Sign in to use this feature.

Years

Between: -

Subjects

remove_circle_outline
remove_circle_outline
remove_circle_outline
remove_circle_outline
remove_circle_outline
remove_circle_outline
remove_circle_outline
remove_circle_outline
remove_circle_outline

Journals

remove_circle_outline
remove_circle_outline
remove_circle_outline
remove_circle_outline
remove_circle_outline
remove_circle_outline
remove_circle_outline
remove_circle_outline
remove_circle_outline
remove_circle_outline
remove_circle_outline

Article Types

Countries / Regions

remove_circle_outline
remove_circle_outline
remove_circle_outline
remove_circle_outline
remove_circle_outline

Search Results (883)

Search Parameters:
Keywords = nonlinear distributed-parameter model

Order results
Result details
Results per page
Select all
Export citation of selected articles as:
57 pages, 4872 KB  
Article
Analytical Pricing of Volatility-Linked Financial Derivatives Under the Sub-Mixed Fractional Brownian Motion Framework in a No-Arbitrage Complete Market
by Sanae Rujivan, Touch Toem and Angelo E. Marasigan
Fractal Fract. 2026, 10(2), 125; https://doi.org/10.3390/fractalfract10020125 (registering DOI) - 14 Feb 2026
Abstract
This paper develops a unified analytical approach for pricing a broad class of volatility-linked financial derivatives under the sub-mixed fractional geometric Brownian motion model. The proposed framework captures key empirical features of financial markets, including correlated non-stationary Gaussian increments and long-memory dependence, while [...] Read more.
This paper develops a unified analytical approach for pricing a broad class of volatility-linked financial derivatives under the sub-mixed fractional geometric Brownian motion model. The proposed framework captures key empirical features of financial markets, including correlated non-stationary Gaussian increments and long-memory dependence, while preserving the semimartingale property required for arbitrage-free pricing. We present the exact distribution of the realized variance as a quadratic form of correlated non-stationary Gaussian increments, which leads to a closed-form expression for the cumulative distribution function via a Laguerre-series expansion. These distributional results enable analytical pricing formulas for an extensive family of volatility-linked derivatives. Monte Carlo simulations confirm the accuracy and computational efficiency of the proposed formulas, while numerical investigations illustrate the significant impact of non-stationarity, long-memory effects, and the Hurst parameter on derivative values. These results contribute to a deeper theoretical understanding and more effective computational methods for pricing nonlinear volatility derivatives in markets characterized by persistent temporal dependence and non-stationary stochastic dynamics. Full article
14 pages, 6943 KB  
Article
Small-Signal Modeling and Nonlinear Characterization of Aligned Carbon Nanotube Schottky Barrier Diodes
by Linxin Dai, Junhong Wu and Honggang Liu
Appl. Sci. 2026, 16(4), 1873; https://doi.org/10.3390/app16041873 - 13 Feb 2026
Abstract
Schottky barrier diodes (SBDs) based on low-dimensional materials are of interest for high-speed electronics due to their intrinsic nonlinear transport characteristics. In this work, aligned carbon nanotube Schottky barrier diodes (ACNT-SBDs) were systematically studied through electrical characterization, small-signal modeling, and large-signal nonlinear measurements. [...] Read more.
Schottky barrier diodes (SBDs) based on low-dimensional materials are of interest for high-speed electronics due to their intrinsic nonlinear transport characteristics. In this work, aligned carbon nanotube Schottky barrier diodes (ACNT-SBDs) were systematically studied through electrical characterization, small-signal modeling, and large-signal nonlinear measurements. Devices with channel widths ranging from 50 to 500 µm were fabricated to examine size-dependent direct-current and high-frequency behavior. Clear Schottky rectification and pronounced geometry-dependent characteristics were observed, with the widest device achieving an intrinsic cutoff frequency of up to 282 GHz. Based on measured S-parameters, a refined small-signal model incorporating a parallel resistance–constant phase element (CPE) branch was developed, providing substantially improved agreement with measured S- and Y-parameters and phase response compared with the classical model. The extracted CPE parameters exhibit systematic dependence on channel width, indicating distributed junction charge dynamics associated with carbon nanotube interfaces. Furthermore, the large-signal nonlinear behavior was evaluated using an anti-parallel diode configuration, achieving a third-harmonic output power of −22.58 dBm at 30 GHz under zero-bias operation. This work provides a comprehensive experimental and modeling framework for understanding the high-frequency and nonlinear behavior of ACNT-SBDs. Full article
Show Figures

Figure 1

19 pages, 4397 KB  
Article
Multifractal and Entropic Properties of Seismic Noise in the Japanese Islands
by Alexey Lyubushin
Fractal Fract. 2026, 10(2), 122; https://doi.org/10.3390/fractalfract10020122 - 12 Feb 2026
Abstract
This article examines the behavior of seismic noise fields over the Japanese islands recorded by the F-net seismic network for 1997–2025. This paper uses nonlinear noise statistics: the entropy of the wavelet coefficient distribution, the Donoho–Johnston (DJ) wavelet index, and the multifractal singularity [...] Read more.
This article examines the behavior of seismic noise fields over the Japanese islands recorded by the F-net seismic network for 1997–2025. This paper uses nonlinear noise statistics: the entropy of the wavelet coefficient distribution, the Donoho–Johnston (DJ) wavelet index, and the multifractal singularity spectrum support width. These parameters were chosen because their changes reflect the complication or simplification of the noise structure. Changes in the structure of seismic noise properties are analyzed in comparison with a sequence of strong earthquakes. Using a model of the intensity of interacting point processes, the effect of the leading of local noise property extrema relative to the seismic event times is estimated. Using the Hilbert–Huang decomposition, the synchronization of the amplitudes of the envelopes of noise property time series for different IMF levels is estimated. A sequence of weighted probability density maps of extreme values of noise properties is analyzed in comparison with the mega-earthquake of 11 March 2011 and the preparation of another possible strong seismic event. Full article
(This article belongs to the Special Issue Fractals in Earthquake and Atmospheric Science)
Show Figures

Figure 1

43 pages, 10626 KB  
Article
Seismic Performance Analysis of Squat Symmetric Shear Walls: Based on Different Reinforcement Ratios
by Hong Chang, Wei Zhou, Zhibo Bao and Changhai Zhai
Symmetry 2026, 18(2), 342; https://doi.org/10.3390/sym18020342 - 12 Feb 2026
Viewed by 5
Abstract
To tackle the safety performance concerns of Squat shear walls in nuclear island structures (which serve as shields for powerhouses) under seismic action, this research endeavors to explore the seismic performance of such shear walls with different reinforcement ratios. Pseudo-static loading tests were [...] Read more.
To tackle the safety performance concerns of Squat shear walls in nuclear island structures (which serve as shields for powerhouses) under seismic action, this research endeavors to explore the seismic performance of such shear walls with different reinforcement ratios. Pseudo-static loading tests were carried out on 6 shear wall specimens, which were divided into 3 groups (with different reinforcement ratios). The focus was on analyzing the specimens’ failure process, load-deformation hysteretic curves, shear strength, ductility, strain, and other crucial parameters. The experimental findings demonstrate that all specimens underwent shear failure, which was characterized by the compression of web concrete. A higher reinforcement ratio can alleviate the buckling extent of structural steel. Specifically, an elevated horizontally distributed steel ratio notably enhances the ductility and energy dissipation capacity of the specimens, thereby effectively improving the yield load, stiffness, and ductility of squat shear walls. Nevertheless, its influence on cumulative energy dissipation and crack development is limited. Based on the analysis of the specimens’ failure modes, hysteretic curves, skeleton curves, energy dissipation, and stiffness degradation laws, finite-element numerical analysis was carried out on selected specimens. Comparison with the experimental results showed a good consistency between the two. Ultimately, the influence of the reinforcement ratio on the seismic performance of the shear walls was ascertained, and the research on the variation rules of the seismic performance parameters of squat shear walls was completed after verification through finite-element modeling. Based on this, a nonlinear fitting approach was employed to construct a regression prediction model for the seismic performance of shear walls in the Hainan Changjiang Multipurpose Modular Small Reactor Technology Demonstration Project. Typical squat shear walls were chosen for seismic response analysis, and the corresponding outcomes were acquired. Finally, a series of seismic vulnerability curves for nuclear island shear walls with varying guarantee rates were formulated for verification. Full article
(This article belongs to the Special Issue Symmetry in Seismic Geotechnical Engineering and Soil Mechanics)
15 pages, 1145 KB  
Article
Parameter Estimation of the Three-Parameter Weibull Distribution Based on an Iterative CDF Method
by Shenglei Liu, Xuan Han, Xufang Zhang, Bingfeng Zhao and Liyang Xie
Mathematics 2026, 14(4), 649; https://doi.org/10.3390/math14040649 - 12 Feb 2026
Viewed by 24
Abstract
Parameter estimation of the three-parameter Weibull distribution is an important problem in reliability analysis and statistical modeling. Random right-censored data are widely encountered in engineering practice. Conventional least squares (LS) methods usually construct the empirical cumulative distribution function (CDF) based on rank statistics. [...] Read more.
Parameter estimation of the three-parameter Weibull distribution is an important problem in reliability analysis and statistical modeling. Random right-censored data are widely encountered in engineering practice. Conventional least squares (LS) methods usually construct the empirical cumulative distribution function (CDF) based on rank statistics. However, this empirical assumption cannot adequately capture the nonlinear variation in failure probability with time in the Weibull distribution. To address this limitation, an iterative conditional probability based on conditional failure probability (ICP-CDF) is proposed. The method uses the parameter estimates obtained from the conventional LS approach as initial values, adjusts the ranks of failure data according to conditional failure probabilities, and updates the empirical CDF accordingly. Within a unified least squares estimation framework, an ICP-CDF-LS parameter estimation method is developed, in which both the CDF and distribution parameters are updated iteratively. Simulation studies and case analyses demonstrate that, compared with the LS and MLE methods, the proposed approach achieves superior overall performance in terms of estimation accuracy and stability, making it more suitable for practical engineering applications. Full article
(This article belongs to the Section D1: Probability and Statistics)
Show Figures

Figure 1

22 pages, 7511 KB  
Article
Study on the Influence of Rock Pore Structure on Radon Diffusion Coefficient and Permeability Based on Quartet Structure Generation Set Method
by Yuan-Chao Chen, Zhong-Luo Liao and Dong Xie
Processes 2026, 14(4), 634; https://doi.org/10.3390/pr14040634 - 12 Feb 2026
Viewed by 53
Abstract
As pore space serves as the primary migration pathway of radon in rock media, investigating the influences of pore structural characteristics on radon migration is essential. In this study, the rock pore structure was numerically reconstructed via the Quartet Structure Generation Set (QSGS) [...] Read more.
As pore space serves as the primary migration pathway of radon in rock media, investigating the influences of pore structural characteristics on radon migration is essential. In this study, the rock pore structure was numerically reconstructed via the Quartet Structure Generation Set (QSGS) method, based on the characteristic parameters extracted from real rock pore models obtained from CT scanning. Quantitative comparison results indicate that the permeability and radon diffusion coefficient of the QSGS-reconstructed models are highly consistent with those of the CT-based model, which verifies the reliability and effectiveness of the QSGS method. A series of three-dimensional (3D) rock pore models with different porosities (η), distribution probabilities (Pd), and growth probabilities (G) were constructed using the QSGS method. The radon diffusion coefficient, tortuosity factor and permeability of these models under dry conditions were quantitatively determined. The relationship between the radon diffusion coefficient, water saturation and temperature was obtained using the tortuosity factor of the pore models and the unsaturated non-isothermal radon diffusion coefficient model. Furthermore, the relationship between the relative permeability of the air and water phases and water saturation was obtained by coupling the calculated permeability with the Brooks–Corey model. The results demonstrate that the η was positively correlated with both the radon diffusion coefficient and permeability, with a more pronounced positive correlation observed for permeability. Under low η conditions, Pd was positively correlated with both the radon diffusion coefficient and permeability; under medium-porosity conditions, Pd was positively correlated with the radon diffusion coefficient but negatively correlated with permeability; under high-porosity conditions, Pd exhibited no significant correlation with the radon diffusion coefficient, while it shows a negative correlation with permeability. G in the principal direction was positively correlated with the radon diffusion coefficient and permeability along the same direction, but negatively correlated with those along orthogonal directions. The radon diffusion coefficient was strongly negatively correlated with water saturation, and weakly positively correlated with temperature. With an increase in water saturation, the relative air permeability presented a nonlinear decrease characterized by a fast-then-slow trend, whereas the relative water permeability showed a nonlinear increase with a slow-then-fast pattern. Full article
Show Figures

Figure 1

17 pages, 608 KB  
Article
Physics-Informed Bayesian Inference for Virtual Testing and Prediction of Train Performance
by Kian Sepahvand, Christoph Schwarz, Oliver Urspruch and Frank Guenther
Machines 2026, 14(2), 211; https://doi.org/10.3390/machines14020211 - 11 Feb 2026
Viewed by 111
Abstract
This paper proposes a physics-informed Bayesian framework for virtual testing and predictive modeling of train performance, specifically addressing stopping-distance prediction. The approach unifies physical simulation models with data-driven statistical inference to achieve uncertainty-aware predictions under limited or noisy measurements. By embedding governing equations [...] Read more.
This paper proposes a physics-informed Bayesian framework for virtual testing and predictive modeling of train performance, specifically addressing stopping-distance prediction. The approach unifies physical simulation models with data-driven statistical inference to achieve uncertainty-aware predictions under limited or noisy measurements. By embedding governing equations of motion into a hierarchical Bayesian structure, the method systematically accounts for both model-form and data uncertainty, allowing explicit decomposition into aleatoric and epistemic components. A Gaussian process surrogate is employed to efficiently emulate high-fidelity physics simulations while preserving key dynamic behaviors and parameter sensitivities. The Bayesian formulation enables probabilistic calibration and validation, providing predictive distributions and confidence bounds. As a representative application, the framework is applied to the virtual prediction of train stopping distances, demonstrating how the proposed methodology captures nonlinear braking dynamics and quantifies uncertainty in safety-relevant performance metrics directly compatible with statistical verification standards such as EN 16834. The results confirm that the physics-informed Bayesian approach enables accurate, interpretable, and standards-aligned virtual testing across a wide range of dynamical systems. Full article
(This article belongs to the Special Issue Artificial Intelligence in Rail Transportation)
Show Figures

Figure 1

18 pages, 3592 KB  
Article
Vibration-Based Mechanical Fault Diagnosis of On-Load Tap Changers Using Fuzzy Set Theory
by Zhaoyu Qin, Feng Lin, Xiaoyi Cheng, Sasa Kong and Qingxiang Hu
Appl. Sci. 2026, 16(4), 1766; https://doi.org/10.3390/app16041766 - 11 Feb 2026
Viewed by 122
Abstract
On-load tap changers (OLTCs) are critical components of power transformers. In recent years, condition monitoring technologies for OLTCs based on vibration signals have attracted increasing research interest. However, practical applications still face several challenges, including background noise interference, insufficient characterization of transient signals, [...] Read more.
On-load tap changers (OLTCs) are critical components of power transformers. In recent years, condition monitoring technologies for OLTCs based on vibration signals have attracted increasing research interest. However, practical applications still face several challenges, including background noise interference, insufficient characterization of transient signals, signal complexity, difficulty in detecting subtle anomalies, and ambiguous associations between fault modes and signal features. To address these issues, this paper proposes an OLTC acoustic fingerprint feature recognition method based on multidimensional phase-space trajectory analysis. First, an OLTC fault simulation platform was established, in which typical mechanical faults—such as fastener loosening, contact wear, and insufficient spring energy storage—were physically simulated. Corresponding vibration signals were then acquired under different operating conditions. Considering the independence of vibration characteristics at different locations of the distribution transformer, a blind source separation method based on endpoint detection was employed to separate OLTC vibration signals from the operational noise of the transformer body. Given the nonlinear and chaotic characteristics of OLTC vibration signals, phase-space reconstruction was introduced for signal analysis. Based on the reconstructed phase space, characteristic patterns and geometric feature parameters corresponding to different mechanical states of the OLTC were extracted. Furthermore, a two-dimensional membership function was constructed using the phase-space trajectories, and fuzzy inference based on predefined fuzzy rules was applied to compute representative feature parameters. A feature parameter database was subsequently established to enable OLTC condition identification. Experimental results demonstrate that the proposed diagnostic model can effectively classify and identify OLTC fault conditions using vibration signals, achieving an average classification accuracy exceeding 91.25%. The proposed method provides an effective non-intrusive approach for online monitoring and mechanical fault diagnosis of OLTCs without interrupting normal transformer operation. Full article
Show Figures

Figure 1

17 pages, 1774 KB  
Article
Analytical Prediction of Active Earth Pressure in Narrow MSE Walls Considering Arching Effects
by Farzaneh Farahbakhsh and Hadi Shahir
Geotechnics 2026, 6(1), 19; https://doi.org/10.3390/geotechnics6010019 - 9 Feb 2026
Viewed by 81
Abstract
Lateral pressure on a retaining wall could be a critical parameter that affects the stability and efficiency of the wall design. Traditional methods to estimate active lateral earth pressure is often inadequate in cases where geometric constraints, or arching effects play significant roles. [...] Read more.
Lateral pressure on a retaining wall could be a critical parameter that affects the stability and efficiency of the wall design. Traditional methods to estimate active lateral earth pressure is often inadequate in cases where geometric constraints, or arching effects play significant roles. An analytical method has been used in this study to estimate soil and geotextile stresses in reinforced retaining walls by considering the arching effect. It presents a clear analytical solution for calculating lateral earth pressure in narrow Mechanically Stabilized Earth (MSE) walls. The model includes bilinear failure surfaces and nonlinear stress paths, which better reflect real soil behavior in comparison to the traditional methods with linear failure surfaces. The proposed method demonstrated excellent agreement with both field data and centrifuge test results. According to the proposed analytical approach, the distribution of horizontal soil pressure is not linear. The lateral soil pressure is zero at the top and bottom, while the maximum pressure is between 0.4 and 0.9 of the wall height. The formulation further indicates that the higher the friction at the interfaces, the greater the arching effect, so reducing the lateral earth pressure on the retaining wall. Moreover, narrowing the backfill space leads to a significant reduction in lateral earth pressure. Full article
Show Figures

Figure 1

28 pages, 15030 KB  
Article
Nonlinear Driving Forces and Threshold Effects: Land Use Function Trade-Offs in the Funiu Mountain Area from a Social-Ecological System Perspective
by Jie Yang, Boyan Zhou, Jiashuo Zhang, Shaoqi Pan, Jianhua Gao and Chenglin Qin
Land 2026, 15(2), 280; https://doi.org/10.3390/land15020280 - 8 Feb 2026
Viewed by 181
Abstract
A major obstacle to sustainable land management in ecologically sensitive areas is our limited understanding of the complex nonlinear mechanisms and threshold effects that dictate trade-offs between land use functions (LUFs). This study takes the Funiu Mountain area, a typical ecologically sensitive area [...] Read more.
A major obstacle to sustainable land management in ecologically sensitive areas is our limited understanding of the complex nonlinear mechanisms and threshold effects that dictate trade-offs between land use functions (LUFs). This study takes the Funiu Mountain area, a typical ecologically sensitive area in China, as a case study. At the township scale, the spatiotemporal patterns of LUFs from 2000 to 2020 were assessed based on the “production-living-ecological” function framework. The root mean square error (RMSE) model was introduced to quantify inter-functional trade-off intensity. Furthermore, the optimal parameters geographical detector (OPGD) and generalized additive model (GAM) were innovatively coupled to systematically analyze their driving mechanisms and nonlinear threshold effects. The results indicate that: (1) LUFs show clear functional complementarity and spatial game characteristics. The production function (PF) exhibits a heterogeneous pattern of “locally high, overall low”; the living function (LF) shows a local central agglomeration feature; and the ecological function (EF) displays a continuous gradient distribution of “high in the northwest, low in the southeast”. (2) The trade-off intensities between PF&EF and LF&EF are relatively strong, with high-value areas mainly distributed in the high-altitude central regions; while the trade-off intensity of PF&LF is weaker, with high-value areas mostly appearing in the central urban areas of each county. (3) The spatial heterogeneity of the trade-off relationship of LUFs is a comprehensive manifestation of the combined effects of the natural environment, socio-economic factors, and landscape patterns. The driving mechanisms of trade-off intensity among different functions show significant heterogeneity. (4) Key driving factors have significant nonlinear threshold effects. POP shows a complex dynamic regulatory effect with multiple thresholds and strong nonlinearity, while SLOPE, PET, and NDVI continuously play a fundamental constraining role in the trade-offs related to ecological functions. The key thresholds identified in this study can provide a direct scientific basis for regional differentiated territorial space governance. Full article
Show Figures

Figure 1

29 pages, 7264 KB  
Article
Prediction of the Extreme Dynamic Amplification Factor Based on Bayesian Peaks-over-Threshold–Generalized Pareto Distribution Method and Random Traffic–Bridge Interaction
by Wasyhun Afework Kechine, Bin Wang, Cuipeng Xia and Yongle Li
Buildings 2026, 16(4), 689; https://doi.org/10.3390/buildings16040689 - 7 Feb 2026
Viewed by 151
Abstract
The accurate prediction of extreme dynamic amplification factor (DAF) values is significantly important to ensure a long-term safety assessment of bridges under stochastic vehicular loading. However, predicting extreme DAFs is challenging due to traffic randomness, road roughness variability, and nonlinear vehicle–bridge interaction (VBI) [...] Read more.
The accurate prediction of extreme dynamic amplification factor (DAF) values is significantly important to ensure a long-term safety assessment of bridges under stochastic vehicular loading. However, predicting extreme DAFs is challenging due to traffic randomness, road roughness variability, and nonlinear vehicle–bridge interaction (VBI) effects. This study presents an integrated framework for extreme DAF prediction for simply supported bridges by combining stochastic traffic–bridge interaction simulations with Bayesian updating and a Peaks-Over-Threshold–Generalized Pareto Distribution (POT–GPD) model. A coupled VBI model is developed, incorporating cellular automaton-based traffic flow, multi-axle nonlinear vehicle dynamics, finite-element bridge modeling, and stochastic road roughness profiles. A new DAF definition based on dynamic displacement difference is proposed to better represent dynamic effects. DAF samples obtained from VBI simulations under different road roughness levels are analyzed using the POT method, with GPD parameters estimated through maximum likelihood and Bayesian inference. Extreme DAFs corresponding to different return periods are then determined. The results indicate that extreme DAF values increase with worsening road roughness and longer return periods and that the Bayesian POT–GPD approach effectively captures tail behavior while providing reliable uncertainty quantification for extreme DAF prediction. Full article
(This article belongs to the Section Building Structures)
Show Figures

Figure 1

21 pages, 4440 KB  
Article
A Fitting Study on the Growth Boundary of an Underground Coal Gasification Cavity Based on Numerical Simulation
by Xiao Ma, Zhiyi Zhang, Xin Li, Shuo Feng and Baiye Li
Appl. Sci. 2026, 16(3), 1649; https://doi.org/10.3390/app16031649 - 6 Feb 2026
Viewed by 114
Abstract
Underground coal gasification (UCG) is a coal utilization technology that has attracted extensive attention over the years. In order to study the distribution and evolution law of the growth boundary of a coal gasification cavity under UCG, COMSOL numerical simulation software was used [...] Read more.
Underground coal gasification (UCG) is a coal utilization technology that has attracted extensive attention over the years. In order to study the distribution and evolution law of the growth boundary of a coal gasification cavity under UCG, COMSOL numerical simulation software was used to conduct a multi-physical field-coupling numerical simulation of its growth process. In this study, we established a gasification reaction model of the cavity, and after simulation calculation, the growth boundary of the gasification cavity was obtained. Multiple data points were taken from the growth boundary of the gasification cavity for the fitting calculation, and the fitting function y=Fx of the gasification boundary growth was obtained. The core insight from this study is that a gasification boundary growth fitting function y=Fx was cross-fitted based on seven different gasification times t (5 d, 20 d, 40 d, 60 d, 80 d, 110 d, 150 d) and 10 different gasification agent inflow velocities v (0.1 m/s, 0.3 m/s, 0.5 m/s, 0.7 m/s, 1 m/s, 2 m/s, 4 m/s, 6 m/s, 8 m/s, 10 m/s) as orthogonal independent variables. An innovative multi-parameter fitting equation was constructed, y=Fx,t,v, with the gasification time t and the gasification agent inflow velocity v as independent variables. This fitting equation, y=Fx,t,v, can dynamically depict the gasification cavity boundary during the UCG process when different gasification times t and gasification agent inflow velocities v are inputted. The novelty of this study lies in the fact that it breaks through the limitations of traditional numerical simulation models that rely on a single variable, have limited adaptability, and focus on gasification cavities that lie mostly in the side-view direction. Moreover, through a multi-physics field-coupling numerical simulation in the top-view direction of the gasification cavity, we have improved the construction of the UCG numerical simulation model and cross-fitted the gasification boundary with respect to the gasification time t and gasification agent inflow velocity v to construct a fitting equation, achieving the quantitative representation of the nonlinear relationship between variables. Full article
(This article belongs to the Section Energy Science and Technology)
Show Figures

Figure 1

25 pages, 4411 KB  
Article
Achieving High Hardness and Uniformity in Fe-Based Amorphous Coatings for Enhanced Wear Resistance via Explainable Machine Learning
by Enhao Zhang, Cong Ma, Jiachi Yuan, Shuang Yan, Zhibin Zhang, Zhiyuan Jing and Binbin Zhang
Coatings 2026, 16(2), 199; https://doi.org/10.3390/coatings16020199 - 5 Feb 2026
Viewed by 244
Abstract
High-Velocity Air-Fuel (HVAF) spraying of Fe-based amorphous coatings involves strong nonlinear coupling among multiple process parameters, while practical optimization is severely constrained by limited experimental data and poor model interpretability. To address these challenges, a systematic data-driven optimization framework integrating the Denoising Diffusion [...] Read more.
High-Velocity Air-Fuel (HVAF) spraying of Fe-based amorphous coatings involves strong nonlinear coupling among multiple process parameters, while practical optimization is severely constrained by limited experimental data and poor model interpretability. To address these challenges, a systematic data-driven optimization framework integrating the Denoising Diffusion Probabilistic Model (DDPM)-based data augmentation with explainable machine learning is proposed. Coating microhardness and hardness uniformity were jointly selected as target properties to capture both performance level and spatial reliability. Three generative models—Generative Adversarial Network (GAN), Variational Autoencoder (VAE), and DDPM—were comparatively evaluated using statistical matching and distribution-consistency metrics, revealing that DDPM most faithfully reproduces the intrinsic statistical characteristics of real HVAF process data. We benchmarked ten representative regression algorithms covering classical statistical learning, ensemble methods, and deep learning paradigms, with GBR demonstrating the highest predictive accuracy and stability. The inclusion of 10% DDPM-generated samples further improved the predictive precision of the GBR model. SHapley Additive exPlanations (SHAP) quantitatively identified spraying distance as the dominant parameter governing coating hardness, while elucidating the coupled effects of multiple parameters on hardness uniformity. By interpolatively expanding the process parameter space, a two-stage screening strategy identified 98 high-performance parameter combinations. Experimental validation confirmed that the optimal parameter set simultaneously achieved higher hardness and improved uniformity compared with the original best condition, resulting in a 13.6% reduction in wear rate. Full article
(This article belongs to the Special Issue Advanced Corrosion- and Wear-Resistant Coatings)
Show Figures

Figure 1

20 pages, 4412 KB  
Article
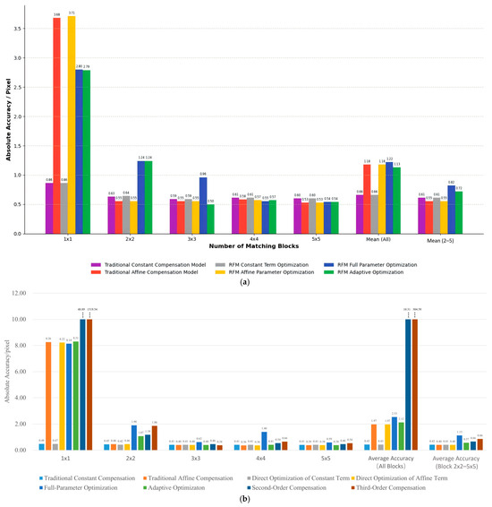
A Study on the Direct Optimization of a Rational Function Model for High-Resolution Satellite Images
by Danchao Gong, Yilong Han and Xu Huang
Remote Sens. 2026, 18(3), 456; https://doi.org/10.3390/rs18030456 - 1 Feb 2026
Viewed by 131
Abstract
Due to the influence of factors such as satellite jitters, orbital errors, star sensor errors, and satellite clock errors, significant geometric systematic errors often exist among multi-view satellite images. This is common for multi-view, cross-orbit satellite data, where complex nonlinear systematic errors are [...] Read more.
Due to the influence of factors such as satellite jitters, orbital errors, star sensor errors, and satellite clock errors, significant geometric systematic errors often exist among multi-view satellite images. This is common for multi-view, cross-orbit satellite data, where complex nonlinear systematic errors are present, making it difficult to correct them using traditional error compensation models. To achieve high-precision block adjustment, this paper proposes a direct adjustment and optimization method for Rational Function Model (RFM) parameters based on prior soft constraints. In this method, the original RFM parameters are used as prior information, which is formulated as prior information soft constraint equations in the adjustment model, aiming at effectively addressing the ill-posed problems. By directly optimizing part or all of the RFM parameters, this method can obtain stable adjustment results in scenarios of complex systematic errors. Experiments among WorldView-3, GaoFen Multi-mode, ZY-3 (Ziyuan-3), and GaoFen-7 satellite data show that, when using multi-view, cross-orbit satellite data and with sufficient and evenly distributed tie points, the proposed full-parameter RFM optimization method and the adaptive RFM optimization method can achieve the highest adjustment accuracy. On the other hand, when using in-track satellite data, the affine systematic error compensation model achieves the highest accuracy, while the adaptive RFM optimization method can achieve comparable accuracy. Therefore, the research results can be applied to intelligent processing scenarios for multi-view, cross-orbit satellite data, such as multi-temporal change detection and multi-view, cross-orbit satellite 3D modeling. Full article
Show Figures

Figure 1

24 pages, 2885 KB  
Article
Analysis of Vertical Shafts Excavation and Support Based on Cavity Contraction–Expansion Method
by Xian-Song Deng, Pei-Hong Xin, Jun Jiang, Yang Wang, Feng-Sheng Yang, Hai-Yang Huang and Pin-Qiang Mo
Appl. Sci. 2026, 16(3), 1390; https://doi.org/10.3390/app16031390 - 29 Jan 2026
Viewed by 148
Abstract
Vertical shafts are key channels for underground energy storage, mineral exploitation, and related engineering fields. Yet in deeply buried complex strata and high ground stress environments, traditional passive supports are prone to lining failure, while linear yield criteria cannot accurately characterize rock masses’ [...] Read more.
Vertical shafts are key channels for underground energy storage, mineral exploitation, and related engineering fields. Yet in deeply buried complex strata and high ground stress environments, traditional passive supports are prone to lining failure, while linear yield criteria cannot accurately characterize rock masses’ nonlinear mechanical behavior, limiting their use in shaft analysis. The core mechanical process of shaft construction aligns with the cavity contraction–expansion mechanism: excavation induces cavity unloading and contraction, causing shaft deformation and plastic zone expansion in surrounding rock; support enables cavity reverse expansion via preset shaft wall counter loads to actively control surrounding rock deformation. Based on this, this study integrates the Hoek–Brown nonlinear yield criterion, large-strain theory, and non-associated flow rules; couples cavity contraction–expansion semi-analytical solutions with the composite shaft wall mechanical model; and establishes a composite shaft wall–surrounding rock interaction analysis method. This research clarifies excavation-induced surrounding rock mechanical responses, reveals shaft wall counter loads’ regulatory effect on surrounding rock, and develops a systematic excavation support calculation workflow. Parameter analysis shows that increasing lining thickness is the most direct way to reduce inner wall tensile stress and improve safety; composite linings optimize stress distribution and enhance structural collaborative performance; and safety assessment confirms the lining inner wall as a structural weak zone. The proposed method and findings fill the gap in applying cavity contraction–expansion theory to shaft construction, providing reliable theoretical and practical guidance for deep shaft design, construction, and safety evaluation. Full article
(This article belongs to the Special Issue Advances in Smart Underground Construction and Tunneling Design)
Show Figures

Figure 1

Back to TopTop