Sign in to use this feature.

Years

Between: -

Subjects

remove_circle_outline
remove_circle_outline
remove_circle_outline
remove_circle_outline
remove_circle_outline
remove_circle_outline
remove_circle_outline
remove_circle_outline
remove_circle_outline

Journals

Article Types

Countries / Regions

Search Results (28)

Search Parameters:
Keywords = o-phthalaldehyde

Order results
Result details
Results per page
Select all
Export citation of selected articles as:
21 pages, 4562 KB  
Article
An In Vitro Functional Characterization of the Cholesterol-Transforming Blautia hominis Strain HA2291 Isolated from the Human Gut
by Warren Chanda, He Jiang and Shuang-Jiang Liu
Nutrients 2026, 18(6), 882; https://doi.org/10.3390/nu18060882 - 10 Mar 2026
Viewed by 553
Abstract
Background/Objectives: Cholesterol is an essential lipid required for membrane structure and normal physiological functions. However, dysregulation of cholesterol homeostasis, manifesting as hypercholesterolemia, can precipitate a range of metabolic and cardiovascular diseases. Blautia species are important gut commensals, but their role in cholesterol [...] Read more.
Background/Objectives: Cholesterol is an essential lipid required for membrane structure and normal physiological functions. However, dysregulation of cholesterol homeostasis, manifesting as hypercholesterolemia, can precipitate a range of metabolic and cardiovascular diseases. Blautia species are important gut commensals, but their role in cholesterol metabolism remains poorly defined. Methods: A total of 63 Blautia strains isolated from human fecal samples were screened for cholesterol conversion using the o-phthalaldehyde colorimetric assay in cholesterol-containing media with or without oxgall. Cholesterol removal by live and heat-inactivated cells was compared. Metabolomic, transcriptomic, and proteomic analyses were employed to investigate molecular mechanisms and involved genes. Results: Nine strains significantly lowered cholesterol levels (live cells: 31–78%; heat-inactivated cells: 8–64%), with the B. hominis strain HA2291, the Blautia sp. strain HA3515, and the B. coccoides strain HA4419 showing the strongest activity. Oxgall increased cholesterol removal by live cells to 74–83%, indicating bile-tolerant metabolism activity. Metabolomic profiling revealed that B. hominis HA2291 transformed cholesterol into cholest-4-en-3-one and epicholestanol. An SCP2-like protein, RS03310, was identified as a candidate cholesterol-interacting factor; its recombinant form catalyzed measurable NAD+-dependent cholesterol oxidation in vitro. Conclusions: Blautia hominis HA2291 may employ multiple in vitro strategies for cholesterol-lowering, including cell-surface adsorption (heat-inactivated cells), bile-enhanced removal (oxgall effect), and enzymatic transformation, with the gene RS03310 implicated as the main contributor. These findings provide in vitro mechanistic insights into Blautia-mediated cholesterol metabolism, highlight RS03310 as a candidate gene associated with cholesterol biotransformation, and advance our understanding of the potential role of Blautia in host cholesterol homeostasis. Full article
(This article belongs to the Section Prebiotics, Probiotics and Postbiotics)
Show Figures

Figure 1

9 pages, 591 KB  
Article
An Environmentally Benign Solvent for the Cationic Polymerization of Low Ceiling Temperature Polyaldehydes
by Jose C. Lopez Ninantay, Anthony C. Engler, Jared M. Schwartz and Paul A. Kohl
Polymers 2025, 17(23), 3210; https://doi.org/10.3390/polym17233210 - 2 Dec 2025
Viewed by 612
Abstract
The synthesis of phthalaldehyde-based polymers has exclusively been carried out in dichloromethane, which causes environmental problems due to its halogen content and ozone-depleting attributes. In this study, an alternative solvent for the polymerization of o-phthalaldehyde-based polyaldehydes is disclosed. Ethyl acetate, a solvent [...] Read more.
The synthesis of phthalaldehyde-based polymers has exclusively been carried out in dichloromethane, which causes environmental problems due to its halogen content and ozone-depleting attributes. In this study, an alternative solvent for the polymerization of o-phthalaldehyde-based polyaldehydes is disclosed. Ethyl acetate, a solvent that is widely used in consumer products, dissolves a sufficient amount of reactants and polymer product at the reaction conditions, −86 °C, to provide a comparable yield to synthesis in dichloromethane. A significant learning from this study is that the reaction solvent does not have to fully dissolve all the reactants and products to produce stable polymer, compared to dichloromethane, which fully dissolves reactants and products. The polymer product precipitated from the ethyl acetate solution as the polymer formed. Although the reactants and products were not fully soluble in ethyl acetate, they retained sufficient mobility to allow the catalyst to initiate polymer chains and achieve molecular weights as high as 83.4 kg/mol. The synthesis of cyclic copolymers from o-phthalaldehyde and aliphatic aldehydes is also possible in ethyl acetate if the catalyst is added at a temperature below the ceiling temperature of the monomers and above the point where they crystallize from solution. Full article
(This article belongs to the Section Polymer Applications)
Show Figures

Figure 1

16 pages, 2293 KB  
Article
Functionalized Polyethyleneimine Adsorbent for Efficient and Selective Uranium Extraction from Aqueous Solution
by Huijun Yan, Long Huo, Hong Gao, Xuanyi Li and Jianwei Bai
Sustainability 2025, 17(13), 5953; https://doi.org/10.3390/su17135953 - 28 Jun 2025
Cited by 1 | Viewed by 1115
Abstract
The sustainable treatment of uranium-containing wastewater is of significant importance for environmental protection. This study reports a novel Polyethyleneimine-4-cyanobenzaldehyde/p-Phthalaldehyde-Amidoxime (PEI-PAC-AO) adsorbent for the effective extraction of uranium from aqueous solutions. The structural and performance characteristics of the adsorbents were analyzed through FT-IR, TGA, [...] Read more.
The sustainable treatment of uranium-containing wastewater is of significant importance for environmental protection. This study reports a novel Polyethyleneimine-4-cyanobenzaldehyde/p-Phthalaldehyde-Amidoxime (PEI-PAC-AO) adsorbent for the effective extraction of uranium from aqueous solutions. The structural and performance characteristics of the adsorbents were analyzed through FT-IR, TGA, SEM, CA, and ICP-MS. Adsorption mechanisms were investigated using X-ray photoelectron spectroscopy (XPS), revealing that uranium adsorption is due to coordination with N and O atoms in the amidoxime groups. Batch adsorption experiments showed that PEI-PAC-AO exhibited excellent removal efficiency at pH 6. The static adsorption performance better fits the Langmuir model and pseudo-second-order kinetics. Adsorption results indicated that the removal extent of uranium ions remained at 80% after nine consecutive adsorption cycles using 0.5 M nitric acid as the eluent. These findings suggest that PEI-PAC-AO is a sustainable and promising material for the efficient removal of uranium from wastewater, offering a sustainable and environmentally friendly approach that contributes to environmentally responsible wastewater treatment strategies. Full article
(This article belongs to the Section Sustainable Water Management)
Show Figures

Figure 1

14 pages, 3237 KB  
Article
Development of Fluorescence-Based Method for Dopamine Determination Using o-Phthaldialdehyde and 3-Mercaptopropyltriethoxysilane
by Valeriia Sliesarenko, Marijana Krstić, Urban Bren and Aleksandra Lobnik
Sensors 2025, 25(6), 1729; https://doi.org/10.3390/s25061729 - 11 Mar 2025
Cited by 3 | Viewed by 2980
Abstract
Nanomaterials and sensors play an important role in modern technologies, including medical diagnostics and biochemical research. This work presents the possibility of using o-Phthaldialdehyde (OPA) in combination with 3-mercaptopropyltriethoxysilane (MPTES) to develop a dopamine-responsive sensor. During the experiment, these materials were used at [...] Read more.
Nanomaterials and sensors play an important role in modern technologies, including medical diagnostics and biochemical research. This work presents the possibility of using o-Phthaldialdehyde (OPA) in combination with 3-mercaptopropyltriethoxysilane (MPTES) to develop a dopamine-responsive sensor. During the experiment, these materials were used at different pH and ratios to determine the optimal parameters for obtaining high fluorescence intensity of the reaction product. The data obtained demonstrate a linear relationship between the fluorescence response (λexem = 340/460 nm) of OPA/MPTES and dopamine concentration in the range of 0.1–3.0 µM at a pH of 8, and the detection limit was 8.7 nM. The obtained results confirm the potential of OPA/MPTES as a sensing component for the detection of dopamine. Full article
(This article belongs to the Section Physical Sensors)
Show Figures

Graphical abstract

12 pages, 1614 KB  
Article
O-Phthalaldehyde Derivatization for the Paper-Based Fluorometric Determination of Glutathione in Nutritional Supplements
by Maria Tarara, Paraskevas D. Tzanavaras and George Z. Tsogas
Molecules 2024, 29(11), 2550; https://doi.org/10.3390/molecules29112550 - 29 May 2024
Cited by 3 | Viewed by 2594
Abstract
Herein, a new, direct paper-based fluorimetric method is described for the quantitative determination of glutathione (GSH) molecules in nutritional supplements. Briefly, the proposed analytical method is based on the fluorescence emission resulting from the direct and selective chemical reaction of GSH molecules with [...] Read more.
Herein, a new, direct paper-based fluorimetric method is described for the quantitative determination of glutathione (GSH) molecules in nutritional supplements. Briefly, the proposed analytical method is based on the fluorescence emission resulting from the direct and selective chemical reaction of GSH molecules with the derivatization reagent that is o-phthalaldehyde (OPA) in acidic conditions at room temperature. The intensity of the emitted fluorescence on the surface of the analytical paper devices after irradiation with a lamp at 365 nm is proportional to the concentration of GSH and is measured using a smartphone as the detector. This methodology, which is suitable for measurements in laboratories with limited resources, does not require specialized instrumentation or trained personnel. The protocol governing the proposed method is simple and easily applicable. Essentially, the chemical analyst should adjust the value of pH on the surface of the paper by adding a minimal amount of buffer solution; then, after adding a few microliters of the derivatization reagent, wait for the surface of the paper to dry and, finally, add the analyte. Subsequently, the irradiation of the sensor and the measurement of the emitted fluorescence can be recorded with a mobile phone. In the present study, several parameters affecting the chemical reaction and the emitted fluorescence were optimized, the effect of interfering compounds that may be present in dietary supplements was examined, and the stability of these paper sensors under different storage conditions was evaluated. Additionally, the chemical stability of these paper devices in various maintenance conditions was studied, with satisfactory results. The detection limit calculated as 3.3 S/N was 20.5 μmol L−1, while the precision of the method was satisfactory, ranging from 3.1% (intra-day) to 7.3% (inter-day). Finally, the method was successfully applied to three different samples of dietary supplements. Full article
(This article belongs to the Special Issue Qualitative and Quantitative Analyses of Food and Drugs)
Show Figures

Graphical abstract

16 pages, 2218 KB  
Article
The Influence of Substrate and Strain on Protein Quality of Pleurotus ostreatus
by Chrysavgi Gardeli, Nektaria Mela, Marianna Dedousi, Aikaterini Kandyliari, Eleftheria Kaparakou, Panagiota Diamantopoulou, Christos Pappas and Athanasios Mallouchos
Appl. Sci. 2024, 14(10), 4040; https://doi.org/10.3390/app14104040 - 9 May 2024
Cited by 12 | Viewed by 3918
Abstract
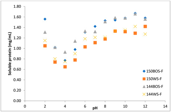
Background: The effect of substrate and strain on the nutritional and functional properties of mushroom flours and protein concentrates (PCs) has not thoroughly been investigated. Methods: The proteins of P. ostreatus flours (strains AMRL144 and 150) were isolated following alkaline extraction (pH 12) [...] Read more.
Background: The effect of substrate and strain on the nutritional and functional properties of mushroom flours and protein concentrates (PCs) has not thoroughly been investigated. Methods: The proteins of P. ostreatus flours (strains AMRL144 and 150) were isolated following alkaline extraction (pH 12) and isoelectric precipitation (pH 4) as it was determined by the solubility curves. The protein quality of the flours and PCs were evaluated by determining the protein solubility index (PSI) and their functional properties, such as water (WAC) and oil absorption capacity (OAC), foam capacity (FC), foam stability (FS) and emulsion stability (ES). The amino acid (AA) composition of the flours was determined by reversed-phase liquid chromatography after protein hydrolysis and o-phthalaldehyde derivatization. Results: The PSIs of the flours and PCs of P. ostreatus were comparable to those of soy protein flours and protein concentrates. The highest AA concentration was found for both strains when cultivated on the barley and oat straw (BOS) substrate, showing a similar trend as the protein content. A principal component analysis (PCA) indicated an impact of the strain on the functional properties. Conclusions: Both strains can produce high quality proteins especially when cultivated on wheat straw (WS). The FS was positively correlated with the P. ostreatus strain AMRL150 whereas the FC was positively correlated with AMRL144. Full article
(This article belongs to the Section Chemical and Molecular Sciences)
Show Figures

Figure 1

12 pages, 1698 KB  
Article
Smartphone-Based High-Throughput Fluorimetric Assay for Histidine Quantification in Human Urine Using 96-Well Plates
by Dimitrios Baltzis, George Z. Tsogas, Constantinos K. Zacharis and Paraskevas D. Tzanavaras
Molecules 2023, 28(17), 6205; https://doi.org/10.3390/molecules28176205 - 23 Aug 2023
Cited by 2 | Viewed by 2059
Abstract
A high-throughput fluorimetric assay for histidine was developed, using a 96-well plates platform. The analyte reacts selectively with o-phthalaldehyde under mild alkaline conditions to form a stable derivative. Instrumental-free detection was carried out using a smartphone after illumination under UV light (365 [...] Read more.
A high-throughput fluorimetric assay for histidine was developed, using a 96-well plates platform. The analyte reacts selectively with o-phthalaldehyde under mild alkaline conditions to form a stable derivative. Instrumental-free detection was carried out using a smartphone after illumination under UV light (365 nm). The method was proved to be linear up to 100 μM histidine, with an LLOQ (lower limit of quantification) of 10 μM. The assay was only prone to interference from glutathione and histamine that exist in the urine samples at levels that are orders of magnitude lower compared to histidine. Human urine samples were analyzed following minimum treatment and were found to contain histidine in the range of 280 to 1540 μM. The results were in good agreement with an HPLC corroborative method. Full article
Show Figures

Figure 1

11 pages, 2316 KB  
Article
Fluorophores-Assisted Excitation Emission Matrix Fluorescence Method for the Origin Traceability of Lily
by Huan Fang, Hailong Wu, Tong Wang, Yao Chen and Ruqin Yu
Chemosensors 2023, 11(8), 426; https://doi.org/10.3390/chemosensors11080426 - 1 Aug 2023
Cited by 3 | Viewed by 2264
Abstract
In this work, a fluorophores-assisted excitation/emission matrix (EEM) fluorescence method was proposed to trace the origin of lily in the Chinese market. There are few active components in lilies that have fluorescent signals, and too few characteristic variables may lead to unsatisfactory accuracy [...] Read more.
In this work, a fluorophores-assisted excitation/emission matrix (EEM) fluorescence method was proposed to trace the origin of lily in the Chinese market. There are few active components in lilies that have fluorescent signals, and too few characteristic variables may lead to unsatisfactory accuracy in the subsequent classification. Therefore, three fluorophores, 2-Aminoethyl diphenylborinate (DPBA), o-Phthalaldehyde (OPA) and Rhodamine B (RB), were used to enrich the information of the fluorescent fingerprint of lily, which can improve the classification accuracy. The lily samples were characterized by using EEM fluorescence coupled with the alternating trilinear decomposition (ATLD) algorithm, which was able to extract information of various fluorophores in lily samples. Two chemical pattern recognition methods, principal component analysis-linear discriminant analysis (PCA-LDA) and partial least squares-discrimination analysis (PLS-DA), were used to model and trace the origin of different lilies. When the fluorophores were added, the accuracy of the test set and prediction set obtained by the classification model increased from 71.4% to 92.9% and 66.7% to 100%, respectively. The proposed method combined fluorophores-assisted EEM fluorescence with multi-way chemometric methods to extract comprehensive information on the samples, which provided a potential method for the origin traceability of traditional Chinese medicine. Full article
Show Figures

Figure 1

10 pages, 3421 KB  
Communication
Preparation of Multicolor Fluorescent Carbon Dots Based on Catechol and o-Phthalaldehyde
by Ming Chen, Fulin Yang, Defa Hou, Yunwu Zheng, Can Liu, Xu Lin, Yan Li and Hao Sun
Molecules 2023, 28(14), 5303; https://doi.org/10.3390/molecules28145303 - 10 Jul 2023
Cited by 6 | Viewed by 2794
Abstract
As the foremost category of carbon materials, carbon dots (CDs) have been extensively applied in many domains because of their special fluorescence features and outstanding biocompatibility. However, in early studies of fluorescent CDs, as the fluorescence wavelength of most CDs was restricted to [...] Read more.
As the foremost category of carbon materials, carbon dots (CDs) have been extensively applied in many domains because of their special fluorescence features and outstanding biocompatibility. However, in early studies of fluorescent CDs, as the fluorescence wavelength of most CDs was restricted to the blue or green region and was excitation dependent, the application of CDs was limited. In this study, three representative CDs, fluorescing yellow, green, and blue, were synthesized under alkaline, neutral, and acidic circumstances, respectively, while using a hydrothermal method in which catechol and phthalaldehyde acted as carbon sources and methanol functioned as the reaction solvent. The carbon nuclei of the three fluorescent CDs all had comparable graphite structures. The diversity of photoluminescence (PL) emission from these three CDs was attributed mainly to the different sizes of the sp2 conjugated structures among them. Mixing synthesized CDs with epoxy resin, three colors (yellow, green, and blue) of LED using CIE coordinates (0.40, 0.44), (0.33, 0.46), and (0.21, 0.22), respectively, were successfully prepared. Full article
(This article belongs to the Special Issue Carbon Dots: From Lab Syntheses to Unique Applications)
Show Figures

Figure 1

17 pages, 3292 KB  
Article
An Electrochemical o-Phthalaldehyde Sensor Using a Modified Disposable Screen-Printed Electrode with Polyacrylate Hydrogel for Concentration Verification of Clinical Disinfectant
by Richie L. C. Chen, Bo-Chuan Hsieh, Jia-Sin Lin and Tzong-Jih Cheng
Biosensors 2023, 13(4), 485; https://doi.org/10.3390/bios13040485 - 17 Apr 2023
Cited by 4 | Viewed by 3116
Abstract
The study proposes an o-phthalaldehyde (OPA) sensor for rapid and reliable detection of OPA in healthcare disinfection practices, based on a hydrogel-modified screen-printed carbon electrode strip. The hydrogel film, which contains glycine and N-acetylcysteine, reacts with OPA to produce a reductive [...] Read more.
The study proposes an o-phthalaldehyde (OPA) sensor for rapid and reliable detection of OPA in healthcare disinfection practices, based on a hydrogel-modified screen-printed carbon electrode strip. The hydrogel film, which contains glycine and N-acetylcysteine, reacts with OPA to produce a reductive isoindole derivative. The derivative is then oxidized for OPA determination using cyclic voltammetry. The proposed sensor achieves an optimal detection time of 20–30 s and requires only a small analyte volume of 5 µL. It exhibits good precision (10%) and sensitivity (3.3 μA/cm2 mM) in a phosphate-buffered solution (pH 7.6), with excellent linearity (R2 > 0.97) and precision (<3%) in the detection range (0.2–0.6%) required for clinical OPA solutions. Moreover, the sensor demonstrates good concentration verification of Cidex-OPA disinfection in healthcare institutes, with high sensitivity (18.28 μA/cm2 mM) and precision around the minimum effective concentration (0.3%). Overall, the proposed sensor offers a promising and practical solution for accurate and reliable OPA detection in clinical disinfection practices. Full article
(This article belongs to the Special Issue Recent Advances in the Screen-Printed Electrochemical (Bio)sensors)
Show Figures

Figure 1

23 pages, 3960 KB  
Article
A Diet Containing Rutin Ameliorates Brain Intracellular Redox Homeostasis in a Mouse Model of Alzheimer’s Disease
by Paloma Bermejo-Bescós, Karim L. Jiménez-Aliaga, Juana Benedí and Sagrario Martín-Aragón
Int. J. Mol. Sci. 2023, 24(5), 4863; https://doi.org/10.3390/ijms24054863 - 2 Mar 2023
Cited by 25 | Viewed by 4811
Abstract
Quercetin has been studied extensively for its anti-Alzheimer’s disease (AD) and anti-aging effects. Our previous studies have found that quercetin and in its glycoside form, rutin, can modulate the proteasome function in neuroblastoma cells. We aimed to explore the effects of quercetin and [...] Read more.
Quercetin has been studied extensively for its anti-Alzheimer’s disease (AD) and anti-aging effects. Our previous studies have found that quercetin and in its glycoside form, rutin, can modulate the proteasome function in neuroblastoma cells. We aimed to explore the effects of quercetin and rutin on intracellular redox homeostasis of the brain (reduced glutathione/oxidized glutathione, GSH/GSSG), its correlation with β-site APP cleaving enzyme 1 (BACE1) activity, and amyloid precursor protein (APP) expression in transgenic TgAPP mice (bearing human Swedish mutation APP transgene, APPswe). On the basis that BACE1 protein and APP processing are regulated by the ubiquitin–proteasome pathway and that supplementation with GSH protects neurons from proteasome inhibition, we investigated whether a diet containing quercetin or rutin (30 mg/kg/day, 4 weeks) diminishes several early signs of AD. Genotyping analyses of animals were carried out by PCR. In order to determine intracellular redox homeostasis, spectrofluorometric methods were adopted to quantify GSH and GSSG levels using o-phthalaldehyde and the GSH/GSSG ratio was ascertained. Levels of TBARS were determined as a marker of lipid peroxidation. Enzyme activities of SOD, CAT, GR, and GPx were determined in the cortex and hippocampus. ΒACE1 activity was measured by a secretase-specific substrate conjugated to two reporter molecules (EDANS and DABCYL). Gene expression of the main antioxidant enzymes: APP, BACE1, a Disintegrin and metalloproteinase domain-containing protein 10 (ADAM10), caspase-3, caspase-6, and inflammatory cytokines were determined by RT-PCR. First, overexpression of APPswe in TgAPP mice decreased GSH/GSSG ratio, increased malonaldehyde (MDA) levels, and, overall, decreased the main antioxidant enzyme activities in comparison to wild-type (WT) mice. Treatment of TgAPP mice with quercetin or rutin increased GSH/GSSG, diminished MDA levels, and favored the enzyme antioxidant capacity, particularly with rutin. Secondly, both APP expression and BACE1 activity were diminished with quercetin or rutin in TgAPP mice. Regarding ADAM10, it tended to increase in TgAPP mice with rutin treatment. As for caspase-3 expression, TgAPP displayed an increase which was the opposite with rutin. Finally, the increase in expression of the inflammatory markers IL-1β and IFN-γ in TgAPP mice was lowered by both quercetin and rutin. Collectively, these findings suggest that, of the two flavonoids, rutin may be included in a day-to-day diet as a form of adjuvant therapy in AD. Full article
(This article belongs to the Special Issue The Influence of Natural Products in Neurodegenerative Disorders)
Show Figures

Figure 1

11 pages, 2000 KB  
Article
Selective Spectrofluorimetric Approach for the Assessment of Two Antipsychotic Drugs through Derivatization with O-Phthalaldehyde
by Hassan M. A. Hassan, Ibrahim H. Alsohaimi, Mohamed Y. El-Sayed, Ismail I. Ali, Akram M. El-Didamony, Hamud A. Altaleb and Mutairah S. Alshammari
Pharmaceuticals 2022, 15(10), 1174; https://doi.org/10.3390/ph15101174 - 22 Sep 2022
Cited by 8 | Viewed by 3079
Abstract
A facile and sensible spectrofluorimetric approach for the measurement of two antipsychotic medications, aripiperazole (ARP) and clozapine (CLZ), was devised and validated. The approach involves reacting the examined medicines with o-phthalaldehyde in the presence of β-mercaptoethanol in a borate buffer of pH [...] Read more.
A facile and sensible spectrofluorimetric approach for the measurement of two antipsychotic medications, aripiperazole (ARP) and clozapine (CLZ), was devised and validated. The approach involves reacting the examined medicines with o-phthalaldehyde in the presence of β-mercaptoethanol in a borate buffer of pH 9.0 and pH 10 for ARP and CLZ, respectively, to produce a robustly fluorescent compound that is detected at 450 nm following excitation at 340 nm. The experimental variables influencing the performance and product stability were thoroughly investigated and optimized. Under optimal conditions, the intensity of the fluorescence was linear during a concentration range of 0.1–0.5 μg/mL, with a limit of detection (0.0391 and 0.0400 μg/mL) and limit of quantitation (0.1035 and 0.1332 μg/mL), respectively, for ARP and CLZ. The suggested approach was successful in analyzing commercialized tablets. A statistical investigation of the results produced by the suggested and standard methods showed no remarkable variation in the precision and accuracy of the two approaches. A chemical mechanism using o-phthalaldehyde was proposed. Full article
(This article belongs to the Section Pharmaceutical Technology)
Show Figures

Figure 1

15 pages, 3709 KB  
Article
Amine-Regulated pri-SMTP Oxidation in SMTP Biosynthesis in Stachybotrys: Possible Implication in Nitrogen Acquisition
by Ryota Iwama, Yu Sasano, Taichi Hiramatsu, Shinya Otake, Eriko Suzuki and Keiji Hasumi
J. Fungi 2022, 8(9), 975; https://doi.org/10.3390/jof8090975 - 18 Sep 2022
Cited by 7 | Viewed by 2944
Abstract
SMTP (the name SMTP is derived from Stachybotrys microspora triprenyl phenol) is a family of triprenyl phenol secondary metabolites from a black mold, Stachybotrys microspora. Some SMTP congeners exhibit anti-inflammatory and profibrinolytic activities that, in combination, contribute to the treatment of ischemic [...] Read more.
SMTP (the name SMTP is derived from Stachybotrys microspora triprenyl phenol) is a family of triprenyl phenol secondary metabolites from a black mold, Stachybotrys microspora. Some SMTP congeners exhibit anti-inflammatory and profibrinolytic activities that, in combination, contribute to the treatment of ischemic stroke. The final step in the SMTP biosynthesis is a non-enzymatic amine conjugation with an o-phthalaldehyde moiety of the precursor pre-SMTP, which can form adducts with proteins and nucleic acids. Thus, pre-SMTP formation should be a precisely regulated, rate-limiting step in the SMTP biosynthesis. To address the mechanism backing this regulation, we purified a metabolite that rapidly disappeared following amine feeding, identifying a novel compound, pri-SMTP. Furthermore, an enzyme, designated as pri-SMTP oxidase, responsible for pri-SMTP conversion to pre-SMTP, was purified. The formation of pri-SMTP, which is regulated by nitrogen and carbon nutrients, occurred in particular septate mycelia. Although pri-SMTP oxidase was expressed constitutively, the consumption of pri-SMTP was accelerated only when a primary amine was fed. Thus, SMTP biosynthesis is regulated by at least three mechanisms: (i) pri-SMTP formation affected by nutrients, (ii) the compartmentalization of pri-SMTP formation/storage, and (iii) amine-regulated pri-SMTP oxidation. Amine-regulated SMTP formation (i.e., amine-capturing with pre-SMTP) may play a role in the nitrogen acquisition/assimilation strategy in S. microspora, since pri-SMTP synthesis occurs on non-preferred nitrogen. Full article
(This article belongs to the Section Fungal Cell Biology, Metabolism and Physiology)
Show Figures

Figure 1

9 pages, 5000 KB  
Article
Preparing Colour-Tunable Tannic Acid-Based Carbon Dots by Changing the pH Value of the Reaction System
by Yan Li, Can Liu, Menglin Chen, Yunwu Zheng, Hao Tian, Rui Shi, Xiahong He and Xu Lin
Nanomaterials 2022, 12(17), 3062; https://doi.org/10.3390/nano12173062 - 3 Sep 2022
Cited by 8 | Viewed by 3347
Abstract
Biomass carbon dots (CDs) have the characteristics of being green, nontoxic, inexpensive, and simple to prepare, and they can be used in luminescence-related fields. In this study, red, green, and blue luminescent CDs were synthesised by a simple hydrothermal method under alkaline, neutral, [...] Read more.
Biomass carbon dots (CDs) have the characteristics of being green, nontoxic, inexpensive, and simple to prepare, and they can be used in luminescence-related fields. In this study, red, green, and blue luminescent CDs were synthesised by a simple hydrothermal method under alkaline, neutral, and acidic conditions using TA as carbon source and o-phthalaldehyde as blend. The unique optical properties of these CDs are due to the differences in their degrees of conjugation, which can be controlled by the pH value of the reaction system. These three kinds of biomass CDs have good applications in light-emitting diodes (LEDs). By mixing biomass CDs with epoxy resin, warm, and cold white LEDs with Commission Internationale de l’Elcairage (CIE) coordinates (0.35, 0.36) were successfully constructed on extremely stable multicolour CDs. This study shows that these biomass CDs are a promising material for white LED lighting. Full article
(This article belongs to the Special Issue Carbon-Based Quantum Dots)
Show Figures

Figure 1

14 pages, 2914 KB  
Article
HPLC Determination of Colistin in Human Urine Using Alkaline Mobile Phase Combined with Post-Column Derivatization: Validation Using Accuracy Profiles
by Kalliopi Papavasileiou, Apostolia Tsiasioti, Paraskevas D. Tzanavaras and Constantinos K. Zacharis
Molecules 2022, 27(11), 3489; https://doi.org/10.3390/molecules27113489 - 28 May 2022
Cited by 10 | Viewed by 4195
Abstract
In this study, the development, validation, and application of a new liquid chromatography post-column derivatization method for the determination of Colistin in human urine samples is demonstrated. Separation of Colistin was performed using a core–shell C18 analytical column in an alkaline medium [...] Read more.
In this study, the development, validation, and application of a new liquid chromatography post-column derivatization method for the determination of Colistin in human urine samples is demonstrated. Separation of Colistin was performed using a core–shell C18 analytical column in an alkaline medium in order (i) to be compatible with the o-phthalaldehyde-based post-column derivatization reaction and (ii) to obtain better retention of the analyte. The Colistin derivative was detected spectrofluorometrically (λextem = 340/460 nm) after post-column derivatization with o-phthalaldehyde and N-acetyl cysteine. The post-column derivatization parameters were optimized using the Box–Behnken experimental design, and the method was validated using the total error concept. The β-expectation tolerance intervals did not exceed the acceptance criteria of ±15%, meaning that 95% of future results would be included in the defined bias limits. The limit of detection of the method was adequate corresponding to 100 nmol·L−1. The mean analytical bias (expressed as relative error) in the spiking levels was suitable, being in the range of −2.8 to +2.5% for both compounds with the percentage relative standard deviation lower than 3.4% in all cases. The proposed analytical method was satisfactorily applied to the analysis of the drug in human urine samples. Full article
(This article belongs to the Special Issue Derivatization in Analytical Chemistry-II)
Show Figures

Figure 1

Back to TopTop