Sign in to use this feature.

Years

Between: -

Subjects

remove_circle_outline
remove_circle_outline
remove_circle_outline
remove_circle_outline
remove_circle_outline
remove_circle_outline
remove_circle_outline
remove_circle_outline
remove_circle_outline

Journals

Article Types

Countries / Regions

Search Results (15)

Search Parameters:
Keywords = nutrient and heavy metalloids

Order results
Result details
Results per page
Select all
Export citation of selected articles as:
18 pages, 5742 KB  
Article
Soil Geochemical Controls on Heavy Metal(loid) Accumulation in Tuber Crops from Basalt-Derived Soils and Associated Dietary Intake Health Risks on Hainan Island, China
by Liling Tang, Jianzhou Yang, Yongwen Cai, Shuqi Hu, Qiuli Gong, Min Zhang, Yong Li and Lei Su
Toxics 2026, 14(1), 48; https://doi.org/10.3390/toxics14010048 - 31 Dec 2025
Viewed by 411
Abstract
Tuber crops cultivated in basalt-derived soils are influenced by naturally high geochemical backgrounds, which may elevate heavy metal(loid) levels and associated health risks. To clarify the geochemical controls governing metal accumulation, this study analyzed rock, soil, and tuber (sweet potato and yam) samples [...] Read more.
Tuber crops cultivated in basalt-derived soils are influenced by naturally high geochemical backgrounds, which may elevate heavy metal(loid) levels and associated health risks. To clarify the geochemical controls governing metal accumulation, this study analyzed rock, soil, and tuber (sweet potato and yam) samples from the Qiongbei volcanic area of Hainan Island, China. Concentrations of eight heavy metal(loid)s (As, Cd, Cr, Cu, Hg, Ni, Pb, and Zn) and 22 nutrient-related indicators (N, P, K, SOC, S, Se, Fe, Mn, and their available fractions) were determined. Soil contamination and potential human health risks were evaluated using the pollution index and the health risk model. The results showed that 11.1–55.6% of soil samples exceeded pollution thresholds for Cr, Cu, Ni, and Zn, reflecting typical basaltic high-background characteristics. In contrast, heavy metal(loid) concentrations in tuber crops were relatively low and jointly regulated by parent material composition and soil nutrient status. Non-carcinogenic risks (HI) were below 1, indicating acceptable exposure levels, while carcinogenic risks were mainly associated with Cd, Cr, and Pb, with total carcinogenic risk (TCR) exceeding 1 × 10−4, suggesting potential health concerns. Strong correlations between soil nutrients (N, P, K, SOC, S, Se, Mn, and Fe) and plant uptake of As, Cd, Cu, and Cr indicate that nutrient availability plays a crucial role in controlling heavy metal(loid) bioavailability. The volcanic soils exhibited a “high total content–low bioavailability” pattern. Enhancing soil Se, SOC, available N, and slowly available K (SAK) can effectively reduce Cd and other high-risk metal accumulation in tuber crops. These findings elucidate the key geochemical processes influencing heavy metal transfer in volcanic agroecosystems and provide a scientific basis for safe agricultural utilization and health risk prevention in high-background regions. Full article
Show Figures

Figure 1

14 pages, 6811 KB  
Article
Arbuscular Mycorrhizal Fungi and Their Relationships with the Soil Nutrients and Heavy Metals in Ancient Trees in Blue-Crowned Laughingthrush Habitats
by Hui Li, Pei Wei, Kongzhong Xiao, Wei Liu and Weiwei Zhang
J. Fungi 2025, 11(11), 776; https://doi.org/10.3390/jof11110776 - 28 Oct 2025
Viewed by 880
Abstract
The fragile ancient ‘Shuikoulin’ forests, which provide critical habitats for the critically endangered Blue-crowned Laughingthrush, are increasingly degraded by soil contamination and heavy metal pollution. This study examines the rhizosphere environment of four key ancient tree species in the bird’s core habitat, focusing [...] Read more.
The fragile ancient ‘Shuikoulin’ forests, which provide critical habitats for the critically endangered Blue-crowned Laughingthrush, are increasingly degraded by soil contamination and heavy metal pollution. This study examines the rhizosphere environment of four key ancient tree species in the bird’s core habitat, focusing on soil properties, heavy metal accumulation, and the structure of arbuscular mycorrhizal (AM) fungal communities. The results revealed that Liquidambar formosana showed the highest total nitrogen (TN) and available phosphorus (AP), whereas Quercus chenii had the lowest soil organic matter (SOM). The primary heavy metal contaminant across all tree species was Cd (Igeo > 2), followed by the metalloid As. We detected 41 AM fungal species spanning 7 genera, with Glomus dominating (84.19% relative abundance). OTU richness was highest in Cinnamomum camphora and L. formosana (110 each), followed by Q. chenii (88) and Castanopsis sclerophylla (75). Structural equation modeling indicated that soil nutrients (TN, TP, AP, SOM) suppressed the accumulation of V, Cr, Ni, and Cu, thereby indirectly favoring Glomus and Paraglomus. In contrast, higher pH and total potassium (TK) levels promoted Co and Zn bioavailability and negatively affected Acaulospora and other minor genera. Tree species identity directly modulated these interactions. Our findings demonstrate that ancient tree species shape AM fungal assembly through distinct rhizosphere geochemical niches, providing a mechanistic basis for restoring degraded habitats critical to endangered species conservation. Full article
(This article belongs to the Special Issue Arbuscular Mycorrhiza Under Stress, 2nd Edition)
Show Figures

Figure 1

21 pages, 1893 KB  
Article
Spatial Differentiation of Heavy Metals/Metalloids, Microbial Risk Genes and Soil Microbiota in a Sulfur-Contaminated Landscape
by Lina Li, Jiayin Zhao, Chang Liu, Yiyan Deng, Yunpeng Du, Yu Liu, Yuncheng Wu, Wenwei Wu and Xuejun Pan
Microorganisms 2025, 13(9), 2010; https://doi.org/10.3390/microorganisms13092010 - 28 Aug 2025
Cited by 1 | Viewed by 1164
Abstract
Legacy sulfur smelting has left behind complex contamination landscapes, yet the spatial structuring of microbial risks and adaptation strategies across soil profiles remains insufficiently understood. Microbial risk genes, including those conferring resistance to antibiotic resistance (ARGs), biocide and metal resistance (BRGs/MRGs), and virulence [...] Read more.
Legacy sulfur smelting has left behind complex contamination landscapes, yet the spatial structuring of microbial risks and adaptation strategies across soil profiles remains insufficiently understood. Microbial risk genes, including those conferring resistance to antibiotic resistance (ARGs), biocide and metal resistance (BRGs/MRGs), and virulence (VFGs), are increasingly recognized as co-selected under heavy metal stress, posing both ecological and public health concerns. In this study, we integrated geochemical analyses with metagenomic sequencing and functional annotation to jointly characterize the vertical (0–7 m) and horizontal (~2 km) distribution of heavy metals/metalloids, microbial communities, and functional risk genes at a historic smelting site in Zhenxiong, Yunnan. Heavy metals and metalloids such as arsenic (As), chromium (Cr), copper (Cu), and lead (Pb) showed clear accumulation with depth, while significantly lower concentrations were observed in both upstream and downstream locations, revealing persistent vertical and horizontal pollution gradients. Correspondingly, resistance and virulence genes were co-enriched at contaminated sites, suggesting potential co-selection under prolonged stress. LEfSe analysis revealed distinct ecological patterns: vertically, upper layers were dominated by nutrient-cycling and mildly stress-tolerant taxa, while deeper layers favored metal-resistant, oligotrophic, and potentially pathogenic microorganisms; horizontally, beneficial and diverse microbes characterized low-contamination zones, whereas heavily polluted areas were dominated by resistant and stress-adapted genera. These findings provide new insights into microbial resilience and ecological risk under long-term smelting stress. Full article
(This article belongs to the Special Issue Soil Environment and Microorganisms)
Show Figures

Figure 1

15 pages, 1817 KB  
Article
Soil Amendments, Physicochemical Properties, and Metal Accumulation in Soils and Vegetables of Volcanic and Non-Volcanic Regions in Ecuador
by Lourdes Carrera-Beltrán, Irene Gavilanes-Terán, Julio Idrovo-Novillo, Cristina Ramos, Víctor Hugo Valverde, Verónica Bravo-Basantes, Steven Ramos-Romero, Concepción Paredes, Francisca Hernández, Ángel A. Carbonell-Barrachina and Antonio J. Signes-Pastor
Agronomy 2025, 15(5), 1166; https://doi.org/10.3390/agronomy15051166 - 10 May 2025
Cited by 2 | Viewed by 1611
Abstract
Heavy metal contamination in agricultural soils threatens food security and public health, especially in volcanic regions where ash alters soil properties. This study evaluates the effects of soil amendments on physicochemical properties, nutrient availability, and heavy metal accumulation in ash-affected (Mocha) and non-affected [...] Read more.
Heavy metal contamination in agricultural soils threatens food security and public health, especially in volcanic regions where ash alters soil properties. This study evaluates the effects of soil amendments on physicochemical properties, nutrient availability, and heavy metal accumulation in ash-affected (Mocha) and non-affected (Puyo) soils in Ecuador. A field experiment tested compost, poultry manure, inorganic fertilizer, and a control on onion (Allium fistulosum) and parsley (Petroselinum crispum). Soil analyses assessed the bulk density, texture, pH, electrical conductivity, organic matter, nutrients, metals, and metalloid concentrations of the soils and crops. Mocha soils exhibited volcanic Andisol characteristics, while Puyo soils resembled eastern Ecuadorian soils, both showing high nitrogen but deficiencies in phosphorus, potassium, and calcium. Arsenic (As), lead (Pb), and chromium (Cr) levels in soils varied between regions but not among treatments. In Mocha, As bioavailability decreased with poultry manure and compost, while other metals remained stable except in fertilized soils. In Puyo, organic amendments reduced Hg, Pb, Ni, and Cr but increased them in fertilized soils. All treatments met Ecuadorian limits for As, Cd, Pb, and Ni but exceeded those for Hg and Cr. Organic amendments improved soil quality, reduced metal mobility, and supported sustainable agriculture, with Mocha soils appearing more suitable for cultivation. Full article
(This article belongs to the Section Farming Sustainability)
Show Figures

Figure 1

17 pages, 2487 KB  
Article
Central Roles of ZmNAC128 and ZmNAC130 in Nutrient Uptake and Storage during Maize Grain Filling
by Di Peng, Shuxing Pan, Xin Du, Erwang Chen, Junjun He and Zhiyong Zhang
Genes 2024, 15(6), 663; https://doi.org/10.3390/genes15060663 - 23 May 2024
Cited by 1 | Viewed by 1949
Abstract
Grain filling is critical for determining yield and quality, raising the question of whether central coordinators exist to facilitate the uptake and storage of various substances from maternal to filial tissues. The duplicate NAC transcription factors ZmNAC128 and ZmNAC130 could potentially serve as [...] Read more.
Grain filling is critical for determining yield and quality, raising the question of whether central coordinators exist to facilitate the uptake and storage of various substances from maternal to filial tissues. The duplicate NAC transcription factors ZmNAC128 and ZmNAC130 could potentially serve as central coordinators. By analyzing differentially expressed genes from zmnac128 zmnac130 mutants across different genetic backgrounds and growing years, we identified 243 highly and differentially expressed genes (hdEGs) as the core target genes. These 243 hdEGs were associated with storage metabolism and transporters. ZmNAC128 and ZmNAC130 play vital roles in storage metabolism, and this study revealed two additional starch metabolism-related genes, sugary enhancer1 and hexokinase1, as their direct targets. A key finding of this study was the inclusion of 17 transporter genes within the 243 hdEGs, with significant alterations in the levels of more than 10 elements/substances in mutant kernels. Among them, six out of the nine upregulated transporter genes were linked to the transport of heavy metals and metalloids (HMMs), which was consistent with the enrichment of cadmium, lead, and arsenic observed in mutant kernels. Interestingly, the levels of Mg and Zn, minerals important to biofortification efforts, were reduced in mutant kernels. In addition to their direct involvement in sugar transport, ZmNAC128 and ZmNAC130 also activate the expression of the endosperm-preferential nitrogen and phosphate transporters ZmNPF1.1 and ZmPHO1;2. This coordinated regulation limits the intake of HMMs, enhances biofortification, and facilitates the uptake and storage of essential nutrients. Full article
(This article belongs to the Special Issue Genetic Research on Maize Kernel Development )
Show Figures

Figure 1

26 pages, 796 KB  
Review
Advances in the Involvement of Metals and Metalloids in Plant Defense Response to External Stress
by Lingxiao Zhang, Zhengyan Liu, Yun Song, Junkang Sui and Xuewen Hua
Plants 2024, 13(2), 313; https://doi.org/10.3390/plants13020313 - 20 Jan 2024
Cited by 16 | Viewed by 5857
Abstract
Plants, as sessile organisms, uptake nutrients from the soil. Throughout their whole life cycle, they confront various external biotic and abiotic threats, encompassing harmful element toxicity, pathogen infection, and herbivore attack, posing risks to plant growth and production. Plants have evolved multifaceted mechanisms [...] Read more.
Plants, as sessile organisms, uptake nutrients from the soil. Throughout their whole life cycle, they confront various external biotic and abiotic threats, encompassing harmful element toxicity, pathogen infection, and herbivore attack, posing risks to plant growth and production. Plants have evolved multifaceted mechanisms to cope with exogenous stress. The element defense hypothesis (EDH) theory elucidates that plants employ elements within their tissues to withstand various natural enemies. Notably, essential and non-essential trace metals and metalloids have been identified as active participants in plant defense mechanisms, especially in nanoparticle form. In this review, we compiled and synthetized recent advancements and robust evidence regarding the involvement of trace metals and metalloids in plant element defense against external stresses that include biotic stressors (such as drought, salinity, and heavy metal toxicity) and abiotic environmental stressors (such as pathogen invasion and herbivore attack). We discuss the mechanisms underlying the metals and metalloids involved in plant defense enhancement from physiological, biochemical, and molecular perspectives. By consolidating this information, this review enhances our understanding of how metals and metalloids contribute to plant element defense. Drawing on the current advances in plant elemental defense, we propose an application prospect of metals and metalloids in agricultural products to solve current issues, including soil pollution and production, for the sustainable development of agriculture. Although the studies focused on plant elemental defense have advanced, the precise mechanism under the plant defense response still needs further investigation. Full article
Show Figures

Figure 1

18 pages, 5067 KB  
Article
Salicylic Acid Mitigates Arsenic Stress in Rice (Oryza sativa) via Modulation of Nitrogen–Sulfur Assimilation, Ethylene Biosynthesis, and Defense Systems
by Moksh Mahajan, Faroza Nazir, Badar Jahan, Manzer H. Siddiqui, Noushina Iqbal and M. Iqbal R. Khan
Agriculture 2023, 13(7), 1293; https://doi.org/10.3390/agriculture13071293 - 24 Jun 2023
Cited by 14 | Viewed by 2739
Abstract
During climate change, various unparalleled perils to agricultural systems have been observed worldwide. The detrimental impacts of heavy metal toxicity (HMs) lead to a considerable decrease in crop productivity and yield, thereby putting the agricultural system at risk and exerting a significant impact [...] Read more.
During climate change, various unparalleled perils to agricultural systems have been observed worldwide. The detrimental impacts of heavy metal toxicity (HMs) lead to a considerable decrease in crop productivity and yield, thereby putting the agricultural system at risk and exerting a significant impact on food production. This has sparked significant worry regarding the achievement of the sustainable development goals (SDGs) pertaining to ensuring food and nutritional security for the constantly growing global population. In the current study, we have endeavored to reveal the significance of salicylic acid (SA) under arsenic (As) stress conditions in rice (Oryza sativa) plants. Being a toxic metalloid, As has adverse effects on the efficiency of photosynthesis and the assimilation of nitrogen (N) and sulphur (S) growth, and also causes alterations in defense systems and ethylene biosynthesis. The study revealed that the positive influence of SA in promoting nutrient metabolism, photosynthesis and growth under As stress was the result of its interplay with ethylene biosynthesis and the enhanced capacity of defense systems to reduce oxidative stress-mediated cellular injuries and cell deaths. In conclusion, SA can be considered a crucial physiological criterion for the development of As-tolerant rice plants. Full article
(This article belongs to the Special Issue The Role of Phytohormones in Crop Plant Growth and Development)
Show Figures

Figure 1

21 pages, 8494 KB  
Review
Appraisal of Functions and Role of Selenium in Heavy Metal Stress Adaptation in Plants
by Mohd Asgher, Abdul Rehaman, Syed Nazar ul Islam, Mohd Arshad and Nafees A. Khan
Agriculture 2023, 13(5), 1083; https://doi.org/10.3390/agriculture13051083 - 18 May 2023
Cited by 31 | Viewed by 4500
Abstract
Heavy metals (HMs) contamination is one of the main abiotic factors affecting crop productivity and also threatens human health via consuming metal-contaminated crops as a food source. Over the past few years, HMs have drawn a lot of attention due to their increased [...] Read more.
Heavy metals (HMs) contamination is one of the main abiotic factors affecting crop productivity and also threatens human health via consuming metal-contaminated crops as a food source. Over the past few years, HMs have drawn a lot of attention due to their increased use for commercial purposes and their harmful effects on plants and other life forms, thus threatening human survival. However, several methods have been adopted in recent years to combat the harsh effects of HMs. After phytohormones, the use of mineral nutrients such as selenium (Se) in the prevention of HM stress has been explored by researchers more recently. Selenium is an important micronutrient widely known for its antioxidant properties in plants and animals. Exogenous Se inhibits metal uptake and translocation and improves the antioxidant system, thus imparting resistance to HM toxicity in plants. Moreover, Se also regulates the production of various osmolytes in cells, which helps develop cell osmolarity. Selenium also produces different secondary metabolites in plants’ defense mechanisms against different stresses. The uptake of mineral nutrients is a vital process for plant growth and development, which is also positively correlated with Se under metalloid toxicity. However, to understand the exact mechanism of Se in HM tolerance, different metabolic processes stimulated by Se and their pathways need to be explored. Hence, this review focuses on the role of Se on nutritional status, antioxidant metabolism, interaction with phytohormones and its role in the regulation of various genes involved in Se-induced HM tolerance. Thus, this study will help researchers in the future for the improvement of HM tolerance via Se application in plants. Full article
Show Figures

Figure 1

23 pages, 2323 KB  
Article
Anaerobic Co-Digestion of Sewage Sludge and Trade Wastes: Beneficial and Inhibitory Effects of Individual Constituents
by Olivia Berzal de Frutos, Martin Götze, Marc Pidou and Yadira Bajón Fernández
Processes 2023, 11(2), 519; https://doi.org/10.3390/pr11020519 - 8 Feb 2023
Cited by 8 | Viewed by 3748
Abstract
Anaerobic digestion (AD) of sewage sludge can be optimised by adding trade wastes (TWs) because of their nutrient content and boost in biogas formation if non-inhibitory. However, some components in TWs might have an inhibitory impact, such as nitrogen compounds, sulphate, heavy metals, [...] Read more.
Anaerobic digestion (AD) of sewage sludge can be optimised by adding trade wastes (TWs) because of their nutrient content and boost in biogas formation if non-inhibitory. However, some components in TWs might have an inhibitory impact, such as nitrogen compounds, sulphate, heavy metals, metalloids, halogens and organic pollutants (e.g., phenol). This study aimed to understand the impact of TWs on the co-digestion with sewage sludge to identify appropriate TW loads for sustainable AD operation. The composition of 160 TWs was evaluated and the constituents with potential to cause inhibition or toxicity were tested in bio-methane potential (BMP) tests. The compounds studied in BMP tests included ammonia, zinc, copper, aluminium, mercury, arsenic, chloride, sulphate and nitrate. An improvement was observed at concentrations 2–746 mg Zn/L, 1066–2821 mg Cl/L as zinc sulphate and sodium chloride in biogas production, and 2–746 mg Zn/L, 162 mg SO4/L, 25 mg Hg/L as zinc sulphate, sodium chloride and mercury sulphate in methane production, respectively. Considering the TWs characterised and the results of the BMP tests, a volumetric ratio of 10/90 of TWs and sewage sludge is proposed as a suitable feedstock for co-digestion. Full article
(This article belongs to the Special Issue New Frontiers in Anaerobic Digestion (AD) Processes)
Show Figures

Graphical abstract

13 pages, 3886 KB  
Article
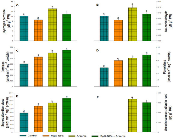
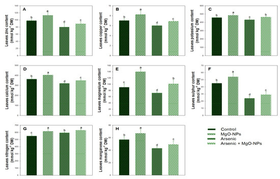
Magnesium Oxide Nanoparticles (MgO-NPs) Alleviate Arsenic Toxicity in Soybean by Modulating Photosynthetic Function, Nutrient Uptake and Antioxidant Potential
by Mohammad Faizan, Javaid Akhtar Bhat, Hamed A. El-Serehy, Michael Moustakas and Parvaiz Ahmad
Metals 2022, 12(12), 2030; https://doi.org/10.3390/met12122030 - 26 Nov 2022
Cited by 57 | Viewed by 4494
Abstract
The consequences of climate change, and the increased accumulation of metalloids, like arsenic (As), in the environment, are significantly affecting crop performance and yield. Arsenic interferes with various plant biochemical and physiological processes, which result in diminished plant growth and development. Magnesium oxide [...] Read more.
The consequences of climate change, and the increased accumulation of metalloids, like arsenic (As), in the environment, are significantly affecting crop performance and yield. Arsenic interferes with various plant biochemical and physiological processes, which result in diminished plant growth and development. Magnesium oxide nanoparticles (MgO-NPs) can improve plant growth and contribute to plant tolerance of heavy metal/metalloid toxicity. During current research, the efficacy of MgO-NPs was assessed for lessening arsenic (As) toxicity in soybean plants. In our experiment As uptake, plant growth, antioxidant enzyme activity, nutrient content, photochemical efficiency and photosynthetic performance were evaluated with/without exogenous application of 500 mg L−1 MgO-NPs in the presence/absence of 150 µM As in soybean plants. Foliar application of MgO-NPs, in the presence of As, enhanced plant height and dry weight by 17% and 15% respectively, and improved net photosynthetic rate by 12.9%, stomatal conductance by 13.4%, intercellular CO2 concentration by 15.3% and transpiration rate by 14.7%, as well as nutrient uptake and photosystem II (PSII) efficiency. In contrast, it decreased As uptake and oxidative stress as evaluated with hydrogen peroxide (H2O2) and lipid peroxidation (MDA). Hence, field tests may be implemented to formulate MgO-NPs use in agriculture, in order to obtain sustainable crop production in arsenic-contaminated soils. Full article
Show Figures

Figure 1

14 pages, 6329 KB  
Article
Structural Diversity of Bacterial Communities and Its Relation to Environmental Factors in the Surface Sediments from Main Stream of Qingshui River
by Zengfeng Zhao, Ruizhi Zhao, Xiaocong Qiu, Yongpeng Wan and Lin Lee
Water 2022, 14(21), 3356; https://doi.org/10.3390/w14213356 - 22 Oct 2022
Cited by 12 | Viewed by 2971
Abstract
This paper aims to preliminarily understand the structure and diversity of the bacterial community in the sediments of the Qingshui River, and analyze the differences of dominant bacteria in different river reaches, and identify the influence degree of environmental factors. In this study, [...] Read more.
This paper aims to preliminarily understand the structure and diversity of the bacterial community in the sediments of the Qingshui River, and analyze the differences of dominant bacteria in different river reaches, and identify the influence degree of environmental factors. In this study, surface sediments of the main stream of the Qingshui River were selected to analyze both bacterial community composition and a diversity index using the high-throughput sequencing analysis of bacterial 16S rDNA, further exploring their relationships with environmental factors. Results showed that 16,855 OTUs in the surface sediments belonged to 66 phyla, 164 classes, 274 orders, 317 families, and 501 genera of bacteria, while carbon/nitrogen-fixing bacteria were dominant at the class and genus level. There was a significant (p < 0.05) spatial difference between bacterial species composition and the diversity index in surface sediments. Proteobacteria was the most abundant phylum in the sediments of the main stream of the Qingshui River, with an average abundance of 48.15%, followed by Bacteroidetes (21.74%) and Firmicutes (5.71%). The abundance of Alphaproteobacteria in Proteobacteria was the highest (15.38%) and followed by Flavobacteriia in Bacteroidetes (11.57%). The most dominant bacteria genera were different at different areas. The most dominant genera were Phyllobacterium in Kaicheng, Qiying, Liwang, Tongxin and Changshantou, with relative abundances of 4.27%, 4.67%, 5.88%, 4.15% and 6.22%, respectively. Flavobacterium was the most dominant genus in both Dongjiao and Sanying, with a relative abundance of 5.03% and 5.84%, respectively. Rhodobacter was the most dominant genus in Hexi, with a relative abundance of 8.29%. Gillisia was the most dominant genus in Quanyanshan, with a relative abundance of 5.51%. Pearson correlation analysis further indicated that NH4+, pH, and Cr were the main factors affecting the bacterial community structure and diversity in surface sediments. Therefore, our findings suggest that both nutrient elements (i.e., N) and toxic heavy metalloids affect the abundance and diversity of bacteria in surface sediments from the main stream of the Qingshui River. Areas of the river sampled in this study provide the biggest microbial sampling coverage to date. The results provide a preliminary understanding of bacterial communities in sediments of different reaches of the Qingshui River, and provide a reference for further research on the application of functional bacteria in pollution control of the Qingshui River. Full article
(This article belongs to the Section Biodiversity and Functionality of Aquatic Ecosystems)
Show Figures

Figure 1

12 pages, 1369 KB  
Article
Toxic Metals and Metalloids in Hassawi Brown Rice: Fate during Cooking and Associated Health Risks
by Abdulaziz Abdulrahman AlMulla, Saad Dahlawi, Muhammad Atif Randhawa, Qamar uz Zaman, Yinglong Chen and Turki Kh. Faraj
Int. J. Environ. Res. Public Health 2022, 19(19), 12125; https://doi.org/10.3390/ijerph191912125 - 25 Sep 2022
Cited by 10 | Viewed by 3852
Abstract
Rice has been a dietary staple for centuries, providing vital nutrients to the human body. Brown rice is well known for its nutrient-dense food profile. However, owing to multiple causes (anthropogenic and non-anthropogenic), it can also be a potential source of toxic heavy [...] Read more.
Rice has been a dietary staple for centuries, providing vital nutrients to the human body. Brown rice is well known for its nutrient-dense food profile. However, owing to multiple causes (anthropogenic and non-anthropogenic), it can also be a potential source of toxic heavy metals in the diet. Brown Hassawi rice samples were collected from the Al-Ahsa region and analyzed for its content of toxic metals. The results reveal that all the tested metals varied significantly in the brown rice samples, while As and Pb in all three samples exceeded their respective maximum allowable limits (MALs), followed by Cd, which nearly approached the MAL in two samples out of three. Brown rice samples were cooked in rice:water systems, viz., low rice:water ratios (1:2.5, 1:3.5) and high rice:water ratios (1:5, 1:6), along with soaking as a pre-treatment. Soaking was unproductive in removing the heavy metals from the rice, whereas cooking dissipated all metals from the rice, except for Cd, which was statistically non-significant. The high-water cooking of the rice was more effective in the dissipation of metals from the rice as compared to low-water cooking conditions. Through the consumption of rice, the estimated daily intake (EDI) of heavy metals is 162 g per person per day for As, which is above the provisional maximum tolerable daily intake (PMTDI) regardless of cooking circumstances. The hazard risk index (HRI) also highlighted the fact that As can be a potential health hazard to rice consumers in the Al-Ahsa region of Saudi Arabia. These results indicate the potential health risks caused by the consumption of this rice by humans. Regular monitoring is recommended to manage and control elevated concentrations and related health hazards as a result of the use of Hassawi rice contaminated by the accumulation of metals and metalloids. Full article
Show Figures

Figure 1

15 pages, 2554 KB  
Article
Heavy Metal(loid)s Pollution of Agricultural Soils and Health Risk Assessment of Consuming Soybean and Wheat in a Typical Non-Ferrous Metal Mine Area in Northeast China
by Dexian Li, Guannan Liu, Xiaosai Li, Ruiping Li, Juan Wang and Yuanyi Zhao
Sustainability 2022, 14(5), 2953; https://doi.org/10.3390/su14052953 - 3 Mar 2022
Cited by 14 | Viewed by 3166
Abstract
During mining, some of the essential metal(loid)s for plants or humans are discharged into the environment with non-essential metal(loid)s. Thus, comprehensive investigations of their distribution and the health risk of consuming food crops near mines are significant. A total of 26 soils and [...] Read more.
During mining, some of the essential metal(loid)s for plants or humans are discharged into the environment with non-essential metal(loid)s. Thus, comprehensive investigations of their distribution and the health risk of consuming food crops near mines are significant. A total of 26 soils and 25 food crops (soybean grains and wheat grains) were sampled to investigate arsenic (As), cadmium (Cd), chromium (Cr), copper (Cu), mercury (Hg), lead (Pb), zinc (Zn), selenium (Se), molybdenum (Mo), and manganese (Mn) in soils and crops in a typical non-ferrous metal mine area in Northeast China. The distribution patterns of soil heavy metal(loid)s and principal component analysis (PCA) results indicated that Cd, Cu, Zn, Mo, and Mn in soils were significantly affected by mining activities and were mainly or partly derived from the mines. Moreover, these soil heavy metal(loid)s (except Se) in the Tongshan copper mine area were attenuated with distance in the downstream direction. The BCF (bioconcentration factor) values of non-essential elements (Se, Hg, Cr, As, Cd, Pb) were relatively lower and positively related to soil nutrients. On the contrary, higher BCF values of essential elements (Cu, Zn, and Mo) and a weak relationship between the BCF of essential elements and soil nutrients were found. The mean Igeo values of soil heavy metal(loid)s indicated that As and Cu were at an unpolluted-to-moderately-polluted level (Igeo > 1), while other heavy metal(loid)s all presented an unpolluted level (Igeo < 1). Nevertheless, some soil samples were obviously polluted (Igeo > 1), such as KQ, D1, D3, D5, D6, and T1. The HQ (hazard quotient) and HI (hazard index) values of As and Mn both exceeded 1, indicating the higher potential health risks of consuming soybean grains and wheat grains for all people groups. Full article
(This article belongs to the Special Issue Future Directions for Soil Remediation and Environmental Management)
Show Figures

Figure 1

33 pages, 25346 KB  
Article
Ecological Conditions of the Lower Dniester and Some Indicators for Assessment of the Hydropower Impact
by Svitlana Kovalyshyna, Tatiana Chuzhekova, Maria Grandova, Eduard Onishchenko, Elena Zubcov, Volodymyr Ukrainskyy, Oleksandr Goncharov, Oxana Munjiu, Mikhailo Nabokin and Antoaneta Ene
Appl. Sci. 2021, 11(21), 9900; https://doi.org/10.3390/app11219900 - 22 Oct 2021
Cited by 8 | Viewed by 5919
Abstract
The Dniester is one of the largest transboundary rivers of the Black Sea basin, and its lower reaches integrate the influence of climate change and hydropower plant (HPP) impact on the waterway. The decrease in precipitation and average annual air temperature increase and [...] Read more.
The Dniester is one of the largest transboundary rivers of the Black Sea basin, and its lower reaches integrate the influence of climate change and hydropower plant (HPP) impact on the waterway. The decrease in precipitation and average annual air temperature increase and intensive hydroelectric construction have led to a decline in the total water content of the river, during the last 10 years, being below the long-term historical “norm”. The shifts in the river flow result in multidirectional seasonal dynamics of nutrient concentrations. During the modern period, a stabilization of nutrient concentrations takes place, being lower than at the peak of eutrophication in the 1970s–1980s, but higher than in the natural flow period. The construction of reservoirs leads to a long-term decline in silica concentrations, continuing in the modern period. The concentration of heavy metals and metalloids in water and bottom sediments of the river generally corresponds to the ecological status of “Moderate”. Biological communities show a high β-diversity of microalgae, but low diversity of plankton and benthic invertebrates. Biological communities respond to the impact of HPP in both the short- and long-term. Hydroelectric dams change the bioavailability of nutrients downstream which, in the long-term, causes shifts in phytoplankton composition, especially the reduction of Bacillariophyta due to the lack of silicates that are deposited in reservoirs. However, in the short-term, after the discharge from the HPP dam, the concentration of silicates and the proportion of diatoms increase. Long-term changes also include a decline in the proportion of Rotifera and an increase in Copepoda in the total abundance of zooplankton and the unification of the benthic community with an increase in the biomass of gastropods in the area, which can be considered as indicators of the impact of hydroelectric power plants. The saprobity index, calculated both for zooplankton and macrozoobenthos, characterised the water as moderately polluted; benthic biotic indexes (Biological monitoring working party (BMWP), Belgian Biotic Index (BBI), Danish Stream Fauna Index (DSFI)) calculated on macrozoobenthos described the condition as “low” quality. Full article
(This article belongs to the Special Issue Monitoring and Analysis of Environmental Pollution)
Show Figures

Figure 1

18 pages, 2961 KB  
Article
Effect of Citric Acid on Growth, Ecophysiology, Chloroplast Ultrastructure, and Phytoremediation Potential of Jute (Corchorus capsularis L.) Seedlings Exposed to Copper Stress
by Aasma Parveen, Muhammad Hamzah Saleem, Muhammad Kamran, Muhammad Zulqurnain Haider, Jen-Tsung Chen, Zaffar Malik, Muhammad Shoaib Rana, Amara Hassan, Ghulam Hur, Muhammad Tariq Javed and Muhammad Azeem
Biomolecules 2020, 10(4), 592; https://doi.org/10.3390/biom10040592 - 11 Apr 2020
Cited by 114 | Viewed by 6182
Abstract
Soil and water contamination from heavy metals and metalloids is one of the most discussed and caused adverse effects on food safety and marketability, crop growth due to phytotoxicity, and environmental health of soil organisms. A hydroponic investigation was executed to evaluate the [...] Read more.
Soil and water contamination from heavy metals and metalloids is one of the most discussed and caused adverse effects on food safety and marketability, crop growth due to phytotoxicity, and environmental health of soil organisms. A hydroponic investigation was executed to evaluate the influence of citric acid (CA) on copper (Cu) phytoextraction potential of jute (Corchorus capsularis L.). Three-weeks-old seedlings of C. capsularis were exposed to different Cu concentrations (0, 50, and 100 μM) with or without the application of CA (2 mM) in a nutrient growth medium. The results revealed that exposure of various levels of Cu by 50 and 100 μM significantly (p < 0.05) reduced plant growth, biomass, chlorophyll contents, gaseous exchange attributes, and damaged ultra-structure of chloroplast in C. capsularis seedlings. Furthermore, Cu toxicity also enhanced the production of malondialdehyde (MDA) which indicated the Cu-induced oxidative damage in the leaves of C. capsularis seedlings. Increasing the level of Cu in the nutrient solution significantly increased Cu uptake by the roots and shoots of C. capsularis seedlings. The application of CA into the nutrient medium significantly alleviated Cu phytotoxicity effects on C. capsularis seedlings as seen by plant growth and biomass, chlorophyll contents, gaseous exchange attributes, and ultra-structure of chloroplast. Moreover, CA supplementation also alleviated Cu-induced oxidative stress by reducing the contents of MDA. In addition, application of CA is helpful in increasing phytoremediation potential of the plant by increasing Cu concentration in the roots and shoots of the plants which is manifested by increasing the values of bioaccumulation (BAF) and translocation factors (TF) also. These observations depicted that application of CA could be a useful approach to assist Cu phytoextraction and stress tolerance against Cu in C. capsularis seedlings grown in Cu contaminated sites. Full article
Show Figures

Figure 1

Back to TopTop