabolic perturbations including disturbances in iron homeostasis. Increased systemic inflammation in obesity stimulates expression of the iron regulatory hormone hepcidin, which can result in a maldistribution of bodily iron, which may be implicated in metabolic dysfunction. This study aimed to investigate the effect of adiposity and any associated inflammation on iron homeostasis and the potential implications of dysregulated iron metabolism on metabolic health. Analyses are based on a subsample from the cross-sectional Irish National Adult Nutrition Survey (2008–2010) (n = 1120). Ferritin status and risk of iron overload were determined based on established WHO ferritin ranges. Participants were classed as having a healthy % body fat or as having overfat or obesity based on age- and gender-specific % body fat ranges as determined by bioelectrical impedance. Biomarkers of iron status were examined in association with measures of body composition, serum adipocytokines and markers of metabolic health. Excessive % body fat was significantly associated with increased serum hepcidin and ferritin and an increased prevalence of severe risk of iron overload amongst males independent of dietary iron intake. Elevated serum ferritin displayed significant positive associations with serum triglycerides and markers of glucose metabolism, with an increased but non-significant presentation of metabolic risk factors amongst participants with overfat and obesity at severe risk of iron overload. Increased adiposity is associated with dysregulations in iron homeostasis, presenting as increased serum hepcidin, elevated serum ferritin and an increased risk of iron overload, with potential implications in impairments in metabolic health. Full article
(This article belongs to the Section Nutrition and Metabolism)
Show Figures

Figure 1

19 pages, 856 KB  
Article
Association between Adherence to the Mediterranean Diet and Physical Fitness with Body Composition Parameters in 1717 European Adolescents: The AdolesHealth Study
by Pablo Galan-Lopez, Antonio J. Sanchez-Oliver, Maret Pihu, Thórdís Gísladóttír, Raúl Domínguez and Francis Ries
Nutrients 2020, 12(1), 77; https://doi.org/10.3390/nu12010077 - 27 Dec 2019
Cited by 30 | Viewed by 5687
Abstract
Obesity, low levels of physical fitness, and unhealthy eating patterns are responsible for part of the health problems of adolescents today. The current study aimed at examining the association between the adherence to the Mediterranean diet (MD), through each answer to the items [...] Read more.
Obesity, low levels of physical fitness, and unhealthy eating patterns are responsible for part of the health problems of adolescents today. The current study aimed at examining the association between the adherence to the Mediterranean diet (MD), through each answer to the items of the Adherence to the MD Questionnaire (KIDMED), and physical fitness with body composition parameters (body mass index (BMI), percentage of body fat, and waist circumference) in 1717 European adolescents (N = 900 boys, N = 817 girls). Data of body composition, physical fitness results, and the answers to KIDMED were analyzed by the Student’s t-test. Additionally, the effect size (ES) was calculated and a Chi-square test analyzed the proportion of participants with and without over waist circumference, overfat, and overweight in each KIDMED question. The relative risk of suffering over waist circumference, overfat and overweight in relation to the responses was calculated by Odd-Ratio. Adherence to the MD did not influence the condition of over waist circumference, overfat and overweight, although certain dietary habits were identified as risk factors for their development. Over waist circumference, overfat, and overweight boys and girls presented higher levels of body mass, waist circumference, body fat percentage, and BMI (p < 0.001; ES = 1.73–3.38), as well as lower levels of all the parameters of the physical fitness analyzed (p < 0.001; ES = 0.45–1.08), except the handgrip test. A direct relationship between fitness and over waist circumference, overfat, and overweight was found. Full article
(This article belongs to the Special Issue Diet, Nutrition and Abdominal Obesity)
Show Figures

Figure 1

10 pages, 1430 KB  
Article
Overweight in Young Athletes: New Predictive Model of Overfat Condition
by Gabriele Mascherini, Cristian Petri, Elena Ermini, Vittorio Bini, Piergiuseppe Calà, Giorgio Galanti and Pietro Amedeo Modesti
Int. J. Environ. Res. Public Health 2019, 16(24), 5128; https://doi.org/10.3390/ijerph16245128 - 16 Dec 2019
Cited by 14 | Viewed by 4317
Abstract
The aim of the study is to establish a simple and low-cost method that, associated with Body Mass Index (BMI), differentiates overweight conditions due to a prevalence of lean mass compared to an excess of fat mass during the evaluation of young athletes. [...] Read more.
The aim of the study is to establish a simple and low-cost method that, associated with Body Mass Index (BMI), differentiates overweight conditions due to a prevalence of lean mass compared to an excess of fat mass during the evaluation of young athletes. 1046 young athletes (620 male, 426 female) aged between eight and 18 were enrolled. Body composition assessments were performed with anthropometry, circumferences, skinfold, and bioimpedance. Overweight was established with BMI, while overfat was established with the percentage of fat mass: 3.5% were underweight, 72.8% were normal weight, 20.1% were overweight, and 3.5% were obese according to BMI; according to the fat mass, 9.5% were under fat, 63.6% were normal fat, 16.2% were overfat, and 10.8% were obese. Differences in overfat prediction were found using BMI alone or with the addition of the triceps fold (area under the receiver operating characteristics curve (AUC) for BMI = 0.867 vs. AUC for BMI + TRICEPS = 0.955, p < 0.001). These results allowed the creation of a model factoring in age, sex, BMI, and triceps fold that could provide the probability that a young overweight athlete is also in an overfat condition. The calculated probability could reduce the risk of error in establishing the correct weight status of young athletes. Full article
(This article belongs to the Special Issue Body Composition and Physical Health in Sports Practice)
Show Figures

Figure 1

13 pages, 358 KB  
Article
Evaluation of Physical Fitness, Body Composition, and Adherence to Mediterranean Diet in Adolescents from Estonia: The AdolesHealth Study
by Pablo Galan-Lopez, Raúl Domínguez, Maret Pihu, Thordis Gísladóttir, Antonio J. Sánchez-Oliver and Francis Ries
Int. J. Environ. Res. Public Health 2019, 16(22), 4479; https://doi.org/10.3390/ijerph16224479 - 14 Nov 2019
Cited by 30 | Viewed by 4900
Abstract
Unhealthy lifestyles, low levels of physical fitness, and adherence to the Mediterranean diet (MD) are associated with bad quality of life and the development of a wide range of non-communicable diseases (NCDs). The current study aimed to evaluate the level of adherence to [...] Read more.
Unhealthy lifestyles, low levels of physical fitness, and adherence to the Mediterranean diet (MD) are associated with bad quality of life and the development of a wide range of non-communicable diseases (NCDs). The current study aimed to evaluate the level of adherence to the MD in physical fitness performance and body composition parameters in children and adolescents of Estonia. Therefore, 413 adolescents (56% boys) from the city of Tartu completed the Mediterranean Diet Questionnaire (KIDMED) for analyzing the adherence to MD and performed the Alpha Fitness Test for measuring physical fitness and body composition. A 41.67% of low, 44.05% of average, and 14.28% of high adherence to MD was detected, without difference between genders (p = 0.747). In the Alpha Fitness battery, a higher performance was observed in all tests for boys vs. girls (p < 0.05). In relation to body composition, higher height, weight, and waist values were observed in boys (p < 0.05) and a lower body fat percentage (p < 0.01) without differences in body mass index (BMI; p = 0.906). The adherence to the MD is classified as average/low. Gender significantly influences all variables of the Alpha Fitness battery and anthropometrics measures excepting BMI. According the levels of adherence to the MD, no statistically different prevalence was observed for Non-Overweight (N-Oweight), Non-Overfat (N-Ofat), or Non-Overwaist (N-Owaist). Still, a risk factor for Overweight (Oweight) in boys with low adherence was observed in comparison to those with a mid-level of adherence to the MD. Full article
(This article belongs to the Special Issue Fitness, Physical Activity, and Health in Youth)
11 pages, 343 KB  
Article
Factors Associated with Low Lean Mass in Early Rheumatoid Arthritis: A Cross-Sectional Study
by Raili Müller, Mart Kull, Kaja Põlluste, Annika Valner, Margus Lember and Riina Kallikorm
Medicina 2019, 55(11), 730; https://doi.org/10.3390/medicina55110730 - 8 Nov 2019
Cited by 22 | Viewed by 3280
Abstract
Background and Objectives: The aim of the study was to evaluate body composition (BC) of rheumatoid arthritis (RA) patients at disease onset compared to population controls focusing on the associations between low lean mass and disease specific parameters, nutritional factors and physical [...] Read more.
Background and Objectives: The aim of the study was to evaluate body composition (BC) of rheumatoid arthritis (RA) patients at disease onset compared to population controls focusing on the associations between low lean mass and disease specific parameters, nutritional factors and physical activity. Materials and Methods: 91 patients with early rheumatoid arthritis (ERA) (72% female) and 328 control subjects (54% female) were studied. BC-lean and fat mass parameters were measured with a Lunar Prodigy Dual Energy X-Ray Absorptiometry (DXA) machine. The prevalence, age and gender adjusted odds ratios of having low lean mass and overfat, associations between nutrition, physical activity, and ERA disease specific parameters and the presence of low lean mass were evaluated. Results: We found that the BC of patients with recent onset RA differs from control subjects—ERA patients had a higher mean body fat percentage (BFP) and lower appendicular lean mass (ALM). 41.8% of the ERA patients and 19.8% of the controls were classified as having low lean mass adjusted OR 3.3 (95% C.I. 1.9–5.5, p < 0.001). 68.1% of the ERA subjects and 47.3% of the controls were overfat (adjusted OR 1.9 (95% C.I. 1.1–3.3, p = 0.02)) and the adjusted odds of having both low lean mass and overfat were 4.4 times higher (26.4% vs. 7.0% 95% C.I. 2.3–8.4, p < 0.001) among the ERA group. Higher ESR (OR 1.03, C.I. 1.002–1.051, p = 0.03), CRP (OR 1.03, C.I. 1.002–1.061, p = 0.04), lower protein intake (OR 0.98 C.I. 0.96–0.99, p = 0.04), corticosteroid usage (OR 3.71 C.I. 1.4–9.9, p < 0.01) and lower quality of life (higher HAQ score OR 2.41 C.I. 1.24–4.65, p < 0.01) were associated with having low lean mass in the ERA group (adjusted to age and gender). Conclusions: Patients with early RA have lower appendicular lean mass and higher body fat percentage compared to healthy controls. Loss of lean mass in early RA is associated with elevated inflammatory markers inducing catabolism, lower protein intake and also with GCS treatment. Full article
16 pages, 685 KB  
Article
Association between Physical Condition and Body Composition, Nutrient Intake, Sociodemographic Characteristics, and Lifestyle Habits in Older Spanish Adults
by Maria del Mar Bibiloni, Joanne Karam, Cristina Bouzas, Raquel Aparicio-Ugarriza, Raquel Pedrero-Chamizo, Antoni Sureda, Marcela González-Gross and Josep A. Tur
Nutrients 2018, 10(11), 1608; https://doi.org/10.3390/nu10111608 - 1 Nov 2018
Cited by 20 | Viewed by 4569
Abstract
In this study, we assessed physical condition and its association with body composition, nutrient intake, sociodemographic characteristics, and lifestyle habits in older Spanish adults. In this cross-sectional study, we investigated 380 individuals (54% women; men aged 55–80 years and women aged 60–80 years) [...] Read more.
In this study, we assessed physical condition and its association with body composition, nutrient intake, sociodemographic characteristics, and lifestyle habits in older Spanish adults. In this cross-sectional study, we investigated 380 individuals (54% women; men aged 55–80 years and women aged 60–80 years) with no previously documented cardiovascular disease. A general questionnaire was used, and body weight, height, fat, appendicular skeletal muscle mass, and waist circumference were assessed. Physical condition measurements included handgrip strength (HGS) and agility/dynamic balance by eight-foot time up-and-go (8-f TUG) test. The lowest maximum HGS score (kg) was found in older participants, inactive men, and men with abdominal obesity. The highest maximum 8-f TUG score (s) was found in older and inactive, low education, low income, and abdominal obesity and overfat participants; 24.5% of participants had low maximum HGS and 36.8% had a high 8-f TUG score. Sex- and/or age-adjusted odds ratio (OR) for low maximum HGS in women, older participants, overweight and overfat participants were 4.6, 2.9, 0.6 and 0.6 respectively. Sex and/or age adjusted OR for high maximum 8-f TUG in women, overweight, overfat, and abdominally obese participants were 2.4, 1.6, 1.7, and 3.4, respectively; in participants with higher education, those who earned €900 or more per month, and slightly active and active participants had OR values of 0.4, 0.4, and 0.3, respectively. Sarcopenia incidence was 0.3%; however, 4.5% of men and 19.1% of women registered low physical condition (high and low scores in 8-f TUG and HGS tests, respectively). Overall, 36.8%, 24.5%, and 0.3% of participants had high maximum 8-f TUG score, low maximum HGS, and sarcopenia, respectively. Prevalence of these low values varies according to sociodemographic and body composition variables. Full article
Show Figures

Figure 1

16 pages, 1735 KB  
Article
Gender and Body-Fat Status as Predictors of Parental Feeding Styles and Children’s Nutritional Knowledge, Eating Habits and Behaviours
by Małgorzata Lipowska, Mariusz Lipowski, Paweł Jurek, Anna M. Jankowska and Paulina Pawlicka
Int. J. Environ. Res. Public Health 2018, 15(5), 852; https://doi.org/10.3390/ijerph15050852 - 25 Apr 2018
Cited by 38 | Viewed by 8874
Abstract
The home food environment is critically important for the development of children’s health-related practices. By managing dietary restrictions, providing nutritional knowledge and demonstrating eating behaviours, parents contribute to children’s food preferences and eating patterns. The present study examined nutritional knowledge, eating habits and [...] Read more.
The home food environment is critically important for the development of children’s health-related practices. By managing dietary restrictions, providing nutritional knowledge and demonstrating eating behaviours, parents contribute to children’s food preferences and eating patterns. The present study examined nutritional knowledge, eating habits and appetite traits among 387 Polish five-year-old healthy and overfat boys and girls in the context of parental feeding styles and body-fat status. We observed that girls presented healthier eating habits than boys; however, overfat boys had better nutritional knowledge. Children’s body-fat percentage (%BF) was found to be linked with eating behaviours such as low satiety responsiveness and increased food responsiveness in girls as well as low emotional undereating and increased emotional overeating in boys. Our results revealed that overfat mothers, who were more prone to use the encouragement feeding style, rarely had daughters with increased %BF. Parents of overfat girls, however, were less likely to apply encouragement and instrumental feeding styles. Contrary to popular belief and previous studies, overfat women do not necessarily transmit unhealthy eating patterns to their children. Parents’ greater emphasis on managing the weight and eating habits of daughters (rather than sons) probably results from their awareness of standards of female physical attractiveness. Full article
(This article belongs to the Special Issue Obesity Prevention in Children and Adolescents)
Show Figures

Figure 1

14 pages, 326 KB  
Article
Risk Factors for Obesity and Overfat among Primary School Children in Mashonaland West Province, Zimbabwe
by George Kambondo and Benn Sartorius
Int. J. Environ. Res. Public Health 2018, 15(2), 249; https://doi.org/10.3390/ijerph15020249 - 2 Feb 2018
Cited by 13 | Viewed by 5299
Abstract
Associated childhood obesity risk factors are not well established in developing countries such as Zimbabwe and this information is essential for tailored intervention development. This study aimed to identify prominent risk factors for overweight/obese and overfat/obese among primary school children of Mashonaland West [...] Read more.
Associated childhood obesity risk factors are not well established in developing countries such as Zimbabwe and this information is essential for tailored intervention development. This study aimed to identify prominent risk factors for overweight/obese and overfat/obese among primary school children of Mashonaland West Province in Zimbabwe. A school-based cross-sectional study was conducted using multi-stage random cluster sampling approach (30 × 30). Bivariate and multivariable logistic regression was employed and identified the risk factors for overweight/obese and overfat/obese. A total of 974 participants were enrolled in the study. Prominent significant risk factors of overweight/obese after multivariable adjustment were higher socio-economic households; parental diabetes status; and living in Makonde, Zvimba, Sanyati or Mhondoro-Ngezi district as opposed to Hurungwe district. Risk factors for overfat/obese that remained statically significant were children in urban areas (aOR = 3.19, 95% CI: 2.18−4.66, p = 0.000), being one child in a household, and parents who have diabetes mellitus. Living in Makonde, Sanyati, and Zvimba district remained associated with overfat/obese compared to Hurungwe district. This study has identified prominent proximal determinants of overweight/obese and overfat/obese among primary school children in Zimbabwe, to better assist policy guidance. Aggressive education on good nutrition activities should be tailored and targeted to most affected urban areas within high-risk districts. Full article
Back to TopTop