Sign in to use this feature.

Years

Between: -

Subjects

remove_circle_outline
remove_circle_outline
remove_circle_outline
remove_circle_outline
remove_circle_outline
remove_circle_outline
remove_circle_outline
remove_circle_outline
remove_circle_outline

Journals

Article Types

Countries / Regions

Search Results (20)

Search Parameters:
Keywords = norms of reaction to temperature

Order results
Result details
Results per page
Select all
Export citation of selected articles as:
18 pages, 7468 KB  
Article
An Evaluation of the Efficacy of Four Currently Used Sheep Pox Vaccines Against a Contemporary Virulent Strain
by Irina Shumilova, Mohammad Abed Alhussen, Alena Krotova, Kseniya Shalina, Pavel Prutnikov, Svetlana Kononova, Olga Byadovskaya, Ilya Chvala, Larisa Prokhvatilova and Alexander Sprygin
Vaccines 2025, 13(12), 1243; https://doi.org/10.3390/vaccines13121243 - 15 Dec 2025
Viewed by 611
Abstract
Background/Objectives: Sheep pox, a highly contagious disease, is prevalent in Africa and Asia, with sporadic outbreaks in Europe, and inflicts tremendous economic losses. Vaccination represents the primary and most effective prevention method. The genetic diversity of circulating SPPV strains worldwide is poorly studied, [...] Read more.
Background/Objectives: Sheep pox, a highly contagious disease, is prevalent in Africa and Asia, with sporadic outbreaks in Europe, and inflicts tremendous economic losses. Vaccination represents the primary and most effective prevention method. The genetic diversity of circulating SPPV strains worldwide is poorly studied, and vaccine selection is typically guided by the availability of a particular vaccine. In this study, four sheep pox vaccines, including the RM65, KSGP 0240, KSGP ARRIAH, and NISKHI ARRIAH vaccines, were evaluated against a contemporary virulent strain circulating in Asia. Methods: The level of antibodies in the blood serum was determined using the ELISA and microneutralization assay. Blood samples and nasal swabs were obtained for PCR examination. Comprehensive clinical and postmortem pathological examinations were conducted. Results: The body temperature of all experimental animals remained within the physiological norm, with no clinical manifestations, local reactions, viremia, or necropsy pathological lesions, demonstrating the effectiveness and safety of the vaccines used against the contemporary virulent strain. Furthermore, immunization was associated with the formation of neutralizing and specific antibodies in all vaccinated groups post vaccination, with a significant increase in their levels after challenge, indicating a high level of immunogenicity. The NISKHI ARRIAH vaccine exhibited statistically significant superiority over the other vaccinated groups. However, the unvaccinated control group demonstrated post-challenge moderate-to-severe clinical signs, postmortem lesions, with high levels of virus shedding, and lower levels of neutralizing and specific antibodies, compared with the vaccinated groups. Conclusions: Our study results indicate that the experimental group immunized with the NISKHI ARRIAH vaccine exhibited the initial and most substantial immune response, maintaining the highest antibody levels on the 28th day after vaccination in comparison to the other studied vaccines. Full article
(This article belongs to the Section Veterinary Vaccines)
Show Figures

Figure 1

17 pages, 851 KB  
Article
Temperature Anomalies and Green Asset Market Responses
by Jennifer L. Choi and Jungsuk Kim
Sustainability 2025, 17(19), 8585; https://doi.org/10.3390/su17198585 - 24 Sep 2025
Viewed by 843
Abstract
Climate change has intensified in recent years, with one of its notable consequences being an increased frequency of extreme temperature events—manifesting as both excessively hot and cold days driven by temperature anomalies. In this study, we examine how daily temperature anomalies affect the [...] Read more.
Climate change has intensified in recent years, with one of its notable consequences being an increased frequency of extreme temperature events—manifesting as both excessively hot and cold days driven by temperature anomalies. In this study, we examine how daily temperature anomalies affect the market valuation of climate-aligned firms in the United States, relative to broader market trends. Using economic valuations of 33 publicly traded U.S. firms associated with renewable energy, electric vehicles, hydrogen fuel, and other sustainability-focused sectors from 2010 to 2024, we assess the effect of temperature anomalies aggregated at the national level, weighted by population, real gross state product, and gross domestic product. Our findings reveal that temperature anomalies—whether unusually warm or cold—are associated with a same-day increase in the financial performance of environmentally friendly firms, followed by a reversal the next day. This short-lived effect is driven primarily by days when temperatures deviate from historical norms but remain within the usual comfort range. When anomalies are large enough to create extreme conditions—pushing already hot days hotter or cold days colder—the pattern reverses: returns decline on the day of the anomaly and rebound the following day. These results are robust to controls for macroeconomic conditions, including the 10-year Treasury–Federal Funds Rate spread, 3-month Treasury–Federal Funds Rate spread, and crude oil prices. Together, the findings highlight the transitory nature of climate-related investor responses and show that market reactions depend on whether temperature shocks merely depart from historical norms or push conditions into genuinely extreme territory. Full article
(This article belongs to the Special Issue Development Economics and Sustainable Economic Growth)
Show Figures

Figure 1

19 pages, 1651 KB  
Article
Genetic Evaluation of Growth Traits in Black-Boned and Thai Native Synthetic Chickens Under Heat Stress
by Wootichai Kenchaiwong, Doungnapa Promket, Vatsana Sirisan, Vibuntita Chankitisakul, Srinuan Kananit and Wuttigrai Boonkum
Animals 2025, 15(15), 2314; https://doi.org/10.3390/ani15152314 - 7 Aug 2025
Viewed by 1084
Abstract
Heat stress is a critical constraint to poultry production in tropical regions, where the temperature–humidity index (THI) frequently exceeds thermoneutral thresholds. Despite growing interest in climate-resilient livestock, limited research has explored the genetic sensitivity of local chicken breeds to increasing THI levels. This [...] Read more.
Heat stress is a critical constraint to poultry production in tropical regions, where the temperature–humidity index (THI) frequently exceeds thermoneutral thresholds. Despite growing interest in climate-resilient livestock, limited research has explored the genetic sensitivity of local chicken breeds to increasing THI levels. This study aimed to evaluate the genetic effects of increasing THI on growth performance traits in two tropical chicken breeds. The data included body weight (BW), average daily gain (ADG), and absolute growth rate (AGR) from 4,745 black-boned and 3,001 Thai native synthetic chickens across five generations. Growth data were collected from hatching to 12 weeks of age, whereas temperature and humidity were continuously recorded to calculate daily THI values. A reaction norm model was used to estimate genetic parameters and rate of decline of BW, ADG, and AGR traits under varying THI thresholds (THI70 to THI80). Results indicated that the onset of heat stress occurred at THI72 for black-boned chickens and at THI76 for Thai native synthetic chickens. Heritability estimates for BW, ADG, and AGR decreased as the THI increased in both chicken breeds. However, the Thai native synthetic chickens consistently exhibited higher genetic potential across all THI levels (average heritability: BW = 0.28, ADG = 0.25, AGR = 0.36) compared to the black-boned chickens (average heritability: BW = 0.21, ADG = 0.15, AGR = 0.23). Under mild heat stress (THI72), black-boned chickens showed sharp declines in all traits (average reduction in BW = −10.9 g, ADG = −0.87 g/day, AGR = −3.20 g/week), whereas Thai native synthetic chickens maintained stable performance. At THI76, both breeds experienced significant reductions, particularly in males. Estimated breeding values (EBVs) for AGR decreased linearly with THI, though Thai native synthetic chickens showed greater individual variability, with some birds maintaining stable or positive EBVs up to THI80—suggesting the presence of heat-resilient genotypes. In conclusion, Thai native synthetic chickens demonstrated superior thermotolerance and genetic robustness under increasing THI conditions. The identification of breed-specific THI thresholds and resilient individuals provides novel insights for climate-smart poultry breeding. These findings offer valuable tools for genetic selection, environmental management, and long-term adaptation strategies in response to global climate change. Full article
(This article belongs to the Section Poultry)
Show Figures

Figure 1

21 pages, 2835 KB  
Article
Extensive Variation in Thermal Responses and Toxin Content Among 40 Strains of the Cold-Water Diatom Pseudo-nitzschia seriata—In a Global Warming Context
by Caroline Weber, Anna Junker Olesen, Robert G. Hatfield, Bernd Krock and Nina Lundholm
Toxins 2025, 17(5), 235; https://doi.org/10.3390/toxins17050235 - 9 May 2025
Cited by 1 | Viewed by 1434
Abstract
Phytoplankton are single-celled microorganisms with short generation times that may comprise high diversity in genetic and phenotypic traits, allowing them to acclimate to changes rapidly. High intraspecific genetic variation is well known in phytoplankton, but less is known about variation in physiological traits. [...] Read more.
Phytoplankton are single-celled microorganisms with short generation times that may comprise high diversity in genetic and phenotypic traits, allowing them to acclimate to changes rapidly. High intraspecific genetic variation is well known in phytoplankton, but less is known about variation in physiological traits. To investigate variability and plasticity in genetic, morphological, and physiological traits of the toxigenic diatom genus Pseudo-nitzschia in a global warming scenario, we exposed 40 strains of the cold-water P. seriata to different temperatures (2 °C, 6 °C and 10 °C). The maximum growth rate and cellular toxin content showed extensive intraspecific variation, whereas morphological and genetic variation was minor. Thermal reaction norms showed a general increase in growth rate with increasing temperature; however, three distinct types of thermal responses were found among the 40 strains. All 40 strains contained toxins (domoic acid) in both exponential and stationary growth phase, and toxin content increased significantly with temperature. Most strains (>87%) contained measurable levels of domoic acid at all three temperatures. In conclusion, P. seriata shows extensive intraspecific variation in measured physiological traits like growth and toxin content, a variation exceeding the response of each strain to increases in temperature. Intraspecific variation in harmful species thus needs attention for the future understanding of food web dynamics, as well as the management and forecasting of harmful blooms. Full article
Show Figures

Figure 1

22 pages, 3082 KB  
Article
Thermal Plasticity and Evolutionary Constraints in Bacillus: Implications for Climate Change Adaptation
by Enrique Hurtado-Bautista, Africa Islas-Robles, Gabriel Moreno-Hagelsieb and Gabriela Olmedo-Alvarez
Biology 2024, 13(12), 1088; https://doi.org/10.3390/biology13121088 - 23 Dec 2024
Cited by 3 | Viewed by 2392
Abstract
The ongoing rise in global temperatures poses significant challenges to ecosystems, particularly impacting bacterial communities that are central to biogeochemical cycles. The resilience of wild mesophilic bacteria to temperature increases of 2–4 °C remains poorly understood. In this study, we conducted experimental evolution [...] Read more.
The ongoing rise in global temperatures poses significant challenges to ecosystems, particularly impacting bacterial communities that are central to biogeochemical cycles. The resilience of wild mesophilic bacteria to temperature increases of 2–4 °C remains poorly understood. In this study, we conducted experimental evolution on six wild Bacillus strains from two lineages (Bacillus cereus and Bacillus subtilis) to examine their thermal adaptation strategies. We exposed the bacteria to gradually increasing temperatures to assess their thermal plasticity, focusing on the genetic mechanisms underlying adaptation. While B. subtilis lineages improved growth at highly critical temperatures, only one increased its thermal niche to 4 °C above their natural range. This finding is concerning given climate change projections. B. cereus strains exhibited higher mutation rates but were not able to grow at increasing temperatures, while B. subtilis required fewer genetic changes to increase heat tolerance, indicating distinct adaptive strategies. We observed convergent evolution in five evolved lines, with mutations in genes involved in c-di-AMP synthesis, which is crucial for potassium transport, implicating this chemical messenger for the first time in heat tolerance. These insights highlight the vulnerability of bacteria to climate change and underscore the importance of genetic background in shaping thermal adaptation. Full article
Show Figures

Figure 1

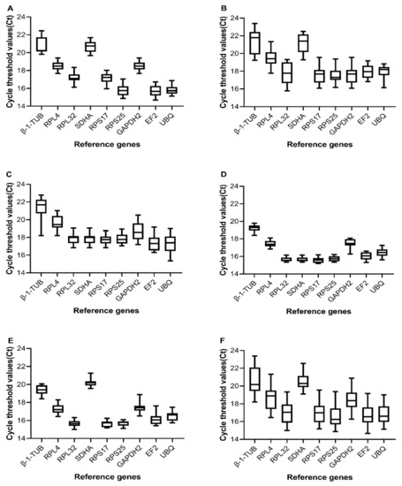
13 pages, 3721 KB  
Article
The Selection and Validation of Reference Genes for RT-qPCR Analysis of the Predatory Natural Enemy Orius nagaii (Hemiptera: Anthocoridae)
by Chengxing Wang, Zhenjuan Yin, Yu Wang, Yan Liu, Shan Zhao, Xiaoyan Dai, Ruijuan Wang, Long Su, Hao Chen, Li Zheng and Yifan Zhai
Insects 2024, 15(12), 936; https://doi.org/10.3390/insects15120936 - 28 Nov 2024
Viewed by 1774
Abstract
Orius nagaii is a highly effective natural enemy for controlling thrips, tetranychids, aphids, and various Lepidoptera pests. Nevertheless, the molecular mechanisms underlying its interactions with host pests remain unclear. Screening for optimal reference genes is a prerequisite for using reverse transcription–quantitative polymerase chain [...] Read more.
Orius nagaii is a highly effective natural enemy for controlling thrips, tetranychids, aphids, and various Lepidoptera pests. Nevertheless, the molecular mechanisms underlying its interactions with host pests remain unclear. Screening for optimal reference genes is a prerequisite for using reverse transcription–quantitative polymerase chain reaction (RT-qPCR) to investigate the interrelationship. Here, ten commonly used reference genes (Act, GAPDH, β-Tub, EF1-α, RPS10, RPS15, RPL6, RPL13, RPL32, and HSP90) were selected, and their expression stability across developmental stages, tissues, temperatures, and host conditions were evaluated using RefFinder, which uses multiple analytical approaches (NormFinder, geNorm, the ΔCt method, and BestKeeper). The findings suggested that the most reliable normalization can be achieved by selecting the two reference genes for all conditions, with the optimal pairs being RPS10 and RPL32 for the developmental stage, RPS10 and RPS15 for tissue, RPS10 and RPS15 for the host, and EF1-α and RPL13 for temperature. Also, the best and least stable reference genes were chosen to compare the relative transcript levels of the TBX1 in various tissues, which exhibited considerable variation. Our findings will significantly enhance the reliability of RT-qPCR and provide a foundation for further research on the expression patterns of crucial genes that are implicated in the interaction between O. nagaii and its host pests. Full article
(This article belongs to the Section Insect Molecular Biology and Genomics)
Show Figures

Figure 1

18 pages, 2805 KB  
Article
Functional Activity of the Antioxidant System of Artemisia Genus Plants in the Republic of Buryatia (Russia) and Its Significance in Plant Adaptation
by Svetlana V. Zhigzhitzhapova, Elena P. Dylenova, Danaya B. Goncharova, Bato V. Zhigzhitzhapov, Elena A. Emelyanova, Anastasiya V. Polonova, Zhargal A. Tykheev, Selmeg V. Bazarsadueva, Anna S. Taraskina, Evgeniya T. Pintaeva and Vasiliy V. Taraskin
Plants 2024, 13(18), 2630; https://doi.org/10.3390/plants13182630 - 20 Sep 2024
Cited by 2 | Viewed by 1715
Abstract
Plants are sessile organisms and any changes in environmental factors activate various responses and defense mechanisms. Artemisia plants widely inhabit harsh conditions of arid and semiarid ecosystems. Using two species—a subshrub, Artemisia frigida, and an annual–biennial herb, Artemisia scoparia—the functioning of [...] Read more.
Plants are sessile organisms and any changes in environmental factors activate various responses and defense mechanisms. Artemisia plants widely inhabit harsh conditions of arid and semiarid ecosystems. Using two species—a subshrub, Artemisia frigida, and an annual–biennial herb, Artemisia scoparia—the functioning of the antioxidant system of plants in semiarid territories have been examined. The activity of enzymatic antioxidants and the content of non-enzymatic antioxidants in both species as well as the antiradical activity of their extracts have been shown. Although the plants were collected in areas differing in moisture supply, the activity of enzymatic antioxidants and the content of non-enzymatic antioxidants corresponds to their physiological level, within the range of the norm of reaction, in wormwood. Consequently, conditions of differing moisture deficiency do not cause a specific biochemical response at the level of the antioxidant system in the studied species, which confirms their adaptability to these conditions. Meanwhile, A. frigida plants show greater morphological and biochemical plasticity than A. scoparia under changing growth conditions. Both species contain tissue monoterpenoids and sesquiterpenoids, the emission of which provides additional protection against high temperatures and drought. Their composition and contents of phenolic components illustrates the differences in adaptation between perennial and annual plants. Full article
(This article belongs to the Special Issue Adaptive Mechanisms of Plants to Biotic or Abiotic Stresses)
Show Figures

Figure 1

15 pages, 4460 KB  
Article
An Attenuated Vaccine Virus of the Neethling Lineage Protects Cattle against the Virulent Recombinant Vaccine-like Isolate of the Lumpy Skin Disease Virus Belonging to the Currently Established Cluster 2.5
by Irina Shumilova, Kseniya Shalina, Mohammad Abed Alhussen, Pavel Prutnikov, Alena Krotova, Olga Byadovskaya, Larisa Prokhvatilova, Ilya Chvala and Alexander Sprygin
Vaccines 2024, 12(6), 598; https://doi.org/10.3390/vaccines12060598 - 30 May 2024
Cited by 4 | Viewed by 3228
Abstract
Lumpy skin disease (LSD) is an emerging transboundary and highly infectious viral disease mainly affecting cattle. The fact that it was initially confined to Africa and then spread beyond its geographical range to other regions, including the Middle East, Turkey, Europe, the Balkans, [...] Read more.
Lumpy skin disease (LSD) is an emerging transboundary and highly infectious viral disease mainly affecting cattle. The fact that it was initially confined to Africa and then spread beyond its geographical range to other regions, including the Middle East, Turkey, Europe, the Balkans, Russia and Asia, is an indication of the underestimation and neglect of this disease. Vaccination is considered the most effective way to control the spread of LSDV, when combined with other control measures. LSD is now on the rise in Southeast Asia, where the circulating virus belongs to recombinant lineage 2.5. In this study, we evaluated the efficacy of an attenuated LSDV strain belonging to the Neethling cluster 1.1 by challenge with a virulent recombinant vaccine-like LSDV isolate “Mongolia/2021” belonging to cluster 2.5. Some of the vaccinated animals showed an increase in body temperature of 1–1.5 °C above the physiological norm, without clinical signs, local reactions, vaccine-induced viremia or generalization, demonstrating the efficacy and safety of the vaccine strain against a recombinant strain. Furthermore, all the vaccinated animals showed strong immune responses, indicating a high level of immunogenicity. However, the control group challenged with “Mongolia/2021” LSD showed moderate to severe clinical signs seen in an outbreak, with high levels of virus shedding in blood samples and nasal swabs. Overall, the results of the present study demonstrate that the attenuated LSDV Neethling strain vaccine has a promising protective phenotype against the circulating strains, suggesting its potential as an effective tool for the containment and control of LSD in affected countries from Southeast Asia. Full article
Show Figures

Figure 1

14 pages, 1745 KB  
Article
Olive Ridley Sea Turtle Incubation in Natural Conditions Is Possible on Guatemalan Beaches
by B. Alejandra Morales-Mérida, Alejandra Morales-Cabrera, Carlos Chúa and Marc Girondot
Sustainability 2023, 15(19), 14196; https://doi.org/10.3390/su151914196 - 26 Sep 2023
Cited by 2 | Viewed by 2478
Abstract
The Guatemalan strategy for sea turtle conservation was defined by the National Council of Protected Areas (CONAP) in 1989. Hatcheries lie at the core of this strategy: egg collectors are allowed to deliver 20% of a nest to a hatchery in exchange for [...] Read more.
The Guatemalan strategy for sea turtle conservation was defined by the National Council of Protected Areas (CONAP) in 1989. Hatcheries lie at the core of this strategy: egg collectors are allowed to deliver 20% of a nest to a hatchery in exchange for selling or eating the remaining eggs. Consequently, nearly 100% of nests are collected, with no nests being left on the beaches. Hatchery design promotes shading using roofs made from vegetation. The logic behind this recommendation is that the natural incubation of eggs is supposedly impossible due to the overly high temperatures on the beach. However, changing the incubation temperature of sea turtle eggs can profoundly alter the sex ratio in sea turtles with temperature-dependent sex determination. It can also modify the physiology or behavior of juvenile turtles. Here, we test whether incubation in natural conditions is possible on Guatemalan beaches, and for the first time, we determine the thermal reaction norm of embryo growth to ensure hatching success in sea turtles. We show that incubation in natural conditions is possible since three out of the four monitored nests produced hatchlings. We urge the Guatemala National Council of Protected Areas to reevaluate its strategy for sea turtle conservation in Guatemala in light of these results. Full article
(This article belongs to the Special Issue Aquatic Biodiversity and Marine Ecosystem Sustainability)
Show Figures

Figure 1

23 pages, 10121 KB  
Article
Revealing Interactions between Temperature and Salinity and Their Effects on the Growth of Freshwater Diatoms by Empirical Modelling
by T. T. Yen Le, Alina Becker, Jana Kleinschmidt, Ntambwe Albert Serge Mayombo, Luan Farias, Sára Beszteri and Bánk Beszteri
Phycology 2023, 3(4), 413-435; https://doi.org/10.3390/phycology3040028 - 22 Sep 2023
Cited by 2 | Viewed by 3254
Abstract
Salinization and warming are of increasing concern for freshwater ecosystems. Interactive effects of stressors are often studied in bifactorial, two-level experimental setups. The shape of environmental reaction norms and the position of the “control” conditions along them, however, can influence the sign and [...] Read more.
Salinization and warming are of increasing concern for freshwater ecosystems. Interactive effects of stressors are often studied in bifactorial, two-level experimental setups. The shape of environmental reaction norms and the position of the “control” conditions along them, however, can influence the sign and magnitude of individual responses as well as interactive effects. We empirically model binary-stressor effects in the form of three-dimensional reaction norm surfaces. We monitored the growth of clonal cultures of six freshwater diatoms, Cymbella cf. incurvata, Nitzschia linearis, Cyclotella meneghiniana, Melosira varians, Ulnaria acus, and Navicula gregaria at various temperature (up to 28 °C) and salinity (until the growth ceased) shock treatments. Fitting a broad range of models and comparing them using the Akaike information criterion revealed a large heterogeneity of effects. A bell-shaped curve was often observed in the response of the diatoms to temperature changes, while their growth tended to decrease with increasing electrical conductivity. C. meneghiniana was more tolerant to temperature, whilst C. incurvata and C. meneghiniana were the most sensitive to salinity changes. Empirical modelling revealed interactive effects of temperature and salinity on the slope and the breadth of response curves. Contrasting types of interactions indicates uncertainties in the estimation by empirical modelling. Full article
Show Figures

Graphical abstract

20 pages, 1715 KB  
Article
Predicting the Responses of Functional Leaf Traits to Global Warming: An In Situ Temperature Manipulation Design Using Iris pumila L.
by Sanja Manitašević Jovanović, Katarina Hočevar, Ana Vuleta and Branka Tucić
Plants 2023, 12(17), 3114; https://doi.org/10.3390/plants12173114 - 30 Aug 2023
Cited by 5 | Viewed by 2740
Abstract
Phenotypic plasticity is widely acknowledged as one of the most common solutions for coping with novel environmental conditions following climate change. However, it is less known whether the current amounts of trait plasticity, which is sufficient for matching with the contemporary climate, will [...] Read more.
Phenotypic plasticity is widely acknowledged as one of the most common solutions for coping with novel environmental conditions following climate change. However, it is less known whether the current amounts of trait plasticity, which is sufficient for matching with the contemporary climate, will be adequate when global temperatures exceed historical levels. We addressed this issue by exploring the responses of functional and structural leaf traits in Iris pumila clonal individuals to experimentally increased temperatures (~1.5 °C) using an open top chamber (OTC) design. We determined the phenotypic values of the specific leaf area, leaf dry matter content, specific leaf water content, and leaf thickness in the leaves sampled from the same clone inside and outside of the OTC deployed on it, over seasons and years within two natural populations. We analyzed the data using a repeated multivariate analysis of variance, which primarily focusses on the profiles (reaction norms (RNs)) of a variable gathered from the same individual at several different time points. We found that the mean RNs of all analyzed traits were parallel regardless of experienced temperatures, but differed in the level and the shape. The populations RNs were similar as well. As the amount of plasticity in the analyzed leaf trait was adequate for coping with elevated temperatures inside the OTCs, we predict that it will be also sufficient for responding to increased temperatures if they exceed the 1.5 °C target. Full article
Show Figures

Figure 1

12 pages, 1924 KB  
Article
Estimation of Genetic Parameters of Heat Tolerance for Production Traits in Canadian Holsteins Cattle
by Ivan L. Campos, Tatiane C. S. Chud, Gerson A. Oliveira Junior, Christine F. Baes, Ángela Cánovas and Flavio S. Schenkel
Animals 2022, 12(24), 3585; https://doi.org/10.3390/ani12243585 - 19 Dec 2022
Cited by 9 | Viewed by 4330
Abstract
Understanding how cows respond to heat stress has helped to provide effective herd management practices to tackle this environmental challenge. The possibility of selecting animals that are genetically more heat tolerant may provide additional means to maintain or even improve the productivity of [...] Read more.
Understanding how cows respond to heat stress has helped to provide effective herd management practices to tackle this environmental challenge. The possibility of selecting animals that are genetically more heat tolerant may provide additional means to maintain or even improve the productivity of the Canadian dairy industry, which is facing a shifting environment due to climate changes. The objective of this study was to estimate the genetic parameters for heat tolerance of milk, fat, and protein yields in Canadian Holstein cows. A total of 1.3 million test-day records from 195,448 first-parity cows were available. A repeatability test-day model fitting a reaction norm on the temperature-humidity index (THI) was used to estimate the genetic parameters. The estimated genetic correlations between additive genetic effect for production and for heat tolerance ranged from −0.13 to −0.21, indicating an antagonistic relationship between the level of production and heat tolerance. Heritability increased marginally as THI increased above its threshold for milk yield (0.20 to 0.23) and protein yield (0.14 to 0.16) and remained constant for fat yield (0.17). A Spearman rank correlation between the estimated breeding values under thermal comfort and under heat stress showed a potential genotype by environmental interaction. The existence of a genetic variability for heat tolerance allows for the selection of more heat tolerant cows. Full article
(This article belongs to the Special Issue Effects of Heat Stress on Livestock and Adaptation Methods)
Show Figures

Figure 1

15 pages, 2121 KB  
Article
Developmental Plasticity in Butterfly Eyespot Mutants: Variation in Thermal Reaction Norms across Genotypes and Pigmentation Traits
by Ana Rita Amaro Mateus and Patrícia Beldade
Insects 2022, 13(11), 1000; https://doi.org/10.3390/insects13111000 - 31 Oct 2022
Cited by 5 | Viewed by 3411
Abstract
Developmental plasticity refers to the property by which a genotype corresponds to distinct phenotypes depending on the environmental conditions experienced during development. This dependence of phenotype expression on environment is graphically represented by reaction norms, which can differ between traits and between genotypes. [...] Read more.
Developmental plasticity refers to the property by which a genotype corresponds to distinct phenotypes depending on the environmental conditions experienced during development. This dependence of phenotype expression on environment is graphically represented by reaction norms, which can differ between traits and between genotypes. Even though genetic variation for reaction norms provides the basis for the evolution of plasticity, we know little about the genes that contribute to that variation. This includes understanding to what extent those are the same genes that contribute to inter-individual variation in a fixed environment. Here, we quantified thermal plasticity in butterfly lines that differ in pigmentation phenotype to test the hypothesis that alleles affecting pigmentation also affect plasticity therein. We characterized thermal reaction norms for eyespot color rings of distinct Bicyclus anynana genetic backgrounds, corresponding to allelic variants affecting eyespot size and color composition. Our results reveal genetic variation for the slope and curvature of reaction norms, with differences between eyespots and between eyespot color rings, as well as between sexes. Our report of prevalent temperature-dependent and compartment-specific allelic effects underscores the complexity of genotype-by-environment interactions and their consequence for the evolution of developmental plasticity. Full article
(This article belongs to the Special Issue Contributions of Women in Insect Science)
Show Figures

Figure 1

16 pages, 2748 KB  
Article
Assessment of Suitable Reference Genes for qRT-PCR Normalization in Eocanthecona furcellata (Wolff)
by Ying-Na Pan, Ru-Na Zhao, Di Fu, Chun Yu, Chun-Ni Pan, Wei Zhou and Wen-Long Chen
Insects 2022, 13(9), 773; https://doi.org/10.3390/insects13090773 - 26 Aug 2022
Cited by 13 | Viewed by 2943
Abstract
Quantitative reverse transcription–polymerase chain reaction (qRT–PCR) is a widely used tool for measuring gene expression; however, its accuracy relies on normalizing the data to one or more stable reference genes. Eocanthecona furcellata (Wolff) is a polyphagous predatory natural enemy insect that preferentially feeds [...] Read more.
Quantitative reverse transcription–polymerase chain reaction (qRT–PCR) is a widely used tool for measuring gene expression; however, its accuracy relies on normalizing the data to one or more stable reference genes. Eocanthecona furcellata (Wolff) is a polyphagous predatory natural enemy insect that preferentially feeds on more than 40 types of agricultural and forestry pests, such as those belonging to the orders Lepidoptera, Coleoptera, and Hymenoptera. However, to our knowledge, the selection of stable reference genes has not been reported in detail thus far. In this study, nine E. furcellata candidate reference genes (β-1-TUB, RPL4, RPL32, RPS17, RPS25, SDHA, GAPDH2, EF2, and UBQ) were selected based on transcriptome sequencing results. The expression of these genes in various samples was examined at different developmental stages, in the tissues of male and female adults, and after temperature and starvation treatments. Five algorithms were used, including ΔCt, geNorm, NormFinder, BestKeeper, and RefFinder, to evaluate reference gene expression stability. The results revealed that the most stable reference genes were RPL32 and RPS25 at different developmental stages; RPS17, RPL4, and EF2 for female adult tissue samples; RPS17 and RPL32 for male adult tissue samples; RPS17 and RPL32 for various temperature treatments of nymphs; RPS17 and RPS25 for nymph samples under starvation stress; and RPS17 and RPL32 for all samples. Overall, we obtained a stable expression of reference genes under different conditions in E. furcellata, which provides a basis for future molecular studies on this organism. Full article
(This article belongs to the Section Insect Molecular Biology and Genomics)
Show Figures

Figure 1

13 pages, 3235 KB  
Article
Selection and Validation of Reliable Reference Genes for qRT-PCR Normalization of Bursaphelenchus xylophilus from Different Temperature Conditions and Developmental Stages
by Yajing Wu, Jiao Zhou, Yaning Liu, Yutong Gu, Hongxia Zhang, Faheem Ahmad, Guochang Wang and Lili Ren
Appl. Sci. 2022, 12(6), 2880; https://doi.org/10.3390/app12062880 - 11 Mar 2022
Cited by 4 | Viewed by 2793
Abstract
Quantitative reverse transcription polymerase chain reaction (qRT-PCR) is a powerful technique for studying gene expression. The key to quantitative accuracy depends on the stability of the reference genes used for data normalization under different experimental conditions. Pine wood nematode (PWN, Bursaphelenchus xylophilus) [...] Read more.
Quantitative reverse transcription polymerase chain reaction (qRT-PCR) is a powerful technique for studying gene expression. The key to quantitative accuracy depends on the stability of the reference genes used for data normalization under different experimental conditions. Pine wood nematode (PWN, Bursaphelenchus xylophilus) is the causal agent of the devastating pine wilt disease (PWD). Extensive and prompt research is needed to understand the molecular mechanism of PWD, but identification of the reference PWN genes for standardized qRT-PCR has not been reported yet. We have analyzed eight candidate reference genes of PWN across different temperature conditions and developmental stages. Delta Ct method, GeNorm, NormFinder, BestKeeper, and RefFinder algorithms were used to evaluate the stability of expression of these genes. Finally, we use heat shock protein 90 (HSP90) in different temperatures and arginine kinase gene (AK) in different developmental stages to confirm the stability of these genes. UBCE and EF1γ were most stable across different temperature treatments, whereas EF1γ and Actin were most stable across different developmental stages. In general, these results indicate that EF1γ is the most stable gene for qRT-PCR under different conditions. The systematic analysis of qRT-PCR reference gene selection will be helpful for future functional analysis and exploration of B. xylophilus genetic resources. Full article
Show Figures

Figure 1

Back to TopTop