Sign in to use this feature.

Years

Between: -

Subjects

remove_circle_outline
remove_circle_outline
remove_circle_outline
remove_circle_outline
remove_circle_outline
remove_circle_outline
remove_circle_outline
remove_circle_outline

Journals

Article Types

Countries / Regions

Search Results (20)

Search Parameters:
Keywords = online dynamic mode decomposition

Order results
Result details
Results per page
Select all
Export citation of selected articles as:
27 pages, 5184 KB  
Article
Making Smart Cities Human-Centric: A Framework for Dynamic Resident Demand Identification and Forecasting
by Wen Zhang, Bin Guo, Wei Zhao, Yutong He and Xinyu Wang
Sustainability 2025, 17(21), 9423; https://doi.org/10.3390/su17219423 - 23 Oct 2025
Viewed by 328
Abstract
Smart cities offer new opportunities for urban governance and sustainable development. However, at the current stage, the construction and development of smart cities generally exhibit a technology-driven tendency, neglecting real resident demand, which contradicts the “human-centric” principle. Traditional top-down methods of demand collection [...] Read more.
Smart cities offer new opportunities for urban governance and sustainable development. However, at the current stage, the construction and development of smart cities generally exhibit a technology-driven tendency, neglecting real resident demand, which contradicts the “human-centric” principle. Traditional top-down methods of demand collection struggle to capture the dynamics and heterogeneity of public demand. At the same time, government service platforms, as one dimension of smart city construction, have accumulated massive amounts of user-generated data, providing new solutions for this challenge. This paper aims to construct a big data-driven analytical framework for dynamically identifying and accurately forecasting core resident demand. The study uses Xi’an City, Shaanxi Province, China, as a case study, utilising user messages from People.cn spanning 2011 to 2023. These messages cover various domains, including urban construction, healthcare, education, and transportation, as the data source. The People.cn message board is China’s most significant nationwide online political platform. Its institutionalised feedback mechanism ensures data content focuses on highly representative specific grievances, rather than the broad emotional expressions on social media. The study employs user messages from People.cn from 2011 to 2023 as its data source, encompassing urban construction, healthcare, education, and transportation. First, a large language model (LLM) was used to preprocess and clean the raw data. Subsequently, the BERTopic model was applied to identify ten core demand themes and construct their monthly time series, thereby overcoming the limitations of traditional methods in short-text semantic recognition. Finally, by integrating variational mode decomposition (VMD) with support vector machines (SVMs), a hybrid demand forecasting model was established to mitigate the risk of overfitting in deep learning when forecasting small-sample time series. The empirical results show that the proposed LLM-BERTopic-VMD-SVM framework exhibits excellent performance, with the goodness-of-fit (R2) on various demand themes ranging from 0.93 to 0.96. This study proposes an effective analytical framework for identifying and forecasting resident demand. It provides a decision-support tool for city managers to achieve proactive and fine-grained governance, thereby offering a viable empirical pathway to promote the transformation of smart cities from technology-centric to human-centric. Full article
Show Figures

Figure 1

31 pages, 8900 KB  
Article
Attention-Fused Staged DWT-LSTM for Fault Diagnosis of Embedded Sensors in Asphalt Pavement
by Jiarui Zhang, Haihui Duan, Songtao Lv, Dongdong Ge and Chaoyue Rao
Materials 2025, 18(16), 3917; https://doi.org/10.3390/ma18163917 - 21 Aug 2025
Viewed by 638
Abstract
Fault diagnosis for embedded sensors in asphalt pavement faces significant challenges, including the scarcity of real-world fault data and the difficulty in identifying compound faults, which severely compromises the reliability of monitoring data. To address these issues, this study proposes an intelligent diagnostic [...] Read more.
Fault diagnosis for embedded sensors in asphalt pavement faces significant challenges, including the scarcity of real-world fault data and the difficulty in identifying compound faults, which severely compromises the reliability of monitoring data. To address these issues, this study proposes an intelligent diagnostic framework that integrates a Discrete Wavelet Transform (DWT) with a staged, attention-based Long Short-Term Memory (LSTM) network. First, various fault modes were systematically defined, including short-term (i.e., bias, gain, and detachment), long-term (i.e., drift), and their compound forms. A fine-grained fault injection and labeling strategy was then developed to generate a comprehensive dataset. Second, a novel diagnostic model was designed based on a “Decomposition-Focus-Fusion” architecture. In this architecture, the DWT is employed to extract multi-scale features, and independent sub-models—a Bidirectional LSTM (Bi-LSTM) and a stacked LSTM—are subsequently utilized to specialize in learning short-term and long-term fault characteristics, respectively. Finally, an attention network intelligently weights and fuses the outputs from these sub-models to achieve precise classification of eight distinct sensor operational states. Validated through rigorous 5-fold cross-validation, experimental results demonstrate that the proposed framework achieves a mean diagnostic accuracy of 98.89% (±0.0040) on the comprehensive test set, significantly outperforming baseline models such as SVM, KNN, and a unified LSTM. A comprehensive ablation study confirmed that each component of the “Decomposition-Focus-Fusion” architecture—DWT features, staged training, and the attention mechanism—makes an indispensable contribution to the model’s superior performance. The model successfully distinguishes between “drift” and “normal” states—which severely confuse the baseline models—and accurately identifies various complex compound faults. Furthermore, simulated online diagnostic tests confirmed the framework’s rapid response capability to dynamic faults and its computational efficiency, meeting the demands of real-time monitoring. This study offers a precise and robust solution for the fault diagnosis of embedded sensors in asphalt pavement. Full article
Show Figures

Figure 1

18 pages, 1539 KB  
Article
A Data-Driven Observer for Wind Farm Power Gain Potential: A Sparse Koopman Operator Approach
by Yue Chen, Bingchen Wang, Kaiyue Zeng, Lifu Ding, Yingming Lin, Ying Chen and Qiuyu Lu
Energies 2025, 18(14), 3751; https://doi.org/10.3390/en18143751 - 15 Jul 2025
Viewed by 478
Abstract
Maximizing the power output of wind farms is critical for improving the economic viability and grid integration of renewable energy. Active wake control (AWC) strategies, such as yaw-based wake steering, offer significant potential for power generation increase but require predictive models that are [...] Read more.
Maximizing the power output of wind farms is critical for improving the economic viability and grid integration of renewable energy. Active wake control (AWC) strategies, such as yaw-based wake steering, offer significant potential for power generation increase but require predictive models that are both accurate and computationally efficient for real-time implementation. This paper proposes a data-driven observer to rapidly estimate the potential power gain achievable through AWC as a function of the ambient wind direction. The approach is rooted in Koopman operator theory, which allows a linear representation of nonlinear dynamics. Specifically, a model is developed using an Input–Output Extended Dynamic Mode Decomposition framework combined with Sparse Identification (IOEDMDSINDy). This method lifts the low-dimensional wind direction input into a high-dimensional space of observable functions and then employs iterative sparse regression to identify a minimal, interpretable linear model in this lifted space. By training on offline simulation data, the resulting observer serves as an ultra-fast surrogate model, capable of providing instantaneous predictions to inform online control decisions. The methodology is demonstrated and its performance is validated using two case studies: a 9-turbine and a 20-turbine wind farm. The results show that the observer accurately captures the complex, nonlinear relationship between wind direction and power gain, significantly outperforming simpler models. This work provides a key enabling technology for advanced, real-time wind farm control systems. Full article
(This article belongs to the Special Issue Modeling, Control and Optimization of Wind Power Systems)
Show Figures

Figure 1

20 pages, 8696 KB  
Article
Dynamic Error Modeling and Predictive Compensation for Direct-Drive Turntables Based on CEEMDAN-TPE-LightGBM-APC Algorithm
by Manzhi Yang, Hao Ren, Shijia Liu, Bin Feng, Juan Wei, Hongyu Ge and Bin Zhang
Micromachines 2025, 16(7), 731; https://doi.org/10.3390/mi16070731 - 22 Jun 2025
Viewed by 600
Abstract
The direct-drive turntable serves as the core actuator in high-precision macro-micro drive systems, where its positioning accuracy fundamentally determines overall system performance. Accurate error prediction and compensation technology represent a critical prerequisite for achieving continuous error compensation and predictive control in direct-drive turntables, [...] Read more.
The direct-drive turntable serves as the core actuator in high-precision macro-micro drive systems, where its positioning accuracy fundamentally determines overall system performance. Accurate error prediction and compensation technology represent a critical prerequisite for achieving continuous error compensation and predictive control in direct-drive turntables, making research on positioning error modeling, prediction, and compensation of vital importance. This study presents a dynamic continuous error compensation model for direct-drive turntables, based on an analysis of positioning error mechanisms and the implementation of a “decomposition-modeling-integration-correction” strategy, which features high flexibility, adaptability, and online prediction-correction capabilities. Our methodology comprises four key stages: Complete Ensemble Empirical Mode Decomposition with Adaptive Noise (CEEMDAN)-based decomposition of historical error data, development of component-specific prediction models using Tree-structured Parzen Estimator (TPE)-optimized Light Gradient Boosting Machine (LightGBM) algorithms for each Intrinsic Mode Function (IMF), integration of component predictions to generate initial values, and application of the Adaptive Prediction Correction (APC) module to produce final predictions. Validation results demonstrate substantial performance improvements, with compensated positioning error ranges reduced from [−31.83″, 41.59″] to [−15.09″, 12.07″] (test set) and from [−22.50″, 9.15″] to [−8.15″, 8.56″] (extrapolation test set), corresponding to standard deviation reductions of 71.2% and 61.6%, respectively. These findings conclusively establish the method’s effectiveness in significantly enhancing accuracy while maintaining prediction stability and operational efficiency, underscoring its considerable theoretical and practical value for error compensation in precision mechanical systems. Full article
(This article belongs to the Special Issue Advanced Manufacturing Technology and Systems, 3rd Edition)
Show Figures

Figure 1

19 pages, 7884 KB  
Article
Detection of Q235 Mild Steel Resistance Spot Welding Defects Based on EMD-SVM
by Yuxin Wu, Xiangdong Gao, Dongfang Zhang and Perry Gao
Metals 2025, 15(5), 504; https://doi.org/10.3390/met15050504 - 30 Apr 2025
Viewed by 597
Abstract
Real-time detection of welding defects in resistance spot welding is a complex challenge. Dynamic resistance (DR) reflects nugget growth and varies with defect types, serving as a key indicator. This study presents an online quality evaluation and defect classification method for Q235 low-carbon [...] Read more.
Real-time detection of welding defects in resistance spot welding is a complex challenge. Dynamic resistance (DR) reflects nugget growth and varies with defect types, serving as a key indicator. This study presents an online quality evaluation and defect classification method for Q235 low-carbon steel welding. Welding current and voltage were collected in real-time, and DR signals were processed employing a second-order Butterworth low-pass filter featuring zero-phase processing to enhance accuracy. Empirical mode decomposition (EMD) decomposed these signals into intrinsic mode functions (IMFs) and residuals, which were classified by a support vector machine (SVM). Experiments showed the EMD-SVM method outperforms traditional approaches, including backpropagation (BP) neural networks, SVM, wavelet packet decomposition (WPD)-BP, WPD-SVM, and EMD-BP, in identifying four welding states: normal, spatter, false, and edge welding. This method provides an efficient, robust solution for online defect detection in resistance spot welding. Full article
Show Figures

Figure 1

31 pages, 8743 KB  
Article
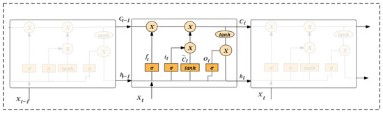
Online Data-Driven Integrated Prediction Model for Ship Motion Based on Data Augmentation and Filtering Decomposition and Time-Varying Neural Network
by Nan Gao, Zhenju Chuang and Ankang Hu
J. Mar. Sci. Eng. 2024, 12(12), 2287; https://doi.org/10.3390/jmse12122287 - 12 Dec 2024
Cited by 1 | Viewed by 1354
Abstract
Online prediction for ship motion with strong nonlinear characteristics under harsh sea states will significantly reduce the damage of large accidents. Therefore, an integrated ship motion online prediction model consisting of a data augmentation algorithm based on the Improved Temporal Convolutional Network and [...] Read more.
Online prediction for ship motion with strong nonlinear characteristics under harsh sea states will significantly reduce the damage of large accidents. Therefore, an integrated ship motion online prediction model consisting of a data augmentation algorithm based on the Improved Temporal Convolutional Network and Time Generative Adversarial Network (ITCN-TGAN), and an Improved Empirical Mode Decomposition (IEMD) and a Time-Varying Neural Network based on Global Time Pattern Attention (GTPA-TNN), is proposed in this article. The results of the validation tests in which the container ship KCS is taken as the example show that the synthetic data generated by ITCN-TGAN based on the dataset with few nonlinear samples are very similar to the original data, which proves that the synthetic data have high authenticity and can be used as training data to reduce the sampling cost; the input signal is decomposed into multiple Intrinsic Mode Functions (IMFs) by IEMD without noise diffusion, an endpoint effect, or mode mixing occurring in it, which indirectly improved the accuracy; and the dynamic sliding window adaptively adjusts the input sequence length according to the waveform characteristics to improve the computational stability of the model, the accuracy of GTPA-TNN can maintain a high level during the prediction period in various working conditions, and the error distribution is almost the same, which suggests that the integrated model has strong robustness and can realize the goal of online prediction of ship motion under harsh sea conditions. Full article
(This article belongs to the Special Issue Advances in Ship and Marine Hydrodynamics)
Show Figures

Figure 1

24 pages, 9961 KB  
Article
Deep Learning-Based Rapid Flow Field Reconstruction Model with Limited Monitoring Point Information
by Ping Wang, Guangzhong Hu, Wenli Hu, Xiangdong Xue, Jing Tao and Huabin Wen
Aerospace 2024, 11(11), 871; https://doi.org/10.3390/aerospace11110871 - 24 Oct 2024
Cited by 5 | Viewed by 1810
Abstract
The rapid reconstruction of the internal flow field within pressure vessel equipment based on features from limited detection points was of significant value for online monitoring and the construction of a digital twin. This paper proposed a surrogate model that combined Proper Orthogonal [...] Read more.
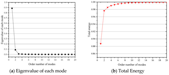
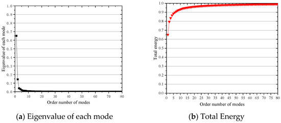
The rapid reconstruction of the internal flow field within pressure vessel equipment based on features from limited detection points was of significant value for online monitoring and the construction of a digital twin. This paper proposed a surrogate model that combined Proper Orthogonal Decomposition (POD) with deep learning to capture the dynamic mapping relationship between sensor monitoring point information and the global flow field state during equipment operation, enabling rapid reconstruction of the temperature field and velocity field. Using POD, the order of the tested temperature field was reduced by 99.75%, and the order of the velocity field was reduced by 99.13%, effectively decreasing the dimensionality of the flow field. Our analysis revealed that the first modal coefficient of the temperature field snapshot data, after modal decomposition, had a higher energy proportion compared to that of the velocity field snapshot data, along with a more pronounced marginal effect. This indicates that more modes need to be retained for the velocity field to achieve a higher total energy proportion. By constructing a CSSA-BP model to represent the mapping relationship between the modal coefficients of the temperature and velocity fields and the data collected from the detection points, a comparison was made with the BP method in reconstructing the temperature field of a shell-and-tube heat exchanger. The CSSA-BP method yielded a maximum mean squared error (MSE) of 9.84 for the reconstructed temperature field, with a maximum mean absolute error (MAE) of 1.85. For the velocity field, the maximum MSE was 0.0135 and the maximum MAE was 0.0728. The global maximum errors for the reconstructed temperature field were 4.85%, 3.65%, and 4.29%, respectively. The global maximum errors for the reconstructed velocity field were 17.72%, 11.30%, and 16.79%, indicating that the model established in this study has high accuracy. Conventional CFD simulation methods require several hours, whereas the reconstruction model proposed here can rapidly reconstruct the flow field within 1 min after training is completed, significantly reducing reconstruction time. This work provides a new method for quickly obtaining the internal flow field state of pressure vessel equipment under limited detection points, offering a reference for online monitoring and the development of digital twins for pressure vessel equipment. Full article
(This article belongs to the Section Aeronautics)
Show Figures

Figure 1

26 pages, 33259 KB  
Article
Automatic High-Resolution Operational Modal Identification of Thin-Walled Structures Supported by High-Frequency Optical Dynamic Measurements
by Tongfa Deng, Yuexin Wang, Jinwen Huang, Maosen Cao and Dragoslav Sumarac
Materials 2024, 17(20), 4999; https://doi.org/10.3390/ma17204999 - 12 Oct 2024
Cited by 1 | Viewed by 1546
Abstract
High-frequency optical dynamic measurement can realize multiple measurement points covering the whole surface of the thin-walled structure, which is very useful for obtaining high-resolution spatial information for damage localization. However, the noise and low calculation efficiency seriously hinder its application to real-time, online [...] Read more.
High-frequency optical dynamic measurement can realize multiple measurement points covering the whole surface of the thin-walled structure, which is very useful for obtaining high-resolution spatial information for damage localization. However, the noise and low calculation efficiency seriously hinder its application to real-time, online structural health monitoring. To this end, this paper proposes a novel high-resolution frequency domain decomposition (HRFDD) modal identification method, combining an optical system with an accelerometer for measuring high-accuracy vibration response and introducing a clustering algorithm for automated identification to improve efficiency. The experiments on the cantilever aluminum plate were carried out to evaluate the effectiveness of the proposed approach. Natural frequency and damping ratios were obtained by the least-squares complex frequency domain (LSCF) method to process the acceleration responses; the high-resolution mode shapes were acquired by the singular value decomposition (SVD) processing of global displacement data collected by high-speed cameras. Finally, the complete set of the first nine order modal parameters for the plate within the frequency range of 0 to 500 Hz has been determined, which is closely consistent with the results obtained from both experimental modal analysis and finite element analysis; the modal parameters could be automatically picked up by the DBSCAN algorithm. It provides an effective method for applying optical dynamic technology to real-time, online structural health monitoring, especially for obtaining high-resolution mode shapes. Full article
Show Figures

Graphical abstract

18 pages, 6883 KB  
Article
Data-Driven Control Method Based on Koopman Operator for Suspension System of Maglev Train
by Peichen Han, Junqi Xu, Lijun Rong, Wen Wang, Yougang Sun and Guobin Lin
Actuators 2024, 13(10), 397; https://doi.org/10.3390/act13100397 - 3 Oct 2024
Cited by 2 | Viewed by 1657
Abstract
The suspension system of the Electromagnetic Suspension (EMS) maglev train is crucial for ensuring safe operation. This article focuses on data-driven modeling and control optimization of the suspension system. By the Extended Dynamic Mode Decomposition (EDMD) method based on the Koopman theory, the [...] Read more.
The suspension system of the Electromagnetic Suspension (EMS) maglev train is crucial for ensuring safe operation. This article focuses on data-driven modeling and control optimization of the suspension system. By the Extended Dynamic Mode Decomposition (EDMD) method based on the Koopman theory, the state and input data of the suspension system are collected to construct a high-dimensional linearized model of the system without detailed parameters of the system, preserving the nonlinear characteristics. With the data-driven model, the LQR controller and Extended State Observer (ESO) are applied to optimize the suspension control. Compared with baseline feedback methods, the optimization control with data-driven modeling reduces the maximum system fluctuation by 75.0% in total. Furthermore, considering the high-speed operating environment and vertical dynamic response of the maglev train, a rolling-update modeling method is proposed to achieve online modeling optimization of the suspension system. The simulation results show that this method reduces the maximum fluctuation amplitude of the suspension system by 40.0% and the vibration acceleration of the vehicle body by 46.8%, achieving significant optimization of the suspension control. Full article
(This article belongs to the Special Issue Advanced Theory and Application of Magnetic Actuators—2nd Edition)
Show Figures

Figure 1

19 pages, 3785 KB  
Article
Improved Deep Learning Predictions for Chlorophyll Fluorescence Based on Decomposition Algorithms: The Importance of Data Preprocessing
by Lan Wang, Mingjiang Xie, Min Pan, Feng He, Bing Yang, Zhigang Gong, Xuke Wu, Mingsheng Shang and Kun Shan
Water 2023, 15(23), 4104; https://doi.org/10.3390/w15234104 - 27 Nov 2023
Cited by 7 | Viewed by 1979
Abstract
Harmful algal blooms (HABs) have been deteriorating global water bodies, and the accurate prediction of algal dynamics using the modelling method is a challenging research area. High-frequency monitoring and deep learning technology have opened up new horizons for HAB forecasting. However, the non-stationary [...] Read more.
Harmful algal blooms (HABs) have been deteriorating global water bodies, and the accurate prediction of algal dynamics using the modelling method is a challenging research area. High-frequency monitoring and deep learning technology have opened up new horizons for HAB forecasting. However, the non-stationary and stochastic process behind algal dynamics monitoring largely limits the prediction performance and the early warning of algal booms. Through an analysis of the published literature, we found that decomposition methods are widely used in time-series analysis for hydrological processes. Predictions of ecological indicators have received less attention due to their inherent fluctuations. This study explores and demonstrates the predictive enhancement for chlorophyll fluorescence data based on the coupling of three decomposition algorithms with conventional deep learning models: the convolutional neural network (CNN) and long short-term memory (LSTM). We found that the decomposition algorithms can successfully capture the time-series patterns of chlorophyll fluorescence concentrations. The results indicate that decomposition-based models can enhance the accuracy of single models in predicting chlorophyll concentrations in terms of the improvement percentages in RMSE (with increases ranging from 25.7% to 71.3%), MAE (ranging from 28.3% to 75.7%), and R2 values (increasing ranging from 14.8% to 34.8%). In addition, the comparison experiment for different decomposition methods might suggest the superiority of singular spectral analysis in hourly predictive tasks of chlorophyll fluorescence over the wavelet transform and empirical mode decomposition models. Overall, while decomposition methods come with their respective strengths and weaknesses, they are undeniably efficient in combination with deep learning models in dealing with the high-frequency monitoring of chlorophyll fluorescence data. We also suggest that model developers pay more attention to online data preprocessing and conduct comparative analyses to determine the best model combinations for forecasting algal blooms and water management. Full article
Show Figures

Figure 1

19 pages, 5933 KB  
Article
A Novel Rolling Bearing Fault Diagnosis Method Based on MFO-Optimized VMD and DE-OSELM
by Yonghua Jiang, Zhuoqi Shi, Chao Tang, Jianan Wei, Cui Xu, Jianfeng Sun, Linjie Zheng and Mingchao Hu
Appl. Sci. 2023, 13(13), 7500; https://doi.org/10.3390/app13137500 - 25 Jun 2023
Cited by 5 | Viewed by 1868
Abstract
Rolling bearings are critical in maintaining smooth operation of rotating machinery and considerably influence its reliability. The signals collected from rolling bearings in field conditions are often subjected to noise, creating a challenge to extract weaker fault features. This paper proposes a rolling [...] Read more.
Rolling bearings are critical in maintaining smooth operation of rotating machinery and considerably influence its reliability. The signals collected from rolling bearings in field conditions are often subjected to noise, creating a challenge to extract weaker fault features. This paper proposes a rolling bearing fault diagnosis method that addresses the above-mentioned problem through the moth-flame optimization algorithm optimized variational mode decomposition (MFO-optimized VMD) and an ensemble differential evolution online sequential extreme learning machine (DE-OSELM). By using the dynamic adaptive weight factor and genetic algorithm cross operator, the optimization accuracy and global optimization ability of the moth-flame optimization (MFO) are improved, and the two basic parameters of VMD decomposition level and quadratic penalty factor are adaptive selected. Since the vibration characteristics of the signal cannot be fully interpreted by a single index, The effective weighted correlation sparsity index (EWCS) is utilized to extract the relevant intrinsic mode functions (IMF) of VMD decomposition and extract their energies as features. In order to improve the classification accuracy, The energy feature set is subsequently inputted into DE-OSELM for training and classification purposes, and the proposed method is assessed via a sample set with four different health states of actual rolling bearings. Our proposed method results are compared with other diagnosis methods, proving its feasibility to diagnose rolling bearing faults with higher classification accuracy. Full article
(This article belongs to the Special Issue Intelligent Fault Diagnosis and Health Detection of Machinery)
Show Figures

Figure 1

18 pages, 3337 KB  
Article
Extended Online DMD and Weighted Modifications for Streaming Data Analysis
by Gyurhan Nedzhibov
Computation 2023, 11(6), 114; https://doi.org/10.3390/computation11060114 - 9 Jun 2023
Cited by 2 | Viewed by 2757
Abstract
We present novel methods for computing the online dynamic mode decomposition (online DMD) for streaming datasets. We propose a framework that allows incremental updates to the DMD operator as data become available. Due to its ability to work on datasets with lower ranks, [...] Read more.
We present novel methods for computing the online dynamic mode decomposition (online DMD) for streaming datasets. We propose a framework that allows incremental updates to the DMD operator as data become available. Due to its ability to work on datasets with lower ranks, the proposed method is more advantageous than existing ones. A noteworthy feature of the method is that it is entirely data-driven and does not require knowledge of any underlying governing equations. Additionally, we present a modified version of our proposed approach that utilizes a weighted alternative to online DMD. The suggested techniques are demonstrated using several numerical examples. Full article
(This article belongs to the Special Issue Mathematical Modeling and Study of Nonlinear Dynamic Processes)
Show Figures

Figure 1

11 pages, 6356 KB  
Article
An AVMD-DBN-ELM Model for Bearing Fault Diagnosis
by Xue Lei, Ningyun Lu, Chuang Chen and Cunsong Wang
Sensors 2022, 22(23), 9369; https://doi.org/10.3390/s22239369 - 1 Dec 2022
Cited by 12 | Viewed by 2122
Abstract
Rotating machinery often works under complex and variable working conditions; the vibration signals that are widely used for the health monitoring of rotating machinery show extremely complicated dynamic frequency characteristics. It is unlikely that a few certain frequency components are used as the [...] Read more.
Rotating machinery often works under complex and variable working conditions; the vibration signals that are widely used for the health monitoring of rotating machinery show extremely complicated dynamic frequency characteristics. It is unlikely that a few certain frequency components are used as the representative fault signatures for all working conditions. Aiming at a general solution, this paper proposes an intelligent bearing fault diagnosis method that integrates adaptive variational mode decomposition (AVMD), mode sorting based deep belief network (DBN) and extreme learning machine (ELM). It can adaptively decompose non-stationery vibration signals into temporary frequency components and sort out a set of effective frequency components for online fault diagnosis. For online implementation, a similarity matching method is proposed, which can match the online-obtained frequency-domain fault signatures with the historical fault signatures, and the parameters of AVMD-DBN-ELM model are set to be the same as the most similar case. The proposed method can decompose vibration signals into different modes adaptively and retain effective modes, and it can learn from the idea of an attention mechanism and fuse the results according to the weight of MIV. It also can improve the timeliness of the fault diagnosis. For comprehensive verification of the proposed method, the bearing dataset from the University of Ottawa is used, and some recent methods are repeated for comparative analysis. The results can prove that our proposed method has higher reliability, higher accuracy and higher efficiency. Full article
Show Figures

Figure 1

23 pages, 1252 KB  
Article
Efficient Nonlinear Model Predictive Control of Automated Vehicles
by Shuyou Yu, Encong Sheng, Yajing Zhang, Yongfu Li, Hong Chen and Yi Hao
Mathematics 2022, 10(21), 4163; https://doi.org/10.3390/math10214163 - 7 Nov 2022
Cited by 14 | Viewed by 4175
Abstract
In this paper, an efficient model predictive control (MPC) of velocity tracking of automated vehicles is proposed, in which a reference signal is given a priori. Five degree-of-freedom vehicle dynamics with nonlinear tires is chosen as the prediction model, in which coupling [...] Read more.
In this paper, an efficient model predictive control (MPC) of velocity tracking of automated vehicles is proposed, in which a reference signal is given a priori. Five degree-of-freedom vehicle dynamics with nonlinear tires is chosen as the prediction model, in which coupling characteristics of longitudinal and lateral dynamics are taken into account. In order to balance computational burden and prediction accuracy, Koopman operator theory is adopted to transform the nonlinear model into a global linear model. Then, the global linear model is used in the design of MPC to reduce online computational burden and avoid solving nonconvex/nonlinear optimization problems. Furthermore, the effectiveness of Koopman operator in vehicle dynamics control is verified using a Matlab/Simulink environment. Validation results demonstrate that dynamic mode decomposition with control (DMDc) and extended dynamic mode decomposition (EDMD) algorithms are more accurate in model validation and dynamic prediction than local linearization, and DMDc algorithm has less computational burden on solving optimization problems than the EDMD algorithm. Full article
Show Figures

Figure 1

24 pages, 6334 KB  
Article
Online Sifting Technique for Structural Health Monitoring Data Based on Recursive EMD Processing Framework
by Danhui Dan, Chenqi Wang, Ruiyang Pan and Yangmei Cao
Buildings 2022, 12(9), 1312; https://doi.org/10.3390/buildings12091312 - 26 Aug 2022
Cited by 5 | Viewed by 2474
Abstract
Real-time and online screening techniques for single load effect signal monitoring are one of the key issues in smart structure monitoring. In this paper, an online signal sifting framework called online recursive empirical mode decomposition (EMD) is proposed. The framework is based on [...] Read more.
Real-time and online screening techniques for single load effect signal monitoring are one of the key issues in smart structure monitoring. In this paper, an online signal sifting framework called online recursive empirical mode decomposition (EMD) is proposed. The framework is based on an improved EMD that optimizes the boundary effect by using extreme value recursion and eigensystem realization algorithm (ERA) extension, and combines the intrinsic mode functions (IMFs) correlation coefficient and adaptive filtering to select IMFs for signal reconstruction to achieve the sifting purpose. When applied to simulated signals, the method satisfies the requirements of signal sifting in an online environment with high adaptivity, low parameter sensitivity and good robustness. The method was applied to the dynamic strain data collected by the health monitoring system of Daishan Second Bridge to achieve real-time online sifting of strain signals caused by traffic loads, which provided the basis for subsequent data analysis applications and confirmed the value of the application in a real bridge health monitoring system. Full article
Show Figures

Figure 1

Back to TopTop