Abstract
Anaerobic digestion (AD) of sewage sludge can be optimised by adding trade wastes (TWs) because of their nutrient content and boost in biogas formation if non-inhibitory. However, some components in TWs might have an inhibitory impact, such as nitrogen compounds, sulphate, heavy metals, metalloids, halogens and organic pollutants (e.g., phenol). This study aimed to understand the impact of TWs on the co-digestion with sewage sludge to identify appropriate TW loads for sustainable AD operation. The composition of 160 TWs was evaluated and the constituents with potential to cause inhibition or toxicity were tested in bio-methane potential (BMP) tests. The compounds studied in BMP tests included ammonia, zinc, copper, aluminium, mercury, arsenic, chloride, sulphate and nitrate. An improvement was observed at concentrations 2–746 mg Zn/L, 1066–2821 mg Cl/L as zinc sulphate and sodium chloride in biogas production, and 2–746 mg Zn/L, 162 mg SO4/L, 25 mg Hg/L as zinc sulphate, sodium chloride and mercury sulphate in methane production, respectively. Considering the TWs characterised and the results of the BMP tests, a volumetric ratio of 10/90 of TWs and sewage sludge is proposed as a suitable feedstock for co-digestion.
1. Introduction
Sewage sludge is widely recognised as a valuable resource because of its potential to generate renewable energy and organic fertiliser when treated by anaerobic digestion (AD), with additional benefits of reducing its pathogen content, odour nuisance and volumes [1,2]. Despite these benefits, only 30 to 50% of dry organic solids from sewage sludge are converted to methane during AD, which affects the efficiency of the process and its economic profitability [3]. Optimum biogas production from sewage sludge digestion is also frequently limited by the organic loading rate (OLR) at which sludge digesters are operated (1.6 to 4.8 kg VSS/m3/d), with OLR generally limited by the risk of accumulating inhibitors such as free ammonia or fatty acids [4]. Furthermore, the carbon-to-nitrogen ratio associated with sewage sludge digestion is typically low, between 6 to 16, compared to the optimum values of 20 to 30 [5], and there is frequently a deficiency of heavy metals that act as micronutrients [6]. Anaerobic co-digestion (Aco-D) can be used to solve these bottlenecks and increase process efficiency.
Aco-D consists of treating several substrates in the same digester to achieve a synergistic benefit that balances their disadvantages and maximises process yield. A range of substrates has been used to increase the performance of sewage sludge AD; for example, organic fraction of municipal solid waste (OFMSW) [7], grass [2], fats, oils and greases (FOG) [5], food waste [6], manure [8] and trade wastes (TWs). TWs typically contain nutrients favourable for the AD process, but also high levels of toxic constituents and insufficient buffer capacity to be digested as single substrates [3]. Co-digestion of sewage sludge and TWs has often been considered to digest organic wastes that could not be treated alone. To illustrate, Hagelqvist [9] co-digested 50% volatile solids (VS) of paper-mill sludge, a substrate with low biodegradability, and 50% VS of sewage sludge. This resulted in an enhancement of the methane yield from 53 mL/g VS for paper-mill sludge mono-digestion up to 84 mL/g VS and an improvement of VS degradation from 5 to more than 10% [9].
Previous studies have highlighted the benefit of biogas production of sewage sludge Aco-D with industrial wastewaters. Berenjkar et al. recorded that the use of 10% volume of landfill leachate as co-digestate with sewage sludge increased methane production from 0.75 to 1.01 CH4 m3/kg VS [1]. The addition of 50% weight of petrochemical effluent to sludge improved bio-methane production by 18–32% [10]. In another study, 5% v/v of olive mill wastewater, cheese whey and glycerol addition to sewage sludge increased biogas production by up to 220%, 350% and 86%, respectively [3].
Although the performance benefits of co-digesting TWs with sewage sludge have been widely reported, careful consideration of TW loads is paramount as the AD process can be inhibited by the high concentrations of inhibitors expected in TWs (see Supplementary Materials Table S1). To illustrate, TWs from food processing industries can contain up to 3800 mg/L of total Kjeldahl nitrogen (TKN), which could degrade to total ammonia nitrogen (TAN) in the digester [11]. Other TWs, such as coal-gasification wastewater, can contain 3000 to 9000 mg/L of TAN, resulting in potential AD inhibition [12]. Free ammonia nitrogen (FAN) in crab industry wastewater was 50% inhibitory to methane production when it reached values of 85 mg/L in a toxicity test [13]. Other nitrogen compounds that could affect AD stability are nitrate (NO3) and cyanide (CN), which have been found at levels potentially inhibitory for AD in TWs from pectin factories, cellophane and explosives production, metal finishing, fertiliser and distilleries [14,15] and from the casava industry [16], among others. Sulphate (SO4) can also be found in TWs from the chemical and saline food industries and it has been reported to generate competition between the sulphate reducing microorganisms and methanogens [17,18]. Moreover, these sulphate reducing organisms transform sulphate to sulphide, which in the form of hydrogen sulphide gas is known to inhibit AD processes [17]. Heavy metals, which are commonly found in TWs, have a positive effect as nutrients for the microorganisms and a negative effect over a certain level [4]. Some examples of metals in TWs are iron (Fe), zinc (Zn), cadmium (Cd), nickel (Ni), chromium (Cr), copper (Cu), mercury (Hg), aluminium (Al), lead (Pb), arsenic (As) and selenium (Se). Halogens can also be inhibitory to AD, such as fluorine (F) and chloride (Cl); organic pollutants common in chemical industries, such as phenol, could also pose a risk of inhibition (see Supplementary Materials Table S1).
Previous studies on Aco-D of TWs and sludge only covered one specific type of TWs at a time. This is useful for the producer industry, but not for waste collection companies such as water utilities receiving hundreds of types of TWs daily. In the UK, water utilities are currently only allowed to treat these wastes with the municipal wastewater in the main treatment train, but there is potential to use some of the TWs received by direct addition into the AD process, potentially increasing renewable energy generation. There is then a necessity for a more systematic and holistic approach to control the addition of those TWs and avoid any inhibitory events; therefore, it is critical to understand the impact that TWs’ characteristics have on the AD of sewage sludge. A significant number of studies are available in the literature on inhibitory constituents for AD that are commonly found in TWs (see Supplementary Materials Table S1). However, these studies use different reactor types and experimental conditions, including inoculum, feed and temperature, making it difficult to compare the results obtained and draw general conclusions.
The aim of this study was then to understand the beneficial and inhibitory effect of key components of TWs on the AD process during co-digestion with sewage sludge. The associated objectives were to identify the key constituents of TWs that might affect AD, determine their impact in Aco-D with sewage sludge, and establish the loads of each constituent that can be added to sludge digesters without hindering methane and biogas production. Through characterisation of 160 real TWs commonly sent to wastewater treatment sites and evaluation of the impact that typical TWs constituents have on bio-methane potential (BMP) tests, this work addresses the gaps in knowledge identified above and provides insights into selection of TWs for Aco-D with sludge.
2. Materials and Methods
2.1. Feedstock and Inoculum
The sewage sludge used as a substrate for the AD trials consisted of a mixture of primary sludge and secondary waste activated sludge from two wastewater treatment plants in the West Midlands, England. The inoculum was the digestate from the same sites. The substrate and inoculum were stored at 4 °C on the day of sampling and were allowed to reach room temperature for 24 h before the start of the experiments. The average organic content in the feed was about 50 g COD/L with 34% being soluble (Table 1). Storage at 4 °C was chosen to temporarily suppress biological activity and hence avoid organic matter degradation until AD trials were started, as it has previously been reported to keep methanogenic activity close to that of fresh inoculums [19].
Table 1.
Characteristics of the feed and inoculum used for the BMP experiments.
2.2. Trade Wastes Data Analysis
A dataset containing the characterisation of TWs that were requested to be treated in a treatment plant between 2010 and 2017 was obtained from a water utility. A total of 1122 TWs were included, with a highly variable composition observed for individual TWs. In order to account for variability in their composition, only those with a minimum of 5 samples characterised in the dataset were selected for this study to provide some insight on it. This resulted in a total of 160 TWs characterised for 25 parameters: pH, chemical oxygen demand (COD), suspended solids, ammonia, chromium, copper, lead, nickel, zinc, sulphate, phenol, cyanide, fluoride, sulphide, chloride, silver, arsenic, mercury, iron, aluminium, cadmium, antimony, bromide, nitrate and nitrite. These parameters were selected based on previous experience to represent the typical pollutants found on the type of TWs analysed. The average values for each parameter of each TW were used to evaluate and categorise TWs.
2.3. Batch Tests
BMP tests were used to understand the impact of TW addition in sewage sludge AD. To elucidate the impact of individual constituents of TWs, reactors were spiked with targeted chemicals informed by the dataset characterisation, as opposed to real TWs where multiple inhibitory components can be present simultaneously. The BMP tests were carried out in 125 mL serum glass bottles consisting of a blank with only inoculum, a control with inoculum and sewage sludge as feed; and test reactors containing inoculum and a feedstock mixture of 90% sewage sludge on mass basis and 10% of a solution spiked with a compound of interest. All the control and test digesters were operated with an inoculum to feedstock VS ratio of 1:1, assuming the compound of interest added no VS. The constituents studied included ammonia, zinc, copper, aluminium, mercury, arsenic, chloride, sulphate and nitrate, which were added using salts (Table 2). Ammonia, zinc, copper and aluminium were studied using both chloride and sulphate salts to understand the effect of the counter-ion dosed. The pH change resulting from aluminium salts dosing was further studied by controlling the pH with sodium hydroxide (NaOH) and through the evaluation of the impact of pH alone by reducing it with hydrochloric acid (HCl). Arsenic, chloride, sulphate and nitrate were all used with sodium as counter-ions, assumed to be inert (Table 2). The impact of each constituent was assessed by testing for at least 5 different concentrations and each reactor was operated in triplicates. The total concentration of each studied constituent is reported as the background concentration in the control of the experiment plus the concentration added with the salt. The temperature of the reactors was kept at 38 °C using water baths and incubators with continuous shaking. The tests were ended when the daily biogas production variation was less than 1% [7,20], with the tests lasting between 32 and 92 days.
Table 2.
Salts added to the biological methane potential tests.
The BMP experiments were carried out over a year; therefore, some seasonality was observed in the characteristics of the sewage sludge used as feedstock and inoculum (Table 1). Performance of all test reactors was normalised to their respective blanks to compensate for those variations and allow relevant comparison of the results obtained.
Biogas (YBg, mL/g) and methane (YM, mL/g) yields were calculated from their accumulated production in mL (AccVS) subtracted by the accumulated biogas production from the blank in mL (AccVB) and normalising over the mass of VS from sewage sludge fed to the reactor (g VSf). Yield ratio (Yi/Yc) was calculated dividing the sample yield over the control (Equations (1) and (2)).
Biogas production kinetics were estimated using first-order kinetics and Gompertz modified models [7], as represented by Equations (3) and (4), respectively.
where P(t) is the production of biogas at time t (d); Pmax is the maximum biogas production or biogas yield (mL biogas/g VS); kh is the hydrolysis constant (d−1); Rm is the specific rate constant (mL biogas/g VS/d); λ is the lag phase time constant (d).
The differences between both models and the real data were calculated using normalised root mean square error (RMSEn) and r2 (Equations (5) and (6)) [21].
where Xi is the predicted value of biogas (mL biogas/g VS), and Yi is the measured value of biogas (mL biogas/g VS).
The impact of each salt and its concentration tested on biogas and methane yield and formation kinetics was classified as beneficial, non-effect, inhibitory and/or toxic. Beneficial was defined as the samples that had a biogas or methane yield above the value of the control sample [22]. Non-effect samples had values close to the control [23]. Inhibition was divided into two types, which were yield inhibition if there was a reduction on the maximum yield of biogas or methane [24] and kinetic inhibition if a condition resulted in a lag phase [25]. Toxic refers to samples that had less biogas production than the blank and hence resulted in negative yields achieving complete inhibition [23].
2.4. Analytical Methods
Sludge samples were analysed before and after the BMP tests. Alkalinity, TS and VS were measured using standard methods [20,26]. The measurement of pH was carried out with a Mettler Toledo MA235 pH/ion analyser and a portable Hanna HI 991003 pH meter. Total and soluble COD, TAN and total nitrogen (TN) were analysed using cell test kits from Millipore (VWR, UK) and a spectrometer Spectroquant NOVA 60 from the same company. Samples for analyses of soluble COD, TAN, volatile fatty acid (VFA), ions and metals were obtained after centrifuging at 5000 rpm for 8 h and filtering the supernatant through 0.45 µm Millipore syringe filters. FAN was calculated from the TAN concentration and pH value using Equation (7) [27].
where [FAN] is the FAN concentration (mg/L), [TAN] is TAN concentration (mg/L) and Ka is the dissociation constant with a value of 1.29 × 10−9 for 37 °C [27].
A Shimadzu prominence high-performance liquid chromatographer (HPLC) was used to analyse VFA with a similar methodology as [26]. A Dionex ICS-1600 ion chromatographer (IC) was used for the determination of nitrate, nitrite, sulphate, phosphate, fluoride, chloride and bromide with a mobile phase of 9 mM sodium carbonate and an AS 9HC column. Finally, a NexION 350D inductively coupled plasma (ICP) mass spectrometer was used to measure cations (calcium, magnesium, potassium, sodium, manganese, zinc, cobalt, molybdenum, nickel, copper, iron, selenium, chromium and tungsten, lithium, aluminium, silica, titanium, arsenic, cadmium, lead, mercury and antinomy). ICP samples were acidified with 100 µL of >68% nitric acid in 10 mL of diluted soluble sample.
Gas samples were characterised for biogas and methane. Biogas was measured using a 1 M hydrochloric acid trap with an inverted cylinder to measure liquid displacement. The biogas was collected in a 10 mL syringe from the measuring cylinder after filtering it through a 0.45 µm Millipore syringe filter to avoid humidity intrusion for methane analysis with a Servomex 1440 gas analyser (Surrey, UK).
2.5. Trade Wastes Load Calculation
The last part of the study aimed to establish the loads of each TW that could be positively co-digested in sewage sludge ADs. To estimate the impact that TWs could have on the Aco-D process, the characterisation data of TWs previously analysed was compared against the different effect ranges for individual constituents found in the BMP tests. For some of the ions of interest, two counter-ions (salts) were studied. The range selected when two ranges were obtained in BMP tests was the one that showed higher inhibition, to account for the worst-case scenario. Scenarios corresponding to TWs/sewage sludge volume ratios of 0/100, 10/90, 30/70, 50/50, 70/30, 90/10 and 100/0 were considered to calculate the total concentration of the ions of interest in the digester. The percentage of the 160 TWs investigated that constituted an inhibitory risk for those scenarios was then calculated.
2.6. Statistics
ANOVA analysis was applied to determine if observed differences were statistically significant. ANOVA uses the F-test to analyse the similarity between groups by comparing the variances between the groups. The similarity between control and test reactors occurred when the F-value (F) was below the F-critical value (Fcrit). In contrast, when F was above Fcrit, the control and test had statistically different yields (see Supplementary Materials Table S2).
3. Results and Discussion
3.1. Trade Wastes Characterisation
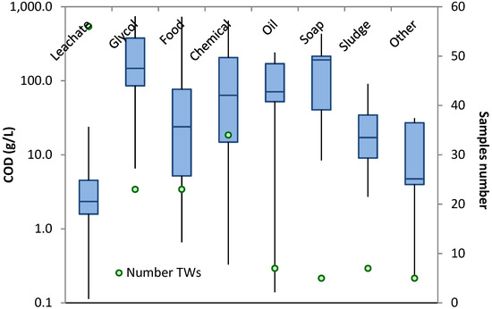
The most common categorisation of TWs is by their source [28]. In the current research, data were divided into landfill leachates, glycol/alcohol/beverage industry, food industry, chemical industry, oil-containing waste, soap-containing wastes, sludge and other (Figure 1). Landfill leachates and sludges are not actual industrial wastewaters but, as they are often tankered to water utilities for treatment in the same way as TWs, they were considered as TWs in this work. There was a great variation of COD in the glycol, beverage and alcohol, food and chemical groups with values as high as 700 g/L of COD down to 1 g/L of COD (Figure 1). These three groups were the most predominant ones after landfill leachate with 20 to 30 different TWs from a total of 160 TWs evaluated. Oily and soapy wastewaters that did not fit in the other sections showed a lower variation from 400 to 1 g/L of COD (Figure 1). The lowest variation and the lowest maximum COD level were observed in the groups of landfill leachate, sludge and other TWs that were below 100 g/L of COD (Figure 1). Only landfill leachates could be distinguished with a direct correlation when plotting COD and TAN concentrations against each other (Figure 2). Hence, grouping the TWs by source type did not show any correlation with the characteristics of those TWs, due to the variability in their characteristics within each group. It was therefore decided to evaluate the TWs based on their composition.
Figure 1.
TWs divided by the type of industry where they were generated with their typical COD content.
Figure 2.
COD versus ammonia concentrations of TWs grouped by their source.
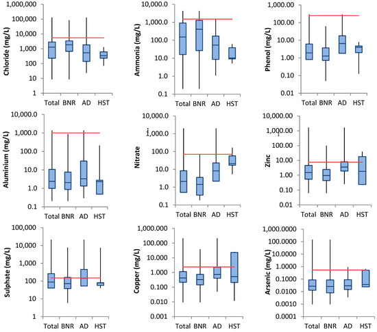
According to previous practice on the full-scale site where the TWs dataset was obtained, the TWs were first divided based on their COD content. Low-strength TWs with a COD below 50 g/L were typically fed at the head of wastewater treatment plants, undertaking full treatment and serving as an additional carbon source in biological nutrient removal (BNR) processes [14]. TWs with a COD between 50 and 250 g/L could go directly to the AD, and high-strength wastes with COD above 250 g/L would go to a high-strength tank (HST) from where they were dosed slowly into the AD. The TWs divided into those groups were then further categorised according to concentrations of all parameters available and compared to inhibitory values reported in the literature (Figure 3). TWs showed high variability in all the compounds and elements considered. The group that was most constant in its composition was the TWs that would go to the HST, for which COD ranged between 600 and 750 g/L (Figure 3). This type of TWs was found to have lower chloride, ammonia, phenol and aluminium levels than the lowest inhibitory values to AD reported in the literature (see Supplementary Materials Table S1). For the wastes that would be directly dosed into the AD, several were found to be above the lowest inhibitory value for all constituents evaluated, demonstrating a risk for the digestion process. The highest concentrations observed for chloride, ammonia, phenol, aluminium, nitrate, zinc, sulphate, copper and arsenic were all above the lowest inhibitory value for AD reported in previous literature (see Supplementary Materials Table S1 and red line Figure 3). Therefore, there was a clear risk that those TWs would negatively affect the sludge digestion if their loads to the reactor were not carefully selected. The TWs going to BNR were low in phenol, aluminium and nitrate, although several constituents of concern were observed, such as chloride, ammonia, zinc, sulphate, copper and arsenic.
Figure 3.
Box and whiskers plot values representing TWs’ composition depending on the treatment route generally chosen by water utilities. BNR represents TWs with COD below 50 g/L that are typically fed at the head of wastewater treatment plants, AD represents TWs with a COD between 50 and 250 g/L that go directly to the AD, and HST represents TWs with COD above 250 g/L that normally go to high-strength tanks. The lowest inhibitory value for AD reported in the literature is represented by the red lines (Supplementary Materials Table S1). The lowest point in the whisker represents the minimum value of the data, the highest point on the whisker represents the maximum value, the bottom of the box is the 25 percentile, the top of the box is the 75 percentile and the line dividing the box is the median.
3.2. Biological Methane Potential Tests
3.2.1. Yield
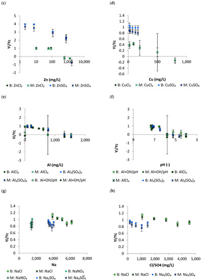
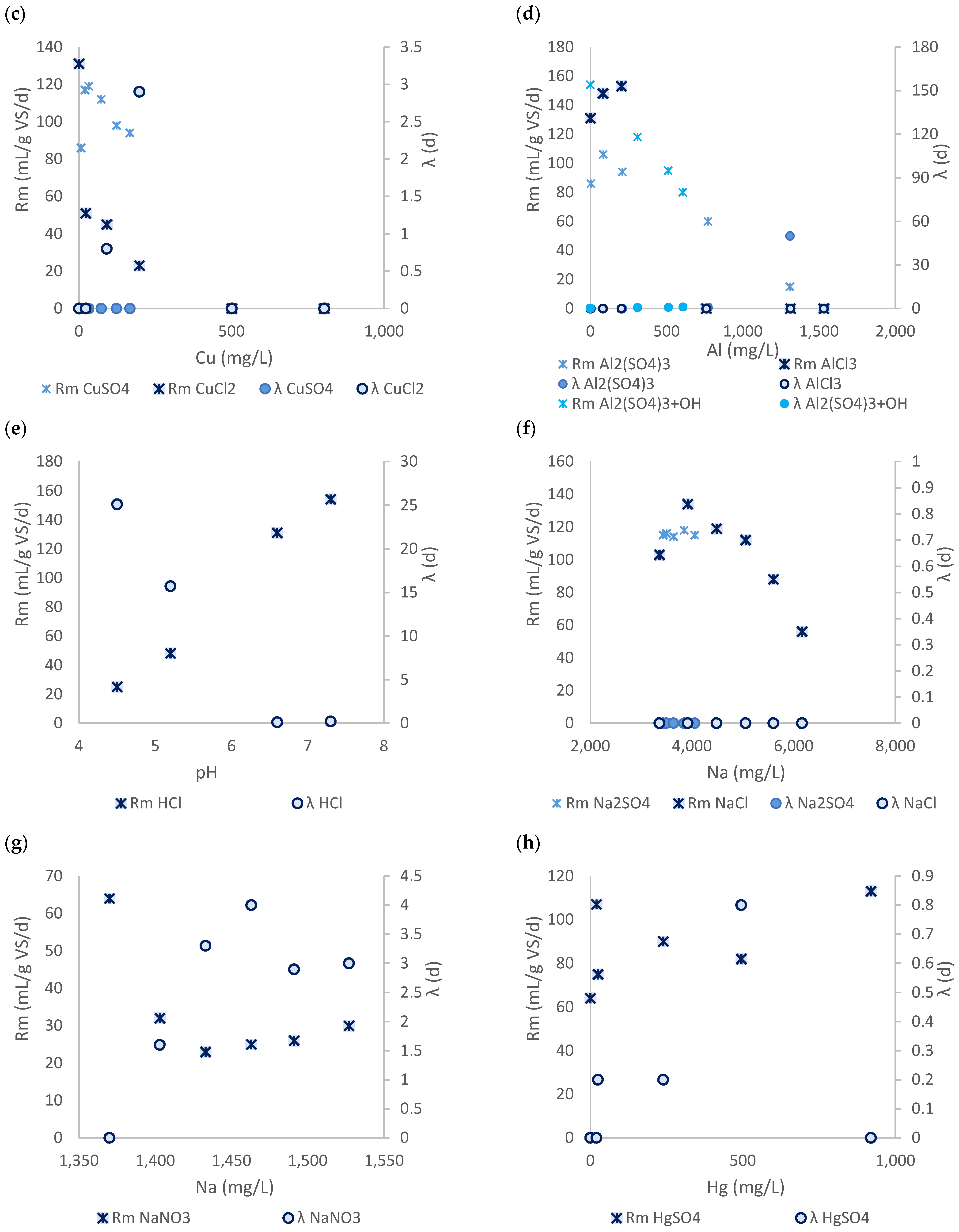
Ammonia
Similar trends and values in biogas and methane formation were observed when dosing ammonium chloride and ammonium sulphate in the digesters (Figure 4a). The biogas and methane yields decreased from 631 to 521 mL/g VS with a 0.8 yield ratio in relation to the control and 415 to 354 mL/g VS with a 0.8 yield ratio over the control, respectively, when the TAN concentration was increased between 635 and 3405 mg/L with ammonium sulphate (Figure 4a). Furthermore, addition of TAN between 586 and 5162 mg/L with ammonium chloride decreased biogas and methane yields from 624 to 431 mL/g VS with a 0.7 yield ratio in relation to the control and 377 to 257 mL/g VS with a 0.7 yield ratio over the control, respectively (Figure 4a). This demonstrates increased inhibition as the TAN concentration increased and suggests that the chloride and sulphate counter-ions had similar or no effects on the results. Nevertheless, the statistical analysis suggested that the yields of test ADs dosed with ammonium chloride were not statistically different from the control reactors except for that of 5162 mg TAN/L, but the performance of ammonium sulphate dosed units was statistically different from that of the control for all the concentrations tested (see Supplementary Materials Table S2). A similar concentration of TAN, 5000 mg/L, was reported as 25% inhibitory for methane yield by Borja et al. in cattle manure digesters [29].


Figure 4.
Biogas (B) and methane (M) yield ratios over the control when TAN (a) and FAN (b) were added using ammonium sulphate and ammonium chloride, zinc was added as zinc sulphate and zinc chloride (c), copper was added as copper sulphate and copper chloride (d), aluminium (e) was added and pH (f) was changed using aluminium sulphate, aluminium chloride, aluminium sulphate plus sodium hydroxide and hydrochloric acid, and sodium (g), sulphate and chloride (h) were added as sodium sulphate and sodium chloride, nitrate was added as sodium nitrate (i), mercury was added as mercury sulphate (j), and arsenic was added as sodium arsenate (k).
As it has been previously reported, FAN is the ammonia form most toxic to the AD process as it permeates through the cell membrane more easily than ammonium, inhibiting enzymes or leading to proton imbalance [23]. In the current study, there was an increase from 7 to 255 mg/L of FAN using ammonium chloride that decreased the methane yield by 32% (Figure 4b). Additionally, a decrease of 15% in methane formation was observed at 691 mg/L of FAN using ammonium sulphate (Figure 4b). Ammonium chloride addition led to a similar reduction of the methane yield against the control (11%) to the level reported by Bujoczek et al. [30] with a FAN concentration of 173 mg/L when food waste and sewage sludge were co-digested in a ratio 40%/60%. There have been other studies that showed inhibition of methanogens at similar FAN ranges to those tested. Angelidaki and Ahring reported a reduced growth rate of methanogens by 50% at FAN concentrations of 200 and 500 mg N/L [31] and a negative effect in a continuous AD operated at 55 °C when FAN reached 600 and 800 mg N/L [32]. An even lower range of 280 and 520 mg N/L of FAN was found to reduce by 50% the growth in acetate consumers and hydrogen consumer methanogens, respectively, by Borja et al. [29].
Zinc
An increment of Zn from 0.2 mg to 2 mg Zn/L improved the biogas and methane yields, reaching a ratio of 4 and a ratio of 3.7 over the control yield, respectively, for the experiments using zinc sulphate (Figure 4c). This could be associated with zinc stimulating the growth of methanogens as it is needed in RNA polymerase and other biosynthetic enzymes [33]. From 2 to 760 mg Zn/L there was a steady decrease of approximately 40% in both biogas (42%) and methane (37%) yields (Figure 4c). Zinc sulphate in a range between 7 and 112 mg Zn/L still showed an increase of performance over the control, similarly to the increase in yield observed with a zinc concentration of 8 mg/L in the study by Altaş [22]. At 1676 mg Zn/L, there was a toxic effect in the reactors as the biogas and methane productions recorded were lower than the ones of the blank units (i.e., negative yield value) (Figure 4c). Using zinc chloride, the biogas and methane yields were statistically similar to that of the control for the concentrations between 2.8 and 87 mg Zn/L, indicating stable conditions as the biogas production only varied between 630 and 664 mL/g VS. Complete inhibition of biogas and methane production was reached at a concentration of zinc of 592 mg/L using zinc chloride (Figure 4c). A concentration of 760 mg Zn/L increased iso-butyric concentration up to 147 mg/L, compared with the control concentration of 55 mg/L. A further increase up to 1676 mg Zn/L led to an increase in concentrations of all VFAs except valeric and iso-valeric above those of the control. The VFA concentrations at 1676 mg Zn/L were 1085 mg/L of acetic, 2109 mg/L of propionate, 160 mg/L of iso-butyric, and 301 mg/L of butyric, while levels in the control were under the detection limit except for iso-butyric previously mentioned. Zinc has been shown to have an inhibitory effect interfering with enzymes required for methanogenesis [33]. The accumulation of VFA in the current study at 760 and 1676 mg Zn/L agrees with an effect of zinc in the methanogenesis phase of the digestion process. Further trials on continuously operated ADs would be recommended to link dynamics of VFA accumulation to specific pathways of inhibition, which could inform developing a control strategy for TW dosed reactors.
Copper
Biogas and methane yields remained in a similar range with 604–559 mL biogas/g VS and 431–388 mL methane/g VS when the concentration of copper sulphate was increased from 6 to 167 mg Cu/L (Figure 4d). The consistency in biogas and methane yields for the range studied differed from that of previous studies that found inhibition between 2.2 and 50 mg Cu/L (see Supplementary Materials Table S1). This difference could be linked to the zinc concentration in the system, as it has been reported to reduce copper inhibition by competition to enter the microorganism cell [33]. Nevertheless, the background zinc concentration in the current study was between 17 and 46 mg Zn/L in comparison to 65 mg Zn/L, for example, in the work reported by Abdel Azim et al. [33]. Therefore, other mechanisms such as copper polysulphide precipitation, which were reported to be the most common form in sewage sludge at pH 7–7.5 at 37 °C, might be responsible for the reduction of soluble copper [34]. This decrease of soluble copper would have reduced the effect of copper on the current experiments. Attachment to the organic matter could also reduce the available copper concentration for anaerobic microorganisms [35].
Alternatively, the use of copper chloride reduced the biogas and methane yields by up to 62 and 66%, respectively, with an increase in Cu concentration from 0.15 to 22 mg/L (Figure 4d). This value is similar to that of a study with thermophile methanogen Methanobacterium thermoautotrophicum that was 50% inhibited at 14 mg Cu/L [36]. The biogas and methane yields further decreased with increasing copper chloride doses, resulting in 86% inhibition and toxic effect at 501 and 804 mg Cu/L, respectively (Figure 4d). An accumulation of acetate at concentrations of 613 mg acetate/L was observed at the end of the BMP test when copper reached 811 mg Cu/L, compared with the control test that had 4 mg acetate/L. Therefore, despite the methanogens being affected by the high concentration of copper, acetogens were able to grow, which agrees with previous studies on copper inhibition that have reported methanogens to be more affected than acidogens [37].
Aluminium
With aluminium sulphate, the biogas and methane yields remained constant at 574 mL biogas/g VS and 454 mL methane/g VS between 3 and 210 mg Al/L, with a small 13% reduction of methane at 210 mg Al/L. When increasing the aluminium concentration to 771 mg Al/L, the biogas and methane yields were reduced by 30 and 51%, respectively. The pH at 771 mg Al/L remained at 6.5, which is within the limit for AD operation; hence suggesting that the impact on process yield was attributable to the aluminium toxicity. Toxic effects for both biogas and methane productions were reached at 1350 mg/L Al, although the low pH value of 5.3 recorded (Figure 4e), prevents a clear understanding of whether inhibition was related to aluminium toxicity, acidification of the reactors or a combination of both.
In the case of aluminium chloride, there was a 9% increase in biogas yield and a 9% reduction of methane yield with concentrations between 1 and 203 mg Al/L. A toxic effect was then observed for both biogas and methane production as the concentration was further increased to 780 mg Al/L and pH reached 5.8 (Figure 4e,f). For both salts, aluminium chloride and aluminium sulphate, dosed reactors toxic effects occurred at a pH of 5.8 or below (Figure 4f). To dissociate the impacts of the pH and aluminium on the system, an experiment with pH control for ADs dosed with aluminium sulphate between 262 and 608 mg Al/L was performed, and other reactors where pH was reduced from 6.55 to 4.5 without aluminium addition were also operated.
The addition of aluminium even with pH control reduced biogas production by 18, 29 and 42% at concentrations of 262, 464 and 608 mg Al/L, confirming that at least part of the toxicity observed was due to aluminium. Aluminium can negatively affect microorganisms by disrupting glucose degradation by attaching to ATP and substitution of divalent ions, as it forms stronger complexes [38]. Additionally, aluminium cationic form (Al3+) can compete with the hydrogen cationic form (H+) at low pH [38]. An accumulation of VFA was also observed with an increase in acetate concentration from 833 mg/L in the control to 1193 mg/L at 608 mg Al/L addition. VFA accumulation due to aluminium addition has been previously reported [39]. Nevertheless, the experiment with pH control resulted in 42% less biogas at 608 mg Al/L than that of the control unit, suggesting a combined inhibition due to aluminium and acidification in ADs dosed with aluminium sulphate and without pH correction. This synergistic effect could be confirmed when looking at the 84 and 86% reduction in biogas yield in ADs operated at pH 5 and 4.5 without aluminium addition, as its impact is lower than what was observed in aluminium dosed units with pH of 5.3, where toxicity was complete and resulted in negative biogas yields.
Nitrate
Increasing levels of nitrate by dosing sodium nitrate resulted in an initial decrease in both biogas and methane performance, followed by an increase in yields reaching similar production to that of the control reactors at the maximum concentration studied of 427 mg NO3/L (Figure 4i). The 15% methane inhibition observed at 332 mg NO3/L was similar to the 14% at that concentration reported by Tugtas and Pavlostathis [15]. The lowest point was at 174 mg NO3/L with 20% inhibition in biogas yield with 606 mL/g VS and 24% inhibition of methane yield with 411 mL/g VS (Figure 4i). The change of yield performance with nitrate addition might be related to the accumulation of butyrate at the end of the experiment: >0.1 mg butyrate/L in the control against 113 mg butyrate/L at 254 mg NO3/L, 118 mg butyrate/L at 332 mg NO3/L and 135 mg butyrate/L at 427 mg NO3/L. The accumulation of butyrate might result from the accumulation of hydrogen caused by the inhibition of hydrogen consumers by nitrate, as hydrogen has been seen to inhibit butyrate degradation [40,41]. Kluber and Conrad [40] found a 50% inhibition at 186 mg NO3/L (3 mM) using Methanosarcina barkeri, which is double the inhibition at 174 mg NO3/L observed in the current study, and at 1550 mg NO3/L (25 mM) using Methanobacterium bryantii fed by hydrogen.
Arsenic and Mercury
With mercury, the biogas yield was mostly similar to that of the control units except for an increase of 17 and 13% in biogas yield above the control value of 754 mL/g VS at 239 and 495 mg Hg/L. However, the methane yield was constant at about 570 mL/g VS between 0.027 and 920 mg Hg/L (Figure 4j). Comparison with previous literature shows that 500 mg/L of mercury decreased by 90% the biogas production when a continuously fed system was spiked once with mercury [42]. The lower inhibition observed in the current research as compared with values reported in the literature could result from the low solubility of mercury sulphate, which could precipitate in the reactor or adsorb on the sludge, reducing its bio-availability [43] as its concentration was reduced below 0.1 mg Hg/L at the end of the current experiment for all the concentrations studied.
Arsenate experiments had similar biogas and methane yields throughout the experiments from 0.02 to 16 mg As/L by adding sodium arsenate (Figure 4k). Field et al. observed a competition for the organics between arsenate reducers and methanogens at a concentration lower than 150 mg As/L of arsenate [44]. A mechanism that might reduce the toxicity of arsenate is precipitation with sulphur compounds [43,44]. Nonetheless, in previous experiments, a value of 960 mg SO4/L (10 mM SO4), which is higher than the concentration in this experiment of 34 mg SO4/L, did not show precipitation with sulphate when pH was close to neutral [44].
Counter-Ion Effect
As commented in the previous sections, there are differences between the experiments using chloride or sulphate as counter-ions. The TAN experiments showed a higher methane inhibition, 32%, using ammonium sulphate at 3405 mg N/L than for ammonium chloride at 5162 mg N/L, 15%. In contrast, the FAN levels for those experiments showed a similar inhibition with ammonium sulphate and ammonium chloride at 255 mg N/L, decreasing methane yield around 12% (Figure 4a,b). Zinc chloride presented a constant production of biogas and methane between 3 and 87 mg/L, in contrast with the decreasing trend resulting from zinc sulphate from 2 to 112 mg Zn/L. Nonetheless, the ratios of yields for biogas and methane were lower in the zinc chloride, close to 1, than the ratio using zinc sulphate, which decreased from 4 to 2 (Figure 4c). The copper sulphate ratios of biogas and methane yields were close to 1, exhibiting a better performance than copper chloride experiments that showed a decrease of performance to less than half that of the control (Figure 4d). This difference could be because copper sulphate’s solubility, 22.2% in weight, is lower than copper chloride’s solubility, 44.8% in weight at 40 °C [45], precipitating a portion of copper. Additionally, the higher content of zinc in the experiment using copper sulphate could have competed with copper for transport into the cells, reducing its toxicity [33]. Aluminium chloride addition decreased pH more than similar concentrations using aluminium sulphate because of the formation of hydrochloric acid when aluminium chloride is mixed in water [46] (Figure 4e,f). At 771 mg Al/L, aluminium sulphate showed a better performance of biogas and methane yields; 402 mL biogas/g VS with a ratio of 0.7 over the control and 241 mL methane/g VS with a ratio of 0.5 over the control; while aluminium chloride at 760 mg Al/L showed a toxic effect (Figure 4e,f). For sodium salts concentrations ranged between 3360 and 4054 mg Na/L, there was an increase in biogas yield of 14% and similar methane yield than that of the control at 3915 mg Na/L using sodium chloride, while sodium sulphate decreased the biogas and methane yields by 8 and 16%, respectively, at 4054 mg Na/L. In the current study, there was a decrease of 16% in methane yield at 1466 mg SO42−/L. Jeong et al. observed 33% reduction in methane production at 1500 mg SO42−/L [47]. Addition of chloride up to 4535 mg Cl/L decreased methane yield by only 6%. Vijayaraghavan et al. found a decreasing trend from the optimum when chloride was added above 5500 mg Cl/L [48].
Therefore, there was an effect of the counter-ion in the experiments. Ammonia and sodium had a synergistic effect with sulphate, while zinc, copper and aluminium had a synergistic effect with chloride. Previous studies have found a different effect for chloride salts than sulphate salts in soil bacteria because of different inhibitory mechanisms of chloride and sulphate. Chloride can affect some enzymes, such as phosphoenolpyruvate carboxylase, glutathione reductase and ribulose biphosphate carboxylase, and it can inhibit protein synthesis by preventing the binding of ribosomes to mRNA [49,50]. Meanwhile, sulphate can be metabolised by some bacteria, competing with the methanogens for the substrate [17]. Sulphate addition has an effect on sulphate-reducing bacteria that can be inhibited by some of the elements studied. Therefore, the negative impact on sulphate reducing species will have a beneficial effect on methanogens, because they are competitors. For these reasons, the use of similar counter-ions is important when various cations are compared, and the concentration of chloride and sulphate might be an important parameter in the limit set for a cation in AD reactors.
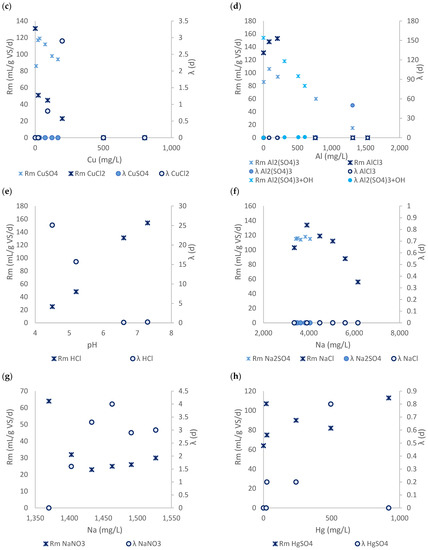
3.2.2. Kinetics
A standard first-order model and the Gompertz model were utilised to analyse the kinetic data of biogas formation in the BMPs previously described. The first-order model gives a good approximation for substrates that contain easily hydrolysable organic content without inhibition in the form of a lag phase [51]. Instead, Gompertz accounts for any lag phase, leading to a better fit of the data if samples are inhibitory for the process or present a delayed degradation [51,52]. In general, the Gompertz model showed a better fit for the data in this study than first-order kinetics, as confirmed by r2 and RMSEn values (see Figure 5 and Supplementary Materials Table S3).


Figure 5.
Results from Gompertz model for the biogas formation kinetics on the BMP experiments where TAN was increased adding ammonium sulphate and ammonium chloride (a), zinc was added as zinc sulphate and zinc chloride (b), copper was added as copper sulphate and copper chloride (c), aluminium was added with aluminium sulphate, aluminium chloride, and aluminium sulphate plus sodium hydroxide (d), pH was modified using hydrochloric acid (e), sodium was added as sodium sulphate, sodium chloride (f), and sodium nitrate (g), mercury was added as mercury sulphate (h), and arsenic was added as sodium arsenate (i).
The faster biogas formation kinetics of ammonium sulphate dosed reactors compared to ammonium chloride dosed units is notable in the Gompertz model results. The lag phase was found to increase from 2 up to 9 d when TAN was between 2946 and 5162 mg N/L using ammonium chloride, while ammonium sulphate showed a much smaller lag phase, 0.1 d, at 3405 mg N/L of TAN. A higher maximum Rm was also obtained at 1602 mg N/L of TAN of ammonium sulphate, 150 mL biogas/g VS/d, than in the ammonium chloride experiment, 98 mL biogas/g VS/d, at 586 mg/L of TAN (Figure 5). Therefore, despite the biogas yield being similar to that of the control for most of the concentrations of ammonium chloride, except for 5162 mg N/L, there was a kinetic inhibition in the shape of a delayed biogas formation between 2946 and 5162 mg N/L (Figure 5). In contrast, ammonium sulphate resulted in a decrease in biogas yield from a concentration of 1764 mg N/L, with kinetic inhibition resulting in a lag phase noticeable only at 3405 mg N/L (Figure 5). Therefore, the inhibition of kinetic parameters for ammonium starts at values close to or above 3000 mg N/L for both salts. These data showed that ammonia might not be important in kinetic inhibition, but it was the counter-ion which was responsible for the observed lag phase or a synergistic effect between ammonium and chloride.
Zinc exerted a different behaviour with different counter-ions that differed from what was observed with the ammonium salts. The lag phase in the Gompertz model observed in the control reactors, 4.5 d, decreased to 1.4 d and 2 d when zinc sulphate was added between 2 and 112 mg Zn/L, respectively, with a later increase reaching a value of 21.4 d at a concentration of 760 mg Zn/L (Figure 5). This contrasts with the results reported by Atlaş [22] that showed an increase of the length of the lag phase when zinc was increased from 4 to 62 mg Zn/L, while in this study the zinc had to be increased up to 476 mg Zn/L to observe a longer lag phase than the control value of 7.9 d. The Rm value from the Gompertz model increased to 80 mL biogas/g VS/d when zinc sulphate was added up to 7 mg Zn/L (Figure 5). Zinc chloride did not result in any lag phase between 10 and 87 mg Zn/L. Therefore, zinc kinetic inhibition is enhanced by sulphate. In contrast with the yield results, kinetics were faster in the experiments using zinc chloride rather than for zinc sulphate. Moreover, the effect of chloride and sulphate was reversed to what was found for ammonia. Therefore, the cause of the inhibition might not be one ion or the other, but the synergistic effect of both ions or other components in the sludge on the kinetic parameters.
Copper sulphate at 32 mg Cu/L improved the substrate degradation rate, as evidenced by a 38% increase in Rm from the Gompertz model (Figure 5). No lag phase was observed within the concentrations studied which, combined with the lack of impact on biogas and methane yields, suggest that copper within 7 and 167 mg Cu/L using sulphate is not inhibitory for the digestion of sewage sludge and can indeed accelerate gas formation. The control from the experiment was faster than when copper chloride was dosed as Rm from the Gompertz model, which produced the highest values in the experiment, 131 mL biogas/g VS/d (Figure 5). Additionally, copper chloride led to a lag phase equal to 3 d at 198 mg Cu/L, while copper sulphate did not show any lag phase at a similar concentration. It was hence concluded that any inhibition in copper chloride reactors was attributable to the chloride counter-ion and not the copper itself.
Aluminium sulphate dosing resulted in a positive impact at a dose of 85 mg Al/L, as the Gompertz model showed a 23% increase on Rm up to 106 mL biogas/g VS/d (Figure 5). A further increase of aluminium sulphate, up to 771 mg Al/L, increased the lag phase to 0.7 d, impacting substrate degradation rate. The aluminium chloride maximum kh from the first kinetic model was 0.49 d−1 at 82 mg Al/L with an increase of 19% from the control, and a maximum Rm from Gompertz model at 204 mg Al/L, increasing by 17% from the control (see Figure 5 and Supplementary Materials Table S3). Aluminium addition using aluminium sulphate with sodium hydroxide increased λ from 0.2 d in the control to 1.2 d at 607 mg Al/L (Figure 5). A decrease in pH alone increased λ from 0.2 d to 25.1 d, evidencing the need for the microbial communities to recover from the initial acidic conditions (Figure 5). Both salts alone triggered a decrease in pH, but aluminium chloride did not show any λ despite the lag phase observed when decreasing the pH alone, suggesting that pH alone did not affect the lag phase increase. The similarities between the lag phase data at 771 mg Al/L in the experiments of aluminium sulphate without pH control, and 607 mg Al/L in the experiment of aluminium sulphate with adjusted pH, suggest a higher effect of aluminium in those experiments. It can be concluded that the difference in synergistic and antagonistic effects between the salt ions and the pH decreases because the salt addition is the cause of the different behaviour between aluminium sulphate and aluminium chloride and the reason for the lag phase.
Sodium nitrate impacted process kinetics when dosed, resulting in a λ of 4 d at 1463 mg Na/L and 254 mg NO3/L (Figure 5), which also matched a decrease of 15% in biogas yield (Figure 4i). In contrast to what was observed in the yield, the lag phase did not reduce to the values of the control, reaching 3 d at 1527 mg Na/L and 427 mg NO3/L. Therefore, nitrate concentrations above 92 mg NO3/L require time to acclimatise, which could be associated with a shift in the microbial population as commented in the previous section.
Sodium experiments using chloride and sulphate as counter-ions achieved a faster biogas production at 3915 and 3846 mg Na/L, and 1066 mg Cl/L and 1032 mg SO4/L, respectively. First-order kinetics for sodium chloride and sodium sulphate showed an increase of kh of 24% and 48% from the control, respectively (see Supplementary Materials Table S3). This suggested better substrate degradation when sulphate was used as a counter-ion. In contrast, the Gompertz model parameter Rm increased by 30 and 14% respectively from the control (Figure 5). Sodium sulphate data fitted better on the first-order kinetics between 3499 and 4054 mg Na/L than in the Gompertz model, suggesting a lack of lag phase, while sodium chloride fitted better in the Gompertz model. Despite the small differences, there were no clear differences between the use of chloride and sulphate as counter-ions and using sodium.
Mercury addition improved the speed of biogas conversion when it was added up to 920 mg/L, increasing Rm from the Gompertz model by 77% from the control. An increase of λ occurred at 495 mg/L up to 0.8 d, showing a slight inhibition. Sodium arsenate affected the kinetic parameters more, resulting in a λ of 2 d when arsenic was added up to 17 mg/L, in contrast to what was observed in the yield, which remained similar to that of the control for every concentration tested (Figure 5). This could mean that at the concentration of 17 mg As/L there was a slight inhibition and an acclimation of the microorganisms, or a competition between the arsenate reducers and the methanogens for the organic substrate [44]. Therefore, despite no inhibitory effect on the yield, there might be an inhibitory effect on the kinetics of AD due to the competition between arsenate reducers and methanogens [43,44].
In general, speed of biogas formation using chloride differed from that using sulphate, which differs from the results obtained in the previous section for yields. Ammonium chloride and sodium arsenate exhibited a lag phase despite having similar yields to the control. Zinc sulphate and sodium nitrate showed a slower biogas formation than the control for concentrations that resulted in similar or greater yields than the control reactors. Aluminium sulphate, copper sulphate and ammonium sulphate showed decreasing trends in the yield and kinetics. There is a difference between the impact on gas formation kinetics of the ion studied depending on the counter-ion used, as was observed with sulphate and chloride. The difference in kinetics parameters might be caused by an interaction of the two ions in the salt rather than the separate effect of one of them.
3.3. Potential for Co-Digestion of Trade Wastes
One of the objectives was to establish the loads of each type of TW that can be added to sludge anaerobic digesters without hindering methane production. A preliminary understanding of the maximum TW loads that can be co-digested optimally in sewage sludge ADs can be obtained with results from the inhibition tests in BMPs, summarised in Table 3, and information on the characterisation of TWs obtained from the database. To understand the impact of adding TWs in different loads, scenarios considering different volume ratios of TWs to sewage sludge were evaluated: 0/100, 10/90, 30/70, 50/50, 70/30, 90/10 and 100/0. The concentrations of individual constituents calculated for those scenarios were then compared with the BMP inhibition and toxicity values to obtain Figure 6.
Table 3.
Summary of concentration ranges impacting AD of sewage sludge obtained from BMP tests.
Figure 6.
Percentage of TWs considered from the database (total of 160) that could result in a negative effect (inhibition or toxicity) if co-digested with sewage sludge, depending on the TWs/sewage sludge volume ratio.
Ammonia, aluminium, zinc, copper, chloride, nitrate, sulphate and arsenic showed a high number of TWs with a potentially negative effect on sewage sludge AD, with the number of potentially inhibitory TWs increasing when TW loads to the reactor were increased. In a scenario with only TWs fed to the ADs (TWs/sludge volume ratio of 100/0) 2, 4, 1, 7, 16, 4, 32 and 1% of the TWs studied were regarded as potentially inhibitory when considering calculated concentrations of ammonia, aluminium, zinc, copper, chloride, nitrate, sulphate and arsenic, respectively (Figure 6). The only element that did not show any effect at any volume ratio was mercury (Figure 6).
Sulphate and chloride constituted the largest risk of inhibition, with 7 and 4% of the TWs resulting in inhibitory calculated concentrations in a 10/90 scenario and 32 and 16% in a 100/0 scenario for sulphate and chloride, respectively (Figure 6). These two constituents showed potential to inhibit methane yield by up to 25% at the studied concentrations (Figure 2). Ammonia, aluminium, zinc and copper all led to a less pronounced increase in the proportion of TWs with potential to have a negative effect by those constituents as the TW/sludge volume ratio was increased (Figure 6). They also showed a higher methane yield inhibition at the concentrations studied with potential for 32, 39, 100 and 100% methane reduction, respectively (Figure 2).
Overall, a volume ratio of 10/90 TWs and sewage sludge (calculated as per Section 2.5) was estimated to be the best volume ratio for co-digestion considering all the ions studied and typical concentrations encountered in real TWs (Figure 6). Most of the constituents in TWs remain below the inhibitory levels obtained in BMP tests at this volume ratio, with only 13.7% of all the TWs studied presenting a potential for inhibition. Chemical TWs showed inhibition in 7 cases for sulphate, 3 for chloride, 3 for copper and 2 for nitrate. Glycerol/beverage/alcohol wastes showed inhibition from sulphate, chloride and nitrate for 7, 1 and 1 of them, respectively. An oil containing TW showed inhibition for zinc and sulphate. Chloride inhibition was also found in one of the food TWs. Finally, chloride and sulphate inhibitory effects were observed in 1 and 2 landfill leachates, respectively. Moreover, there were constituents such as ammonia, aluminium, arsenic and mercury that did not show any inhibitory effect at that volume ratio. The average spare capacity in wastewater treatment plants digesters has been reported as 30%, which could be an opportunity for Aco-D with TWs up to this volume ratio [53]. An increase in TW in the feed to ADs from a volume ratio of 10 to 30% can, however, significantly impact the process. To illustrate, for a scenario with 10% of TWs in the feedstock, 1% of the TWs investigated constitute a risk of zinc inhibition, but a scenario with 30% of TWs showed 1% of the TWs considered could be completely toxic for the digestion process (Supplementary Materials Figure S1a,b). Therefore, further investigation in continuous experiments of the impact of the preferred TW/sludge volume ratio (10/90) and the volume ratio representing site spare capacity (30/70) is paramount to understand whether acclimation of microbial communities not observable in batch ADs could occur.
4. Conclusions
TW characterisation and BMP tests give an insight into the opportunities for Aco-D of sludge and TWs. Within the 160 TWs studied, the key constituents identified as potentially inhibitory (yield or lag phase) or toxic were ammonia, chloride, nitrate, sulphate, aluminium, copper, zinc, arsenic and mercury. Co-digestion with TWs as 10% of the feedstock volume in sewage sludge digesters can result in significant biogas uplifts, although inhibition would be expected for 13.7% of the TWs investigated, which requires further investigation of potential for microbial acclimation in continuous experiments. Those inhibitory TWs were 15, 9, 3, 1 and 1 TWs from chemical, glycerol/beverage/alcohol, landfill leachate, oil-containing, and food groups, respectively. Further work is recommended to investigate variability in composition of individual TWs and their impact on consistently sustaining biogas uplifts.
5. Disclaimer
This study was completed in cooperation with Severn Trent to gain a more in-depth understanding of co-digestion at a scientific and technical level. At the date of releasing the paper, Severn Trent did not co-digest materials with sewage sludge.
Supplementary Materials
The following supporting information can be downloaded at: https://www.mdpi.com/article/10.3390/pr11020519/s1, Table S1. Concentrations and impact of AD inhibitors reported in the literature; Table S2. Statistics of the biogas and methane yield using ANOVA compared with the control test; Table S3. Results from first-order and Gompertz model for the biogas formation kinetics of the BMP experiments; Figure S1. Percentage of TWs within the 160 studied that will have beneficial, non-effect, yield inhibition, kinetic inhibition, toxic or unknown impacts if dosed to sewage sludge anaerobic digesters as 10% of the feedstock (a) or 30% of the feedstock (%) (b). References [54,55,56,57,58,59,60,61,62,63,64,65,66,67,68,69,70,71,72] are listed in Supplementary Materials.
Author Contributions
Conceptualisation, O.B.d.F., M.P. and Y.B.F.; methodology, O.B.d.F., M.P. and Y.B.F.; formal analysis, O.B.d.F. and M.G.; writing—original draft preparation, O.B.d.F.; writing—review and editing, O.B.d.F., M.P. and Y.B.F.; supervision, M.P. and Y.B.F.; project administration, M.P. and Y.B.F.; funding acquisition, M.P. and Y.B.F. All authors have read and agreed to the published version of the manuscript.
Funding
This work was undertaken during O. Berzal de Frutos’s Ph.D. research at Cranfield University, funded by Severn Trent.
Data Availability Statement
All relevant data are provided within the manuscript or as Supplementary Materials.
Conflicts of Interest
The authors declare no conflict of interest.
References
- Berenjkar, P.; Islam, M.; Yuan, Q. Co-treatment of sewage sludge and mature landfill leachate by anaerobic digestion. Int. J. Environ. Sci. Technol. 2019, 16, 2465–2474. [Google Scholar] [CrossRef]
- Cardona, L.; Levrard, C.; Guenne, A.; Chapleur, O.; Mazéas, L. Co-digestion of wastewater sludge: Choosing the optimal blend. Waste Manag. 2019, 87, 772–781. [Google Scholar] [CrossRef] [PubMed]
- Maragkaki, A.E.; Fountoulakis, M.; Gypakis, A.; Kyriakou, A.; Lasaridi, K.; Manios, T. Pilot-scale anaerobic co-digestion of sewage sludge with agro-industrial by-products for increased biogas production of existing digesters at wastewater treatment plants. Waste Manag. 2017, 59, 362–370. [Google Scholar] [CrossRef] [PubMed]
- Tchobanoglous, G.; Burton, F.L.; Stensel, H.D. Wastewater Engineering Treatment and Reuse, 4th ed.; Metcalf & Eddy, Inc.: McGraw Hill, NY, USA, 1991. [Google Scholar]
- Silvestre, G.; Rodríguez-Abalde, A.; Fernández, B.; Flotats, X.; Bonmatí, A. Biomass adaptation over anaerobic co-digestion of sewage sludge and trapped grease waste. Bioresour. Technol. 2011, 102, 6830–6836. [Google Scholar] [CrossRef]
- Wang, N.; Zheng, T.; Ma, Y. New insights into the co-locating concept on synergistic co-digestion of sewage sludge and food waste towards energy self-sufficient in future WWTPs. Bioresour. Technol. Rep. 2020, 10, 100351. [Google Scholar] [CrossRef]
- Nielfa, A.; Cano, R.; Fdz-Polanco, M. Theoretical methane production generated by the co-digestion of organic fraction municipal solid waste and biological sludge. Biotechnol. Rep. 2015, 5 (Suppl. C), 14–21. [Google Scholar] [CrossRef]
- Bai, X.; Chen, Y.-C. Synergistic effect and supernatant nitrogen reduction from anaerobic co-digestion of sewage sludge and pig manure. Bioresour. Technol. Rep. 2020, 10, 100424. [Google Scholar] [CrossRef]
- Hagelqvist, A. Batchwise mesophilic anaerobic co-digestion of secondary sludge from pulp and paper industry and municipal sewage sludge. Waste Manag. 2013, 33, 820–824. [Google Scholar] [CrossRef]
- Siddique, M.N.I.; Munaim, M.S.A.; Wahid, Z.B.A. The combined effect of ultrasonic and microwave pre-treatment on bio-methane generation from co-digestion of petrochemical wastewater. J. Clean. Prod. 2017, 145, 303–309. [Google Scholar] [CrossRef]
- Koster, I.W.; Lettinga, G. Anaerobic digestion at extreme ammonia concentrations. Biol. Wastes 1988, 25, 51–59. [Google Scholar] [CrossRef]
- Gai, H.; Jiang, Y.; Qian, Y.; Kraslawski, A. Conceptual design and retrofitting of the coal-gasification wastewater treatment process. Chem. Eng. J. 2008, 138, 84–94. [Google Scholar] [CrossRef]
- Boardman, G.D.; McVeigh, P.J. Use of UASB technology to treat crab processing wastewaters. J. Environ. Eng. 1997, 123, 776. [Google Scholar] [CrossRef]
- Czerwionka, K.; Makinia, J.; Kaszubowska, M.; Majtacz, J.; Angowski, M. Distillery wastes as external carbon sources for denitrification in municipal wastewater treatment plants. Water Sci. Technol. 2012, 65, 1583–1590. [Google Scholar] [CrossRef]
- Tugtas, A.E.; Pavlostathis, S.G. Inhibitory effects of nitrogen oxides on a mixed methanogenic culture. Biotechnol. Bioeng. 2007, 96, 444–455. [Google Scholar] [CrossRef]
- Glanpracha, N.; Annachhatre, A.P. Anaerobic co-digestion of cyanide containing cassava pulp with pig manure. Bioresour. Technol. 2016, 214, 112–121. [Google Scholar] [CrossRef]
- Hu, Y.; Jing, Z.; Sudo, Y.; Niu, Q.; Du, J.; Wu, J.; Li, Y.-Y. Effect of influent COD/SO42− ratios on UASB treatment of a synthetic sulfate-containing wastewater. Chemosphere 2015, 130, 24–33. [Google Scholar] [CrossRef]
- Soto, M.; Méndez, R.; Lema, J.M. Sodium inhibition and sulphate reduction in the anaerobic treatment of mussel processing wastewaters. J. Chem. Technol. Biotechnol. 1993, 58, 1–7. [Google Scholar] [CrossRef]
- Astals, S.; Koch, K.; Weinrich, S.; Hafner, S.D.; Tait, S.; Peces, M. Impact of storage conditions on the methanogenic activity of anaerobic digestion inocula. Water 2020, 12, 1321. [Google Scholar] [CrossRef]
- Holliger, C.; Fruteau de Laclos, H.; Hafner, S.D.; Koch, K.; Weinrich, S.; Astals, S.; Alves, M.; Andrade, D.; Angelidaki, I.; Appels, L.; et al. Requirements for Measurement and Validation of Biochemical Methane Potential (BMP): Standard BMP Methods Document 100, Version 1.4. 2020. Available online: https://www.dbfz.de/en/BMP (accessed on 19 April 2020).
- Bhattarai, S.; Oh, J.-H.; Euh, S.-H.; Krishna Kafle, G.; Hyun Kim, D. Simulation and model validation of sheet and tube type photovoltaic thermal solar system and conventional solar collecting system in transient states. Sol. Energy Mater. Sol. Cells 2012, 103, 184–193. [Google Scholar] [CrossRef]
- Altaş, L. Inhibitory effect of heavy metals on methane-producing anaerobic granular sludge. J. Hazard. Mater. 2009, 162, 1551–1556. [Google Scholar] [CrossRef]
- Rajagopal, R.; Massé, D.I.; Singh, G. A critical review on inhibition of anaerobic digestion process by excess ammonia. Bioresour. Technol. 2013, 143, 632–641. [Google Scholar] [CrossRef] [PubMed]
- Fang, C.; Boe, K.; Angelidaki, I. Anaerobic co-digestion of desugared molasses with cow manure; focusing on sodium and potassium inhibition. Bioresour. Technol. 2011, 102, 1005–1011. [Google Scholar] [CrossRef] [PubMed]
- van Houten, R.T.; Lettinga, G. Biological sulphate reduction with synthesis gas: Microbiology and technology. In Progress in Biotechnology; Wijffels, R.H., Buitelaar, R., Bucke, C., Tramper, J., Eds.; Elsevier: Amsterdam, The Netherlands, 1996; Volume 11, pp. 793–799. [Google Scholar] [CrossRef]
- Bajón Fernández, Y.; Soares, A.; Vale, P.; Koch, K.; Masse, A.L.; Cartmell, E. Enhancing the anaerobic digestion process through carbon dioxide enrichment: Initial insights into mechanisms of utilization. Environ. Technol. 2019, 40, 1744–1755. [Google Scholar] [CrossRef]
- Fotidis, I.A.; Karakashev, D.; Kotsopoulos, T.A.; Martzopoulos, G.G.; Angelidaki, I. Effect of ammonium and acetate on methanogenic pathway and methanogenic community composition. FEMS Microbiol. Ecol. 2013, 83, 38–48. [Google Scholar] [CrossRef]
- Ng, W.J. Industrial Wastewater Treatment; Imperial College Press: London, UK, 2006. [Google Scholar]
- Borja, R.; Sánchez, E.; Weiland, P. Influence of ammonia concentration on thermophilic anaerobic digestion of cattle manure in upflow anaerobic sludge blanket (UASB) reactors. Process. Biochem. 1996, 31, 477–483. [Google Scholar] [CrossRef]
- Bujoczek, G.; Oleszkiewicz, J.; Sparling, R.; Cenkowski, S. High Solid Anaerobic Digestion of Chicken Manure. J. Agric. Eng. Res. 2000, 76, 51–60. [Google Scholar] [CrossRef]
- Angelidaki, I.; Ahring, B.K. Thermophilic anaerobic digestion of livestock waste: The effect of ammonia. Appl. Microbiol. Biotechnol. 1993, 38, 560–564. [Google Scholar] [CrossRef]
- Angelidaki, I.; Ahring, B.K. Anaerobic thermophilic digestion of manure at different ammonia loads: Effect of temperature. Water Res. 1994, 28, 727–731. [Google Scholar] [CrossRef]
- Abdel Azim, A.; Rittmann, S.K.-M.R.; Fino, D.; Bochmann, G. The physiological effect of heavy metals and volatile fatty acids on Methanococcus maripaludis S2. Biotechnol. Biofuels 2018, 11, 301. [Google Scholar] [CrossRef]
- Shakeri Yekta, S.; Svensson, B.H.; Björn, A.; Skyllberg, U. Thermodynamic modeling of iron and trace metal solubility and speciation under sulfidic and ferruginous conditions in full scale continuous stirred tank biogas reactors. Appl. Geochem. 2014, 47, 61–73. [Google Scholar] [CrossRef]
- Gonzalez-Silva, B.M.; Briones-Gallardo, R.; Razo-Flores, E.; Celis, L.B. Inhibition of sulfate reduction by iron, cadmium and sulfide in granular sludge. J. Hazard. Mater. 2009, 172, 400–407. [Google Scholar] [CrossRef]
- Ahring, B.K.; Westermann, P. Sensitivity of thermophilic methanogenic bacteria to heavy metals. Curr. Microbiol. 1985, 12, 273–276. [Google Scholar] [CrossRef]
- Yue, Z.-B.; Yu, H.-Q.; Wang, Z.-L. Anaerobic digestion of cattail with rumen culture in the presence of heavy metals. Bioresour. Technol. 2007, 98, 781–786. [Google Scholar] [CrossRef]
- Amonette, J.E.; Russell, C.K.; Carosino, K.A.; Robinson, N.L.; Ho, J.T. Toxicity of Al to Desulfovibrio desulfuricans. Appl. Environ. Microbiol. 2003, 69, 4057–4066. [Google Scholar] [CrossRef]
- Cabirol, N.; Barragán, E.J.; Durán, A.; Noyola, A. Effect of aluminium and sulphate on anaerobic digestion of sludge from wastewater enhanced primary treatment. Water Sci. Technol. 2003, 48, 235–240. [Google Scholar] [CrossRef]
- Klüber, H.D.; Conrad, R. Inhibitory effects of nitrate, nitrite, NO and N2O on methanogenesis by Methanosarcina barkeri and Methanobacterium bryantii. FEMS Microbiol. Ecol. 1998, 25, 331–339. [Google Scholar] [CrossRef]
- Schmidt, J.E.; Ahring, B.K. Effects of hydrogen and formate on the degradation of propionate and butyrate in thermophilic granules from an upflow anaerobic sludge blanket reactor. Appl. Environ. Microbiol. 1993, 59, 2546–2551. [Google Scholar] [CrossRef]
- Abdel-Shafy, H.I.; Mansour, M.S.M. Biogas production as affected by heavy metals in the anaerobic digestion of sludge. Egypt. J. Pet. 2014, 23, 409–417. [Google Scholar] [CrossRef]
- Stasinakis, A.S.; Thomaidis, N.S. Fate and Biotransformation of Metal and Metalloid Species in Biological Wastewater Treatment Processes. Crit. Rev. Environ. Sci. Technol. 2010, 40, 307–364. [Google Scholar] [CrossRef]
- Field, J.A.; Sierra-Alvarez, R.; Cortinas, I.; Feijoo, G.; Moreira, M.T.; Kopplin, M.; Gandolfi, A.J. Facile Reduction of Arsenate in Methanogenic Sludge. Biodegradation 2004, 15, 185–196. [Google Scholar] [CrossRef]
- Haynes, W.M.; Lide, D.R.; Bruno, T.J. CRC Handbook of Chemistry and Physics; CRC Press: Boca Raton, FL, USA, 2017. [Google Scholar]
- Bratby, J. Coagulation and Flocculation in Water and Wastewater Treatment, 3rd ed.; IWA Publishing: London, UK, 2016; Available online: https://iwaponline.com/ebooks/book/286/Coagulation-and-Flocculation-in-Water-and (accessed on 15 September 2020).
- Jeong, T.-Y.; Chung, H.-K.; Yeom, S.H.; Choi, S.S. Analysis of methane production inhibition for treatment of sewage sludge containing sulfate using an anaerobic continuous degradation process. Korean, J. Chem. Eng. 2009, 26, 1319–1322. [Google Scholar] [CrossRef]
- Vijayaraghavan, K.; Ramanujam, T.K. Effect of chloride and condensable tannin in anaerobic degradation of tannery wastewaters. Bioprocess. Eng. 1999, 20, 499. [Google Scholar] [CrossRef]
- Rath, K.M.; Maheshwari, A.; Bengtson, P.; Rousk, J. Comparative Toxicities of Salts on Microbial Processes in Soil. Appl. Environ. Microbiol. 2016, 82, 2012–2020. [Google Scholar] [CrossRef] [PubMed]
- Serrano, R. Salt Tolerance in Plants and Microorganisms: Toxicity Targets and Defense Responses; Jeon, C., Ed.; Academic Press: Cambridge, MA, USA, 1996; Volume 165, pp. 1–52. [Google Scholar] [CrossRef]
- Ware, A.; Power, N. Modelling methane production kinetics of complex poultry slaughterhouse wastes using sigmoidal growth functions. Renew. Energy 2017, 104, 50–59. [Google Scholar] [CrossRef]
- Rocamora, I.; Wagland, S.T.; Villa, R.; Simpson, E.W.; Fernández, O.; Bajón-Fernández, Y. Use of Inoculum, Water and Percolate as Strategy to Avoid Inhibition on Dry-Batch Anaerobic Digestion of Organic Fraction of Municipal Solid Waste. Waste Biomass Valorization 2021, 13, 227–239. [Google Scholar] [CrossRef]
- Maragkaki, A.E.; Fountoulakis, M.; Kyriakou, A.; Lasaridi, K.; Manios, T. Boosting biogas production from sewage sludge by adding small amount of agro-industrial by-products and food waste residues. Waste Manag. 2018, 71, 605–611. [Google Scholar] [CrossRef]
- McCarty, P.L. Anaerobic waste treatment fundamentals. Public Work 1964, 95, 107–112. [Google Scholar]
- Nielsen, H.B.; Angelidaki, I. Strategies for optimizing recovery of the biogas process following ammonia inhibition. Bioresour. Technol. 2008, 99, 7995–8001. [Google Scholar] [CrossRef]
- Bhattacharya, S.K.; Parkin, G.F. The Effect of Ammonia on Methane Fermentation Processes. J. Water Pollut. Control. Fed. 1989, 61, 55–59. [Google Scholar]
- Akunna, J.C.; Bizeau, C.; Moletta, R. Nitrate reduction by anaerobic sludge using glucose at various nitrate concentrations: Ammonification, denitrification and methanogenic activities. Environ. Technol. 1994, 15, 41–49. [Google Scholar] [CrossRef]
- Yi, X.-H.; Wan, J.; Ma, Y.; Wang, Y.; Guan, Z.; Jing, D.-D. Structure and Succession of Bacterial Communities of the Granular Sludge during the Initial Stage of the Simultaneous Denitrification and Methanogenesis Process. Water Air Soil Pollut. 2017, 228, 1–21. [Google Scholar] [CrossRef]
- Clarens, M.; Bernet, N.; Delgenès, J.-P.; Moletta, R. Effects of nitrogen oxides and denitrification by Pseudomonas stutzeri on acetotrophic methanogenesis by Methanosarcina mazei. FEMS Microbiol. Ecol. 1998, 25, 271–276. [Google Scholar] [CrossRef]
- Borges, L.I.; López-Vazquez, C.M.; García, H.; van Lier, J.B. Nitrite reduction and methanogenesis in a single-stage UASB reactor. Water Sci. Technol. 2015, 72, 2236–2242. [Google Scholar] [CrossRef]
- Yan, G.; Wang, J.; Guo, S. Anaerobic Biochemical Treatment of Wastewater Containing Highly Concentrated Organic Cyanogen. Energy Sources Part A Recovery Util. Environ. Eff. 2007, 29, 529–535. [Google Scholar] [CrossRef]
- Gijzen, H.J.; Bernal, E.; Ferrer, H. Cyanide toxicity and cyanide degradation in anaerobic wastewater treatment. Water Res. 2000, 34, 2447–2454. [Google Scholar] [CrossRef]
- Li, C.; Fang, H.H.P. Inhibition of heavy metals on fermentative hydrogen production by granular sludge. Chemosphere 2007, 67, 668–673. [Google Scholar] [CrossRef]
- Yu, B.; Lou, Z.; Zhang, D.; Shan, A.; Yuan, H.; Zhu, N.; Zhang, K. Variations of organic matters and microbial community in thermophilic anaerobic digestion of waste activated sludge with the addition of ferric salts. Bioresour. Technol. 2015, 179, 291–298. [Google Scholar] [CrossRef]
- Van Bodegom, P.M.; Scholten, J.C.M.; Stams, A.J.M. Direct inhibition of methanogenesis by ferric iron. FEMS Microbiol. Ecol. 2004, 49, 261–268. [Google Scholar] [CrossRef]
- Colussi, I.; Cortesi, A.; Vedova LDella Gallo, V.; Robles, F.K.C. Start-up procedures and analysis of heavy metals inhibition on methanogenic activity in EGSB reactor. Bioresour. Technol. 2009, 100, 6290–6294. [Google Scholar] [CrossRef]
- Lin, C.-Y.; Shei, S.-H. Heavy metal effects on fermentative hydrogen production using natural mixed microflora. Int. J. Hydrogen Energy 2008, 33, 587–593. [Google Scholar] [CrossRef]
- O’Connor, O.A.; Young, L.Y. Toxicity and anaerobic biodegradability of substituted phenols under methanogenic conditions. Environ. Toxicol. Chem. 1989, 8, 853–862. [Google Scholar] [CrossRef]
- Hansen, K.H.; Angelidaki, I.; Ahring, B.K. Anaerobic digestion of swine manure: Inhibition by ammonia. Water Res. 1998, 32, 5–12. [Google Scholar] [CrossRef]
- Sierra-Alvarez, R.; Cortinas, I.; Yenal, U.; Field, J.A. Methanogenic Inhibition by Arsenic Compounds. Appl. Environ. Microbiol. 2004, 70, 5688–5691. [Google Scholar] [CrossRef] [PubMed]
- Lenz, M.; Janzen, N.; Lens, P.N.L. Selenium oxyanion inhibition of hydrogenotrophic and acetoclastic methanogenesis. Chemosphere 2008, 73, 383–388. [Google Scholar] [CrossRef]
- Ochoa-Herrera, V.; Banihani, Q.; León, G.; Khatri, C.; Field, J.A.; Sierra-Alvarez, R. Toxicity of fluoride to microorganisms in biological wastewater treatment systems. Water Res. 2009, 43, 3177–3186. [Google Scholar] [CrossRef]
Disclaimer/Publisher’s Note: The statements, opinions and data contained in all publications are solely those of the individual author(s) and contributor(s) and not of MDPI and/or the editor(s). MDPI and/or the editor(s) disclaim responsibility for any injury to people or property resulting from any ideas, methods, instructions or products referred to in the content. |
© 2023 by the authors. Licensee MDPI, Basel, Switzerland. This article is an open access article distributed under the terms and conditions of the Creative Commons Attribution (CC BY) license (https://creativecommons.org/licenses/by/4.0/).