Sign in to use this feature.

Years

Between: -

Subjects

remove_circle_outline
remove_circle_outline
remove_circle_outline
remove_circle_outline
remove_circle_outline
remove_circle_outline
remove_circle_outline
remove_circle_outline
remove_circle_outline

Journals

remove_circle_outline
remove_circle_outline
remove_circle_outline
remove_circle_outline
remove_circle_outline
remove_circle_outline
remove_circle_outline
remove_circle_outline
remove_circle_outline
remove_circle_outline
remove_circle_outline
remove_circle_outline
remove_circle_outline
remove_circle_outline

Article Types

Countries / Regions

remove_circle_outline
remove_circle_outline
remove_circle_outline
remove_circle_outline
remove_circle_outline
remove_circle_outline
remove_circle_outline
remove_circle_outline
remove_circle_outline
remove_circle_outline

Search Results (4,797)

Search Parameters:
Keywords = ocean modeling

Order results
Result details
Results per page
Select all
Export citation of selected articles as:
23 pages, 4062 KB  
Review
Nanoscale Microstructure and Microbially Mediated Mineralization Mechanisms of Deep-Sea Cobalt-Rich Crusts
by Kehui Zhang, Xuelian You, Chao Li, Haojia Wang, Jingwei Wu, Yuan Dang, Qing Guan and Xiaowei Huang
Minerals 2026, 16(1), 91; https://doi.org/10.3390/min16010091 (registering DOI) - 17 Jan 2026
Abstract
As a potential strategic resource of critical metals, deep-sea cobalt-rich crusts represent one of the most promising metal reservoirs within oceanic seamount systems, and their metallogenic mechanism constitutes a frontier topic in deep-sea geoscience research. This review focuses on the cobalt-rich crusts from [...] Read more.
As a potential strategic resource of critical metals, deep-sea cobalt-rich crusts represent one of the most promising metal reservoirs within oceanic seamount systems, and their metallogenic mechanism constitutes a frontier topic in deep-sea geoscience research. This review focuses on the cobalt-rich crusts from the Magellan Seamount region in the northwestern Pacific and synthesizes existing geological, mineralogical, and geochemical studies to systematically elucidate their mineralization processes and metal enrichment mechanisms from a microstructural perspective, with particular emphasis on cobalt enrichment and its controlling factors. Based on published observations and experimental evidence, the formation of cobalt-rich crusts is divided into three stages: (1) Mn/Fe colloid formation—At the chemical interface between oxygen-rich bottom water and the oxygen minimum zone (OMZ), Mn2+ and Fe2+ are oxidized to form hydrated oxide colloids such as δ-MnO2 and Fe(OH)3. (2) Key metal adsorption—Colloidal particles adsorb metal ions such as Co2+, Ni2+, and Cu2+ through surface complexation and oxidation–substitution reactions, among which Co2+ is further oxidized to Co3+ and stably incorporated into MnO6 octahedral vacancies. (3) Colloid deposition and mineralization—Mn–Fe colloids aggregate, dehydrate, and cement on the exposed seamount bedrock surface to form layered cobalt-rich crusts. This process is dominated by the Fe/Mn redox cycle, representing a continuous evolution from colloidal reactions to solid-phase mineral formation. Biological processes play a crucial catalytic role in the microstructural evolution of the crusts. Mn-oxidizing bacteria and extracellular polymeric substances (EPS) accelerate Mn oxidation, regulate mineral-oriented growth, and enhance particle cementation, thereby significantly improving the oxidation and adsorption efficiency of metal ions. Tectonic and paleoceanographic evolution, seamount topography, and the circulation of Antarctic Bottom Water jointly control the metallogenic environment and metal sources, while crystal defects, redox gradients, and biological activity collectively drive metal enrichment. This review establishes a conceptual framework of a multi-level metallogenic model linking macroscopic oceanic circulation and geological evolution with microscopic chemical and biological processes, providing a theoretical basis for the exploration, prediction, and sustainable development of potential cobalt-rich crust deposits. Full article
(This article belongs to the Special Issue Geochemistry and Mineralogy of Polymetallic Deep-Sea Deposits)
Show Figures

Figure 1

31 pages, 15738 KB  
Article
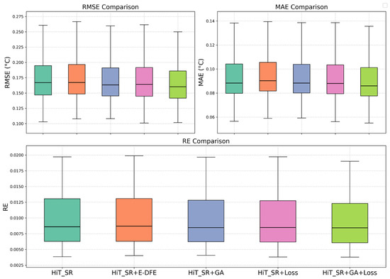
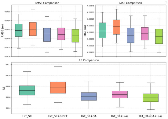
HiT_DS: A Modular and Physics-Informed Hierarchical Transformer Framework for Spatial Downscaling of Sea Surface Temperature and Height
by Min Wang, Weixuan Liu, Rong Chu, Xidong Wang, Shouxian Zhu and Guanghong Liao
Remote Sens. 2026, 18(2), 292; https://doi.org/10.3390/rs18020292 - 15 Jan 2026
Viewed by 30
Abstract
Recent advances in satellite observations have expanded the use of Sea Surface Temperature (SST) and Sea Surface Height (SSH) data in climate and oceanography, yet their low spatial resolution limits fine-scale analyses. We propose HiT_DS, a modular hierarchical Transformer framework for high-resolution downscaling [...] Read more.
Recent advances in satellite observations have expanded the use of Sea Surface Temperature (SST) and Sea Surface Height (SSH) data in climate and oceanography, yet their low spatial resolution limits fine-scale analyses. We propose HiT_DS, a modular hierarchical Transformer framework for high-resolution downscaling of SST and SSH fields. To address challenges in multiscale feature representation and physical consistency, HiT_DS integrates three key modules: (1) Enhanced Dual Feature Extraction (E-DFE), which employs depth-wise separable convolutions to improve local feature modeling efficiently; (2) Gradient-Aware Attention (GA), which emphasizes dynamically important high-gradient structures such as oceanic fronts; and (3) Physics-Informed Loss Functions, which promote physical realism and dynamical consistency in the reconstructed fields. Experiments across two dynamically distinct oceanic regions demonstrate that HiT_DS achieves improved reconstruction accuracy and enhanced physical fidelity, with selective module combinations tailored to regional dynamical conditions. This framework provides an effective and extensible approach for oceanographic data downscaling. Full article
Show Figures

Figure 1

19 pages, 5118 KB  
Article
A Spatiotemporal Analysis of Heterogeneity and Non-Stationarity of Extreme Precipitation in the Ayeyarwady River Basin, Myanmar, and Their Linkages to Global Climate Variability
by Masahiko Nagai and Arnob Bormudoi
Water 2026, 18(2), 227; https://doi.org/10.3390/w18020227 - 15 Jan 2026
Viewed by 77
Abstract
Introduction: Extreme precipitation events in the Ayeyarwady River Basin, Myanmar, exhibit pronounced spatiotemporal heterogeneity and non-stationarity, yet their linkages to large-scale climate oscillations remain poorly understood. Objective: This study aimed to characterize distinct rainfall regimes, quantify non-stationary extreme event dynamics, and identify teleconnections [...] Read more.
Introduction: Extreme precipitation events in the Ayeyarwady River Basin, Myanmar, exhibit pronounced spatiotemporal heterogeneity and non-stationarity, yet their linkages to large-scale climate oscillations remain poorly understood. Objective: This study aimed to characterize distinct rainfall regimes, quantify non-stationary extreme event dynamics, and identify teleconnections with oceanic-atmospheric variability over 66 years (1958–2023). Materials and Methods: A hybrid analytical framework integrating K-means clustering, non-stationary Generalized Pareto Distribution modeling, and wavelet coherence analysis was applied to gridded monthly precipitation data from TerraClimate. Results: Four spatiotemporal rainfall clusters were delineated, exhibiting fundamentally different monsoonal characteristics with mean seasonal peaks ranging from 188 mm to 686 mm. Extreme precipitation behavior demonstrated substantial heterogeneity, with 100-year return periods varying from 501 mm in subdued northern zones to 983 mm in hyper-intense coastal regions. Wavelet coherence analysis revealed regime-specific teleconnections: Cluster 2 exhibited the strongest ENSO influence (0.536 coherence strength, 64-month median duration, 1960 peak), while Cluster 4 demonstrated unique IOD dominance (0.479 strength, 74-month duration) extending beyond annual timescales. Teleconnection effectiveness varied substantially across regimes (0.428–0.536 strength) with significant decadal non-stationarity. Limitations and Perspectives: Basin-wide precipitation averages obscure critical regional variations in extreme event magnitudes and climate forcing mechanisms, necessitating regime-differentiated approaches for flood risk assessment and climate-informed water resources management in Myanmar’s most vital river basin. Full article
(This article belongs to the Special Issue Water-Related Disasters in Adaptation to Climate Change)
Show Figures

Figure 1

45 pages, 32626 KB  
Article
Estimation of Sea State Parameters from Measured Ship Motions with a Neural Network Trained on Experimentally Validated Model Simulations
by Jason M. Dahl, Annette R. Grilli, Stephanie C. Steele and Stephan T. Grilli
J. Mar. Sci. Eng. 2026, 14(2), 179; https://doi.org/10.3390/jmse14020179 - 14 Jan 2026
Viewed by 65
Abstract
The use of ships and boats as sea-state (SS) measurement platforms has the potential to expand ocean observations while providing actionable information for real-time operational decision-making at sea. Within the framework of the Wave Buoy Analogy (WBA), this work develops an inverse approach [...] Read more.
The use of ships and boats as sea-state (SS) measurement platforms has the potential to expand ocean observations while providing actionable information for real-time operational decision-making at sea. Within the framework of the Wave Buoy Analogy (WBA), this work develops an inverse approach in which efficient simulations of wave-induced motions of an advancing vessel are used to train a neural network (NN) to predict SS parameters across a broad range of wave climates. We show that a reduced set of novel motion discriminant variables (MDVs)—computed from short time series of heave, roll, and pitch motions measured by an onboard inertial measurement unit (IMU), together with the vessel’s forward speed—provides sufficient and robust information for accurate, near-real-time SS estimation. The methodology targets small, barge-like tugboats whose operations are SS-limited and whose motions can become large and strongly nonlinear near their upper operating limits. To accurately model such responses and generate training data, an efficient nonlinear time-domain seakeeping model is developed that includes nonlinear hydrostatic and viscous damping terms and explicitly accounts for forward-speed effects. The model is experimentally validated using a scaled physical model in laboratory wave-tank tests, demonstrating the necessity of these nonlinear contributions for this class of vessels. The validated model is then used to generate large, high-fidelity datasets for NN training. When applied to independent numerically simulated motion time series, the trained NN predicts SS parameters with errors typically below 5%, with slightly larger errors for SS directionality under relatively high measurement noise. Application to experimentally measured vessel motions yields similarly small errors, confirming the robustness and practical applicability of the proposed framework. In operational settings, the trained NN can be deployed onboard a tugboat and driven by IMU measurements to provide real-time SS estimates. While results are presented for a specific vessel, the methodology is general and readily transferable to other ship geometries given appropriate hydrodynamic coefficients. Full article
(This article belongs to the Section Ocean Engineering)
Show Figures

Figure 1

34 pages, 14353 KB  
Article
Nationwide Prediction of Flood Damage Costs in the Contiguous United States Using ML-Based Models: A Data-Driven Approach
by Khaled M. Adel, Hany G. Radwan and Mohamed M. Morsy
Hydrology 2026, 13(1), 31; https://doi.org/10.3390/hydrology13010031 - 14 Jan 2026
Viewed by 132
Abstract
Flooding remains one of the most disruptive and costly natural hazards worldwide. Conventional approaches for estimating flood damage cost rely on empirical loss curves or historical insurance data, which often lack spatial resolution and predictive robustness. This study develops a data-driven framework for [...] Read more.
Flooding remains one of the most disruptive and costly natural hazards worldwide. Conventional approaches for estimating flood damage cost rely on empirical loss curves or historical insurance data, which often lack spatial resolution and predictive robustness. This study develops a data-driven framework for estimating flood damage costs across the contiguous United States, where comprehensive hydrologic, climatic, and socioeconomic data are available. A database of 17,407 flood events was compiled, incorporating approximately 38 parameters obtained from the National Oceanic and Atmospheric Administration (NOAA), the National Water Model (NWM), the United States Geological Survey (USGS NED), and the U.S. Census Bureau. Data preprocessing addressed missing values and outliers using the interquartile range and Walsh tests, followed by partitioning into training (70%), testing (15%), and validation (15%) subsets. Four modeling configurations were examined to improve predictive accuracy. The optimal hybrid regression–classification framework achieved correlation coefficients of 0.97 (training), 0.77 (testing), and 0.81 (validation) with minimal bias (−5.85, −107.8, and −274.5 USD, respectively). The findings demonstrate the potential of nationwide, event-based predictive approaches to enhance flood-damage cost assessment, providing a practical tool for risk evaluation and resource planning. Full article
Show Figures

Figure 1

37 pages, 4125 KB  
Review
Pipeline Systems in Floating Offshore Production Systems: Hydrodynamics, Corrosion, Design and Maintenance
by Jin Yan, Yining Zhang, Zehan Chen, Pengji Li, Yuting Li, Zeyu Cao, Jiaming Wu, Kefan Yang and Dapeng Zhang
J. Mar. Sci. Eng. 2026, 14(2), 176; https://doi.org/10.3390/jmse14020176 - 14 Jan 2026
Viewed by 282
Abstract
Floating offshore production systems play a critical role in offshore resource development, where the structural integrity and operational safety of risers, umbilical cables, and mooring cables are of paramount importance. Focusing on the failure risks of these key components under harsh marine environments, [...] Read more.
Floating offshore production systems play a critical role in offshore resource development, where the structural integrity and operational safety of risers, umbilical cables, and mooring cables are of paramount importance. Focusing on the failure risks of these key components under harsh marine environments, this paper systematically reviews the coupled mechanisms of wave-induced loading, electrochemical corrosion, and material fatigue. Unlike traditional reviews on offshore pipelines and cables, this study not only examines the mechanical performance of deepwater pipelines and cables along with representative research cases but also discusses corrosion mechanisms in marine environments and corresponding repair and mitigation strategies. In addition, recent advances in machine learning-based digital twin frameworks and real-time monitoring technologies are reviewed, with an analysis of representative application cases. The findings indicate that interdisciplinary material innovations combined with data-driven predictive models are essential for addressing maintenance challenges under extreme ocean conditions. Furthermore, this review identifies existing research gaps in data fusion for monitoring technologies and outlines clear directions for the intelligent operation and maintenance of future deep-sea infrastructure. Full article
Show Figures

Figure 1

25 pages, 13622 KB  
Article
Drone-Based Measurements of Marine Aerosol Size Distributions and Source–Receptor Relationships over a Great Barrier Reef Lagoon
by Christian Eckert, Kim I. Monteforte, Chris Medcraft, Adrian Doss, Daniel P. Harrison and Brendan P. Kelaher
Remote Sens. 2026, 18(2), 251; https://doi.org/10.3390/rs18020251 - 13 Jan 2026
Viewed by 108
Abstract
Marine aerosol particles influence the climate, and interactions between ocean waves and coral reefs may impact aerosol size distributions in remote locations, such as the Great Barrier Reef. However, quantifying these processes has proven to be challenging. We tested whether marine aerosol size [...] Read more.
Marine aerosol particles influence the climate, and interactions between ocean waves and coral reefs may impact aerosol size distributions in remote locations, such as the Great Barrier Reef. However, quantifying these processes has proven to be challenging. We tested whether marine aerosol size distributions and concentrations differ across four zones: background air outside the lagoon, above the reef crest, within the lagoon, and near the beach of Heron Island, approximately 85 km offshore. Using a modified DJI Matrice 600 hexacopter equipped with a miniaturised optical particle counter and custom inline gas dryer, we measured aerosols from 165 to 3000 nm across 64 drone flights during 16 sampling events in November 2024. Aerosol concentrations showed substantial day-to-day temporal variability, while spatial differences among reef zones were generally minor; on certain days, the maximum difference between background and near-island measurements reached approximately 25%. K-means clustering identified four dominant air mass transport patterns, and Hybrid Single-Particle Lagrangian Integrated Trajectory model analysis indicated that upwind conditions had a strong influence on aerosol loading. Vertical profiles revealed limited variability within the lowest 100 m. Mixing layer height, air parcel travel speed, and water depth along the final 12 h of trajectories were key drivers of aerosol variability. These results demonstrate the potential of drone-based measurements for characterising marine aerosols and provide a foundation for improving climate model representations of natural aerosol processes. Full article
Show Figures

Graphical abstract

29 pages, 6013 KB  
Article
Data-Driven Multidecadal Reconstruction and Nowcasting of Coastal and Offshore 3-D Sea Temperature Fields from Satellite Observations: A Case Study in the East/Japan Sea
by Eun-Joo Lee, Yerin Hwang, Young-Taeg Kim, SungHyun Nam and Jae-Hun Park
Remote Sens. 2026, 18(2), 246; https://doi.org/10.3390/rs18020246 - 13 Jan 2026
Viewed by 129
Abstract
Understanding ocean temperature structure and its spatiotemporal variability is essential for studying ocean circulation, climate, and marine ecosystems. While previous approaches using observations and numerical models have advanced our understanding, they face limitations such as sparse data coverage and computational bias. To address [...] Read more.
Understanding ocean temperature structure and its spatiotemporal variability is essential for studying ocean circulation, climate, and marine ecosystems. While previous approaches using observations and numerical models have advanced our understanding, they face limitations such as sparse data coverage and computational bias. To address these issues, we developed an ensemble of data-driven neural network models trained with in situ vertical profiles and daily remote sensing inputs. Unlike previous studies that were limited to open-ocean regions, our model explicitly included coastal areas with complex bathymetry. The model was applied to the East/Japan Sea and reconstructed 31 years (1993–2023) of daily three-dimensional ocean temperature fields at 13 standard depths. The predictions were validated against observations, showing RMSE < 1.33 °C and bias < 0.10 °C. Comparisons with previous studies confirmed the model’s ability to capture short- to mid-term temperature variations. This data-driven approach demonstrates a robust alternative to traditional methods and offers an applicable and reliable tool for understanding long-term ocean variability in marginal seas. Full article
Show Figures

Figure 1

22 pages, 3427 KB  
Article
FCS-Net: A Frequency-Spatial Coordinate and Strip-Augmented Network for SAR Oil Spill Segmentation
by Shentao Wang, Byung-Won Min, Depeng Gao and Yue Hong
J. Mar. Sci. Eng. 2026, 14(2), 168; https://doi.org/10.3390/jmse14020168 - 13 Jan 2026
Viewed by 138
Abstract
Accurate segmentation of marine oil spills in synthetic aperture radar (SAR) images is crucial for emergency response and environmental remediation. However, current deep learning methods are still limited by two long-standing bottlenecks: first, multiplicative speckle noise and complex background clutter make it difficult [...] Read more.
Accurate segmentation of marine oil spills in synthetic aperture radar (SAR) images is crucial for emergency response and environmental remediation. However, current deep learning methods are still limited by two long-standing bottlenecks: first, multiplicative speckle noise and complex background clutter make it difficult to accurately delineate actual oil spills; and second, limited receptive fields often lead to the geometric fragmentation of elongated, irregular oil films. To surmount these challenges, this paper proposes a novel framework termed the Frequency-Spatial Coordinate and Strip-Augmented Network (FCS-Net). First, we leverage the ConvNeXt-Small backbone to extract robust hierarchical features, utilizing its large kernel design to capture broad contextual information. Second, a Frequency-Spatial Coordinate Attention (FS-CA) module is proposed to integrate spatial coordinate encoding with global frequency-domain information. Third, to maintain the morphological integrity of elongated targets, we introduce a Strip-Augmented Pyramid Pooling (SAPP) module which employs anisotropic strip pooling to model long-range dependencies. Extensive experiments on the multi-source SOS dataset demonstrate the effectiveness of FCS-Net. The proposed method achieves state-of-the-art performance, reaching an mIoU of 87.78% in the Gulf of Mexico and 89.62% in the challenging Persian Gulf, outperforming strong baselines and demonstrating superior robustness in complex ocean scenarios. Full article
Show Figures

Figure 1

25 pages, 1768 KB  
Review
A Review of Phytoplankton Sinking Rates: Mechanisms, Methodologies, and Biogeochemical Implications
by Jie Zhu, Jiahong Cheng, Jiangning Zeng, Wei Zhang, Chenggang Liu, Kokoette Sunday Effiong and Qiang Hao
Biology 2026, 15(2), 130; https://doi.org/10.3390/biology15020130 - 12 Jan 2026
Viewed by 171
Abstract
Phytoplankton sinking is a pivotal process within the biological carbon pump that drives the vertical transport of organic carbon in the ocean. Its rates and underlying mechanisms directly influence the efficiency of the global carbon cycle and the potential for long-term sequestration. This [...] Read more.
Phytoplankton sinking is a pivotal process within the biological carbon pump that drives the vertical transport of organic carbon in the ocean. Its rates and underlying mechanisms directly influence the efficiency of the global carbon cycle and the potential for long-term sequestration. This review synthesizes current knowledge of phytoplankton sinking, encompassing buoyancy regulation mechanisms, environmental and physiological controls, methodological approaches such as settling column (SETCOL), and comparative evidence from laboratory and field studies. The aim is to elucidate the regulatory processes governing sinking and to provide a foundation for improving ecological models and refining estimates of carbon export. Evidence demonstrates that sinking rates vary considerably among phytoplankton groups, with nutrient limitation and aggregation emerging as critical modulators of export efficiency. By integrating results from experimental and in situ research, this review identifies unresolved questions and highlights priority areas: (1) quantitative coupling between aggregation and carbon flux; (2) mechanistic understanding of group-specific sinking responses; (3) integration of novel technologies, including in situ imaging and high-resolution modeling with established methods; and (4) development of interdisciplinary frameworks. Overall, this review consolidates current knowledge and underscores phytoplankton sinking as a crucial yet insufficiently resolved process within the marine carbon cycle. Full article
(This article belongs to the Special Issue Algal Stress Responses: Molecular and Ecological Perspectives)
Show Figures

Figure 1

21 pages, 12157 KB  
Article
Background Error Covariance Matrix Structure and Impact in a Regional Tropical Cyclone Forecasting System
by Dongliang Wang, Hong Li, Hongjun Tian and Lin Deng
Remote Sens. 2026, 18(2), 230; https://doi.org/10.3390/rs18020230 - 11 Jan 2026
Viewed by 213
Abstract
The background error covariance matrix (BE) is a fundamental component of data assimilation (DA) systems. Its impact on both the DA process and subsequent forecast performance depends on model configuration and the types of observations assimilated. However, few studies have specifically examined BE [...] Read more.
The background error covariance matrix (BE) is a fundamental component of data assimilation (DA) systems. Its impact on both the DA process and subsequent forecast performance depends on model configuration and the types of observations assimilated. However, few studies have specifically examined BE behavior in the context of satellite DA for regional tropical cyclone (TC) prediction. In this study, we develop the BE and evaluate its structure for a TC forecasting system over the western North Pacific. A total of six BEs are modeled using three control variable (CV) schemes (aligned with the CV5, CV6, and CV7 options available in the Weather Research and Forecasting DA system (WRFDA)) with training data from two distinct periods: the TC season and the winter season. Results demonstrate that the BE structure is sensitive to the training data used. The performance of TC-season BEs derived from different CV schemes is assessed for TC track forecasting through the assimilation of microwave sounder satellite brightness temperature data. The evaluation is based on a set of 14 cases from 2018 that exhibited large official track forecast errors. The CV7 BE, which uses the x- and y-direction wind components as CVs, captures finer small-scale momentum error features and yields greater forecast improvement at shorter lead-times (24 h). In contrast, the CV6 BE, which employs stream function (ψ) and unbalanced velocity potential (χu) as CVs, incorporates more large-scale momentum error information. The inherent multivariate couplings among analysis variables in this scheme also allow for closer fits to satellite microwave brightness temperature data, which is particularly crucial for forecasting TCs that primarily develop over oceans where conventional observations are scarce. Consequently, it enhances the large-scale environmental field more effectively and delivers superior forecast skill at longer lead times (48 h and 72 h). Full article
(This article belongs to the Section Atmospheric Remote Sensing)
Show Figures

Graphical abstract

21 pages, 58532 KB  
Article
Joint Inference of Image Enhancement and Object Detection via Cross-Domain Fusion Transformer
by Bingxun Zhao and Yuan Chen
Computers 2026, 15(1), 43; https://doi.org/10.3390/computers15010043 - 10 Jan 2026
Viewed by 109
Abstract
Underwater vision is fundamental to ocean exploration, yet it is frequently impaired by underwater degradation including low contrast, color distortion and blur, thereby presenting significant challenges for underwater object detection (UOD). Most existing methods employ underwater image enhancement as a preprocessing step to [...] Read more.
Underwater vision is fundamental to ocean exploration, yet it is frequently impaired by underwater degradation including low contrast, color distortion and blur, thereby presenting significant challenges for underwater object detection (UOD). Most existing methods employ underwater image enhancement as a preprocessing step to improve visual quality prior to detection. However, image enhancement and object detection are optimized for fundamentally different objectives, and directly cascading them leads to feature distribution mismatch. Moreover, prevailing dual-branch architectures process enhancement and detection independently, overlooking multi-scale interactions across domains and thus constraining the learning of cross-domain feature representation. To overcome these limitations, We propose an underwater cross-domain fusion Transformer detector (UCF-DETR). UCF-DETR jointly leverages image enhancement and object detection by exploiting the complementary information from the enhanced and original image domains. Specifically, an underwater image enhancement module is employed to improve visibility. We then design a cross-domain feature pyramid to integrate fine-grained structural details from the enhanced domain with semantic representations from the original domain. Cross-domain query interaction mechanism is introduced to model inter-domain query relationships, leading to accurate object localization and boundary delineation. Extensive experiments on the challenging DUO and UDD benchmarks demonstrate that UCF-DETR consistently outperforms state-of-the-art methods for UOD. Full article
(This article belongs to the Special Issue Advanced Image Processing and Computer Vision (2nd Edition))
Show Figures

Figure 1

12 pages, 238 KB  
Article
Challenges and Opportunities in the Integrated Economic and Oceanographic Analysis of Deoxygenation Impacts on Marine Fisheries and Ecosystems
by Hongsik Kim and U. Rashid Sumaila
J. Mar. Sci. Eng. 2026, 14(2), 150; https://doi.org/10.3390/jmse14020150 - 10 Jan 2026
Viewed by 203
Abstract
We argue that a multidisciplinary approach is essential to identify deoxygenation impacts on marine ecosystems and fisheries, bridging across the traditionally separate fields of oceanography and economics. Oceanography reveals physical and chemical drivers of deoxygenation, and assesses potential biological impacts based on the [...] Read more.
We argue that a multidisciplinary approach is essential to identify deoxygenation impacts on marine ecosystems and fisheries, bridging across the traditionally separate fields of oceanography and economics. Oceanography reveals physical and chemical drivers of deoxygenation, and assesses potential biological impacts based on the physiological and ecological characteristics of organisms and communities. Economics identifies the consequences of human activities associated with the utilization of the changing ocean, particularly in relation to deoxygenation. Economic data, models and analysis can contribute to determining the future directions toward achieving a healthy ocean in the context of deoxygenation. However, differing perspectives on the value of the ocean may lead to conflicts between short-term economic gains and long-term sustainability. Uncertainties in fish populations and deoxygenation modeling add complexity. Despite the difficulties involved, the interdisciplinary view of economics and oceanography offers a more comprehensive understanding of the complexities of ocean deoxygenation and its impacts on both the ocean and people. In order to address the challenges posed by deoxygenation and its impacts, and to develop mitigation and adaptation strategies, it is essential to establish a strong collaboration between experts of oceanography and fisheries economics. Full article
23 pages, 2960 KB  
Article
Multi-Source Data-Driven CNN–Transformer Hybrid Modeling for Wind Energy Database Reconstruction in the Tropical Indian Ocean
by Jintao Xu, Yao Luo, Guanglin Wu, Weiqiang Wang, Zhenqiu Zhang and Arulananthan Kanapathipillai
Remote Sens. 2026, 18(2), 226; https://doi.org/10.3390/rs18020226 - 10 Jan 2026
Viewed by 238
Abstract
This study addresses the issues of sparse observations from buoys in the tropical Indian Ocean and systematic biases in reanalysis products by proposing a daily-mean wind speed reconstruction framework that integrates multi-source meteorological fields. This study also considers the impact of different source [...] Read more.
This study addresses the issues of sparse observations from buoys in the tropical Indian Ocean and systematic biases in reanalysis products by proposing a daily-mean wind speed reconstruction framework that integrates multi-source meteorological fields. This study also considers the impact of different source domains on model pre-training, with the goal of providing reliable data support for wind energy assessment. The model was pre-trained using data from the Americas and tropical Pacific buoys as the source domain and then fine-tuned on Indian Ocean buoys as the target domain. Using annual leave-one-out cross-validation, we evaluated the model’s performance against uncorrected ERA5 and CCMP data while comparing three deep reconstruction models. The results demonstrate that deep models significantly reduce reanalysis bias: the RMSE decreases from approximately 1.00 m/s to 0.88 m/s, while R2 improves by approximately 8.9% and 7.1% compared to ERA5/CCMP, respectively. The Branch CNN–Transformer outperforms standalone LSTM or CNN models in overall accuracy and interpretability, with transfer learning yielding directional gains for specific wind conditions in complex topography and monsoon zones. The 20-year wind energy data reconstructed using this model indicates wind energy densities 60–150 W/m2 higher than in the reanalysis data in open high-wind zones such as the southern Arabian Sea and the Somali coast. This study not only provides a pathway for constructing high-precision wind speed databases for tropical Indian Ocean wind resource assessment but also offers precise quantitative support for delineating priority development zones for offshore wind farms and mitigating near-shore engineering risks. Full article
Show Figures

Figure 1

38 pages, 40159 KB  
Article
Hybrid-Energy-Powered Electrochemical Ocean Alkalinity Enhancement Model: Plant Operation, Cost, and Profitability
by James Salvador Niffenegger, Kaitlin Brunik, Katie Peterson, Andrew Simms, Tristen Myers Stewart, Jessica Cross and Michael Lawson
Clean Technol. 2026, 8(1), 12; https://doi.org/10.3390/cleantechnol8010012 - 9 Jan 2026
Viewed by 191
Abstract
Electrochemical ocean alkalinity enhancement is a form of marine carbon dioxide removal, a rapidly growing industry that is powered by efficient onshore or offshore energy sources. As more and larger deployments are being planned, it is important to consider how variable energy sources [...] Read more.
Electrochemical ocean alkalinity enhancement is a form of marine carbon dioxide removal, a rapidly growing industry that is powered by efficient onshore or offshore energy sources. As more and larger deployments are being planned, it is important to consider how variable energy sources like tidal energy can impact plant performance and costs. An open-source Python-based generalizable model for electrodialysis-based ocean alkalinity enhancement has been developed that can capture key system-level insights of the electrochemistry, ocean chemistry, acid disposal, and co-product creation of these plants under various conditions. The model additionally accounts for hybrid energy system performance profiles and costs via the National Laboratory of the Rockies’ H2Integrate tool. The model was used to analyze an example theoretical plant deployment in North Admiralty Inlet, including how the plant is impacted by the available energy sources in the region and the scale at which plant costs are covered by the co-products it generates, such as recycled concrete aggregates, without requiring carbon credits. The results show that the example plant could be profitable without carbon credits at commercial scales of 100,000 to 1 million tons of carbon dioxide removal per year, so long as it uses low-cost electricity sources and either sells acid or recovers recycled concrete aggregates with about 1 molar acid concentrations, though more research is needed to confirm these results. Full article
(This article belongs to the Topic CO2 Capture and Renewable Energy, 2nd Edition)
Show Figures

Figure 1

Back to TopTop