Sign in to use this feature.

Years

Between: -

Subjects

remove_circle_outline
remove_circle_outline
remove_circle_outline
remove_circle_outline
remove_circle_outline
remove_circle_outline
remove_circle_outline
remove_circle_outline
remove_circle_outline

Journals

remove_circle_outline
remove_circle_outline
remove_circle_outline
remove_circle_outline

Article Types

Countries / Regions

remove_circle_outline
remove_circle_outline
remove_circle_outline
remove_circle_outline
remove_circle_outline

Search Results (1,826)

Search Parameters:
Keywords = ocean wave

Order results
Result details
Results per page
Select all
Export citation of selected articles as:
14 pages, 3902 KB  
Article
Near-Surface Responses Under Wind Forcing: Lagrangian ADCP Observations
by Jun Myoung Choi and Young Ho Kim
J. Mar. Sci. Eng. 2026, 14(5), 492; https://doi.org/10.3390/jmse14050492 - 4 Mar 2026
Abstract
Wind-driven shear and vertical mixing in the upper meter of the ocean strongly regulate near-surface circulation and buoyant tracer transport, yet direct field observations immediately beneath the air–sea interface remain scarce. We present Lagrangian observations, equipped with an upward-looking Acoustic Doppler Current Profiler [...] Read more.
Wind-driven shear and vertical mixing in the upper meter of the ocean strongly regulate near-surface circulation and buoyant tracer transport, yet direct field observations immediately beneath the air–sea interface remain scarce. We present Lagrangian observations, equipped with an upward-looking Acoustic Doppler Current Profiler (ADCP), collected during 5–7 April 2022 in the Jeju Strait under wind stresses of 0.0006–0.19 Pa. Near-surface shear and turbulence metrics were resolved within the top surface layer (TSL), and a response-time analysis showed that upper-layer shear responded most promptly to wind variability, whereas deeper-layer shear and sea-state metrics adjusted more slowly. Wave-period variability exhibited the weakest coupling, indicating additional nonlocal influences. Reynolds-stress estimates showed that the along-wind momentum flux was predominantly negative, indicating net downward transfer of downwind momentum, while cross-direction fluxes were smaller on average and frequently reversed sign, consistent with intermittent lateral transfers associated with evolving wave–current interactions. Using an eddy-viscosity framework, we derived stress-based exponential-saturation parameterizations for depth-averaged shear and vertical diffusivity, with the diffusivity magnitude treated as sensitive to the assumed turbulent Prandtl number. The relationships are intended for event-scale conditions within the observed forcing range and provide field-constrained, implementation-ready formulations for near-surface transport and mixing models. Full article
(This article belongs to the Section Physical Oceanography)
Show Figures

Figure 1

32 pages, 3873 KB  
Article
AIS-Based Recognition of Typhoon-Related Ship Responses: A Dual-Behavior Framework
by Xinyi Sun, Jingbo Yin, Yingchao Gou, Shaohan Wang, Ningfei Wang, Min Chen and Xinxin Liu
J. Mar. Sci. Eng. 2026, 14(5), 487; https://doi.org/10.3390/jmse14050487 - 3 Mar 2026
Abstract
Typhoon avoidance is critical for ship maneuvering safety under extreme meteo-ocean conditions. This study proposes a data-driven framework that converts AIS trajectories into interpretable course deviation and speed change responses for navigational decision support. After AIS cleaning, temporal resampling, and matching with gridded [...] Read more.
Typhoon avoidance is critical for ship maneuvering safety under extreme meteo-ocean conditions. This study proposes a data-driven framework that converts AIS trajectories into interpretable course deviation and speed change responses for navigational decision support. After AIS cleaning, temporal resampling, and matching with gridded wind, wave, and current fields, rule-based sliding-window and regression procedures, informed by experienced captains and company staff, automatically generate proxy labels for deviation and speed reduction. Samples are stratified by vessel size to reflect differences in inertia and maneuverability, and XGBoost classifiers are trained with simple resampling to mitigate class imbalance. The framework is demonstrated on a single-event case study of Typhoon Yagi in the South China Sea, covering 8609 vessels and reconstructed sailing fragments. On the test set, the deviation model achieves 89.8% accuracy and high recall for deviation cases, while the speed change model reaches 82% balanced accuracy under the proxy-label setting. Results suggest a scale-dependent response: smaller vessels exhibit more frequent course deviation, whereas larger vessels more often reduce speed under severe wind-wave loading. The framework offers a proof-of-concept approach to derive behavior-based indicators from AIS and environmental data and may support situational assessment under adverse weather. Full article
Show Figures

Figure 1

27 pages, 5696 KB  
Article
Assessment of Wave Data in West Africa for the Estimation of Wave Climate
by Yusif Owusu, Komlan Agbéko Kpogo-Nuwoklo, Anthony Twum and Bapentire Donatus Angnuureng
Coasts 2026, 6(1), 8; https://doi.org/10.3390/coasts6010008 - 3 Mar 2026
Abstract
Reanalysis wave datasets are essential for understanding wave conditions along the West African coast, a region with over 350 million people and diverse economic activities. This study evaluates the effectiveness of various datasets, including ERA5, WAVERYS, satellite (HY-2B/HY-2C), and buoy measurements, focusing on [...] Read more.
Reanalysis wave datasets are essential for understanding wave conditions along the West African coast, a region with over 350 million people and diverse economic activities. This study evaluates the effectiveness of various datasets, including ERA5, WAVERYS, satellite (HY-2B/HY-2C), and buoy measurements, focusing on significant wave height (Hs). WAVERYS was found to better match in situ conditions compared to ERA5, making it the preferred dataset for climate estimation. This study found that wave heights (Hs) of WAVERYS in the region range from 0.5 m to 3.2 m, with waves primarily coming from the south and southwest, having periods between 3.8 s and 25 s. Swell, originating from the South Atlantic Ocean, dominates the wave climate, while local wind waves contribute only about 5% to the overall sea state energy. Seasonal analysis showed that the highest waves occur between June and September, coinciding with the South Atlantic winter and stronger winds. The validation performed in this study confirms that the WAVERYS reanalysis can reliably be used as a source of wave data in the Gulf of Guinea. This recommendation is based on its consistently better agreement with the available in situ observations and its improved representation of wave dynamics in the region. At locations where buoy measurements exist, in situ data should remain the primary reference for site-specific applications; however, such measurements are spatially sparse and temporally limited across West Africa. Consequently, WAVERYS provides a practical and robust alternative for regional-scale analyses, long-term assessments, and operational applications in areas lacking direct observations, making it particularly valuable for coastal risk assessment, engineering design, and marine operations in the region. Full article
Show Figures

Figure 1

19 pages, 5279 KB  
Article
Coastal Communities Exposed to Storm Surge and Tsunami Events at Licantén, Maule, Chile: Evidence Through Remote Sensing Data
by Joaquín Valenzuela-Jara, Idania Briceño de Urbaneja, Waldo Pérez-Martínez and Isidora Díaz-Quijada
Land 2026, 15(3), 404; https://doi.org/10.3390/land15030404 - 1 Mar 2026
Viewed by 137
Abstract
The Licantén coastal area in central Chile was severely impacted by the 2010 Mw 8.8 Cobquecura earthquake and subsequent tsunami, exposing the high vulnerability of coastal communities. Over the past decade, urban expansion has advanced toward the shoreline, increasing exposure to coastal hazards. [...] Read more.
The Licantén coastal area in central Chile was severely impacted by the 2010 Mw 8.8 Cobquecura earthquake and subsequent tsunami, exposing the high vulnerability of coastal communities. Over the past decade, urban expansion has advanced toward the shoreline, increasing exposure to coastal hazards. This study aims to quantify shoreline dynamics and urban growth in Licantén between 2010 and 2025. We integrated satellite-derived shorelines (SDSs) from Landsat and Sentinel-2 imagery, ERA5 ocean reanalysis to characterize extreme wave events, and an open-source building footprint dataset with high-resolution imagery for urban mapping. Results indicate a post-earthquake acceleration in shoreline erosion up to 5 m per year and a rise in extreme wave events linked to climate variability. Urbanized areas expanded by an average of 46.3%, intensifying risk in hazard-prone zones. These findings highlight the urgent need for evidence-based coastal planning, including zoning and land-use restrictions, to reduce exposure and enhance resilience. This research contributes to climate adaptation strategies and sustainable coastal management in Chile. Full article
Show Figures

Figure 1

17 pages, 6853 KB  
Article
Aerodynamic Characteristics Analysis of Floating Wind Turbine Subjected to Different Wind and Platform Movement Directions
by Bin Wang, Yuyan Liu, Guanming Zeng and Yongqing Lai
Fluids 2026, 11(3), 65; https://doi.org/10.3390/fluids11030065 - 28 Feb 2026
Viewed by 117
Abstract
Floating offshore wind turbines (FOWTs) are subjected to complex oceanic environmental loads, which can result in non-collinear wind and wave directions that may not align with the rotor axis, potentially leading to complex variations in aerodynamic characteristics. In this study, the aerodynamic performance [...] Read more.
Floating offshore wind turbines (FOWTs) are subjected to complex oceanic environmental loads, which can result in non-collinear wind and wave directions that may not align with the rotor axis, potentially leading to complex variations in aerodynamic characteristics. In this study, the aerodynamic performance and wake of the NREL 5 MW wind turbine under different inflow angles and platform surge motions in various directions were investigated using the actuator line model (ALM) implemented in OpenFOAM. The results demonstrate that an increase in surge amplitude primarily amplifies the cyclic fluctuations in rotor thrust and torque, while the direction of surge motion has a negligible influence. In contrast, yawed inflow leads to a substantial reduction in both the mean and peak values of thrust and torque. Wake analysis further reveals that the mean wake recovery is predominantly governed by the yaw angle. Under aligned inflow conditions, the wake remains nearly symmetric and shows limited sensitivity to platform surge motion. Conversely, yawed inflow induces significant wake deflection with an asymmetric distribution of turbulent kinetic energy and enhanced mixing in the downstream region. Full article
Show Figures

Figure 1

14 pages, 915 KB  
Article
Integrability and Exact Wave Solutions of the (3+1)-Dimensional Combined pKP–BKP Equation
by Nida Raees, Ali H. Tedjani, Ejaz Hussain and Muhammad Amin S. Murad
Symmetry 2026, 18(3), 420; https://doi.org/10.3390/sym18030420 - 28 Feb 2026
Viewed by 51
Abstract
In this work, we examine the prospects of matching the Kadomtsev–Petviashvili (pKP) equation with the B-type Kadomtsev–Petviashvili (BKP) equation, which we will call the pKP-BKP equation. The resulting model gives a rigorous mathematical framework for describing long wave phenomena in oceans, impoundments and [...] Read more.
In this work, we examine the prospects of matching the Kadomtsev–Petviashvili (pKP) equation with the B-type Kadomtsev–Petviashvili (BKP) equation, which we will call the pKP-BKP equation. The resulting model gives a rigorous mathematical framework for describing long wave phenomena in oceans, impoundments and estuaries and for forecasting tsunamis; river, tide and irrigation flows; and wave patterns in the atmosphere. Using a consolidated method of analysis based on symmetry reductions and rational function transformations, we obtain several classes of exact solutions composed of rational, periodic, breather and kink-wave structures. These methods shed light on the interplay between symmetries that control the formation of soliton solutions, hence allowing the construction of new families of analytical soliton solutions. The solutions obtained are linked together through spectral degeneracies and reductions in symmetry. These methodologies are presented in a systematic way, emphasizing their applicability to a general class of nonlinear evolution equations. The results of the analysis are substantiated through direct substitution, and the structural characteristics of the solutions are discussed in detail. As a result, these results expand the solution space of the pKP–BKP equation and provide better analytical insights into Kadomtsev–Petviashvili-type nonlinear evolution equations. Full article
Show Figures

Figure 1

29 pages, 8104 KB  
Article
HW-OPINN: A Heat Wave-Optimized Physics-Informed Neural Network for Marine Heatwave Prediction
by Qi He, Ruize Bi, Wei Zhao, Wenbo Zhang, Yanling Du and Yulin Chen
Remote Sens. 2026, 18(5), 723; https://doi.org/10.3390/rs18050723 - 27 Feb 2026
Viewed by 103
Abstract
Marine heatwaves (MHWs) are prolonged extreme warming events that pose severe threats to marine ecosystems and coastal communities, necessitating reliable prediction capabilities for climate adaptation and marine resource management. Traditional numerical models, while physically grounded, are constrained by computational costs and error accumulation, [...] Read more.
Marine heatwaves (MHWs) are prolonged extreme warming events that pose severe threats to marine ecosystems and coastal communities, necessitating reliable prediction capabilities for climate adaptation and marine resource management. Traditional numerical models, while physically grounded, are constrained by computational costs and error accumulation, whereas purely data-driven approaches often lack physical consistency and generalize poorly to extreme events. To address these challenges, this study proposes a Heat Wave-Optimized Physics-Informed Neural Network (HW-OPINN) that synergistically integrates ocean mixed-layer heat budget dynamics with adaptive deep learning techniques. The proposed framework introduces three methodological innovations. First, an adaptive sampling strategy grounded in Boltzmann distribution theory dynamically reallocates physical collocation points toward high-gradient regions based on historical loss patterns. Second, a residual-based adaptive weight update mechanism automatically modulates physical constraint contributions across spatially heterogeneous regions during training. Third, a Bayesian optimization framework employing Gaussian process surrogates systematically balances physical constraints against data fitting objectives. The framework is validated through comprehensive experiments in the Mediterranean Sea using multi-source reanalysis data spanning over two decades. Results demonstrate that HW-OPINN achieves superior performance in sea surface temperature (SST) prediction, with a test MSE of 0.009138 and RMSE of 0.095595, representing improvements of 43.9% and 25.1%, respectively, compared to the ConvLSTM baseline (MSE: 0.016275, RMSE: 0.127575), and 44.8% and 25.7% improvements over standard PINN (MSE: 0.016550, RMSE: 0.128661). Based on the predicted SST fields, the model successfully reproduces the spatial heterogeneity of key MHW characteristics, including event frequency, duration, and intensity distributions, demonstrating its effectiveness for downstream MHW detection and analysis. Full article
Show Figures

Figure 1

27 pages, 17939 KB  
Article
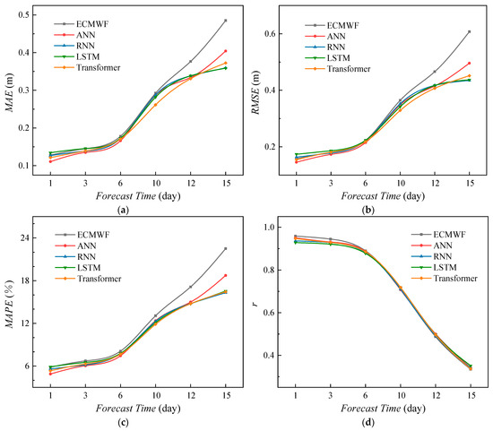
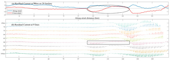
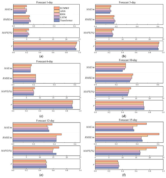
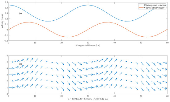
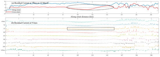
Spatiotemporal Characteristics and Dynamical Analysis of Surface Residual Currents in the Southwestern Taiwan Strait Under Low Wind Condition
by Shujun Zhong, Li Wang, Weihua Ai, Junqiang Shen and Xiongbin Wu
J. Mar. Sci. Eng. 2026, 14(5), 445; https://doi.org/10.3390/jmse14050445 - 27 Feb 2026
Viewed by 151
Abstract
The residual current is the ocean current after the tidal component has been removed. Understanding the spatiotemporal distribution characteristics of sea surface residual currents is key to revealing the local current field evolution and typical physical oceanographic processes. The Taiwan Strait is in [...] Read more.
The residual current is the ocean current after the tidal component has been removed. Understanding the spatiotemporal distribution characteristics of sea surface residual currents is key to revealing the local current field evolution and typical physical oceanographic processes. The Taiwan Strait is in the East Asian monsoon region, where residual currents are significantly influenced by monsoons during periods of high wind speeds. However, the characteristics and dynamic mechanisms of residual currents under low wind speed conditions (≤5 m/s) remain unclear. Based on high-frequency surface wave radar current data and wind field reanalysis data, this study analyzed the characteristics of residual currents in the southwestern Taiwan Strait under low wind speed conditions, focusing on two orthogonal directions: cross-shore and along-shore. During these periods, residual currents exhibit counter-wind current characteristics. These currents cross the Taiwan Bank and generate wave signals with wavelengths ranging from 35.6 km to 65.8 km and durations of 6 to 12 h in the Xiapeng Depression area. These fluctuations are triggered by the combined timing of low winds and nonlinear current–topography interactions. In terms of dynamic mechanisms, the Coriolis force term and the acceleration term dominate the momentum equations in both two orthogonal directions, indicating that the current field is in a non-steady inertial adjustment phase during this period. Furthermore, this study constructs a two-layer ocean model of rotationally modified gravity waves to analyze the influences of topography, oceanic stratification, and steady current velocity on the characteristics of residual current fluctuations under low wind speed conditions. The theoretical model yields spatial scales that closely match the observed wavelength characteristics. Full article
(This article belongs to the Section Physical Oceanography)
Show Figures

Figure 1

25 pages, 9018 KB  
Review
The Status of Marine Energy of Costa Rica: Challenges and Opportunities for Grid Integration
by Jose Rodrigo Rojas-Morales, Christopher Vega-Sánchez, Juan Luis Guerrero-Fernández, Rodney Eduardo Mora-Escalante, Pablo César Mora-Céspedes, Michelle Chavarría-Brenes, Manuel Corrales-Gonzalez, Julio César Rojas-Gómez, Rolando Madriz-Vargas and Leonardo Suárez-Matarrita
Energies 2026, 19(5), 1189; https://doi.org/10.3390/en19051189 - 27 Feb 2026
Viewed by 218
Abstract
Marine renewable energy could support Costa Rica’s decarbonization pathway, but its offshore resource base and enabling conditions remain poorly characterized in the body of knowledge. This study provides the first integrated assessment of marine energy resources, grid integration opportunities, and governance challenges in [...] Read more.
Marine renewable energy could support Costa Rica’s decarbonization pathway, but its offshore resource base and enabling conditions remain poorly characterized in the body of knowledge. This study provides the first integrated assessment of marine energy resources, grid integration opportunities, and governance challenges in Costa Rica. A meta-analysis of 76 technical, legal, and policy sources is combined with qualitative doctrinal analysis, GIS-based multi-criteria evaluation for Ocean Thermal Energy Conversion (OTEC), and satellite and reanalysis data for winds, waves, currents, and sea surface temperature to estimate power densities and extractable energy. Results show a contrast between the Pacific and Caribbean coasts. For instance, on the Northern Pacific coast, there are strong Papagayo winds, and persistent swells yield high offshore wind and wave energy potentials, with technical offshore wind resources of around 14.4 GW and Pacific wave power frequently exceeding 20–25 kW/m with relatively low seasonal variability. Furthermore, twelve OTEC-suitable zones are identified with two priority areas in the southern Pacific that combine steep bathymetry and strong thermal gradients with limited environmental conflicts, but they overlap with sensitive conservation and Indigenous territories. Current energy potential is more localized and modest in the Caribbean coast. The analysis highlights major infrastructural, legal, and social barriers but concludes that marine energy can play a pivotal role in diversifying Costa Rica’s renewable-dominated electricity market. Full article
(This article belongs to the Special Issue Advanced Technologies for the Integration of Marine Energies)
Show Figures

Figure 1

31 pages, 4878 KB  
Article
A Physics-Guided Hybrid Network for Robust Hydrodynamic Parameter Identification of UUVs Under Lumped Disturbances
by Xinyu Fei, Lu Wang, Ruiheng Liu, Shipang Qian, Jiaxuan Song, Suohang Zhang, Yanhu Chen and Canjun Yang
J. Mar. Sci. Eng. 2026, 14(5), 434; https://doi.org/10.3390/jmse14050434 - 26 Feb 2026
Viewed by 93
Abstract
Accurate identification of hydrodynamic parameters is essential for high-fidelity modeling and control of unmanned underwater vehicles (UUVs). Compared with towing tank experiments and computational fluid dynamics simulations, system identification based on free-running trial data offers a cost-effective and scalable alternative. However, in real [...] Read more.
Accurate identification of hydrodynamic parameters is essential for high-fidelity modeling and control of unmanned underwater vehicles (UUVs). Compared with towing tank experiments and computational fluid dynamics simulations, system identification based on free-running trial data offers a cost-effective and scalable alternative. However, in real ocean environments, unmodeled lumped disturbances—such as shear currents, stratification-induced buoyancy variations, and wave-induced drift forces—strongly couple with the vehicle’s intrinsic dynamics. Conventional least-squares estimators and physics-informed neural networks tend to absorb environmental effects into the physical parameters, leading to physically inconsistent estimates. To address this challenge, this paper proposes a physics-guided hybrid network (PG-HyNet) with input-domain structural decoupling. The architecture explicitly separates the intrinsic rigid-body dynamics from spatially varying environmental disturbances by assigning dynamics-related states to a physics-constrained branch and position-dependent variables to a residual disturbance branch. A staged training strategy is introduced to stabilize identification and suppress parameter drift during optimization. The framework is validated using high-fidelity simulations incorporating shear currents, density stratification, and wave drift effects, as well as real-world lake trial data. The results demonstrate that PG-HyNet significantly improves robustness against disturbance-induced parameter compensation, enabling physically consistent hydrodynamic parameter recovery while accurately capturing spatially varying environmental disturbance effects. Full article
(This article belongs to the Section Ocean Engineering)
Show Figures

Figure 1

26 pages, 2296 KB  
Article
Insights into the Time-Fractional Nonlinear KdV-Type Equations Under Non-Singular Kernel Operators
by Mashael M. AlBaidani and Rabab Alzahrani
Symmetry 2026, 18(2), 391; https://doi.org/10.3390/sym18020391 - 23 Feb 2026
Viewed by 293
Abstract
In this study, nonlinear fractional Korteweg–de Vries (KdV) type equations with nonlocal operators are studied using Mittag–Leffler kernels and exponential decay. The KdV equations are well known for its use in modeling ion-acoustic waves in plasma, oceanic dynamics, and shallow-water waves. As a [...] Read more.
In this study, nonlinear fractional Korteweg–de Vries (KdV) type equations with nonlocal operators are studied using Mittag–Leffler kernels and exponential decay. The KdV equations are well known for its use in modeling ion-acoustic waves in plasma, oceanic dynamics, and shallow-water waves. As a result, mathematicians are working to examine modified and generalized versions of the basic KdV equation. In order to find the solutions of nonlinear fractional KdV equations, an extension of this concept is described in the current paper. The solution of fractional KdV equations is carried out using the well-known natural transform decomposition method (NTDM). To evaluate the problem, we employ the fractional operator in the Caputo–Fabrizio (CF) and the Atangana–Baleanu–Caputo sense (ABC) manner. Nonlinear terms can be handled with Adomian polynomials. The main advantage of this novel approach is that it might offer an approximate solution in the form of convergent series using easy calculations. The dynamical behavior of the resulting solutions have been demonstrated using graphs. Numerical data is represented visually in the tables. The solutions at various fractional orders are found and it is proved that they all tend to an integer-order solution. Additionally, we examine our findings with those of the iterative transform method (ITM) and the residual power series transform method (RPSTM). It is evident from the comparison that our approach offers better outcomes compared to other approaches. The results of the suggested method are very accurate and give helpful details on the real dynamics of each issue. The present technique can be expanded to address other significant fractional order problems due to its straightforward implementation. Full article
Show Figures

Figure 1

13 pages, 1002 KB  
Article
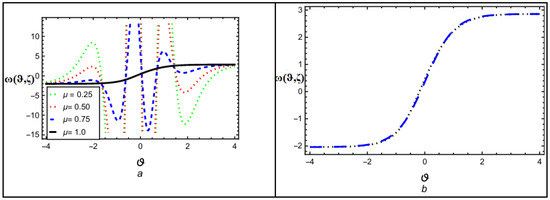
Lie Symmetry and Various Exact Solutions for (3+1)-Dimensional B-Type Kadomtsev–Petviashvili Equation
by Ahmed A. Gaber, Dalal Alhwikem and Abdul-Majid Wazwaz
Axioms 2026, 15(2), 156; https://doi.org/10.3390/axioms15020156 - 22 Feb 2026
Viewed by 158
Abstract
The (3+1)-dimensional B-type Kadomtsev–Petviashvili (BKP) problem was examined in this paper using the developed Exp-function method (DEFM) and Lie symmetry analysis. The objective of this research is studying the BKP equation to get novel exact solutions. Symmetry analysis has been used to determine [...] Read more.
The (3+1)-dimensional B-type Kadomtsev–Petviashvili (BKP) problem was examined in this paper using the developed Exp-function method (DEFM) and Lie symmetry analysis. The objective of this research is studying the BKP equation to get novel exact solutions. Symmetry analysis has been used to determine similarity variables and vector fields. The governing equation was reduced to five variant ordinary differential equations (ODEs). The DEFM was employed for four of them to obtain several novel exact solutions that contain arbitrary constants. The most appropriate choice of values for these optional constants contributed to the emergence of solutions, such as double waves, multisolitons, kink waves, anti-kink waves, and solitary waves. The obtained exact solutions are presented in a 3D graph. The behavior of the solutions can be utilized to explore the application of the governing equation in fluid dynamics, plasma physics, nonlinear optics, and ocean physics. Full article
(This article belongs to the Special Issue Difference, Functional, and Related Equations, 2nd Edition)
Show Figures

Figure 1

23 pages, 1084 KB  
Review
Molecular Dissipative Structuring: The Fundamental Creative Force in Biology
by Karo Michaelian
Entropy 2026, 28(2), 246; https://doi.org/10.3390/e28020246 - 20 Feb 2026
Viewed by 250
Abstract
The spontaneous emergence of macroscopic dissipative structures in systems driven by generalized chemical potentials is well established in non-equilibrium thermodynamics. Examples include atmospheric/oceanic currents, hurricanes and tornadoes, Rayleigh–Bénard convection cells and reaction–diffusion patterns. Less well recognized, however, are microscopic dissipative structures that form [...] Read more.
The spontaneous emergence of macroscopic dissipative structures in systems driven by generalized chemical potentials is well established in non-equilibrium thermodynamics. Examples include atmospheric/oceanic currents, hurricanes and tornadoes, Rayleigh–Bénard convection cells and reaction–diffusion patterns. Less well recognized, however, are microscopic dissipative structures that form when the driving potential excites internal molecular degrees of freedom (electronic states and nuclear coordinates), typically via high-energy photons or coupling with ATP. Examples include dynamic nanoscale lipid rafts, kinesin or dynein motors along microtubules, and spatiotemporal Ca2+ signaling waves propagating through the cytoplasm. The thermodynamic dissipation theory of the origin of life asserts that the core biomolecules of all three domains of life originated as self-organized molecular dissipative structures—chromophores or pigments—that proliferated on the Archean ocean surface to absorb and dissipate the intense “soft” UV-C (205–280 nm) and UV-B (280–315 nm) solar flux into heat. Thermodynamic coupling to ancillary antenna and surface-anchoring molecules subsequently increased photon dissipation and enabled more complex dissipative processes, including photosynthesis, to dissipate lower-energy but higher-intensity UV-A and visible light. Further thermodynamic coupling to abiotic geophysical cycles (e.g., the water cycle, winds, and ocean currents) ultimately led to today’s biosphere, efficiently dissipating the incident solar spectrum well into the infrared. This paper reviews historical considerations of UV light in life’s origin and our proposal of UV-C molecular dissipative structuring of three classes of fundamental biomolecules: nucleobases, fatty acids, and pigments. Increases in structural complexity and assembly into larger complexes are shown to be driven by the thermodynamic imperative of enhancing solar photon dissipation. We conclude that thermodynamic selection of dissipative structures, rather than Darwinian natural selection, is the fundamental creative force in biology at all levels of hierarchy. Full article
(This article belongs to the Special Issue Alive or Not Alive: Entropy and Living Things)
Show Figures

Figure 1

26 pages, 12878 KB  
Article
Simulation Model of Wind and Wave-Induced Doppler Shifts for Multi-Band Radars and Its Application in SAR-Based Ocean Current Inversion
by Zhenyong Guan, Yubin Zhang and Xiaoliang Chu
Sensors 2026, 26(4), 1343; https://doi.org/10.3390/s26041343 - 19 Feb 2026
Viewed by 207
Abstract
The wind and wave-induced Doppler shift (WDS) significantly affects the accuracy of ocean surface current fields retrieved from synthetic aperture radar (SAR). Understanding how different factors affect WDS is therefore essential for improving current inversion accuracy. Existing studies have predominantly focused on single-band [...] Read more.
The wind and wave-induced Doppler shift (WDS) significantly affects the accuracy of ocean surface current fields retrieved from synthetic aperture radar (SAR). Understanding how different factors affect WDS is therefore essential for improving current inversion accuracy. Existing studies have predominantly focused on single-band WDS, mainly in the C-band, while investigations across other radar bands remain limited. In this study, we simulate the dynamic ocean surface height field and velocity field, and the radar backscatter from the ocean surface that includes the effect of breaking waves. Based on the Doppler shift theory of ocean surface motion proposed by Chapron, we develop a WDS simulation model with potential applicability to multiple radar bands. The performance of the model is verified by comparing its results with those from the CDOP, KaDOP and KuMOD models. The correlation coefficient between the proposed model and the CDOP model reaches 0.97, with mean deviation (MD), mean absolute error (MAE), and root-mean-square error (RMSE) not exceeding −2.07 Hz, 3.35 Hz, and 4.49 Hz, respectively. For comparisons with the KaDOP model, the correlation coefficient is 0.93, and the MD, MAE, and RMSE are within −21.23 Hz, 42.37 Hz, and 52.20 Hz. For comparisons with the KuMOD model, the correlation coefficient is 0.98, and the MD, MAE, and RMSE are within −2.60 Hz, 7.13 Hz, and 9.08 Hz. These results demonstrate that the proposed model can effectively predict the WDS for both C-, Ka-, and Ku-band radar returns. Furthermore, we investigate the impacts of radar parameters, including frequency band, polarization, and incidence angle, as well as wind field forcing on WDS, showing the model’s applicability across multiple radar bands. Finally, the proposed model is applied to current retrieval using Sentinel-1 ocean (OCN) data, and the inversion accuracy is assessed against collocated high-frequency (HF) radar observations. The MD, MAE, and RMSE of the current retrieval using the proposed model are −0.04 m/s, 0.26 m/s, and 0.32 m/s, which are close to those from the CDOP-based retrieval (MD, MAE, and RMSE of −0.02 m/s, 0.25 m/s, and 0.30 m/s). These results demonstrate that the proposed model performs well in ocean surface current inversion and shows potential for further application to ocean current retrieval based on radar data across different frequency bands. Full article
(This article belongs to the Section Radar Sensors)
Show Figures

Figure 1

13 pages, 2289 KB  
Article
Balancing Accuracy and Speed: Improved D-FINE for Real-Time Ocean Internal Wave Detection
by Lu Yu, Yanping Tian, Jie Chen, Cheng Chi, Tingting Li and Jianwei Li
J. Mar. Sci. Eng. 2026, 14(4), 388; https://doi.org/10.3390/jmse14040388 - 19 Feb 2026
Viewed by 174
Abstract
Ocean internal waves (IWs), induced by density stratification and fluid perturbations, are significant oceanic phenomena prevalent across global oceans, profoundly impacting marine environments and engineering safety. Although one-stage object detection models are favored in practical applications due to their efficient inference, they often [...] Read more.
Ocean internal waves (IWs), induced by density stratification and fluid perturbations, are significant oceanic phenomena prevalent across global oceans, profoundly impacting marine environments and engineering safety. Although one-stage object detection models are favored in practical applications due to their efficient inference, they often suffer from insufficient accuracy in IW detection tasks. To address this, we introduce a novel one-stage, anchor-free detection approach based on Transformer for IW detection, proposing a new algorithm named IW-D-FINE, which balances detection accuracy and inference efficiency. On the public SAR dataset, IW-D-FINE achieves an AP@0.5 of 90.5, significantly outperforming existing one-stage methods while maintaining faster inference speeds than mainstream two-stage models. Furthermore, to mitigate the scarcity of internal wave samples, we construct a small-scale IWs dataset, YH3-IW-2025, and validate the algorithm thoroughly on this dataset. Experimental results demonstrate that IW-D-FINE exhibits robust performance under complex background interference, highlighting its application potential and scalability in IW detection tasks. Full article
(This article belongs to the Special Issue Advanced Studies in Marine Data Analysis)
Show Figures

Figure 1

Back to TopTop