Sign in to use this feature.

Years

Between: -

Subjects

remove_circle_outline
remove_circle_outline
remove_circle_outline
remove_circle_outline
remove_circle_outline
remove_circle_outline
remove_circle_outline
remove_circle_outline
remove_circle_outline

Journals

remove_circle_outline
remove_circle_outline
remove_circle_outline
remove_circle_outline
remove_circle_outline
remove_circle_outline
remove_circle_outline
remove_circle_outline
remove_circle_outline
remove_circle_outline

Article Types

Countries / Regions

remove_circle_outline
remove_circle_outline
remove_circle_outline
remove_circle_outline

Search Results (421)

Search Parameters:
Keywords = orbit shift

Order results
Result details
Results per page
Select all
Export citation of selected articles as:
27 pages, 5588 KB  
Article
Study on Heat Generation Mechanisms and Circumferential Temperature Evolution Characteristics of Journal Bearings Under Different Whirl Motion
by Yang Liu, Xujiang Liu, Tingting Yang and Qi Yuan
Appl. Sci. 2026, 16(4), 2069; https://doi.org/10.3390/app16042069 - 20 Feb 2026
Abstract
To investigate the heat-generation mechanisms of journal bearings under different whirl motion and to clarify the corresponding temperature distribution characteristics, a computational fluid dynamics-based method was developed. The model incorporates temperature-dependent lubricant viscosity and employs an unsteady dynamic-mesh updating approach based on structured [...] Read more.
To investigate the heat-generation mechanisms of journal bearings under different whirl motion and to clarify the corresponding temperature distribution characteristics, a computational fluid dynamics-based method was developed. The model incorporates temperature-dependent lubricant viscosity and employs an unsteady dynamic-mesh updating approach based on structured grids, enabling the automatic iterative tracking of the journal center during whirl motion. A thermal-effect analysis model that accounts for journal whirl trajectories was thereby established. The whirl orbit shape is characterized using elliptical eccentricity, and the effects of whirl direction, elliptical eccentricity, and whirl frequency on the circumferential temperature and pressure distributions of the journal are examined. Results show that under forward whirl, increasing whirl frequency and elliptical eccentricity initially enhances and then weakens local hydrodynamic pressure and viscous shear dissipation in the oil-film convergent region, producing pronounced first-order circumferential temperature nonuniformity and a high risk of thermal bending at intermediate frequencies. Under backward whirl, hydrodynamic effects are reduced and heat generation shifts from localized concentration to global shear dissipation, forming a relatively uniform second-order circumferential temperature field. Increasing elliptical eccentricity causes the whirl orbit to become more linear, improving load-carrying capacity and heat-transfer performance and thereby mitigating thermally induced vibration and oil-film whirl instability. Full article
(This article belongs to the Section Energy Science and Technology)
Show Figures

Figure 1

13 pages, 2272 KB  
Article
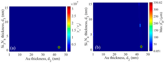
Enhancement of the Shift in the Photonic Spin Hall Effect and Its Application for Cancer Cell Detection
by Alka Verma, Devanshi Katiyar, Vimal Mishra, Rajeev Gupta and Yogendra Kumar Prajapati
Quantum Rep. 2026, 8(1), 17; https://doi.org/10.3390/quantum8010017 - 17 Feb 2026
Viewed by 68
Abstract
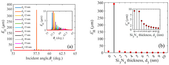
The photonic spin Hall effect (PSHE) originates from the spin–orbit interaction (SOI) of light. The literature indicates that the transverse spin-dependent shift, δH (SDS), from the PSHE is weak (in the nanometer range) and difficult to measure directly. This study utilizes [...] Read more.
The photonic spin Hall effect (PSHE) originates from the spin–orbit interaction (SOI) of light. The literature indicates that the transverse spin-dependent shift, δH (SDS), from the PSHE is weak (in the nanometer range) and difficult to measure directly. This study utilizes a plasmonic structure to improve the δH in the PSHE. The obtained results of this study demonstrate that the inclusion of silicon nitride (Si3N4) significantly enhances the δH relative to its absence; however, plasmonic material is present in both cases. The enhanced shifts exhibit a significant dependence on the resonance angle (θr) and the thickness of layers of the PSHE structure to attain the maximum increase in δH of 350.82 µm at the plasmonic resonance condition. A systematic analysis of the centroid positions of the reflected beam indicates a distinct and constant separation of opposing spin components. Further, the improved δH is utilized in cancer cell detection, as changes in the refractive index (RI) of cells facilitate the identification of cancer cells from healthy to cancerous. All examined cell types demonstrate that cancerous cells had a greater δH than normal cells, owing to their elevated effective RI. These results illustrate that the proposed plasmonic-assisted PSHE structure offers significant enhancement and a high sensitivity of 439.30 µm/RIU for label-free detection of cancer cells. Full article
(This article belongs to the Topic Quantum Systems and Their Applications)
Show Figures

Figure 1

12 pages, 943 KB  
Article
A Theoretical Investigation of the Linear and Nonlinear Optical Responses of Scandium- and Yttrium-Doped (sub-nm) Ag and Au Clusters
by Munish Sharma, Mukesh Jakhar, Ravindra Pandey and Shashi P. Karna
Materials 2026, 19(4), 678; https://doi.org/10.3390/ma19040678 - 10 Feb 2026
Viewed by 164
Abstract
We investigate the linear and nonlinear optical properties of (sub-nm) Ag6 and Au6 clusters doped with Sc and Y using time-dependent density functional theory. Both parent clusters have D3h ground-state geometries but exhibit noticeably different electronic structures; scalar-relativistic corrections in [...] Read more.
We investigate the linear and nonlinear optical properties of (sub-nm) Ag6 and Au6 clusters doped with Sc and Y using time-dependent density functional theory. Both parent clusters have D3h ground-state geometries but exhibit noticeably different electronic structures; scalar-relativistic corrections in Au6 induce significant s-d hybridization, resulting in larger HOMO-LUMO gaps and reduced one-photon absorption (OPA) cross-sections compared to Ag6. Two-photon absorption (TPA) peaks in the UV region show resonance enhancement via coupling with OPA-active states, with Ag6 having larger cross-sections than Au6. Doping with Sc and Y modifies the optical responses by breaking configurational symmetry and lifting HOMO degeneracies. ScAg5 and YAg5 energetically prefer planar configurations with higher dopant orbital contributions, while ScAu5 and YAu5 prefer non-planar configurations. This leads to blue-shifted, intensified OPA transitions and larger TPA cross-sections in doped clusters than in parent clusters. Doped Ag clusters exhibit a significantly stronger TPA response in the biologically relevant 1.8–2.0 eV (620–690 nm) spectral region for in vivo imaging. Furthermore, a higher degree of Sc(Y)-Au hybridization generates additional TPA pathways and also facilitates electronic transitions at 1064 nm, enhancing the first hyperpolarizability (β (−2ω; ω, ω)) for YAu5. Overall, the results show that these (sub-nm) Sc/Y-doped noble metal clusters are promising candidates for photonic and biomedical imaging applications. Full article
(This article belongs to the Special Issue Advancing Nanophotonic Materials: Fundamentals and Applications)
Show Figures

Graphical abstract

22 pages, 2587 KB  
Article
Foodomics of Rice Grains in Astrobiology: Spaceflight-Induced Modulation of Aroma, Texture, and Protein Digestibility in Thai Landrace Rice (466HM) Aboard the Shijian-19 (SJ-19) Low Earth Orbit Mission
by Tatpong Tulyananda, Yodying Yingchutrakul, Kakanang Tantraphongsathon, Atiggamas Khamsuwan, Peerapon Moung-Ngam, Phanchita Vejchasarn, Phakorn Papan, Jakkaphan Kumsab, Chutikarn Butkinaree, Sithichoke Tangphatsornruang, Meng Chieh Yang, Arnatchai Maiuthed, Sittiporn Channumsin and Sucheewin Krobthong
Life 2026, 16(2), 299; https://doi.org/10.3390/life16020299 - 10 Feb 2026
Viewed by 195
Abstract
Ensuring a sustainable source of nutritious food is critical for long-duration space missions. Thai landrace rice 466HM exhibits high nutritional value and stress resilience, making it a promising candidate for space cultivation, yet its response to low Earth orbit (LEO) conditions remains poorly [...] Read more.
Ensuring a sustainable source of nutritious food is critical for long-duration space missions. Thai landrace rice 466HM exhibits high nutritional value and stress resilience, making it a promising candidate for space cultivation, yet its response to low Earth orbit (LEO) conditions remains poorly understood. This study compared rice grains maintained under terrestrial conditions with grains stored aboard the Shijian-19 (SJ-19) reusable satellite, orbiting at ~336 km for 13.5 days under microgravity (2−7 × 10−7g) and an absorbed radiation dose of ~0.153 rad (Si). Volatile compound profiling, texture analysis of cooked grains, and simulated gastrointestinal digestion followed by peptide mass fingerprinting were performed. LEO-exposed rice grains exhibited a 1.67-fold increase in adhesiveness compared to Earth-based rice (p < 0.01), while hardness remained unchanged between the two groups (p > 0.05), alongside distinct alterations in flavor-related volatile compounds and peptide profiles. Principal component analysis revealed clear separation between Earth and LEO-exposed samples, indicating microgravity-associated shifts in digestible peptide composition. Cytotoxicity assessment using MTT assays in HT-29 and HepG2 cells confirmed the safety of both rice types. These findings demonstrate that orbital conditions influence the compositional, functional, and sensory attributes of rice, providing insights relevant to space agriculture and astronaut nutrition. Full article
(This article belongs to the Section Astrobiology)
Show Figures

Figure 1

22 pages, 4853 KB  
Article
Tuning Magnetic Anisotropy and Spin Relaxation in CoFe2O4–MWCNT Nanocomposites via Interfacial Exchange Coupling
by Prashant Kumar, Jiten Yadav, Arjun Singh, Sumit Kumar, Rajni Verma and Saurabh Pathak
J. Compos. Sci. 2026, 10(2), 90; https://doi.org/10.3390/jcs10020090 - 9 Feb 2026
Viewed by 357
Abstract
Interfacial coupling between CoFe2O4 (CFO) nanoparticles and oxidatively functionalized multi-walled carbon nanotubes (MWCNTs) enables controlled modulation of structural, optical, and spin dynamic properties in CFO–MWCNT nanocomposites. The solvothermal synthesis promotes nucleation of CFO on –COOH/–OH functional groups, ensuring uniform anchoring [...] Read more.
Interfacial coupling between CoFe2O4 (CFO) nanoparticles and oxidatively functionalized multi-walled carbon nanotubes (MWCNTs) enables controlled modulation of structural, optical, and spin dynamic properties in CFO–MWCNT nanocomposites. The solvothermal synthesis promotes nucleation of CFO on –COOH/–OH functional groups, ensuring uniform anchoring along the nanotube surface. X-ray diffraction confirms a cubic spinel phase with lattice expansion from 8.385 Å to 8.410 Å and crystallite growth from 18 nm to 25 nm, reflecting strain transfer and partial nanoparticle coalescence at the carbon interface. The observed bandgap narrowing from 2.72 eV to 2.50 eV, confirmed via Tauc plot analysis, is attributed to localized defect states induced by charge delocalization and orbital hybridization at the interface of the CFO–MWCNT boundary. DC magnetometry reveals a reduction in saturation magnetization from 46 emu/g to 35 emu/g due to diamagnetic dilution and interfacial spin canting, while coercivity decreases from 852 Oe to 841 Oe, indicating modified pinning and domain-wall dynamics associated with exchange-coupled interfaces. Ferromagnetic resonance measurements show a resonance field shift from 3495 G to 3500 G and an increase in the Landé g-factor from 1.97 to 2.00, signifying altered spin–orbit coupling and enhanced local magnetic perturbations. The spin–lattice relaxation time increases from 1.41 ns to 1.59 ns, demonstrating suppressed phonon-mediated relaxation and improved spin coherence across the hybrid network. Spin density rises from 3.72 × 1022 to 4.58 × 1022 spins/g, confirming an increase in unpaired electrons generated by orbital asymmetry at the interface. The anisotropy field and effective magnetocrystalline anisotropy constant exhibit pronounced modulation, evidencing strengthened exchange stiffness and altered Co2+/Fe3+ superexchange pathways. These results establish CFO-MWCNT nanocomposites as tuneable platforms for spintronic logic elements, high-frequency microwave attenuation, and magneto-optical device architectures. Full article
Show Figures

Figure 1

34 pages, 12557 KB  
Article
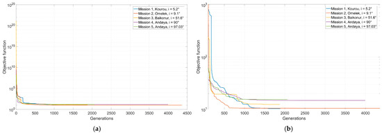
Preliminary Definition of a Family of Partially Reusable Microlaunchers with the Aid of an MDO Approach
by Alexandru-Iulian Onel
Aerospace 2026, 13(2), 159; https://doi.org/10.3390/aerospace13020159 - 8 Feb 2026
Viewed by 163
Abstract
The topic of reusability in the launch vehicle sector is of current worldwide interest, as a shift from expendable to partially reusable configurations can be observed. Based on the work realized in a nationally funded Nucleu project, INCAS has developed a multidisciplinary optimization [...] Read more.
The topic of reusability in the launch vehicle sector is of current worldwide interest, as a shift from expendable to partially reusable configurations can be observed. Based on the work realized in a nationally funded Nucleu project, INCAS has developed a multidisciplinary optimization environment (MDO algorithm) capable of generating preliminary launcher concepts that also take into account the recovery process needed to reuse key major assemblies, such as the lower stage. The current paper analyzes a set of five key missions of interest (with different launch locations) and their influence on the preliminary definition of a family of partially reusable microlaunchers capable of inserting the same payload (100 kg) into different inclination, low Earth orbits (ranging from almost equatorial to Sun-synchronous orbits). The proposed microlauncher concepts are based on a two-stage constant-diameter architecture, where the first stage is recovered via a downrange, autonomous vertical landing mission, while the upper stage is expendable. The main scope of this paper is to quantify the impact of different key mission requirements on the characteristics of the reusable microlauncher that minimize its lift-off mass. This approach also correlates to the definition of reusable launch vehicle concepts that have reduced the associated costs of development, production, and operation. Full article
(This article belongs to the Section Astronautics & Space Science)
Show Figures

Figure 1

19 pages, 2190 KB  
Article
Spectral Characterization of Prospidium Chloride Using Complementary Analytical Techniques
by Antoniy A. Kladiev, Elena V. Uspenskaya, Mikhail G. Baryshev, Vasilii A. Ivlev, Vasilii G. Vasil’ev, Samvel S. Barsegyan and Ainaz Safdari
Sci. Pharm. 2026, 94(1), 15; https://doi.org/10.3390/scipharm94010015 - 5 Feb 2026
Viewed by 222
Abstract
The clinical efficacy of chemotherapy against rapidly proliferating cells stimulates both the development of new agents and the reassessment of established drugs. Spectroscopic methods (UV, FT-IR, and 1H NMR) were applied to characterize prospidium chloride and related substances. The FT-IR spectrum of [...] Read more.
The clinical efficacy of chemotherapy against rapidly proliferating cells stimulates both the development of new agents and the reassessment of established drugs. Spectroscopic methods (UV, FT-IR, and 1H NMR) were applied to characterize prospidium chloride and related substances. The FT-IR spectrum of prospidium chloride, arising from vibrational transitions within the alkyl fragments of the dispirotripiperazinium cation, is reported with band assignments. Electronic transitions between molecular orbitals are analyzed using quantum–mechanical selection rules (Laporte and spin selection rules). The n→σ* transition (ΔS = 0) corresponds to the absorption maximum at λmax = 282 ± 0.40 nm (ε = 3.89 ± 0.08 L·mol−1·cm−1). A 1H NMR spectrum (700 MHz) was used to assign chemical shifts δ (ppm), J-coupling constants (Hz), and gauche conformational features of prospidium chloride and its dihydroxy and epoxy impurities. Quantitative 1H NMR (qNMR) was applied to determine the content of the active pharmaceutical ingredient and related substances. The methods provide complementary structural information for the characterization of prospidium chloride. Full article
Show Figures

Figure 1

15 pages, 492 KB  
Article
Two-Carrier Description of Cuprate Superconductors from NMR
by Daniel Bandur, Abigail Lee, Jakob Nachtigal, Stefan Tsankov and Jürgen Haase
Condens. Matter 2026, 11(1), 5; https://doi.org/10.3390/condmat11010005 - 5 Feb 2026
Viewed by 231
Abstract
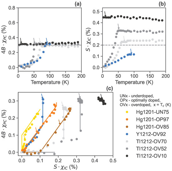
Cuprates currently hold the record for the highest temperature superconductivity at ambient pressure, but the microscopic understanding of these materials remains elusive. Here, we utilize nuclear magnetic resonance (NMR) data of planar oxygen and copper from essentially all hole-doped cuprates to provide a [...] Read more.
Cuprates currently hold the record for the highest temperature superconductivity at ambient pressure, but the microscopic understanding of these materials remains elusive. Here, we utilize nuclear magnetic resonance (NMR) data of planar oxygen and copper from essentially all hole-doped cuprates to provide a universal phenomenology relating the NMR spin shifts, which measure the electronic spin polarization at a given nucleus, with the superconducting dome and maximum critical temperature. There appear to be two separate contributions to the spin shift in planar copper, only one of which is seen at the oxygen site, and we associate them with two different types of carriers. Upon disentangling these two components, their relative size is shown to correlate not only with the doping dependence of the superconducting dome but also with the variation in maximum superconducting critical temperature, Tc,max, between different families. One of these components is independent of family and resides in the hybridized planar orbitals of Cu and O. The second component, in contrast, is predominately isotropic and encodes the differences between the families. It is thus related to the charge transfer gap and planar hole sharing. Our findings offer universal insight which should prove useful in the continuing development of a comprehensive theory of the cuprates, as well as an indication of how it may be possible to engineer materials with higher critical temperatures. Full article
(This article belongs to the Special Issue Superstripes Physics, 4th Edition)
Show Figures

Figure 1

14 pages, 8114 KB  
Article
Green Synthesis of ZnSe Nanoparticles via Laser Fragmentation: Effect of Laser Pulse Energy on Nanoparticle Size and Surface Phonon Modes
by Patricia Maldonado-Altamirano, Maria de los Angeles Hernandez-Perez, Luis Arturo Martínez-Ara, Jorge Sastré-Hernández and Jaime Santoyo-Salazar
Nanomaterials 2026, 16(3), 206; https://doi.org/10.3390/nano16030206 - 5 Feb 2026
Viewed by 231
Abstract
ZnSe nanoparticles were synthesized via the sustainable laser fragmentation in liquids (LFL) technique using a Nd:YAG laser at 1064 nm. The pulse energy was varied to study its effect on the particle size and vibrational properties. UV–Vis absorption spectra show a blue shift [...] Read more.
ZnSe nanoparticles were synthesized via the sustainable laser fragmentation in liquids (LFL) technique using a Nd:YAG laser at 1064 nm. The pulse energy was varied to study its effect on the particle size and vibrational properties. UV–Vis absorption spectra show a blue shift in the absorption edge with a decreasing pulse energy. The sample processed at the lowest pulse energy has the smallest nanoparticles (10.3 nm average), reaches an optical band gap of 2.83 eV, and exhibits a high-energy shoulder attributed to spin–orbit-related transitions. Raman spectra reveal a strong enhancement of the surface phonon mode (231–234 cm−1), where its intensity surpasses that of the longitudinal optical mode, demonstrating the dominant role of surface atoms in the vibrational response. TEM confirms a wide size distribution, i.e., centered at 10.3 ± 6.4 nm, which can account for the simultaneous observation of bulk-like and quantum-confined optical and Raman features. These results show that the pulse energy effectively tunes the nanoparticle size and phonon behavior, positioning LFL as a clean and versatile method for producing ZnSe nanostructures with relevant properties for optoelectronic applications. Full article
(This article belongs to the Section Nanophotonics Materials and Devices)
Show Figures

Graphical abstract

21 pages, 3140 KB  
Article
Stability Under Different Stress Treatments of a Virus-like Particle Vaccine Based on a Recombinant Hepatitis E Vaccine
by Zhiyun Qi, Sha Guo, Hanhan Li, Xijie Xia, Shuangshuang Qi, Enlian Tang, Zhenhao Zhou, Yiping Wang, Chuanfei Yu, Xing Wu and Hao Wu
Pharmaceuticals 2026, 19(2), 269; https://doi.org/10.3390/ph19020269 - 5 Feb 2026
Viewed by 277
Abstract
Background/Objectives: Virus-like particles (VLPs) are effective vaccine platforms but are susceptible to degradation, which compromises stability and immunogenicity. A key challenge is the lack of sensitive early indicators of instability. This study aimed to systematically evaluate the stability of an aluminum-free recombinant [...] Read more.
Background/Objectives: Virus-like particles (VLPs) are effective vaccine platforms but are susceptible to degradation, which compromises stability and immunogenicity. A key challenge is the lack of sensitive early indicators of instability. This study aimed to systematically evaluate the stability of an aluminum-free recombinant hepatitis E virus VLP vaccine under various stresses and identify predictive markers of instability. Methods: The VLP vaccine was subjected to thermal stress (4 °C, 25 °C, 37 °C, 56 °C for up to 28 d), repeated freeze–thaw cycles (up to 30 cycles), and mechanical agitation (orbital shaking at 100 and 300 rpm for up to 12 d). Stability was assessed using a multi-parameter panel monitoring critical quality attributes: conformational and colloidal stability, formation of high-molecular-weight species, mean particle size, polydispersity index, charge heterogeneity, and antigen content. Results: Changes in charge heterogeneity were the earliest indicator of instability, detectable within 3 days at 25 °C, 8 h at 37 °C, and 4 h at 56 °C, preceding losses in structural integrity or antigen-binding function. The VLPs remained stable at 25 °C for 28 d. Freeze–thaw cycles induced a basic shift in charge variants without compromising structure or function, while high-intensity shaking (300 rpm) caused aggregation after 3–6 d. The effects of common excipients were also characterized. Conclusions: Charge-variant analysis serves as a sensitive and predictive marker for VLP vaccine instability. The study delineates the distinct impacts of different stress factors and provides critical data for optimizing formulation design and storage strategies to enhance VLP vaccine stability. Full article
(This article belongs to the Section Biopharmaceuticals)
Show Figures

Graphical abstract

17 pages, 4263 KB  
Article
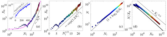
The Structure of the Route to the Period-Three Orbit in the Collatz Map
by Weicheng Fu and Yisen Wang
Math. Comput. Appl. 2026, 31(1), 23; https://doi.org/10.3390/mca31010023 - 4 Feb 2026
Viewed by 243
Abstract
The Collatz map is investigated from a nonlinear-dynamics perspective with emphasis on the structure of its iterative orbits. By embedding integers within Sharkovsky’s ordering, odd initial values are shown to be sufficient for a complete characterization of dynamics. A “direction-phase” decomposition is introduced [...] Read more.
The Collatz map is investigated from a nonlinear-dynamics perspective with emphasis on the structure of its iterative orbits. By embedding integers within Sharkovsky’s ordering, odd initial values are shown to be sufficient for a complete characterization of dynamics. A “direction-phase” decomposition is introduced to separate iterative orbits into upward and downward phases, yielding a family of recursive functions parameterized by the number of upward phases. This formulation reveals a logarithmic scaling relation between the total iteration count and the initial value, confirming finite-time convergence to the period-three orbit. The Collatz dynamics is further shown to be dynamically equivalent to a binary shift map, whose ergodicity implies inevitable evolution toward attractors, thereby reinforcing convergence. Numerical analysis indicates that attraction basins follow a power-law distribution and display pronounced self-similarity. Moreover, odd integers grouped by upward-phase counts are found to follow Gamma statistics. Beyond its research implications, the framework provides a concise pedagogical case study illustrating how nonlinear dynamics, symbolic dynamics, and statistical characterization can be integrated to analyze a classical discrete problem. Full article
Show Figures

Figure 1

14 pages, 1786 KB  
Article
Functionalized Benzoxazole–Pyrimidine Derivatives for Deep Bioimaging: A DFT Study of Molecular Architecture and One- and Two-Photon Absorption
by Edwin Rivera, Oriana Avila and Ruben Fonseca
Physchem 2026, 6(1), 8; https://doi.org/10.3390/physchem6010008 - 2 Feb 2026
Viewed by 241
Abstract
This study investigates how different substituents modulate the electronic structure and optical properties of seven derivatives of Pyrimidine-benzoxazole (FB.01) in DMSO, aiming to optimize their performance as deep bioimaging probes. The π-conjugated FB.01 core was functionalized with methyl, phenyl, N-oxide, exocyclic phenyl, carboxyl, [...] Read more.
This study investigates how different substituents modulate the electronic structure and optical properties of seven derivatives of Pyrimidine-benzoxazole (FB.01) in DMSO, aiming to optimize their performance as deep bioimaging probes. The π-conjugated FB.01 core was functionalized with methyl, phenyl, N-oxide, exocyclic phenyl, carboxyl, N(OH)2, and pyridine. Geometry optimizations were performed using DFT (B3LYP/6-311+G(d,p) with SMD), followed by analysis of frontier orbitals, electronegativity, hardness, and total energy. TD-DFT and the Sum-Over-States approach simulated molar absorptivity spectra and two-photon absorption cross-sections. Results show that minor torsions influence optical responses: the FB.01 skeleton remains nearly planar, though substituents alter π-overlap and shift the LUMO, while the HOMO stays at −7.65 eV. N-oxide and carboxyl groups stabilize the LUMO, narrowing the energy gap (down to 5.20 eV in FB.04 and 6.07 eV in FB.06), whereas methyl widens it (6.38 eV). All compounds preserve a strong UV-band; conjugation increases absorptivity, and FB.04 exhibits a 31 nm red-shift. TPA grows with conjugation and peaks dramatically in FB.04 (23 GM), surpassing other derivatives. These findings highlight three design principles: strong acceptors like N-oxide effectively lower the LUMO and enhance TPA; additional aromatic rings boost one-photon absorption; and carboxyl or N(OH)2 groups finely tune polarity without disrupting planarity. Full article
(This article belongs to the Section Theoretical and Computational Chemistry)
Show Figures

Graphical abstract

13 pages, 9846 KB  
Article
Structural and Electronic Stabilization Tuning of Al6N6 Clusters via Hydrogenation: A Theory Study of Al6N6H8
by Peng-Fei Li, Yang Yang and Shu-Juan Gao
Molecules 2026, 31(3), 495; https://doi.org/10.3390/molecules31030495 - 31 Jan 2026
Viewed by 198
Abstract
Investigating aluminum nitride (AlN) clusters is essential for understanding the properties of bulk AlN materials. The incorporation of hydrogen into AlN clusters represents an effective strategy for structural modification and for tuning their physicochemical properties. In this work, we conducted density functional theory [...] Read more.
Investigating aluminum nitride (AlN) clusters is essential for understanding the properties of bulk AlN materials. The incorporation of hydrogen into AlN clusters represents an effective strategy for structural modification and for tuning their physicochemical properties. In this work, we conducted density functional theory (DFT) calculations on the dynamically stable global-minimum (GM) structure of Al6N6H8. Compared to the precursor Al6N6 cluster, the incorporation of eight hydrogen atoms achieves coordination saturation of all aluminum and nitrogen atoms, inducing a structural transformation from a hexagonal prism with D3d symmetry to a cuboid structure with D2h symmetry. The HOMO–LUMO gap of the Al6N6H8 cluster is increased by 1.85 eV compared to that of Al6N6, indicating a remarkable enhancement in stability. Chemical bonding and natural bond orbital (NBO) charge analyses reveal that the Al–N, Al–H, and N–H bonds are predominantly covalent single bonds, with a degree of ionicity arising from electronegativity differences. The hydrogen atoms bonded to Al and N can be substituted with a series of other atoms or functional groups, thereby further tuning the structures and properties of the clusters. To facilitate future experimental characterization, the infrared spectrum of Al6N6H8 was calculated, which shows an overall blue shift in the Al–N bond’s bending and stretching vibrations compared to those in the Al6N6 cluster. Full article
(This article belongs to the Section Computational and Theoretical Chemistry)
Show Figures

Graphical abstract

54 pages, 2381 KB  
Review
From the Optic Neuritis Treatment Trial to Antibody-Mediated Optic Neuritis: Four Decades of Progress and Unanswered Questions
by Marco A. Lana-Peixoto, Natália C. Talim and Paulo P. Christo
Biomedicines 2026, 14(2), 334; https://doi.org/10.3390/biomedicines14020334 - 31 Jan 2026
Viewed by 518
Abstract
Optic neuritis (ON) has been recognized since antiquity, but its modern clinical identity emerged only in the late 19th century and was definitively shaped by the Optic Neuritis Treatment Trial (ONTT). The ONTT established the natural history, visual prognosis, association with multiple sclerosis [...] Read more.
Optic neuritis (ON) has been recognized since antiquity, but its modern clinical identity emerged only in the late 19th century and was definitively shaped by the Optic Neuritis Treatment Trial (ONTT). The ONTT established the natural history, visual prognosis, association with multiple sclerosis (MS), and therapeutic response to corticosteroids, building the foundation for contemporary ON management. Subsequent discoveries—most notably aquaporin-4 IgG-associated ON (AQP4-ON), myelin oligodendrocyte glycoprotein antibody-associated ON (MOG-ON), and double-negative ON—have fundamentally transformed this paradigm, shifting ON from a seemingly uniform demyelinating syndrome to a group of biologically distinct disorders. These subtypes differ in immunopathology, clinical course, MRI features, retinal injury patterns, CSF profiles, and long-term outcomes, making early and accurate differentiation essential. MRI provides key distinctions in lesion length, orbital tissue inflammation, bilateral involvement, and chiasmal or optic tract extension. Optical coherence tomography (OCT) offers complementary structural biomarkers, including severe early ganglion cell loss in AQP4-ON, relative preservation in MOG-ON, and variable patterns in double-negative ON. CSF analysis further refines diagnosis, with oligoclonal bands strongly supporting MS-ON. Together, these modalities enable precise early stratification and timely initiation of targeted immunotherapy, which is critical for preventing irreversible visual disability. Despite major advances, significant unmet needs persist. Access to high-resolution MRI, OCT, cell-based antibody assays, and evidence-based treatments remains limited in many regions, contributing to global disparities in outcomes. The understanding of the pathogenesis of double-negative optic neuritis, the identification of reliable biomarkers of relapse and visual recovery, and the determination of standardized cut-off values for multimodal diagnostic tools—including MRI, OCT, CSF analysis, and serological assays—remain unresolved challenges. Future research must expand biomarker discovery, refine imaging criteria, and ensure equitable global access to cutting-edge diagnostic platforms and therapeutic innovations. Four decades after the ONTT, ON remains a dynamic field of investigation, with ongoing advances holding the potential to transform care for patients worldwide. Together, these advances expose a fundamental tension between historically MS-centered diagnostic frameworks and the emerging biological heterogeneity of ON, a tension that underpins the structure and critical perspective of the present review. Full article
(This article belongs to the Special Issue Multiple Sclerosis: Diagnosis and Treatment—3rd Edition)
Show Figures

Figure 1

36 pages, 11192 KB  
Article
Orbital Forcing of Paleohydrology in a Marginal Sea Lacustrine Basin: Mechanisms and Sweet-Spot Implications for Eocene Shale Oil, Bohai Bay Basin
by Qinyu Cui, Yangbo Lu, Yiquan Ma, Mianmo Meng, Xinbei Liu, Kong Deng, Yongchao Lu and Wenqi Sun
J. Mar. Sci. Eng. 2026, 14(3), 273; https://doi.org/10.3390/jmse14030273 - 28 Jan 2026
Viewed by 271
Abstract
Investigating how climatic and hydrological conditions in ecological resource-enriched zones of marginal seas respond to external forcing, particularly during past greenhouse climates, holds considerable significance for understanding current environmental and resource challenges driven by global warming. In marginal seas, climatic hydrological states, including [...] Read more.
Investigating how climatic and hydrological conditions in ecological resource-enriched zones of marginal seas respond to external forcing, particularly during past greenhouse climates, holds considerable significance for understanding current environmental and resource challenges driven by global warming. In marginal seas, climatic hydrological states, including salinity, redox conditions, and productivity, are key environmental parameters controlling organic matter production, preservation, and ultimately the formation of high-quality shale. Herein, high-resolution cyclostratigraphic and multi-proxy geochemical analyses were conducted on a continuous core from the upper part of Member 4 of the Eocene Shahejie Formation (Es4cu) in Well NY1, Dongying Sag, Bohai Bay Basin. Based on these data, a refined astronomical timescale was accordingly established for the studied interval. By integrating sedimentological observations with multiple proxy indicators, including elemental geochemistry (e.g., Sr/Ba and Ca/Al ratios), organic geochemistry, and mineralogical data, the evolution of climate and paleo-water mass conditions during the study period was reconstructed. Spectral analyses revealed prominent astronomical periodicities in paleosalinity, productivity, and redox proxies, indicating that sedimentation was modulated by cyclic changes in eccentricity, obliquity, and precession. It was hereby proposed that orbital forcing governed periodic shifts in basin hydrology by regulating the intensity and seasonality of the East Asian monsoon. Intervals of enhanced summer monsoon associated with high eccentricity and obliquity were typically accompanied by increased sediment supply and intensified chemical weathering. Increased precipitation and runoff raised the lake level while promoting stronger connectivity with the ocean. In contrast, during weak seasonal monsoon intervals linked to eccentricity minima, basin conditions shifted from humid to arid, characterized by reduced precipitation, lower lake level, decreased sediment supply, and a concomitant decline in proxies for water salinity. The present results demonstrated orbital forcing as a primary external driver of cyclical changes in conditions favorable for resource formation in the Eocene lacustrine strata of the Bohai Bay Basin. Overall, this study yields critical paleoclimate evidence and a mechanistic framework for predicting the spatial-temporal distribution of high-quality shale under comparable astronomical-climate boundary conditions. Full article
(This article belongs to the Special Issue Advances in Offshore Oil and Gas Exploration and Development)
Show Figures

Figure 1

Back to TopTop