Multi-Source Data-Driven CNN–Transformer Hybrid Modeling for Wind Energy Database Reconstruction in the Tropical Indian Ocean
Highlights
- A branch CNN–Transformer framework that fuses ERA5, CCMP and auxiliary meteorological variables achieves the most accurate and stable 10 m wind reconstruction across years and random seeds.
- A 20-year daily wind energy dataset (2005–2024) is produced, correcting systematic biases in existing reanalysis and satellite-fusion products.
- The branch CNN–Transformer provides a practical and robust approach for high-resolution 10 m wind database construction in data-sparse ocean regions.
- Supports precise offshore wind farm site selection and coastal engineering risk assessment in the tropical Indian Ocean, bridging the gap between remote sensing applications and renewable energy development.
Abstract
1. Introduction
2. Research Area and Data Collection
2.1. Research Area
2.2. Data Acquisition
2.2.1. In-Situ Buoy Observations
2.2.2. Meteorological Reanalysis Products
3. Method
3.1. Data Preprocessing
3.2. Deep Neural Network Model
3.3. Transfer Learning
3.4. Evaluation Indicators and Strategies
4. Result
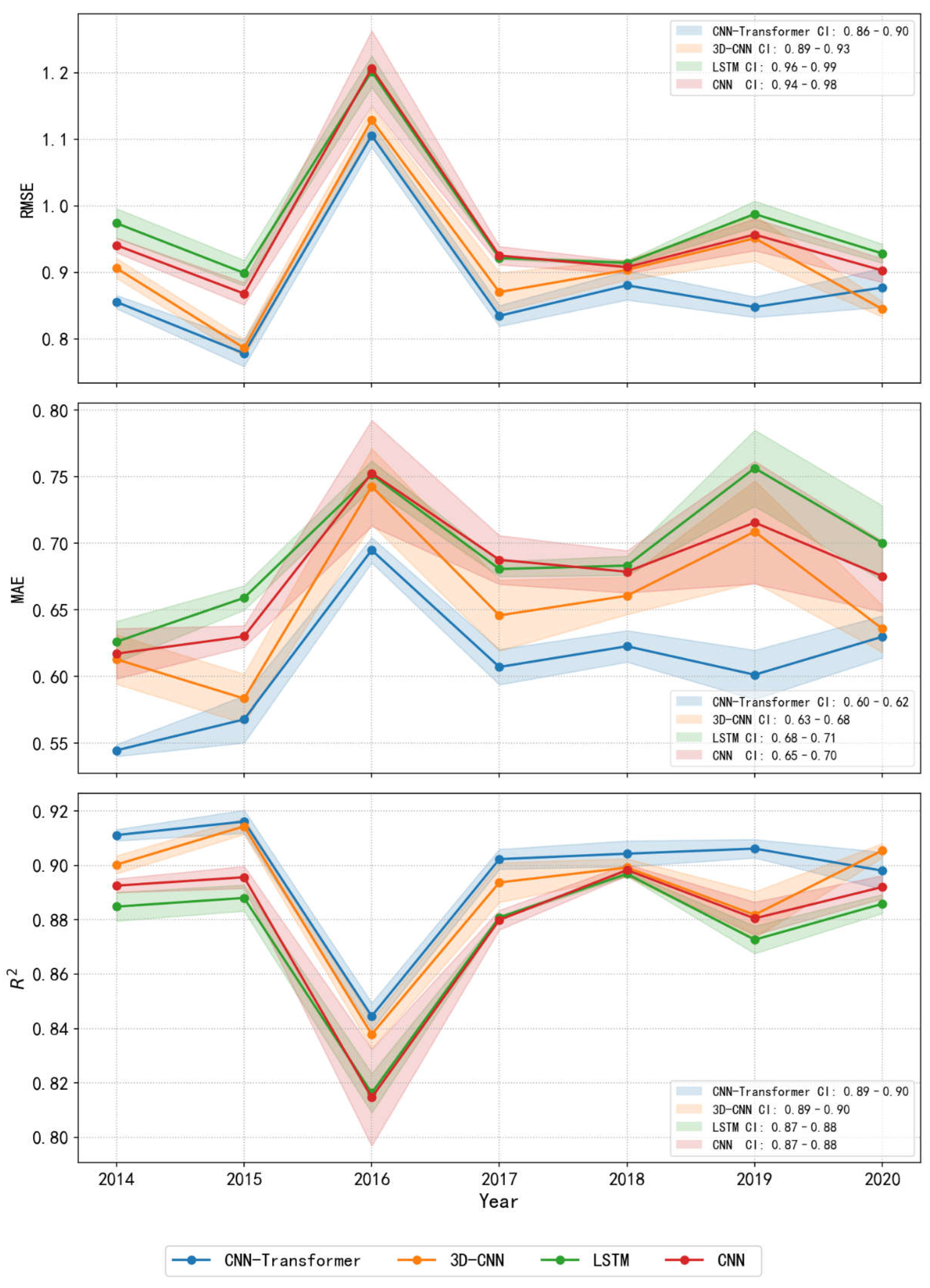
4.1. Comparison of Different Models and Variable Combinations
4.2. Comparison of Median Wind Speeds
4.3. Comparison of Wind Speed Time Series
4.4. Seasonal Comparison of Wind Speed
5. Comparison of Wind Energy Assessment
5.1. Wind Energy Assessment Indicators
5.1.1. Wind Power Density (WPD)
5.1.2. Effective Wind Speed Occurrence (EWSO)
5.1.3. Available Level Occurrence (ALO)
5.2. Multi-Year Average Distribution of Wind Energy
6. Conclusions and Prospects
Supplementary Materials
Author Contributions
Funding
Data Availability Statement
Acknowledgments
Conflicts of Interest
References
- Dean, N. Collaborating on Clean Energy Action. Nat. Energy 2022, 7, 785–787. [Google Scholar] [CrossRef]
- Reichstein, M.; Camps-Valls, G.; Stevens, B.; Jung, M.; Denzler, J.; Carvalhais, N.; Prabhat, F. Deep learning and process understanding for data-driven Earth system science. Nature 2019, 566, 195–204. [Google Scholar] [CrossRef] [PubMed]
- Rong, P.; Su, H. Assessment of CCMP in Capturing High Winds with Respect to Individual Satellite Datasets. Remote Sens. 2024, 16, 4215. [Google Scholar] [CrossRef]
- Xiang, K.; Zhou, W.; Bao, Q. Sea Surface Wind Speed Estimation from the Combination of Satellite Scatterometer and Radiometer Parameters. J. Geophys. Res. Mach. Learn. Comput. 2024, 1, e2024JH000165. [Google Scholar] [CrossRef]
- Wang, X.; Lee, T.; Mears, C. Evaluation of Blended Wind Products and Their Implications for Offshore Wind Power Estimation. Remote Sens. 2023, 15, 2620. [Google Scholar] [CrossRef]
- Hersbach, H.; Bell, B.; Berrisford, P.; Biavati, G.; Horányi, A.; Muñoz Sabater, J.; Nicolas, J.; Peubey, C.; Radu, R.; Rozum, I.; et al. ERA5 hourly data on single levels from 1940 to present. Copernic. Clim. Change Serv. (C3S) Clim. Data Store (CDS) 2023, 10. [Google Scholar] [CrossRef]
- Kerns, B.W.; Chen, S.S. Evaluation of Satellite Surface Winds in Relation to Weather Regimes Over the Indian Ocean Using DYNAMO Observations. J. Geophys. Res. Atmos. 2018, 123, 8561–8580. [Google Scholar] [CrossRef]
- Gruber, K.; Klöckl, C.; Regner, P.; Baumgartner, J.; Schmidt, J. Assessing the Global Wind Atlas and local measurements for bias correction of wind power generation simulated from MERRA-2 in Brazil. Energy 2019, 189, 116212. [Google Scholar] [CrossRef]
- Gruber, K.; Regner, P.; Wehrle, S.; Zeyringer, M.; Schmidt, J. Towards global validation of wind power simulations: A multi-country assessment of wind power simulation from MERRA-2 and ERA-5 reanalyses bias-corrected with the global wind atlas. Energy 2022, 238, 121520. [Google Scholar] [CrossRef]
- Houndekindo, F.; Ouarda, T.B.M.J. Prediction of hourly wind speed time series at unsampled locations using machine learning. Energy 2024, 299, 131518. [Google Scholar] [CrossRef]
- Houndekindo, F.; Ouarda, T.B.M.J. LSTM and Transformer-based framework for bias correction of ERA5 hourly wind speeds. Energy 2025, 328, 136498. [Google Scholar] [CrossRef]
- Zhang, W.; Wu, Y.; Fan, K.; Song, X.; Pang, R.; Guoan, B. A Multi-Scale Fusion Deep Learning Approach for Wind Field Retrieval Based on Geostationary Satellite Imagery. Remote Sens. 2025, 17, 610. [Google Scholar] [CrossRef]
- He, J.; Hu, Z.; Wang, S.; Mujeeb, A.; Yang, P. Windformer: A novel 4D high-resolution system for multi-step wind speed vector forecasting based on temporal shifted window multi-head self-attention. Energy 2024, 310, 133206. [Google Scholar] [CrossRef]
- Liu, Z.; Yang, Q.; Shao, J.; Wang, G.; Liu, H.; Tang, X.; Xue, Y.; Bai, L. Improving daily precipitation estimation in the data scarce area by merging rain gauge and TRMM data with a transfer learning framework. J. Hydrol. 2022, 613, 128455. [Google Scholar] [CrossRef]
- Yang, J.; Yang, Q.; Hu, F.; Shao, J.; Wang, G. A climate-adaptive transfer learning framework for improving soil moisture estimation in the Qinghai-Tibet Plateau. J. Hydrol. 2024, 630, 130717. [Google Scholar] [CrossRef]
- Lentz, S.; Brune, S.; Kadow, C.; Baehr, J. Improving ocean reanalyses of observationally sparse regions with transfer learning. Sci. Rep. 2025, 15, 2640. [Google Scholar] [CrossRef]
- Guo, C.; Ai, W.; Hu, S.; Du, X.; Chen, N. Sea Surface Wind Direction Retrieval Based on Convolution Neural Network and Wavelet Analysis. IEEE J. Sel. Top. Appl. Earth Obs. Remote Sens. 2022, 15, 3868–3876. [Google Scholar] [CrossRef]
- Vaswani, A.; Shazeer, N.; Parmar, N.; Uszkoreit, J.; Jones, L.; Gomez, A.N.; Kaiser, Ł.; Polosukhin, I. Attention Is All You Need. Adv. Neural Inf. Process. Syst. 2017, 30, 5998–6008. [Google Scholar] [CrossRef]
- Shankar, D.; Vinayachandran, P.N.; Unnikrishnan, A.S. The monsoon currents in the north Indian Ocean. Prog. Oceanogr. 2002, 52, 63–120. [Google Scholar] [CrossRef]
- Du, Y.; Xie, S.-P.; Huang, G.; Hu, K. Role of Air–Sea Interaction in the Long Persistence of El Niño–Induced North Indian Ocean Warming. J. Clim. 2009, 22, 2023–2038. [Google Scholar] [CrossRef]
- Patel, R.P.; Nagababu, G.; Kachhwaha, S.S.; Kumar, S.V.A. Combined wind and wave resource assessment and energy extraction along the Indian coast. Renew. Energy 2022, 195, 931–945. [Google Scholar] [CrossRef]
- Center, N.N.D.B. Meteorological and Oceanographic Data Collected from the National Data Buoy Center Coastal-Marine Automated Network (C-MAN) and Moored (Weather) Buoys. NOAA National Centers for Environmental Information. 1971. Available online: https://www.ncei.noaa.gov/archive/accession/NDBC-CMANWx (accessed on 26 December 2025).
- Zhang, Y.; Xu, N.; Zhai, X.; Zhao, K.; Dou, F.; Liu, X.; Chen, L.; Zhang, P. A Lightweight Deep Neural Network for Sea Surface Wind Speed Retrievals From the FY-3D/MWRI. IEEE Trans. Geosci. Remote Sens. 2025, 63, 1–15. [Google Scholar] [CrossRef]
- Liu, Y.; Song, X.; Xu, C.; Ning, C.; Duan, Y.; Tang, S.; Lin, M.; Jiang, X. Examining the quality of CFOSAT-based surface winds over global oceans with respect to 111 buoys2021. Authorea Prepr 2022. [Google Scholar] [CrossRef]
- Bu, J.; Yu, K.; Zuo, X.; Ni, J.; Li, Y.; Huang, W. GloWS-Net: A Deep Learning Framework for Retrieving Global Sea Surface Wind Speed Using Spaceborne GNSS-R Data. Remote Sens. 2023, 15, 590. [Google Scholar] [CrossRef]
- Rss. RSS CCMP Monthly 10 Meter Surface Winds Level 4, Version 3.1. 2024. Available online: https://podaac.jpl.nasa.gov/dataset/CCMP_WINDS_10MMONTHLY_L4_V3.1 (accessed on 26 December 2025).
- Yosinski, J.; Clune, J.; Bengio, Y.; Lipson, H. How transferable are features in deep neural networks? arXiv 2014, arXiv:1411.1792. [Google Scholar] [CrossRef]
- Zheng, C.-W.; Xiao, Z.-N.; Peng, Y.-H.; Li, C.-Y.; Du, Z.-B. Rezoning global offshore wind energy resources. Renew. Energy 2018, 129, 1–11. [Google Scholar] [CrossRef]
- NOAA-S/T-76-1562; U.S. Standard Atmosphere. Government Printing Office: Washington, DC, USA, 1976. Available online: https://ntrs.nasa.gov/citations/19770009539 (accessed on 26 December 2025).
- Emeis, S. Wind Energy Meteorolog, 2nd ed.; Springer: Cham, Switzerland, 2018; pp. 1–328. [Google Scholar] [CrossRef]










| Dataset | Variable (unit) | Time Period | Temporal Resolution | Spatial Resolution |
|---|---|---|---|---|
| NOAA | Wind speed | 1970– | / | Point |
| TAO | wind speed | 1985– | / | |
| RAMA | wind speed | 2004– | / | |
| ERA5 | 10 m wind speed | 1940– | hourly | 0.25° × 0.25° |
| 2 m temperature | ||||
| Sea surface temperature | ||||
| Boundary layer height | ||||
| CCMP | 10 m wind speed | 1993– | 6 h |
| Region | The Number of Stations | The Number of Trainable Sites | Years | Data Category | Purpose |
|---|---|---|---|---|---|
| NDBC | 72 | 72 | 2015 | Source Domain | pre-training |
| TAO | 71 | 190 | 2014–2020 | Source Domain | pre-training |
| RAMA | 22 | 71 | 2014–2020 | Target Domain | fine-tuning |
| Model | Architecture Description | Parameter |
|---|---|---|
| LSTM | 2-layer LSTM (input_size = 125, hidden_size = 56); FC (56 → 1) | 66,585 |
| CNN | 2 × Conv2d (3 × 3, padding = 1; channels 5 → 16 → 32) + BN + ReLU; 2 × FC (800 → 78 → 1) + ReLU | 68,029 |
| 3D-CNN | 3 × Conv3D (3 × 3 × 3, padding = 1, channels 5 → 14 → 28 → 56) + BN + ReLU; AdaptiveAvgPool3D; 2 × FC (48 → 128 → 1) + ReLU | 69,025 |
| CNN–Transformer | 5 × BranchCNN (3 × Conv2d (16@3 × 3) + BN + ReLU + Flatten → 20-dim); Positional Encoding; 3-layer Transformer Encoder (nhead = 4, d_model = 20); FC (20 → 1) | 68,061 |
| Model | Input Data | Test Period | |||||||
|---|---|---|---|---|---|---|---|---|---|
| ERA5ws | CCMPws | ERA5sp | ERA5t2m | ERA5blh | RMSE | MAE | PCC | R2 | |
| LSTM | * | 0.933 | 0.653 | 0.942 | 0.885 | ||||
| * | 0.971 | 0.688 | 0.938 | 0.876 | |||||
| CNN | * | 0.924 | 0.647 | 0.943 | 0.888 | ||||
| * | 0.948 | 0.670 | 0.940 | 0.882 | |||||
| 3D-CNN | * | * | * | * | * | 0.911 | 0.656 | 0.946 | 0.891 |
| CNN–Transformer | * | * | 0.905 | 0.623 | 0.946 | 0.892 | |||
| * | * | * | 0.891 | 0.612 | 0.947 | 0.896 | |||
| * | * | * | 0.908 | 0.627 | 0.945 | 0.891 | |||
| * | * | * | 0.894 | 0.617 | 0.947 | 0.894 | |||
| * | * | * | 0.903 | 0.633 | 0.946 | 0.893 | |||
| * | * | * | 0.903 | 0.630 | 0.946 | 0.893 | |||
| * | * | * | 0.910 | 0.637 | 0.945 | 0.891 | |||
| * | * | * | * | * | 0.864 | 0.625 | 0.951 | 0.901 | |
Disclaimer/Publisher’s Note: The statements, opinions and data contained in all publications are solely those of the individual author(s) and contributor(s) and not of MDPI and/or the editor(s). MDPI and/or the editor(s) disclaim responsibility for any injury to people or property resulting from any ideas, methods, instructions or products referred to in the content. |
© 2026 by the authors. Licensee MDPI, Basel, Switzerland. This article is an open access article distributed under the terms and conditions of the Creative Commons Attribution (CC BY) license.
Share and Cite
Xu, J.; Luo, Y.; Wu, G.; Wang, W.; Zhang, Z.; Kanapathipillai, A. Multi-Source Data-Driven CNN–Transformer Hybrid Modeling for Wind Energy Database Reconstruction in the Tropical Indian Ocean. Remote Sens. 2026, 18, 226. https://doi.org/10.3390/rs18020226
Xu J, Luo Y, Wu G, Wang W, Zhang Z, Kanapathipillai A. Multi-Source Data-Driven CNN–Transformer Hybrid Modeling for Wind Energy Database Reconstruction in the Tropical Indian Ocean. Remote Sensing. 2026; 18(2):226. https://doi.org/10.3390/rs18020226
Chicago/Turabian StyleXu, Jintao, Yao Luo, Guanglin Wu, Weiqiang Wang, Zhenqiu Zhang, and Arulananthan Kanapathipillai. 2026. "Multi-Source Data-Driven CNN–Transformer Hybrid Modeling for Wind Energy Database Reconstruction in the Tropical Indian Ocean" Remote Sensing 18, no. 2: 226. https://doi.org/10.3390/rs18020226
APA StyleXu, J., Luo, Y., Wu, G., Wang, W., Zhang, Z., & Kanapathipillai, A. (2026). Multi-Source Data-Driven CNN–Transformer Hybrid Modeling for Wind Energy Database Reconstruction in the Tropical Indian Ocean. Remote Sensing, 18(2), 226. https://doi.org/10.3390/rs18020226

