Two-Carrier Description of Cuprate Superconductors from NMR
Abstract
1. Introduction
2. NMR Shifts
2.1. Brief Review of Planar Cuprate Shifts
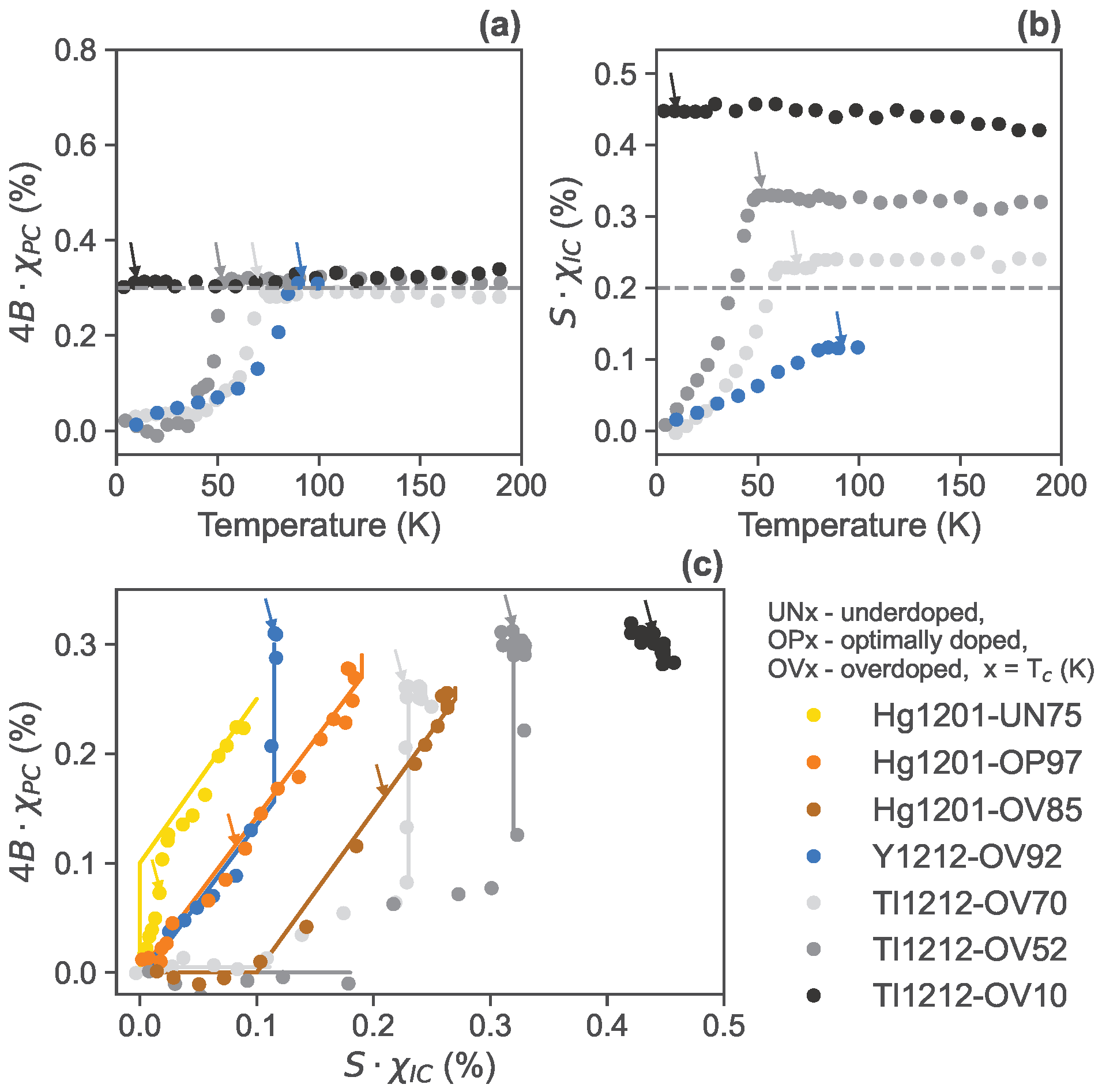
2.2. New Universal Scaling Law
3. Two-Component Scenario
- Note on orbital shift contributions:
4. Discussion and Conclusions
Author Contributions
Funding
Data Availability Statement
Acknowledgments
Conflicts of Interest
Appendix A
| Species | Ref , , | Ref , , | Corr. (%) | Ref |
|---|---|---|---|---|
| Y1212-OV92 | [49], 92 , T | [50], 93 , T | 0.15 | [51] |
| Y1212-UN62 | [16], 62 , 6 T to 7 T | [16], 62 , 6 T to 7 T | 0.15 | [52] |
| Y2212-UN82 | [17], 82 , 9 T | [53], 81 , T | 0.15 | [54] |
| (Y,Pr)1212-UN92 | [55], 92 , T | [56], 92 , T | 0.15 | - |
| (Y,Pr)1212-UN89 | [55], 89 , T | [56], 87 , T | 0.15 | - |
| (Y,Pr)1212-UN72 | [55], 72 , T | [56], 72 , T | 0.15 | - |
| La0201-OV18 | [57] *, 18 , 11 T | [58], 18 , 11 T | 0.15 | [58] |
| La0201-OP38 | [57] *, 38 , 11 T | [21], 38 , T | 0.15 | [58] |
| Tl2201-OP85 | [59], 85 , 11 T | [59], 85 , 11 T | 0.15 | [59] |
| Tl2201-OV0 | [60], 0 , T | [59], 0 , 11 T | 0.15 | [59] |
| Tl2212-UN102 | [61], 102 , 9 T | [61], 102 , 9 T | 0.38 | [61] |
| Tl2212-UN112 | [61], 112 , 9 T | [61], 112 , 9 T | 0.38 | [61] |
| Tl2212-OV104 | [61], 104 , 9 T | [61], 104 , 9 T | 0.38 | [61] |
| Tl2223-OP115 | [62], 115 , 11 T | [62], 115 , 11 T | 0.15 | [62] |
| (Tl,Pb)1212-OV70 | [63], 70 , 8 T | [64], 65 , 7 T/ 12 T | 0.15 | - |
| Tl1212-OV10 | [65], 10 , 11 T | - | 0.15 | - |
| Tl1212-OV52 | [65], 52 , 11 T | - | 0.15 | - |
| Tl1212-OV70 | [65], 70 , 11 T | - | 0.15 | - |
| Hg1201-OV85 | [23], 85 , T | - | 0 | - |
| Hg1201-OP97 | [23], 97 , T | [66], , T | 0 | - |
| Hg1201-UN75 | [23], 74 , T | [66], 75 , T | 0 | |
| Bi2212-OV86 | [67], 86 , 11 T | [68], 82 , 9 T | 0.15 | [68] |
References
- Bednorz, J.G.; Müller, K.A. Possible High Tc Superconductivity in the Ba-La-Cu-O System. Z. Phys. B Condens. Matter 1986, 193, 189–193. [Google Scholar] [CrossRef]
- Uemura, Y.J.; Luke, G.M.; Sternlieb, B.J.; Brewer, J.H.; Carolan, J.F.; Hardy, W.N.; Kadono, R.; Kempton, J.R.; Kiefl, R.F.; Kreitzman, S.R.; et al. Universal Correlations between Tc and ns/m* (Carrier Density over Effective Mass) in High-Tc Cuprate Superconductors. Phys. Rev. Lett. 1989, 62, 2317. [Google Scholar] [CrossRef] [PubMed]
- Ohta, Y.; Tohyama, T.; Maekawa, S. Apex oxygen and critical temperature in copper oxide superconductors: Universal correlation with the stability of local singlets. Phys. Rev. B 1991, 43, 2968–2982. [Google Scholar] [CrossRef] [PubMed]
- Pavarini, E.; Dasgupta, I.; Saha-Dasgupta, T.; Jepsen, O.; Andersen, O.K. Band-Structure Trend in Hole-Doped Cuprates and Correlation with Tc,max. Phys. Rev. Lett. 2001, 87, 047003. [Google Scholar] [CrossRef]
- O’Mahony, S.M.; Ren, W.; Chen, W.; Chong, Y.X.; Liu, X.; Eisaki, H.; Uchida, S.; Hamidian, M.H.; Davis, J.C. On the electron pairing mechanism of copper-oxide high temperature superconductors. Proc. Natl. Acad. Sci. USA 2022, 119, e2207449119. [Google Scholar] [CrossRef]
- Zheng, G.q.; Kitaoka, Y.; Ishida, K.; Asayama, K. Local Hole Distribution in the CuO2 Plane of High-Tc Cu-Oxides Studied by Cu and Oxygen NQR/NMR. J. Phys. Soc. Jpn. 1995, 64, 2524–2532. [Google Scholar] [CrossRef]
- Haase, J.; Sushkov, O.P.; Horsch, P.; Williams, G.V.M. Planar Cu and O hole densities in high-Tc cuprates determined with NMR. Phys. Rev. B 2004, 69, 94504. [Google Scholar] [CrossRef]
- Rybicki, D.; Jurkutat, M.; Reichardt, S.; Kapusta, C.; Haase, J. Perspective on the phase diagram of cuprate high-temperature superconductors. Nat. Commun. 2016, 7, 11413. [Google Scholar] [CrossRef]
- Kowalski, N.; Dash, S.S.; Sémon, P.; Sénéchal, D.; Tremblay, A.M. Oxygen hole content, charge-transfer gap, covalency, and cuprate superconductivity. Proc. Natl. Acad. Sci. USA 2021, 118, e2106476118. [Google Scholar] [CrossRef]
- Bacq-Labreuil, B.; Lacasse, B.; Tremblay, A.M.S.; Sénéchal, D.; Haule, K. Toward an Ab Initio Theory of High-Temperature Superconductors: A Study of Multilayer Cuprates. Phys. Rev. X 2025, 15, 021071. [Google Scholar] [CrossRef]
- Jurkutat, M.; Kattinger, C.; Tsankov, S.; Reznicek, R.; Erb, A.; Haase, J. How pressure enhances the critical temperature for high temperature superconductivity in YBa2Cu3O6+y. Proc. Natl. Acad. Sci. USA 2023, 120, e2215458120. [Google Scholar] [CrossRef] [PubMed]
- Slichter, C.P. Magnetic Resonance Studies of High Temperature Superconductors. In Handbook of High-Temperature Superconductivity; Schrieffer, J.R., Brooks, J.S., Eds.; Springer: New York, NY, USA, 2007; pp. 215–256. [Google Scholar] [CrossRef]
- Yosida, K. Paramagnetic Susceptibility in Superconductors. Phys. Rev. 1958, 110, 769–770. [Google Scholar] [CrossRef]
- Schrieffer, J.R. Theory of Superconductivity; CRC Press: Boca Raton, FL, USA, 2018. [Google Scholar]
- Carter, G.S.; Bennett, L.H.; Kahan, D.J. Metallic Shifts in NMR, a Review of Theory and Comprehensive Critical Data Compilation of Metallic Materials; Pergamon Press: Oxford, UK; New York, NY, USA; Toronto, ON, Canada; Sydney, Australia; Paris, France; Frankfurt, Germany, 1977; Volume 20. [Google Scholar]
- Takigawa, M.; Reyes, A.P.; Hammel, P.C.; Thompson, J.D.; Heffner, R.H.; Fisk, Z.; Ott, K.C. Cu and O NMR studies of the magnetic properties of YBa2Cu3O6.63 (Tc=62K). Phys. Rev. B 1991, 43, 247–257. [Google Scholar] [CrossRef] [PubMed]
- Bankay, M.; Mali, M.; Roos, J.; Brinkmann, D. Single-spin fluid, spin gap, and d-wave pairing in YBa2Cu4O8: A NMR and NQR study. Phys. Rev. B 1994, 50, 6416–6425. [Google Scholar] [CrossRef]
- Hüsser, P.; Suter, H.U.; Stoll, E.P.; Meier, P.F. First-principles calculations of hyperfine interactions in La2CuO4. Phys. Rev. B 2000, 61, 1567–1579. [Google Scholar] [CrossRef]
- Kitaoka, Y.; Fujiwara, K.; Ishida, K.; Asayama, K.; Shimakawa, Y.; Manako, T.; Kubo, Y. Spin dynamics in heavily-doped high-Tc superconductors Tl2Ba2CuO6+y with a single CuO2 layer studied by 63Cu and 205Tl NMR. Phys. C Supercond. 1991, 179, 107–118. [Google Scholar] [CrossRef]
- Barrett, S.E.; Durand, D.J.; Pennington, C.H.; Slichter, C.P.; Friedmann, T.A.; Rice, J.P.; Ginsberg, D.M. 63Cu Knight shifts in the superconducting state of YBa2Cu3O7−δ (Tc = 90 K). Phys. Rev. B 1990, 41, 6283–6296. [Google Scholar] [CrossRef]
- Haase, J.; Slichter, C.P.; Williams, G.V.M. Evidence for two electronic components in high-temperature superconductivity from NMR. J. Phys. Condens. Matter 2009, 21, 455702. [Google Scholar] [CrossRef]
- Haase, J.; Rybicki, D.; Slichter, C.P.; Greven, M.; Yu, G.; Li, Y.; Zhao, X. Two-component uniform spin susceptibility of superconducting HgBa2CuO4+δ single crystals measured using 63Cu and 199Hg nuclear magnetic resonance. Phys. Rev. B 2012, 85, 104517. [Google Scholar] [CrossRef]
- Rybicki, D.; Kohlrautz, J.; Haase, J.; Greven, M.; Zhao, X.; Chan, M.K.; Dorow, C.J.; Veit, M.J. Electronic spin susceptibilities and superconductivity in HgBa2CuO4+δ from nuclear magnetic resonance. Phys. Rev. B 2015, 92, 081115(R). [Google Scholar] [CrossRef]
- Haase, J.; Jurkutat, M.; Kohlrautz, J. Contrasting Phenomenology of NMR Shifts in Cuprate Superconductors. Condens. Matter 2017, 2, 16. [Google Scholar] [CrossRef]
- Nachtigal, J.; Avramovska, M.; Erb, A.; Pavićević, D.; Guehne, R.; Haase, J. Temperature-Independent Cuprate Pseudogap from Planar Oxygen NMR. Condens. Matter 2020, 5, 66. [Google Scholar] [CrossRef]
- Avramovska, M.; Nachtigal, J.; Tsankov, S.; Haase, J. Planar Cu and O NMR and the Pseudogap of Cuprate Superconductors. Condens. Matter 2022, 7, 21. [Google Scholar] [CrossRef]
- Avramovska, M.; Nachtigal, J.; Haase, J. Temperature independent pseudogap from 17O and 89Y NMR and the single component picture. J. Supercond. Nov. Magn. 2022, 35, 1761–1767. [Google Scholar] [CrossRef]
- Renold, S.; Heine, T.; Weber, J.; Meier, P.F. Nuclear magnetic resonance chemical shifts and paramagnetic field modifications in La2CuO4. Phys. Rev. B 2003, 67, 024501. [Google Scholar] [CrossRef]
- Pennington, C.H.; Durand, D.J.; Slichter, C.P.; Rice, J.P.; Bukowski, E.D.; Ginsberg, D.M. Static and dynamic Cu NMR tensors of YBa2Cu3O7−δ. Phys. Rev. B 1989, 39, 2902–2905. [Google Scholar] [CrossRef]
- Matt, C.E.; Sutter, D.; Cook, A.M.; Sassa, Y.; Månsson, M.; Tjernberg, O.; Das, L.; Horio, M.; Destraz, D.; Fatuzzo, C.G.; et al. Direct observation of orbital hybridisation in a cuprate superconductor. Nat. Commun. 2018, 9, 972. [Google Scholar] [CrossRef]
- Chen, C.T.; Tjeng, L.H.; Kwo, J.; Kao, H.L.; Rudolf, P.; Sette, F.; Fleming, R.M. Out-of-plane orbital characters of intrinsic and doped holes in La2−xSrxCuO4. Phys. Rev. Lett. 1992, 68, 2543–2546. [Google Scholar] [CrossRef]
- Jurkutat, M.; Rybicki, D.; Sushkov, O.P.; Williams, G.V.M.; Erb, A.; Haase, J. Distribution of electrons and holes in cuprate superconductors as determined from 17O and 63Cu nuclear magnetic resonance. Phys. Rev. B 2014, 90, 140504(R). [Google Scholar] [CrossRef]
- Müller, K.A. Possible coexistence of s- and d-wave condensates in copper oxide superconductors. Nature 1995, 377, 133–135. [Google Scholar] [CrossRef]
- Asayama, K.; Kitaoka, Y.; Zheng, G.q.; Ishida, K. NMR studies of high Tc superconductors. Prog. Nucl. Magn. Reson. Spectrosc. 1996, 28, 221–253. [Google Scholar] [CrossRef]
- Tallon, J.L.; Storey, J.G. Thermodynamics of the pseudogap in cuprates. Front. Phys. 2022, 10, 1030616. [Google Scholar] [CrossRef]
- Loram, J.W.; Mirza, K.A.; Cooper, J.R.; Tallon, J.L. Specific Heat Evidence on the Normal State Pseudogap. J. Phys. Chem. Solids 1998, 59, 2091–2094. [Google Scholar] [CrossRef]
- Michon, B.; Girod, C.; Badoux, S.; Kačmarčík, J.; Ma, Q.; Dragomir, M.; Dabkowska, H.A.; Gaulin, B.D.; Zhou, J.S.; Pyon, S.; et al. Thermodynamic signatures of quantum criticality in cuprate superconductors. Nature 2019, 567, 218–222. [Google Scholar] [CrossRef] [PubMed]
- Barišić, N.; Chan, M.K.; Veit, M.J.; Dorow, C.J.; Ge, Y.; Li, Y.; Tabis, W.; Tang, Y.; Yu, G.; Zhao, X.; et al. Evidence for a universal Fermi-liquid scattering rate throughout the phase diagram of the copper-oxide superconductors. New J. Phys. 2019, 21, 113007. [Google Scholar] [CrossRef]
- Bandur, D.; Lee, A.; Tsankov, S.; Erb, A.; Haase, J. Stripe-like correlations in the cuprates from oxygen NMR. Phys. C Supercond. Its Appl. 2025, 633, 1354722. [Google Scholar] [CrossRef]
- Li, Q.; Huang, H.Y.; Ren, T.; Weschke, E.; Ju, L.; Zou, C.; Zhang, S.; Qiu, Q.; Liu, J.; Ding, S.; et al. Prevailing Charge Order in Overdoped La2−xSrxCuO4 beyond the Superconducting Dome. Phys. Rev. Lett. 2023, 131, 116002. [Google Scholar] [CrossRef]
- Tranquada, J.M.; Sternlieb, B.J.; Axe, J.D.; Nakamura, Y.; Uchida, S. Evidence for stripe correlations of spins and holes in copper oxide superconductors. Nature 1995, 375, 561–563. [Google Scholar] [CrossRef]
- Keller, H.; Bussmann-Holder, A.; Müller, K.A. Jahn-Teller physics and high-Tc superconductivity. Mater. Today 2008, 11, 38–46. [Google Scholar] [CrossRef]
- Bianconi, A.; Saini, N.L.; Lanzara, A.; Missori, M.; Rossetti, T.; Oyanagi, H.; Yamaguchi, H.; Oka, K.; Ito, T. Determination of the Local Lattice Distortions in the CuO2 Plane of La1.85Sr0.15CuO4. Phys. Rev. Lett. 1996, 76, 3412–3415. [Google Scholar] [CrossRef]
- Bussmann-Holder, A.; Keller, H. Multiband Superconductivity, Polarons, Jahn-Teller Polarons, Heterogeneity, and High-Temperature Superconductivity. Condens. Matter 2024, 9, 56. [Google Scholar] [CrossRef]
- Gor’kov, L.P. Inherent Inhomogeneity in Two-Component Model for Cuprates. J. Supercond. 2001, 14, 365–369. [Google Scholar] [CrossRef]
- Suhl, H.; Matthias, B.T.; Walker, L.R. Bardeen-Cooper-Schrieffer Theory of Superconductivity in the Case of Overlapping Bands. Phys. Rev. Lett. 1959, 3, 552–554. [Google Scholar] [CrossRef]
- Weber, C.; Giamarchi, T.; Varma, C.M. Phase Diagram of a Three-Orbital Model for High-Tc Cuprate Superconductors. Phys. Rev. Lett. 2014, 112, 117001. [Google Scholar] [CrossRef] [PubMed]
- Bourges, P.; Bounoua, D.; Sidis, Y. Loop currents in quantum matter. Comptes Rendus Phys. 2022, 22, 7–31. [Google Scholar] [CrossRef]
- Takigawa, M.; Hammel, P.C.; Heffner, R.H.; Fisk, Z. Spin susceptibility in superconducting YBa2Cu3O7 from 63Cu Knight shift. Phys. Rev. B 1989, 39, 7371–7374. [Google Scholar] [CrossRef]
- Takigawa, M.; Hammel, P.C.; Heffner, R.H.; Fisk, Z.; Ott, K.C.; Thompson, J.D. 17O NMR study of YBa2Cu3O7−d. Phys. C Supercond. Its Appl. 1989, 162–164, 853–856. [Google Scholar] [CrossRef]
- Takigawa, M.; Hammel, P.C.; Heffner, R.H.; Fisk, Z.; Ott, K.C.; Thompson, J.D. 17O NMR study of local spin susceptibility in aligned YBa2Cu3O7 powder. Phys. Rev. Lett. 1989, 63, 1865–1868. [Google Scholar] [CrossRef]
- Yoshinari, Y.; Yasuoka, H.; Ueda, Y.; Koga, K.i.; Kosuge, K. NMR Studies of 17O in the Normal State of YBa2Cu3O6+X. J. Phys. Soc. Jpn. 1990, 59, 3698–3711. [Google Scholar] [CrossRef]
- Tomeno, I.; Machi, T.; Tai, K.; Koshizuka, N.; Kambe, S.; Hayashi, A.; Ueda, Y.; Yasuoka, H. NMR study of spin dynamics at planar oxygen and copper sites in YBa2Cu4O8. Phys. Rev. B 1994, 49, 15327–15334. [Google Scholar] [CrossRef]
- Mangelschots, I.; Mali, M.; Roos, J.; Brinkmann, D.; Rusiecki, S.; Karpinski, J.; Kaldis, E. 17O NMR study in aligned YBa2Cu4O8 powder. Physica C 1992, 194, 277. [Google Scholar] [CrossRef]
- Reyes, A.P.; MacLaughlin, D.E.; Takigawa, M.; Hammel, P.C.; Heffner, R.H.; Thompson, J.D.; Crow, J.E. 63Cu NMR and hole depletion in the normal state of yttrium-rich Y1−xPrxBa2Cu3O7. Phys. Rev. B 1991, 43, 2989–3001. [Google Scholar] [CrossRef] [PubMed]
- MacFarlane, W.A.; Bobroff, J.; Mendels, P.; Cyrot, L.; Alloul, H.; Blanchard, N.; Collin, G.; Marucco, J.F. Planar 17O NMR study of PryY1−yBa2Cu3O6+x. Phys. Rev. B 2002, 66, 024508. [Google Scholar] [CrossRef]
- Ohsugi, S.; Kitaoka, Y.; Ishida, K.; Zheng, G.q.; Asayama, K. Cu NMR and NQR Studies of High-Tc Superconductor La2−xSrxCuO4. J. Phys. Soc. Jpn. 1994, 63, 700. [Google Scholar] [CrossRef]
- Zheng, G.Q.; Kuse, T.; Kitaoka, Y.; Ishida, K.; Ohsugi, S.; Asayama, K.; Yamada, Y. 17O NMR study of La2−xSrxCuO4 in the lightly and heavily doped regions. Phys. C Supercond. 1993, 208, 339–346. [Google Scholar] [CrossRef]
- Kambe, S.; Yasuoka, H.; Hayashi, A.; Ueda, Y. NMR study of the spin dynamics in Tl2Ba2CuOy (Tc = 85 K). Phys. Rev. B 1993, 47, 2825. [Google Scholar] [CrossRef]
- Fujiwara, K.; Kitaoka, Y.; Ishida, K.; Asayama, K.; Shimakawa, Y.; Manako, T.; Kubo, Y. NMR and NQR studies of superconductivity in heavily doped Tl2Ba2CuO6+y with a single CuO2 plane. Phys. C Supercond. 1991, 184, 207–219. [Google Scholar] [CrossRef]
- Gerashchenko, A.P.; Piskunov, Y.V.; Mikhalev, K.; Ananyev, A.; Okuluva, K.; Verkhovskii, S.; Yakubovskii, A.; Shustov, L.; Trokiner, A. The 63Cu and 17O NMR studies of spin susceptibility in differently doped Tl2Ba2CaCu2O8−δ compounds. Phys. C 1999, 328, 163–176. [Google Scholar] [CrossRef]
- Zheng, G.q.; Kitaoka, Y.; Asayama, K.; Hamada, K.; Yamauchi, H.; Tanaka, S. NMR study of local hole distribution, spin fluctuation and superconductivity in Tl2Ba2Ca2Cu3O10. Phys. C Supercond. 1996, 260, 197–210. [Google Scholar] [CrossRef]
- Bogdanovich, A.M.; Zhdanov, Y.I.; Mikhalyov, K.N.; Lavrentjev, V.V.; Aleksashin, B.A.; Verkovskij, S.V.; Winzek, N.; Gergen, P.; Gross, J.; Mehring, M.; et al. Spin susceptibility and doping dependence in Tl0.5Pb0.5Sr2 Ca1−xYxCu2O7−d around the metal-insulator transition 63,65Cu, 207Pb and 205Tl NMR and spin-lattice relaxation. Phys. C Supercond. 1993, 215, 253–264. [Google Scholar] [CrossRef]
- Bellot, P.V.; Trokiner, A.; Zhdonov, Y.; Yakubovskii, A.; Shustov, L.; Verkhovskii, S.; Zagoulaev, S.; Monod, P. Magnetic properties of (Tl1−xPbx)Sr2CaCu2O7 High-Tc oxide studied by 17O NMR and SQUID: From overdoped superconductor to strongly overdoped metal. Phys. C Supercond. 1997, 282–287, 1357–1358. [Google Scholar] [CrossRef]
- Magishi, K.; Kitaoka, Y.; Zheng, G.q.; Asayama, K.; Kondo, T.; Shimakawa, Y.; Manako, T.; Kubo, Y. Magnetic excitation and superconductivity in overdoped TlSr2CaCu2O7−δ: A 63Cu NMR study. Phys. Rev. B 1996, 54, 10131–10142. [Google Scholar] [CrossRef]
- Bobroff, J.; Alloul, H.; Mendels, P.; Viallet, V.; Marucco, J.F.; Colson, D. 17O NMR Evidence for a Pseudogap in the Monolayer HgBa2CuO4+δ. Phys. Rev. Lett. 1997, 78, 3757. [Google Scholar] [CrossRef]
- Ishida, K.; Kitaoka, Y.; Asayama, K.; Kadowaki, K.; Mochiku, T. Cu NMR Study in Single Crystal Bi2Sr2CaCu2O8 -Observation of Gapless Superconductivity-. J. Phys. Soc. Jpn. 1994, 63, 1104–1113. [Google Scholar] [CrossRef]
- Crocker, J.; Dioguardi, A.P.; apRoberts Warren, N.; Shockley, A.C.; Grafe, H.J.; Xu, Z.; Wen, J.; Gu, G.; Curro, N.J. NMR studies of pseudogap and electronic inhomogeneity in Bi2Sr2Ca Cu2O8+d. Phys. Rev. B 2011, 84, 224502. [Google Scholar] [CrossRef]





Disclaimer/Publisher’s Note: The statements, opinions and data contained in all publications are solely those of the individual author(s) and contributor(s) and not of MDPI and/or the editor(s). MDPI and/or the editor(s) disclaim responsibility for any injury to people or property resulting from any ideas, methods, instructions or products referred to in the content. |
© 2026 by the authors. Licensee MDPI, Basel, Switzerland. This article is an open access article distributed under the terms and conditions of the Creative Commons Attribution (CC BY) license.
Share and Cite
Bandur, D.; Lee, A.; Nachtigal, J.; Tsankov, S.; Haase, J. Two-Carrier Description of Cuprate Superconductors from NMR. Condens. Matter 2026, 11, 5. https://doi.org/10.3390/condmat11010005
Bandur D, Lee A, Nachtigal J, Tsankov S, Haase J. Two-Carrier Description of Cuprate Superconductors from NMR. Condensed Matter. 2026; 11(1):5. https://doi.org/10.3390/condmat11010005
Chicago/Turabian StyleBandur, Daniel, Abigail Lee, Jakob Nachtigal, Stefan Tsankov, and Jürgen Haase. 2026. "Two-Carrier Description of Cuprate Superconductors from NMR" Condensed Matter 11, no. 1: 5. https://doi.org/10.3390/condmat11010005
APA StyleBandur, D., Lee, A., Nachtigal, J., Tsankov, S., & Haase, J. (2026). Two-Carrier Description of Cuprate Superconductors from NMR. Condensed Matter, 11(1), 5. https://doi.org/10.3390/condmat11010005

