Storm Surge Dynamics and Mechanisms in the Macao Cross Tidal Channel
Abstract
1. Introduction
2. Materials and Methods
2.1. Typhoon Hato
2.2. Governing Equations
2.3. Model Setting
2.4. Model Verification
3. Results
3.1. Tides and Storm Surges
3.2. Currents
3.3. Waves
3.4. Wind-Induced Surge
3.5. Atmospheric Pressure-Induced Surge
3.6. Wave-Induced Surge
4. Discussions
4.1. Mechanisms of Storm Surge in the MCTC
4.1.1. Energy Transformation
4.1.2. Wave Set-Up/Set-Down
4.1.3. Nonlinear Interactions
4.2. The Uncertainties
5. Conclusions
- (1)
- Wind forcing was the dominant driver of the storm surge in the MCTC during Typhoon Hato. However, its contribution was nonlinear; simulations of wind forcing in isolation yielded a peak surge equal to 106% of the total observed peak. This over-prediction is a key diagnostic, quantifying the combined suppressive effect of wave-enhanced bottom friction (a major energy sink) and wave set-down that are only captured in a fully coupled model.
- (2)
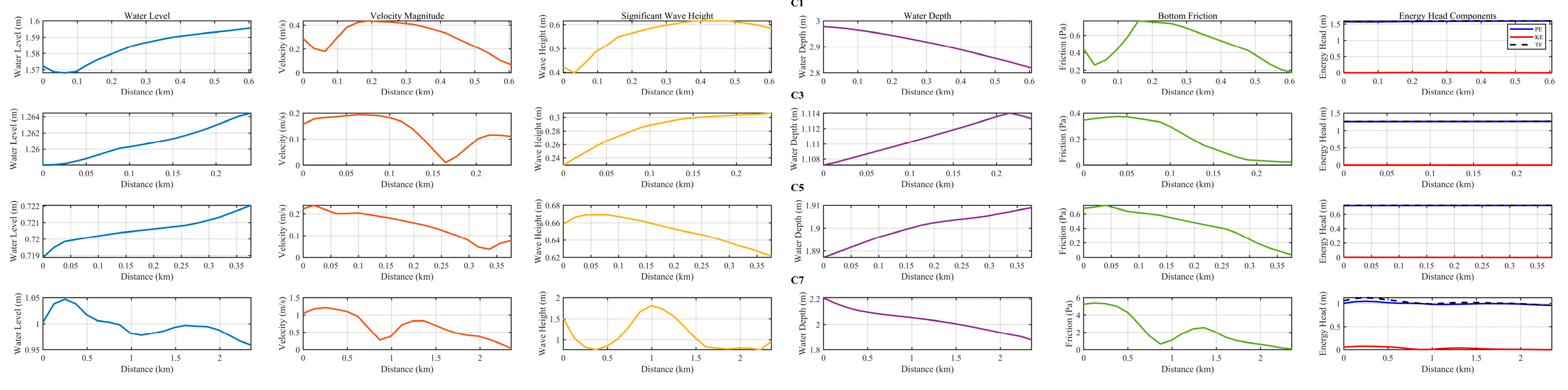
- The unique geomorphology of the MCTC acts as a natural funnel, making it a region of heightened vulnerability to storm surge disasters. This geometry induces storm surge amplification compared with the adjacent open coast, driven by a combination of geometric constriction and flow convergence. Energy transformation analysis based on the Bernoulli principle revealed distinct behaviors between the transverse and longitudinal waterways, with the constricted transverse waterway exhibiting a pronounced conversion from potential to kinetic energy, while the longitudinal waterway showed more gradual energy changes.
- (3)
- The total storm surge was governed by strong nonlinear interactions. Phase lags between the peak effects of wind, waves, and atmospheric pressure meant their contributions were not additive. Critically, wave-induced processes exerted a net suppressive effect at the time of the peak surge; this was primarily due to wave set-down generated by depth-induced breaking at the MCTC, which counteracted the wind-induced Surge. These findings highlight the critical need for fully coupled, high-resolution models to accurately predict storm surges in complex coastal environments, as they emphasize that wave-induced processes can significantly modulate the final water level in constricted estuarine channels.
Author Contributions
Funding
Data Availability Statement
Conflicts of Interest
References
- Resio, D.T.; Westerink, J.J. Modeling the physics of storm surges. Phys. Today 2008, 61, 33–38. [Google Scholar] [CrossRef]
- Dan, M.; Yueming, L.; Zhihua, W.; Xiaoliang, L.; Junyao, Z.; Ku, G. Decreasing Vulnerability of Storm Surge Disasters in Coastal Cities of China over the Past 30 Years. J. Mar. Sci. Eng. 2023, 11, 128. [Google Scholar] [CrossRef]
- Irish, J.L.; Resio, D.T. A hydrodynamics-based surge scale for hurricanes. Ocean Eng. 2010, 37, 69–81. [Google Scholar] [CrossRef]
- Han, R.; Yin, K.; Dai, X.; Li, H.; Zhou, S. Economic Footprint Assessment of Storm Surge Disasters in China Based on Disastrously—Extended Input-Output Analysis. Front. Mar. Sci. 2025, 12, 1673928. [Google Scholar] [CrossRef]
- Yang, L.; Scheffran, J.; Qin, H.; You, Q. Climate-Related Flood Risks and Urban Responses in the Pearl River Delta, China. Reg. Environ. Change 2015, 15, 379–391. [Google Scholar] [CrossRef]
- Liu, X.; Liu, Y.; Wang, Z.; Yang, X.; Zeng, X.; Meng, D. Comprehensive Assessment of Vulnerability to Storm Surges in Coastal China: Towards a Prefecture-Level Cities Perspective. Remote Sens. 2023, 15, 4828. [Google Scholar] [CrossRef]
- Wang, G. Study on the Characteristics of Tidal Current and Mass Transport in the Pearl River Estuary. Ph.D. Thesis, South China University of Technology, Guangzhou, China, 2020. [Google Scholar]
- He, L.; Li, G.; Li, K.; Zhang, Y.; Guo, T. Profit and loss analysis of engineering adaptation to storm surge disaster in the Pearl River Delta. Dili Yanjiu 2019, 38, 427–436. [Google Scholar] [CrossRef]
- Needham, H.F.; Keim, B.D.; Sathiaraj, D. A review of tropical cyclone-generated storm surges: Global data sources, observations, and impacts. Rev. Geophys. 2015, 53, 545–591. [Google Scholar] [CrossRef]
- Chen, W. Analysis of the impact of severe typhoons on water enhancement in the Pearl River Estuary-Hengmen and its upstream from 2008 to 2018. Guangdong Shuili Shuidian 2019, 5, 28–31. [Google Scholar]
- Guo, J.; Huang, S.; Ge, M.; Lee, J.H.W. A Comprehensive Investigation of Storm Surge-Induced Urban Flooding in Macao during Typhoon Hato in 2017. Eng. Appl. Comput. Fluid Mech. 2024, 18, 2394641. [Google Scholar] [CrossRef]
- Du, M.; Hou, Y.; Hu, P.; Wang, K. Effects of Typhoon Paths on Storm Surge and Coastal Inundation in the Pearl River Estuary, China. Remote Sens. 2020, 12, 1851. [Google Scholar] [CrossRef]
- Hu, S.; Liu, B.; Qiu, J.; Zeng, H.; Zhang, M. Study on the nonlinear superposition effect of storm surge in the Pearl River Estuary. Haiyang Kexue 2023, 47, 1–12. [Google Scholar]
- Du, M.; Hou, Y.; Guo, Y.; Wang, K. Numerical simulation and risk analysis of coastal inundation in land reclamation areas: A case study of the Pearl River Estuary. J. Ocean Univ. China 2020, 19, 1221–1234. [Google Scholar] [CrossRef]
- Yang, J.; Li, L.; Zhao, K.F.; Liu, Z.Z.; Chan, P.W. A comparative study of Typhoon Hato (2017) and Typhoon Mangkhut (2018)—Their impacts on coastal inundation in Macau. J. Geophys. Res. Oceans 2019, 124, 9590–9619. [Google Scholar] [CrossRef]
- Li, L.; Yang, J.; Lin, C.Y.; Chua, C.T.; Wang, Y.H.; Zhao, K.F.; Wu, Y.T.; Liu, Z.Z.; Song, Y.S.; Wang, T.P.; et al. Field survey of Typhoon Hato (2017) and a comparison with storm surge modeling in Macau. Nat. Hazards Earth Syst. Sci. 2018, 18, 3167–3178. [Google Scholar] [CrossRef]
- Chen, C.; Liu, H.; Beardsley, R.C. An unstructured grid, finite-volume, three-dimensional, primitive equations ocean model: Application to coastal ocean and estuaries. J. Atmos. Ocean. Technol. 2003, 20, 159–186. [Google Scholar] [CrossRef]
- Shi, X.; Chen, B.; Qiu, J.; Kang, X.; Ye, T. Simulation of inundation caused by typhoon-induced probable maximum storm surge based on numerical modeling and observational data. Stoch. Environ. Res. Risk Assess. 2021, 35, 2273–2286. [Google Scholar] [CrossRef]
- Ying, X.; Zheng, Z.; Ni, J.; Li, W.; Wang, C. Numerical simulation study on the dynamic impact of typhoon “Mangkhut” storm surge on the sea area near the Hong Kong-Zhuhai-Macao bridge. Phys. Chem. Earth 2022, 128, 103282. [Google Scholar] [CrossRef]
- Yue, X.; Li, C.; Miao, Q.; Liu, Y. Effects of coastal reclamation on the storm surge in the Bohai Bay. IOP Conf. Ser. Earth Environ. Sci. 2021, 675, 012053. [Google Scholar] [CrossRef]
- Valdez, J.J.; Shibayama, T.; Takabatake, T.; Esteban, M. Simulated flood forces on a building due to the storm surge by Typhoon Haiyan. Coast. Eng. J. 2023, 65, 21–38. [Google Scholar] [CrossRef]
- Makris, C.; Mallios, Z.; Androulidakis, Y.; Krestenitis, Y. CoastFLOOD: A high-resolution model for the simulation of coastal inundation due to storm surges. Hydrology 2023, 10, 103. [Google Scholar] [CrossRef]
- Hutchings, G.; Sansó, B.; Gattiker, J.; Francom, D.; Higdon, D. Comparing emulation methods for a high-resolution storm surge model. Environmetrics 2023, 34, e2796. [Google Scholar] [CrossRef]
- Egbert, G.D.; Erofeeva, S.Y. Efficient inverse modeling of barotropic ocean tides. J. Atmos. Ocean. Technol. 2002, 19, 183–204. [Google Scholar] [CrossRef]
- Zheng, P.; Li, M.; Wang, C.; Wolf, J.; Chen, X.; De Dominicis, M.; Yao, P.; Hu, Z. Tide-Surge Interaction in the Pearl River Estuary: A Case Study of Typhoon Hato. Front. Mar. Sci. 2020, 7, 236. [Google Scholar] [CrossRef]
- Zhang, Z.; Guo, F.; Song, Z.; Chen, P.; Liu, F.; Zhang, D. A numerical study of storm surge behavior in and around Lingdingyang Bay, Pearl River Estuary, China. Nat. Hazards 2022, 111, 1507–1532. [Google Scholar] [CrossRef]
- Murphy, A.H. Climatology, Persistence, and Their Linear Combination as Standards of Reference in Skill Scores. Weather Forecast. 1992, 7, 692–698. [Google Scholar] [CrossRef]
- Li, L.; Li, Z.; He, Z.; Yu, Z.; Ren, Y. Investigation of storm tides induced by super typhoon in macro-tidal Hangzhou Bay. Front. Mar. Sci. 2022, 9, 890285. [Google Scholar] [CrossRef]
- As-Salek, J.A. Coastal trapping and funneling effects on storm surges in the Meghna Estuary in relation to cyclones hitting Noakhali–Cox’s Bazar coast of Bangladesh. J. Phys. Oceanogr. 1998, 28, 227–249. [Google Scholar] [CrossRef]
- Deb, M.; Benedict, J.J.; Sun, N.; Yang, Z.; Hetland, R.D.; Judi, D.R.; Wang, T. Estuarine hurricane wind can intensify surge-dominated extreme water level in shallow and converging coastal systems. Nat. Hazards Earth Syst. Sci. 2024, 24, 2461–2479. [Google Scholar] [CrossRef]
- Dykstra, S.L.; Talke, S.A.; Yankovsky, A.E.; Torres, R.; Viparelli, E. Reflection of storm surge and tides in convergent estuaries with dams, the case of Charleston, USA. J. Geophys. Res. Oceans 2024, 129, e2023JC020498. [Google Scholar] [CrossRef]
- Chow, V.T. Open-Channel Hydraulics; McGraw-Hill: New York, NY, USA, 1959. [Google Scholar]
- Henderson, F.M. Open Channel Flow; Macmillan: New York, NY, USA, 1966. [Google Scholar]
- Mokrzycka-Olek, A.; Kałuża, T.; Hämmerling, M. Impact of Channel Confluence Geometry on Water Velocity Distributions in Channel Junctions with Inflows at Angles α = 45° and α = 60°. Water 2025, 17, 2890. [Google Scholar] [CrossRef]
- Shaheed, R.; Mohammadian, A.; Shaheed, A.M. Numerical Simulation of Turbulent Flow in River Bends and Confluences Using the k-ω SST Turbulence Model and Comparison with Standard and Realizable k-ε Models. Hydrology 2025, 12, 145. [Google Scholar] [CrossRef]
- Guo, W.; Wang, X.H.; Ding, P.; Ge, J.; Song, D. A system shift in tidal choking due to the construction of Yangshan Harbour, Shanghai, China. Estuar. Coast. Shelf Sci. 2018, 206, 49–60. [Google Scholar] [CrossRef]
- Soulsby, R.L.; Hamm, L.; Klopman, G.; Myrhaug, D.; Simons, R.R.; Thomas, G.P. Wave-current interaction in vertically sheared flows. Coastal Eng. 1993, 21, 41–99. [Google Scholar] [CrossRef]
- Huang, L.; Zhang, T.; Zhang, S.; Wang, H. Effect of nonlinear tide–surge interaction in the Pearl River Estuary during Typhoon Nida (2016). Ocean Sci. 2025, 21, 1891–1908. [Google Scholar] [CrossRef]
- Nordio, G.; Fagherazzi, S. Storm Surge and Tidal Dissipation in Deltaic Wetlands: The Role of Vegetation and Bathymetry in South Louisiana. J. Geophys. Res. Oceans 2022, 127, e2021JC017655. [Google Scholar] [CrossRef]
- Longuet-Higgins, M.S.; Stewart, R.W. Radiation stresses in water waves; a physical discussion, with applications. Deep Sea Res. Oceanogr. Abstr. 1964, 11, 529–562. [Google Scholar] [CrossRef]
- Bowen, A.J.; Inman, D.L.; Simmons, V.P. Wave ‘set-down’ and set-up. J. Geophys. Res. 1968, 73, 2569–2577. [Google Scholar] [CrossRef]
- Hsu, T.-W.; Hsu, J.R.-C.; Weng, W.-K.; Wang, S.-K.; Ou, S.-H. Wave setup and setdown generated by obliquely incident waves. Coastal Eng. 2006, 53, 865–877. [Google Scholar] [CrossRef]
- Goda, Y. Reanalysis of regular and random breaking wave statistics. J. Coast. Eng. 2010, 52, 71–106. [Google Scholar] [CrossRef]
- Battjes, J.A.; Janssen, J.P.F.M. Energy Loss and Set-Up Due to Breaking of Random Waves. In Proceedings of the 16th International Conference on Coastal Engineering, Hamburg, Germany, 27 August–3 September 1978; American Society of Civil Engineers: Reston, VA, USA, 1978; pp. 569–587. [Google Scholar] [CrossRef]
- Pedreros, R.; Idier, D.; Muller, H.; Lecacheux, S.; Paris, F.; Yates-Michelin, M.; Dumas, F.; Pineau-Guillou, L.; Senechal, N. Relative contribution of wave setup to the storm surge: Observations and modeling based analysis in open and protected environments (Truc Vert beach and Tubuai island). J. Coast. Res. 2018, 85, 1046–1050. [Google Scholar] [CrossRef]







| Model Parameters | Parameter Descriptions |
|---|---|
| Large area grid range | 105.50–123.50° E, 11.00–27.00° N |
| The high-precision grid range | 113.40–113.60° E, 22.05–22.25° N |
| Resolution | 40 m–40 km |
| Number of Nodes/Elements | 86,441 nodes, 167,732 elements |
| Time step of hydrodynamic model | External: 0.1 s, Internal: 1 s |
| Initial conditions | Cold start, water level, current and wave is set to zero; temperature is set to 18 °C, salinity is set to 35‰ |
| Tidal forcing | M2, S2, K1, O1, N2, P1, Q1, K2, MF, MM, M4, MS4, MN4 |
| Simulation Period | From 00:00 15 August 2017 to 24:00 30 August 2017 |
| Factors | Case0 | Case1 | Case2 | Case3 | Case4 |
|---|---|---|---|---|---|
| Wind | Yes | Yes | No | Yes | No |
| Wave | Yes | No | Yes | Yes | No |
| Atmospheric pressure | Yes | Yes | Yes | No | No |
| Tide | Yes | Yes | Yes | Yes | Yes |
| Analysis Purpose | Reference (Fully coupled) | Wave-induced surge | Wind-induced surge | Atmospheric pressure- induced surge | Total surge |
| Location | Site | Water Depth (m) | Total Storm Surge (m) | Wind Contribution (%) | Atmospheric Pressure Contribution (%) | Wave Contribution (%) |
|---|---|---|---|---|---|---|
| In Channel | A | 1.37 | 1.12 | 114.31 | 5.32 | 12.13 |
| H1 | 1.10 | 0.98 | 105.11 | 8.31 | 18.35 | |
| H2 | 1.05 | 1.14 | 104.17 | 5.95 | 15.78 | |
| H3 | 1.80 | 1.17 | 103.15 | 5.95 | 24.13 | |
| H4 | 2.06 | 1.16 | 101.20 | 3.80 | 16.48 | |
| Z1 | 2.24 | 1.20 | 110.64 | 5.83 | 19.51 | |
| Z2 | 1.01 | 1.22 | 103.20 | 5.06 | 17.50 | |
| Z3 | 1.14 | 1.18 | 105.73 | 2.65 | 22.54 | |
| Outside Channel | B | 10.02 | 1.11 | 104.40 | 0.52 | 17.33 |
| P1 | 27.29 | 0.34 | 111.88 | 1.80 | 3.72 | |
| P2 | 28.87 | 0.31 | 105.00 | 1.77 | 3.21 | |
| P3 | 32.53 | 0.30 | 105.89 | 2.03 | 3.07 |
Disclaimer/Publisher’s Note: The statements, opinions and data contained in all publications are solely those of the individual author(s) and contributor(s) and not of MDPI and/or the editor(s). MDPI and/or the editor(s) disclaim responsibility for any injury to people or property resulting from any ideas, methods, instructions or products referred to in the content. |
© 2025 by the authors. Licensee MDPI, Basel, Switzerland. This article is an open access article distributed under the terms and conditions of the Creative Commons Attribution (CC BY) license (https://creativecommons.org/licenses/by/4.0/).
Share and Cite
Li, L.; Zhang, B.; Guo, J.; Zhu, Y.; He, Z.; Xia, Y. Storm Surge Dynamics and Mechanisms in the Macao Cross Tidal Channel. J. Mar. Sci. Eng. 2025, 13, 2087. https://doi.org/10.3390/jmse13112087
Li L, Zhang B, Guo J, Zhu Y, He Z, Xia Y. Storm Surge Dynamics and Mechanisms in the Macao Cross Tidal Channel. Journal of Marine Science and Engineering. 2025; 13(11):2087. https://doi.org/10.3390/jmse13112087
Chicago/Turabian StyleLi, Li, Boshuai Zhang, Jiayi Guo, Ye Zhu, Zhiguo He, and Yuezhang Xia. 2025. "Storm Surge Dynamics and Mechanisms in the Macao Cross Tidal Channel" Journal of Marine Science and Engineering 13, no. 11: 2087. https://doi.org/10.3390/jmse13112087
APA StyleLi, L., Zhang, B., Guo, J., Zhu, Y., He, Z., & Xia, Y. (2025). Storm Surge Dynamics and Mechanisms in the Macao Cross Tidal Channel. Journal of Marine Science and Engineering, 13(11), 2087. https://doi.org/10.3390/jmse13112087

