Abstract
Three-wave resonant interaction equations can model nonlinear dynamics in many fields, e.g., fluids, optics, and plasma. Rogue waves, i.e., modes algebraically localized in both space and time, are obtained analytically. The aim of this paper is to study degenerate three-wave resonant interaction equations, where two out of the three interacting wave packets have identical group velocities. Physically, degenerate resonance typically occurs for dispersion relation, possessing many branches, e.g., internal waves in a continuously stratified fluid. Here, the Nth-order rogue wave solutions for this dynamical model are presented. Based on these solutions, we examine the effects of the group velocity on the width and structural profiles of the rogue waves. The width of the rogue waves exhibit a linear increase as the group velocity increases, a feature well-correlated with the prediction made using modulation instability. In terms of structural profiles, first-order rogue waves display ‘four-petal’ and ‘eye-shaped’ patterns. Second-order rogue waves can reveal intriguing configurations, e.g., ‘butterfly’ patterns and triplets. To ascertain the robustness of these modes, numerical simulations with random initial conditions were performed. Sequences of localized modes resembling these analytical rogue waves were observed. A spectral jump was observed, with the jump broadening in the case of rogue wave triplets. Furthermore, we predict new rogue waves based on information from two existing ones obtained using the deep learning technique in the context of rogue wave triplets. This predictive model holds potential applications in ocean engineering.
1. Introduction
The occurrence of oceanic rogue waves, characterized by sudden and massive waves with extreme amplitudes or steepness, has garnered significant research interest due to their potentially catastrophic effects on marine vessels and offshore structures [1,2]. These investigations on rogue waves have been conducted extensively in controlled water-tank environments, and have also been expanded recently to various disciplines, which also exhibit similar characteristics of dispersion, nonlinearity, and system complexity [3]. These fields of physical science include fluid dynamics, nonlinear optics, plasma physics, and Bose–Einstein condensation [2,4,5]. While the quest for a comprehensive understanding of rogue wave formation continues, ongoing debate encourages the comparison of predictions and observations across various fields such as hydrodynamics and nonlinear optics. Analogous dynamics can be identified using a shared equation model [6,7]. The nonlinear Schrödinger equation (NLSE) has played this pivotal role in the past thirty years.
Mathematically, rogue waves can typically be described as deterministic rational solutions of integrable nonlinear partial differential equations. These solutions can be obtained using elegant analytical techniques like inverse scattering transform, the Hirota method, and the Darboux transformation [8,9,10,11,12]. The well-known Peregrine soliton serves as a simple example of such a deterministic rational solution for the NLSE [6]. The spectral analysis of rogue waves may provide valuable information that can be used in their detection [13]. The spectra can be readily measured using experiments, and this information is crucial for comprehensive investigations of rogue wave properties [14]. Spectral analysis is an important tool in the signal processing of rapid events in optics, although a similar analysis method is less developed for oceanic waves. Analytical calculations on the exact spectra of the NLSE have been performed for rogue waves [13]. While measuring exact wave profiles in the time domain can be challenging, determining their spectra is a well-established technique supported by a multiplicity of devices used in experimental optics and fluids.
Many works in the literature have confirmed that rogue waves can arise in both oceans and optical fibers due to modulation instability (MI). Weak perturbations imposed on a continuous wave are amplified due to MI [15,16]. Such a linearized instability mechanism cannot sustain indefinitely, and nonlinear effects must eventually be incorporated. More precisely, under periodic boundary conditions, higher harmonics that are initially exponentially small may be amplified at a faster rate. Subsequently, all modes attain roughly the same magnitude at one instant in time or spatial location, leading to the formation of a breather. The breather may then decay, but MI may resume in a small-enough amplitude. This whole cycle will be repeated as a manifestation of the classical problem of Fermi–Pasta–Ulam recurrence (FPUT) in physics [17,18]. This growth and decay process is also associated with the term ‘cascading mechanism’ [19]. This analytical framework can provide a prediction of the first occurrence of breathers, which is significant for experimental works in the fields of optics and fluids [20]. If we consider the nonlinear dynamics in an infinite domain with decaying conditions in the far field, the analog of breathers (under periodic boundary conditions) will then be a rogue wave. The displacements will then be negligible everywhere in space and time, except for the localized interval of time during the occurrence of the rogue wave.
As examples of applications in fluid mechanics, resonant wave interactions have been studied extensively for surface, interfacial, and internal waves in two-layer, as well as continuously stratified, fluids [21,22,23]. Significant energy transfers among normal modes under such circumstances have been elucidated theoretically and demonstrated experimentally. Triadic resonance instability, also known as three-wave resonance, arises from the strong interactions among three waves. When the fast oscillations of three-wave packets satisfy the resonance conditions (the sum of wavenumbers and frequencies of two waves equal to those of the third wave), second-order nonlinear evolution equations can be derived using multiple-scale asymptotic expansions. Such model equations possess rogue wave and breather solutions [8,9,10,11,12,24,25,26]. A regime of three-wave resonance with identical group velocities for internal waves was established [26]. The dispersion relation for wavy oscillations in a stratified fluid of constant buoyancy frequency is given by a rational expression. The condition of identical group velocity for a triad can then be readily identified by solving algebraic equations. However, perspectives on the nonlinear dynamics of the rogue wave solutions have not been fully examined. Our objective is to investigate the connection between the physical aspects of three-wave resonance and the exact solutions from mathematical physics. In particular, we examine a special case of identical group velocity for two out of the three modes.
The crucial issues can now be explained. A ‘degenerate’ case will occur if two out of the three group velocities involved in this triad resonance are identical. Here, the dynamics of localized modes of the degenerate case of three-wave resonant interaction equations will be studied. We begin by introducing the Nth-order rogue wave modes of this model (Section 2). The effects of group velocities on the widths and structural profiles of the rogue waves will be investigated. MI can provide insights into the variations in the widths of the rogue waves by clarifying the properties of breathers in FPUT (Section 3). We shall examine the spectra of higher-order rogue waves. Furthermore, the deep learning technique is utilized to predict new rogue waves (Section 4). Finally, conclusions are drawn (Section 5).
2. General Rogue Wave Solutions
In this section, we present the rogue waves for the degenerate three-wave resonant interaction equations:
where u1, u2, and u3 are complex-valued, slowly varying wave envelopes. The phase factors of the three wave trains satisfy the resonance condition, i.e., the sum of frequencies and wavenumbers being zero. For the degenerate case, is common group velocity of the first two waves. In an inertial frame moving with the group velocity of third wave train, that group velocity is taken as zero. The real-valued, nonlinear interaction coefficients (ε1, ε2, ε3) can be computed using standard perturbation expansions. We assume that the normalization procedure has been taken and that all interaction coefficients have magnitude unity. Equation (1) is termed the soliton-exchange (SE) case when (ε1, ε2, ε3) = (1, −1, 1) and the stimulated backscatter (SB) case when (ε1, ε2, ε3) = (1, −1, −1) [9,27]. In contrast, the rogue wave solutions for the non-degenerate triad case presented earlier (Reference [9]) are classified based on a parameter ‘p’ determined using a quartic equation. In the SB case, the value of ‘p’ cannot be obtained from the quartic equation in Reference [9]. As a result, the rogue wave solutions for our degenerate model cannot be derived from Reference [9]. The rogue wave solutions for our degenerate model both in the SE and the SB cases will be provided. Here, no such quartic equation is invoked.
Equation (1) displays the background plane wave solution:
where and are the wavenumbers and angular frequencies of the first two envelope components of the triad and are the respective background heights of the three waves. Parameters of these plane waves satisfy the relation
We shall study the nonlinear dynamics of rogue waves in the SE and SB cases by analytically employing the Kadomtsev–Petviashvili (KP) hierarchy reduction method and numerically employing the split-step Fourier method. On further analysis, we found that k1 had no impact on the amplitudes and widths of the rogue waves. Moreover, k1 did not affect the growth rate of modulation instability either. Hence, we set k1 = 0 in the subsequent discussion to simplify the analysis.
We present the rogue wave solution of Equation (1) using the Schur polynomials, , which are defined by
where x = . The first few members of these polynomials are
Theorem 1.
The rogue wave solution for Equation (1) in the SE case is given by
where the expressions of k2, ω1, and ω2 are given in Equation (3), and
The matrix elements in are defined as
with the vectors being obtained from
and for all ,
Here, , and the coefficients can be derived from
the vector is defined by
and are free but otherwise arbitrary complex constants.
Theorem 2.
The rogue wave solution for Equation (1) SB case is
with
The matrix elements of can be computed from
where the vectors are defined by
and for all
Here, the coefficients and can be obtained from Equations (6) and (7); and are identical to those in Theorem 1.
Proposition 1.
When for all r ≥ 1, the rogue waves in Theorems 1 and 2 are parity-time-symmetric, i.e.,
Indeed, on setting in Theorems 1 and 2, we have
On applying a procedure similar to that of the derivative NLSE [28], one can conclude that , and the proposition is thus established. Based on this result, the maximum amplitude of the parity–time–symmetric solution of each order is attained at the center of the x-t plane, i.e., at (x, t) = (0, 0). This maximum amplitude of the parity–time–symmetric solution can now be readily determined by setting . By employing this approach, we can implement direct calculations for the low-order cases:
which lead to the maximum amplitude of the N-th order rogue waves:
The proofs of Theorems 1 and 2 are presented in Appendix A.
3. Directions of Fundamental Rogue Waves
The dynamics and properties of rogue waves will now be studied. On setting N = 1 in Theorems 1 and 2, we obtain the first-order rogue wave as
where
Here, corresponds to SE case and is SB case. The structure of the fundamental rogue wave is determined by the background parameters and the common group velocity of the first two wave packets.
The geometric profile of the rogue wave may be closely associated with modulation instability. Equation (1) admits the plane wave solutions seen in Equations (2) and (3). Small-amplitude disturbances are introduced on the plane wave:
where A11, A12, A21, A22, A31, and A32 are (numerically small) constants and κ and Ω represent the wavenumber and angular frequency of the disturbance, respectively. For strong interactions and energy exchange among modes, the phase factors of the three wave trains should satisfy the triad resonance condition, i.e., the sums of wavenumbers and frequencies of modes 1 and 2 should be equal to the wave number and frequency, respectively, of mode 3. Mode 3 is called the ‘parent’ wave and modes 1 and 2 are termed the ‘daughter’ waves. The criterion for instability is the vanishing of the determinant of the coefficient matrix of the linearized stability equations:
Modulation instability occurs when the imaginary part of perturbation angular frequency is nonzero. For a fixed group velocity v, similar to the classical nonlinear Schrödinger equation, the maximum amplification due to modulation instability occurs at a finite perturbation wavenumber, κ. This optimal wavenumber will move toward the origin for increasing v (top panel, Figure 1), and the interval of unstable κ actually shrinks. However, the actual maximum amplification rate does stay nearly constant, as we vary v (bottom panel, Figure 1). Hence, the group velocity v will affect the period of the breathers along the x direction in FPUT phenomenon. The variation in the amplification rate of modulation instability, as shown in the top panel of Figure 1, differs from that in our earlier work [29], as the growth rate of modulation instability varies with the group velocity in the non-degenerate case.
Figure 1.
Occurrence of modulation instability with typical parameter values, ε1 = ε3 = 1, ε2 = −1, a1 = a2 = a3 = 1. Top panel: Variation in the growth rate (|Im(Ω)|) with wavenumber κ and group velocity v, 0.3 ≤ v ≤ 5. Bottom panel: Growth rate for two typical group velocities (blue/red-dashed curve for v = 1/v = 5, respectively).
The growth rates of modulation instability for the SE and SB cases as a function of κ and a2 are shown in Figure 2. The growth rates of modulation instability for the SE and SB cases are the same if we have identical plane-wave backgrounds for the three components, such as a1 = a2 = a3 = 1. Otherwise, the growth rates for the SE and SB cases will differ. We illustrate these features with numerical examples. In the SE case, the optimal growth rate increases with an increase in the second background component, a2. The interval of unstable wavenumber κ broadens quickly. For the SB case, the unstable interval of κ exceeds [−5, 5] as a2 varies from approximately 0.2–0.45. With larger a2, the unstable interval shrinks and remains unchanged at [−4, 4]. The maximum growth rate decreases as a2 increases.
Figure 2.
Occurrence of modulation instability for the (left panel) SE and (right panel) SB cases. Parameters are v = 1, a1 = a3 = 1, (left panel) ε1 = ε3 = 1, ε2 = −1; (right panel) ε1 = 1, ε2 = ε3 = −1.
Examining the profiles of the lowest-order or fundamental rogue wave is instructive (Figure 3). When the background state is a1 = a3 = 1, a2 = 2, the three components display bright, dark, and bright rogue wave patterns for both the SE and SB cases. However, from Figure 2, we observe that the growth rate of modulation instability in the SE case is larger than that in the SB case for this specific background. Consequently, the numerical simulation of the rogue wave in the SE case exhibits a higher degree of instability than that in the SB case.
Figure 3.
Fundamental rogue wave for the SB case with parameters v = 1, a1 = a3 = 1, a2 = 2, ε1 = 1, ε2 = ε3 = −1.
Figure 4 shows the rogue wave for the SE case with identical background, i.e., a1 = a2 = a3 = 1. The u1 and u2 components display a four-petal pattern (two peaks and two valleys), while the u3 component takes on an eye-shaped form (one peak in the center with two valleys in a collinear manner). Mathematically, we draw dotted lines passing through the two valleys for each of the u1 and u2 components. We also draw a dotted line passing through the two valleys and the peak for the u3 component. We call the direction of such lines the ‘slope direction’. All three dotted lines pass through the point x = 0, t = 0. For all three components, we can determine the expressions for these three dotted lines in the x-t plane numerically (Figure 4). As the displacements along these ‘slope directions’ attain maximum values in the x-t plane, they are important in terms of physical considerations like safety concerns for marine vessels and offshore structures. The profiles of the rogue wave in the u1, u2, and u3 components are depicted (top panel in Figure 5). The plots of the u1 and u2 components coincide due to the special choice of the parameters a1, a2, and a3, as mathematically determined by the expressions of the rogue wave solutions (Equation (11)). The u3 component, being the ‘parent wave’, is distinct from u1 and u2 (the ‘daughter waves’).
Figure 4.
Wave profile for the analytical first-order rogue wave solution (Equation (11)) with parameters ε1 = ε3 = 1, ε2 = −1, a1 = a2 = a3 = 1, v = 1. The dotted line joins the two ‘valleys’ of the rogue wave.
Figure 5.
Top panel: Rogue wave profile along the slope direction depicted in Figure 4. Middle panel: Rogue wave profile along the slope direction as depicted in Figure 7 (for a different group velocity). Bottom panel: Probability density functions of the u3 component for the chaotic wave fields generated under v = 1 and v = 5.
To highlight the importance of these slope directions, we perform numerical simulations using a split-step Fourier method with random noise as disturbance. The initial condition is selected as
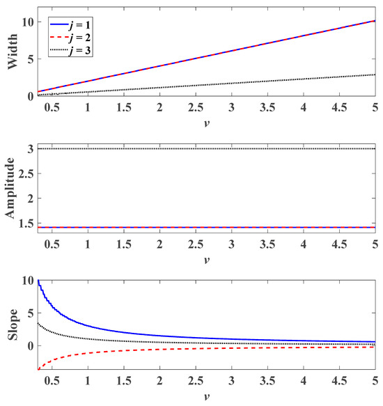
where μ is the perturbation intensity and rj (j = 1, 2, 3) is the white Gaussian noise generated from the widely used software package MATLAB R2022a. We progress forward in time (t) in Equation (1) to obtain a chaotic wave field (Figure 6). We can observe localized modes in this chaotic wave field in the u1, u2, and u3 components, with slope directions very similar to the analytical rogue waves depicted in Figure 4. This suggests that the slope directions can serve as useful predictors of the orientation of possible rogue modes in chaotic wave fields. To observe the wave profiles of these rogue modes in a chaotic wave field more clearly, we utilize a second example by observing the lowest-order rogue wave for another value of group velocity (v = 5, Figure 7). We also include the slope directions of the rogue waves in the three components. The cross-sectional profiles of the rogue waves are included for comparison (the middle panel in Figure 5). Comparing these scenarios (Figure 4 and Figure 7), we conclude that the amplitudes remain unchanged, while the widths of the rogue waves become larger as the group velocity v increases. Furthermore, the slope directions also change. Numerically, the chaotic wave fields for the u1, u2, and u3 components generated from initial random noise conditions are also included as a reference (Figure 8). It is evident that the orientation of the localized building blocks in the chaotic wave field aligns well with the slope direction of the fundamental rogue wave for each component. By analyzing these data obtained from the simulations, we can construct an empirical chart of ‘likelihood of occurrence’, which will be loosely termed ‘probability density function’ in the present context. The results for the amplitudes of the u3 component are illustrated in the bottom panel in Figure 5. The probability density functions for the cases of v = 1 and v = 5 are represented by the blue and red-dashed curves, respectively. Roughly speaking, the probability of the rogue wave occurrence for v = 1 is higher than that for v = 5. Hence, this group velocity of the degenerate triad resonance case, v, has significant effects on the occurrence of rogue waves. We shall also address the impact of v on the width, amplitude and slope direction of rogue wave in x-t plane (Figure 9). The widths of rogue waves in the u1, u2 and u3 components generally increase with v, while the amplitudes remain unchanged. These properties may also be explained by the features of modulation instability (Figure 1). The amplitude keeps unchanged as the growth rate of the modulation instability remains constant with v varying. On the other hand, the range of unstable wavenumbers decreases with v, leading to an increase in the period of breather in FPUT (only modes of long wavelength can amplify). As a result, fewer peaks of the breather are observed within a given time interval. This may explain the increase in the width with v. The slopes of the u1 and u3 components decrease with v increasing, whereas the slope of the u2 component increases with v. Finally, all the three slope directions eventually tend to align parallel to the x direction.
Figure 6.
Chaotic wave field generated from random initial conditions (Equation (14)) for parameter values ε1 = ε3 = 1, ε2 = −1, a1 = a2 = a3 = 1, v = 1, μ = 0.01.
Figure 7.
Analytical first-order rogue wave solution (Equation (11)) for parameter values ε1 = ε3 =1, ε2 = −1, a1 = a2 = a3 = 1, v = 5.
Figure 8.
Chaotic wave field generated by random initial condition (Equation (14)) for parameter values ε1 = ε3 = 1, ε2 = −1, a1 = a2 = a3 = 1, v = 5, μ = 0.01.
Figure 9.
Variation in the width (top panel), amplitude (middle panel), and slope (bottom panel) of the analytical first-order rogue wave with the group velocity (v).
4. Spectra of Higher-Order Rogue Waves
Higher-order rogue waves constitute a valuable route of investigation, as their maximum displacements can be larger than those of fundamental rogue waves [30,31]. To obtain the second-order rogue waves of Equation (1), we set in Theorems 1 and 2. In this case, we have
where the elements of the matrices are given by
and
with corresponding to the SE case and representing the SB case. From these explicit expressions, the functions are polynomials of six degrees with respect to variables and .
Naturally, a second-order rogue wave displays more intriguing profiles (Figure 10a, Equation (15)). The u1 and u2 components exhibit ‘butterfly structures’ (similar to the four-petal case of the fundamental rogue wave, but there are multiple peaks or valleys within each sector). The u3 component displays an eye-shaped pattern (one peak in the center, but multiple valleys on each side). The phase factors of the three components, represented by the symbols pj (j = 1, 2, 3), show drastic jumps (Figure 10b). A phase jump from −π to π can be observed in all three components, indicating the presence of a rogue wave. The temporal spectrum of the rogue wave possesses extraordinary features in a contour plot of intensity versus time (Figure 10c). The spectrum broadens upon the appearance of the rogue wave, with spectral jumps in the u1, u2, and u3 components, marked by black arrows in Figure 10c. The spectral jump in the u1 component is the largest when compared to the jumps in the u2 and u3 components. All three spectral jumps occur at a wavenumber q numerically close to zero. This is consistent with earlier studies, where the occurrence of rogue waves closely correlates with modulation instability of long-wave disturbance.


Figure 10.
Properties of the three components (u1, u2, u3) of the second-order rogue wave solution (Equation (17)): (a) wave profile; (b) phase; and (c) spectrum. Parameters selected are ε1 = ε3 = 1, ε2 = −1, a1 = a2 = a3 = 1, v = 1.
As we have previously established, the group velocity v affects the width of the rogue wave (top panel of Figure 9). By comparing the situations for v = 1 and v = 2 in the second-order rogue wave case (Figure 10a and Figure 11a, respectively), larger values of v also result in the increased width of the second-order rogue wave. The phase shift remains unchanged for the case of v = 2 (Figure 11b), while the spectrum narrows (Figure 11c). Furthermore, spectral jumps are observed in all three components at a wavenumber q close to zero.


Figure 11.
Properties of the three components (u1, u2, u3) of the second-order rogue wave solution (Equation (17)): (a) wave profile; (b) phase; and (c) spectrum. Parameters selected are ε1 = ε3 = 1, ε2 = −1, a1 = a2 = a3 = 1, v = 2 (group velocity different from those in Figure 10).
In addition to the butterfly patterns in the u1 and u2 components and eye-shaped structure in the u3 component, rogue wave ‘triplets’ are also possible for all three components (Figure 12a). The components of u1 and u2 display four-petal patterns in each of the three building blocks of the triplet. On the other hand, the u3 component maintains an eye-shaped structure in each of three building blocks of the triplet. This configuration differs from the patterns presented in earlier works [32,33] where all three components display eye-shaped structures. In terms of the spatial-temporal phase dynamics, the occurrence of rogue waves takes place at different instants in time (Figure 12b). The dynamics of each component is qualitatively less complex than that observed in the butterfly patterns highlighted in Figure 10b and Figure 11b. The spectra of the rogue wave triplets also show a broadening of the spectrum upon the occurrence of the rogue wave (Figure 12c). These spectral jumps again appear at wavenumber q close to zero, with the u1 and u2 components displaying larger jumps relative to the u3 component. Comparing the spectra of the butterfly patterns displayed in Figure 10c and Figure 11c, the maxima of the spectra of rogue wave triplets in the three components also appear at a wavenumber q close to zero. The discontinuous region along the q direction, in the case of rogue wave triplets, is larger than that in the butterfly case.


Figure 12.
Properties of the three components (u1, u2, u3) of a rogue wave ‘triplet’ (Equation (17)): (a) wave profile; (b) phase; and (c) spectrum. Parameters selected are ε1 = ε3 = 1, ε2 = −1, a1 = a2 = a3 = 1, v = 1.
In the context of the rogue wave ‘triplet’, we can implement the deep learning technique to predict these occurrences. By employing the back propagation (BP) neural network approach, we aim to understand the characteristics of analytical rogue wave solutions. Roughly speaking, we construct a neural network based on a dataset from the analytical rogue wave solutions. The dataset comprises 1024 × 401 data points, with the intervals along the x and t axes spanning from [−7.5π, 7.5π] and [−10, 10], respectively. For the purposes of prediction, we utilize a subset of the data, specifically 606 × 401 data points, which accounts for 59.18% of the total dataset, to construct the neural network model. Out of these, 70% (424 × 401 samples) are allocated for training, while 15% (91 × 401 samples) are used for validation and the remaining 15% (91 × 401 samples) are used for testing.
Our model employs a 50-layer neural network with hidden layers as its core structure. We utilize the Levenberg–Marquardt algorithm for training and the mean square error as the loss function. With this model, we can predict the dynamics of rogue waves. Figure 13 illustrates the analytical profile and prediction profile generated by this model for the u3 component. The white dashed line at x = 1.519 separates the following:
- (a)
- The subset used for constructing the neural network model on the left;
- (b)
- The prediction region on the right.
Figure 13.
(Top) Analytical solution for the u3 component. (Bottom) Prediction obtained using the neural network approach. The white dashed line denotes the position x = 1.519. Parameters selected are ε1 = ε3 = 1, ε2 = −1, a1 = a2 = a3 = 1, v = 1 (same as those in Figure 10).
Similarly, with the BP neural network approach, we also can predict the appearance of rogue wave after t = 3.95, as depicted in Figure 14. This feature indicates our ability to predict the third crest based on information from the first two ones. This predictive model holds promising potential for applications to ocean engineering in the future. In future works, we can examine alternative models, such as the Long Short-Term Memory (LSTM) networks or Random Forests, for this time series prediction task.
Figure 14.
(Top) Analytical solution for the u3 component. (Bottom) Prediction obtained using the neural network approach. The white dashed line denotes the time instant t = 3.95. Parameters selected are ε1 = ε3 = 1, ε2 = −1, a1 = a2 = a3 = 1, v = 1 (same as those in Figure 10).
5. Discussion and Conclusions
The dynamics and properties of rogue waves in the ‘degenerate’ case of three-wave resonant interaction equations are studied. Such ‘degenerate’ case occurs when two out of the three group velocities of the wave packets are identical. In terms of physical applications, such scenarios will typically arise for dispersion relations consisting of many branches, e.g., internal waves in oceans.
Nth-order rogue wave solutions have been presented here. The lowest-order and the second-order rogue waves are computed explicitly. For the second-order rogue waves, both the ‘butterfly patterns’ and ‘rogue wave triplets’ are revealed. ‘Butterfly patterns’ refer to ‘four petal’ type configurations, but with multiple peaks and valleys within each individual sector. ‘Triplets’ refer to three identical clusters of transient peaks and valleys. A remark on the contrast between the present work and those in the literature is in order. In comparison to the ‘non-degenerate’ case, the rogue wave solutions of the present degenerate case have fewer constraints on the wave profile parameters. The actual physical occurrence of the degenerate case is more demanding due to the identical group velocity requirement. In comparison to previous works that also cover the degenerate case [8], our present formulation treats both the soliton-exchange and stimulated-backscatter cases. Although the Hirota bilinear technique and the Kadomtsev–Petviashvili reduction scheme have also been used for the non-degenerate case in the literature [9], our present formulations are different and lead to new solutions for the SE and SB cases. A crucial feature in the classification of the solutions for the non-degenerate case is its invocation of a fourth-order polynomial [9]. The quartic polynomial will cease to be fourth-order for the degenerate case where the two group velocities become identical. The value of p determined by this polynomial for the SB case of a degenerate triad [9] will be a purely imaginary number, which will cause the rogue wave solutions derived in the literature [9] to become singular. On the other hand, the rogue wave modes of the degenerate triads for the SB case have been obtained in this paper. An alternative scale transformation and a new solution for the SE case are described in Appendix B.
For the fundamental rogue wave, we examined the effects of wave group velocity on its dynamics, including the width and structural profile. The width of a rogue wave becomes larger as the group velocity increases, and this can be correlated with the modulation instability of plane waves. As the group velocity increases, the structural profile of a rogue wave aligns more closely with the propagation variable in the evolution equation.
6. Critical Issues and Future Works
A critical issue in physical applications is how these rogue wave modes can occur from arbitrary initial conditions. For widely studied cases like the nonlinear Schrödinger and Hirota equations, ‘rogue wave-like’ entities do arise from numerical simulations. A similar exercise is performed here for the degenerate resonant equations with random noise as initial conditions. A periodic sequence of localized modes resembling rogue waves does emerge. The structural profiles and orientation directions of these modes bear close similarity to analytical rogue waves.
Another intriguing issue is the phase and spectra of the second-order rogue waves, where we specifically investigate the butterfly and triplet patterns. There are spatial domains of spectrum jumps in the regions associated with the occurrence of rogue waves. The spectral jumps are larger for the case of rogue wave triplets compared to the butterfly patterns. Using a deep learning approach, rogue waves can be predicted by leveraging information from analytical solutions derived as the rogue wave triplets. Further efforts to understand the origin and implications for stability and robustness are needed.
While our study provides valuable insights, there are still unresolved theoretical and computational issues which warrant further investigations. The relationship between breathers and the Fermi–Pasta–Ulam–Tsingou recurrence has been assessed for the non-degenerate case of three-wave resonant interaction equations [29]. However, this relationship remains unresolved for the degenerate case. Analytical breather solutions for this integrable case have not yet been derived. The relationships between the analytical and numerical solutions for many other envelope equation models still need to be studied [34,35,36,37,38,39,40]. Multi-component evolution equations generally exhibit rich dynamical properties [36]. Further investigations in these areas hold significant potential and will yield insightful results for fields like fluids and optics.
Author Contributions
K.W.C. suggested to investigate the nonlinear dynamics of degenerate triads. G.M. and Z.-Q.Y. constructed the rogue wave solutions. H.-M.Y. worked on the numerical analysis. All authors contributed to writing the manuscript. All authors have read and agreed to the published version of the manuscript.
Funding
Partial financial support was provided by National Natural Science Foundation of China (No. 12261053, 11701322), the Research Grants Council General Research Fund contract HKU 17204722 and the Fundamental Research Funds for the Central Universities (No. D5000250412). And the APC was funded by D5000250412.
Institutional Review Board Statement
Not applicable.
Informed Consent Statement
Not applicable.
Data Availability Statement
Dataset available on request from the authors.
Conflicts of Interest
The authors declare no conflicts of interest.
Appendix A. Proofs of Theorem 1 and Theorem 2
Let us introduce the variable transformation:
where is a real function and are the complexes valued. Using this transformation and a background plane wave (Equations (2) and (3)), Equation (1) is converted into the following bilinear equations:
where the constants and are defined as
D is the Hirota bilinear differential operator defined by
and P is a polynomial in the operators . Next, we present the derivation of the solutions to the bilinear equations (Equation (A2)) by using the KP hierarchy-reduction technique step by step.
Firstly, we consider a set of higher-dimensional bilinear equations in the extended KP hierarchy:
which allows for a wide class of algebraic solutions in terms of a Gram determinant [9]
where and are arbitrary sequence of indices and
with and being the arbitrary functions of variables and , respectively.
Secondly, based on these algebraic solutions (Equations (A2)–(A4)), we restrict them to satisfy the dimension reduction condition:
where C is a real constant. These algebraic solutions satisfy the following (1 + 1)-dimensional bilinear equations:
Thirdly, we carry out the coordinate transformations:
and the above (1 + 1)-dimensional bilinear equations are transformed into
We impose the complex conjugacy condition:
and then define
which leads us to the derivation of the bilinear equation (Equation (A2)). The dimension reduction condition (Equation (A5)) and complex conjugacy condition (Equation (A7)) act as key constraints on the algebraic solutions (Equation (A4)) during the KP hierarchy reduction. In the following equations, we present specific solutions which satisfy these constraints. We note that
Using the operator relations,
we have
With , one can get
Selecting sequences as the odd sequence and employing the above formula, we obtain the determinant
which satisfies the dimension reduction condition (Equation (A5)).
Furthermore, we set , where
with and (r = 1, 2, …) being free complex parameters; we then get
This implies the complex conjugacy condition (Equation (A7)). By following the outlined procedure and employing the KP hierarchy reduction method [9], one can obtain general rogue wave solutions for Equation (1), as presented in Theorems 1 and 2. This completes the proofs of Theorems 1 and 2.
Appendix B. Scale Transformation and a New Solution
We present the scale transformations used to derive the rogue wave solutions of the degenerate triad system for the SE case. The non-degenerate triad system discussed in Reference [9] is
where c1, c2, and c3 are the group velocities of the three modes of the resonant triad. Without loss of generality, c3 is set to zero. A degenerate case can occur as follows:
- (a)
- c1 = c2 ≠ 0, c3 = 0, two daughters have the same group velocity.
- (b)
- c2 = c3 = 0, c1 ≠ 0, the parent and one daughter have the same group velocity.
For the soliton-exchange (SE) case, i.e., (ε1, ε2, ε3) = (1, −1, 1), we select c1 = −v and c2 = c3 = 0. Under this assumption, Equation (A9) reduces to
We perform the scale transformation:
Equation (A10) reduces to the degenerate triad system, Equation (1), with (ε1, ε2, ε3) = (1, −1, 1). If we compare our results to those from Reference [9], the bilinear equations are identical. Thus, based on the results in Reference [9], we can confirm the validity of Theorem 1 for the SE case.
Our contribution is the introduction of another scale transformation relating Equations (1) and (A10), leading to new solutions:
More precisely, this new solution is
with
To avoid excessive algebraic complexity, the contrasts between solutions ((A13)–(A15)) and those in [9] can be highlighted by examining the geometry of the wave profiles and varying the group velocity parameter.
References
- Dysthe, K.; Krogstad, H.E.; Müller, P. Oceanic rogue waves. Annu. Rev. Fluid Mech. 2008, 40, 287–310. [Google Scholar] [CrossRef]
- Onorato, M.; Residori, S.; Bortolozzo, U.; Montina, A.; Arecchi, F. Rogue waves and their generating mechanisms in different physical contexts. Phys. Rep. 2013, 528, 47–89. [Google Scholar] [CrossRef]
- Chabchoub, A.; Hoffmann, N.; Akhmediev, N. Rogue wave observation in a water wave tank. Phys. Rev. Lett. 2011, 106, 204502. [Google Scholar] [CrossRef] [PubMed]
- Xiao, W.; Liu, Y.; Wu, G.; Yue, D.K. Rogue wave occurrence and dynamics by direct simulations of nonlinear wave-field evolution. J. Fluid Mech. 2013, 720, 357–392. [Google Scholar] [CrossRef]
- Solli, D.R.; Ropers, C.; Koonath, P.; Jalali, B. Optical rogue waves. Nature 2007, 450, 1054–1057. [Google Scholar] [CrossRef]
- Dudley, J.M.; Dias, F.; Erkintalo, M.; Genty, G. Instabilities, breathers and rogue waves in optics. Nat. Photonics 2014, 8, 755–764. [Google Scholar] [CrossRef]
- Dematteis, G.; Grafke, T.; Onorato, M.; Vanden-Eijnden, E. Experimental evidence of hydrodynamic instantons: The universal route to rogue waves. Phys. Rev. X 2019, 9, 041057. [Google Scholar] [CrossRef]
- Chen, S.; Baronio, F.; Soto-Crespo, J.M.; Grelu, P.; Mihalache, D. Versatile rogue waves in scalar, vector, and multidimensional nonlinear systems. J. Phys. A Math. Theor. 2017, 50, 463001. [Google Scholar] [CrossRef]
- Yang, B.; Yang, J. General rogue waves in the three-wave resonant interaction systems. IMA J. Appl. Math. 2021, 86, 378–425. [Google Scholar] [CrossRef]
- Yang, B.; Yang, J. Rogue waves in (2+1)-dimensional three-wave resonant interactions. Phys. D Nonlinear Phenom. 2022, 432, 133160. [Google Scholar] [CrossRef]
- Wang, X.; Cao, J.; Chen, Y. Higher-order rogue wave solutions of the three-wave resonant interaction equation via the generalized Darboux transformation. Phys. Scr. 2015, 90, 105201. [Google Scholar] [CrossRef]
- Baronio, F.; Conforti, M.; Degasperis, A.; Lombardo, S. Rogue waves emerging from the resonant interaction of three waves. Phys. Rev. Lett. 2013, 111, 114101. [Google Scholar] [CrossRef] [PubMed]
- Akhmediev, N.; Ankiewicz, A.; Soto-Crespo, J.; Dudley, J.M. Rogue wave early warning through spectral measurements? Phys. Lett. A 2011, 375, 541–544. [Google Scholar] [CrossRef]
- Shats, M.; Punzmann, H.; Xia, H. Capillary rogue waves. Phys. Rev. Lett. 2010, 104, 104503. [Google Scholar] [CrossRef]
- Baronio, F.; Chen, S.; Grelu, P.; Wabnitz, S.; Conforti, M. Baseband modulation instability as the origin of rogue waves. Phys. Rev. A 2015, 91, 033804. [Google Scholar] [CrossRef]
- Baronio, F.; Conforti, M.; Degasperis, A.; Lombardo, S.; Onorato, M.; Wabnitz, S. Vector rogue waves and baseband modulation instability in the defocusing regime. Phys. Rev. Lett. 2014, 113, 034101. [Google Scholar] [CrossRef]
- Soto-Crespo, J.M.; Devine, N.; Akhmediev, N. Integrable turbulence and rogue waves: Breathers or solitons? Phys. Rev. Lett. 2016, 116, 103901. [Google Scholar] [CrossRef]
- Chin, S.A.; Ashour, O.A.; Belić, M.R. Anatomy of the Akhmediev breather: Cascading instability, first formation time, and Fermi-Pasta-Ulam recurrence. Phys. Rev. E 2015, 92, 063202. [Google Scholar] [CrossRef]
- Van Simaeys, G.; Emplit, P.; Haelterman, M. Experimental demonstration of the Fermi-Pasta-Ulam recurrence in a modulationally unstable optical wave. Phys. Rev. Lett. 2001, 87, 033902. [Google Scholar] [CrossRef]
- Vanderhaegen, G.; Szriftgiser, P.; Kudlinski, A.; Conforti, M.; Trillo, S.; Droques, M.; Mussot, A. Observation of four Fermi-Pasta-Ulam-Tsingou recurrences in an ultra-low-loss optical fiber. Opt. Express 2020, 28, 17773–17781. [Google Scholar] [CrossRef]
- Hammack, J.L.; Henderson, D. Resonant interactions among surface water waves. Annu. Rev. Fluid Mech. 1993, 25, 55–97. [Google Scholar] [CrossRef]
- Chabane, M.; Choi, W. On resonant interactions of gravity-capillary waves without energy exchange. Stud. Appl. Math. 2019, 142, 528–550. [Google Scholar] [CrossRef]
- Choi, W.; Chabane, M.; Taklo, T.M.A. Two-dimensional resonant triad interactions in a two-layer system. J. Fluid Mech. 2021, 907, A5. [Google Scholar] [CrossRef]
- Degasperis, A.; Lombardo, S. Rational solitons of wave resonant-interaction models. Phys. Rev. E 2013, 88, 052914. [Google Scholar] [CrossRef] [PubMed]
- Mu, G.; Qin, Z. High order rational solitons and their dynamics of the 3-wave resonant interaction equation. Phys. D Nonlinear Phenom. 2022, 435, 133287. [Google Scholar] [CrossRef]
- Yin, H.; Pan, Q.; Chow, K. Triad resonance for internal waves in a uniformly stratified fluid: Rogue waves and breathers. Phys. Rev. E 2024, 109, 024204. [Google Scholar] [CrossRef]
- Kaup, D.; Reiman, A.; Bers, A. Space-time evolution of nonlinear three-wave interactions. I. Interaction in a homogeneous medium. Rev. Mod. Phys. 1979, 51, 275. [Google Scholar] [CrossRef]
- Yang, B.; Chen, J.; Yang, J. Rogue waves in the generalized derivative nonlinear Schrödinger equations. J. Nonlinear Sci. 2020, 30, 3027–3056. [Google Scholar] [CrossRef]
- Yin, H.; Chow, K. Fermi-Pasta-Ulam-Tsingou recurrence and cascading mechanism for resonant three-wave interactions. Phys. Rev. E 2023, 107, 064215. [Google Scholar] [CrossRef]
- Zhong, M.; Chen, Y.; Yan, Z.; Malomed, B.A. Suppression of soliton collapses, modulational instability and rogue-wave excitation in two-Lévy-index fractional Kerr media. Proc. R. Soc. A 2024, 480, 20230765. [Google Scholar] [CrossRef]
- Sun, W.-R.; Liu, L.; Kevrekidis, P. Rogue waves of ultra-high peak amplitude: A mechanism for reaching up to a thousand times the background level. Proc. R. Soc. A 2021, 477, 20200842. [Google Scholar] [CrossRef]
- Chen, S.; Cai, X.-M.; Grelu, P.; Soto-Crespo, J.; Wabnitz, S.; Baronio, F. Complementary optical rogue waves in parametric three-wave mixing. Opt. Express 2016, 24, 5886–5895. [Google Scholar] [CrossRef]
- Chen, S.; Baronio, F.; Soto-Crespo, J.; Grelu, P.; Conforti, M.; Wabnitz, S. Optical rogue waves in parametric three-wave mixing and coherent stimulated scattering. Phys. Rev. A 2015, 92, 033847. [Google Scholar] [CrossRef]
- Ma, W.-X. Application of the Riemann–Hilbert approach to the multicomponent AKNS integrable hierarchies. Nonlinear Anal. Real World Appl. 2019, 47, 1–17. [Google Scholar] [CrossRef]
- Chowdury, A.; Kedziora, D.; Ankiewicz, A.; Akhmediev, N. Breather solutions of the integrable quintic nonlinear Schrödinger equation and their interactions. Phys. Rev. E 2015, 91, 022919. [Google Scholar] [CrossRef] [PubMed]
- Fraile-Pelaez, F.J.; Assanto, G. Coupled-mode equations for nonlinear directional couplers. Appl. Opt. 1990, 29, 2216–2217. [Google Scholar] [CrossRef] [PubMed]
- Ablowitz, M.J.; Musslimani, Z.H. Integrable nonlocal nonlinear Schrödinger equation. Phys. Rev. Lett. 2013, 110, 064105. [Google Scholar] [CrossRef]
- Li, R.; Geng, X. A matrix Yajima–Oikawa long-wave-short-wave resonance equation, Darboux transformations and rogue wave solutions. Commun. Nonlinear Sci. Numer. Simul. 2020, 90, 105408. [Google Scholar] [CrossRef]
- Wang, R.-Q.; Ling, L.; Zeng, D.; Feng, B.-F. A deep learning improved numerical method for the simulation of rogue waves of nonlinear Schrödinger equation. Commun. Nonlinear Sci. Numer. Simul. 2021, 101, 105896. [Google Scholar] [CrossRef]
- Chowdury, A.; Ankiewicz, A.; Akhmediev, N. Moving breathers and breather-to-soliton conversions for the Hirota equation. Proc. R. Soc. A Math. Phys. Eng. Sci. 2015, 471, 20150130. [Google Scholar] [CrossRef]
Disclaimer/Publisher’s Note: The statements, opinions and data contained in all publications are solely those of the individual author(s) and contributor(s) and not of MDPI and/or the editor(s). MDPI and/or the editor(s) disclaim responsibility for any injury to people or property resulting from any ideas, methods, instructions or products referred to in the content. |
© 2025 by the authors. Licensee MDPI, Basel, Switzerland. This article is an open access article distributed under the terms and conditions of the Creative Commons Attribution (CC BY) license (https://creativecommons.org/licenses/by/4.0/).