Analysis of Vertical Shafts Excavation and Support Based on Cavity Contraction–Expansion Method
Abstract
1. Introduction
2. Materials and Methods
2.1. Problem Description and Computational Model
2.2. Solution for Excavation of Vertical Shaft
2.2.1. Elastic Solution
2.2.2. Plastic Solution
2.3. Analysis of Interaction Between Shaft Wall and Surrounding Rock
2.3.1. Solution of Composite Shaft Wall
2.3.2. Reload of Shaft Wall on Surrounding Rock—Elastic Stage of Reloading
2.3.3. Reload of Shaft Wall on Surrounding Rock—Plastic Stage of Reloading
2.4. Calculation Procedure
- Input the parameters of the surrounding rock (, ,, and ) and the material parameters of each lining layer (, , and ).
- Compute via Equation (8) and determine the elastoplastic state of surrounding rock post-vertical shaft excavation, based on the magnitude comparison between and . Subsequently calculate the post-excavation stress and displacement fields: adopt Equations (3)–(5) for the elastic state and Equations (6), (7) and (9) for the plastic state.
- Via the lining–surrounding rock interface displacement coordination condition, solve relevant unknowns to obtain the lining stiffness matrix and value; compute the stress and displacement distribution in the lining via Equation (13).
- Determine and evaluate the surrounding rock’s elastoplastic state: for the elastic state, adopt Equations (12)–(14) to calculate the stress and displacement fields; for the plastic state, use Equations (17), (18) and (20) for the same purpose.
3. Results
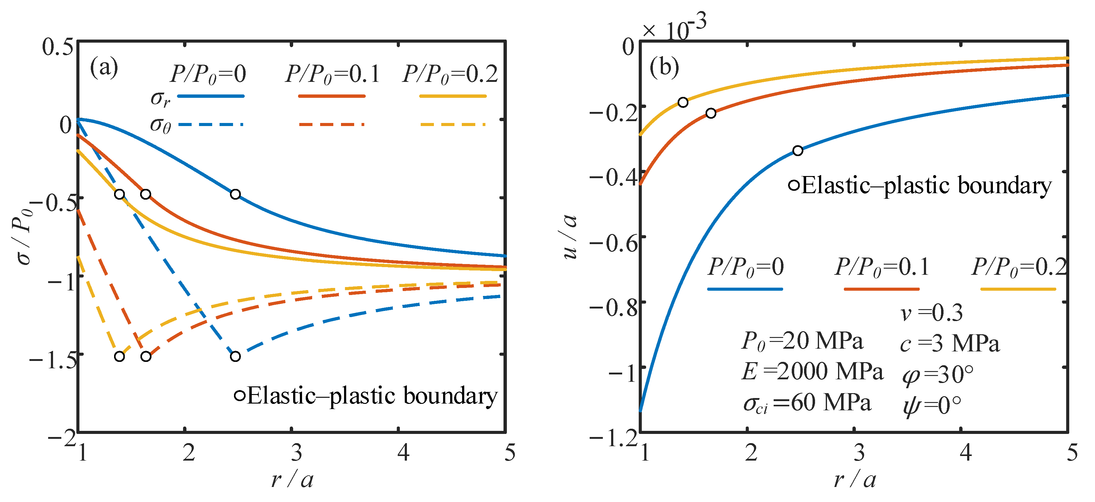
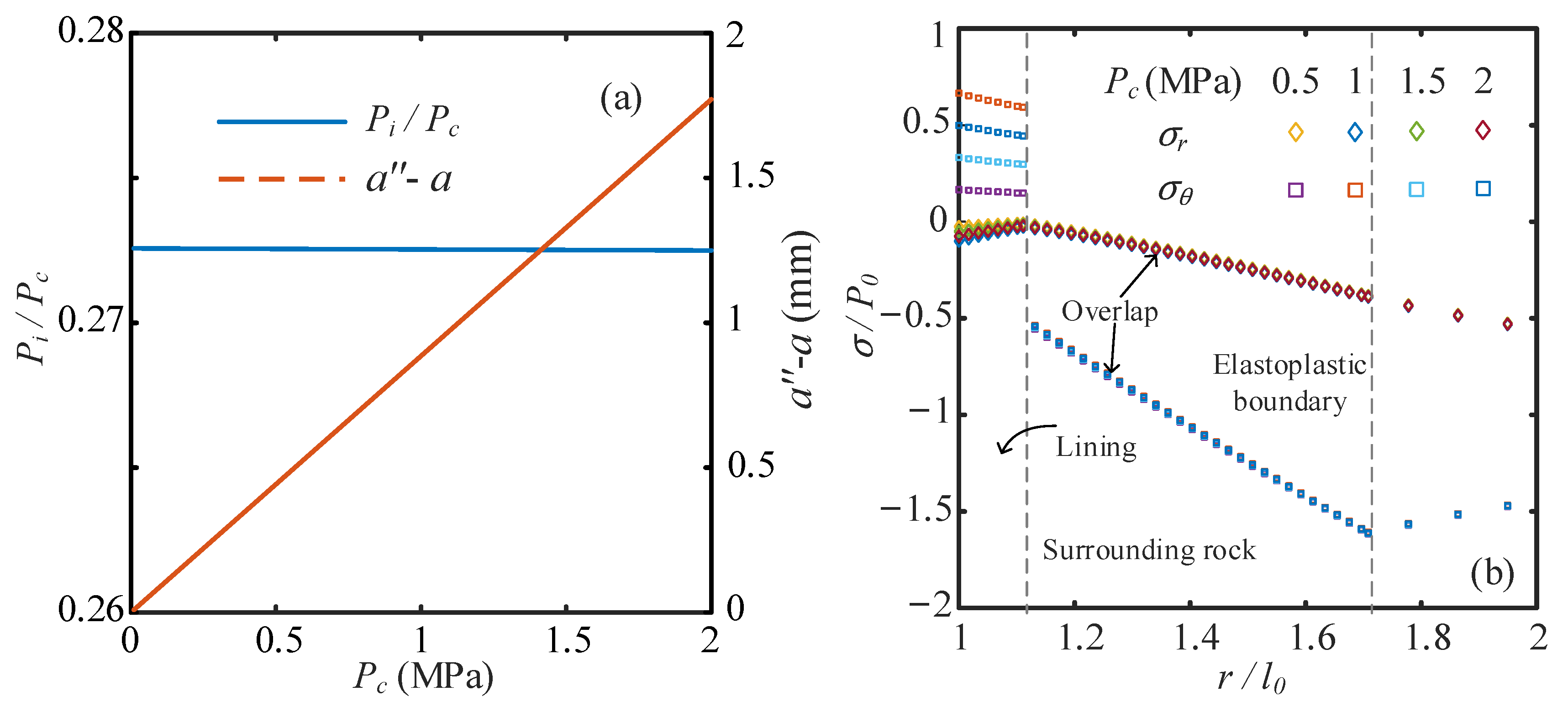
3.1. Stress and Displacement Distribution After Excavation
3.2. Stress and Displacement Analysis of Shaft Wall and Surrounding Rock
4. Discussion
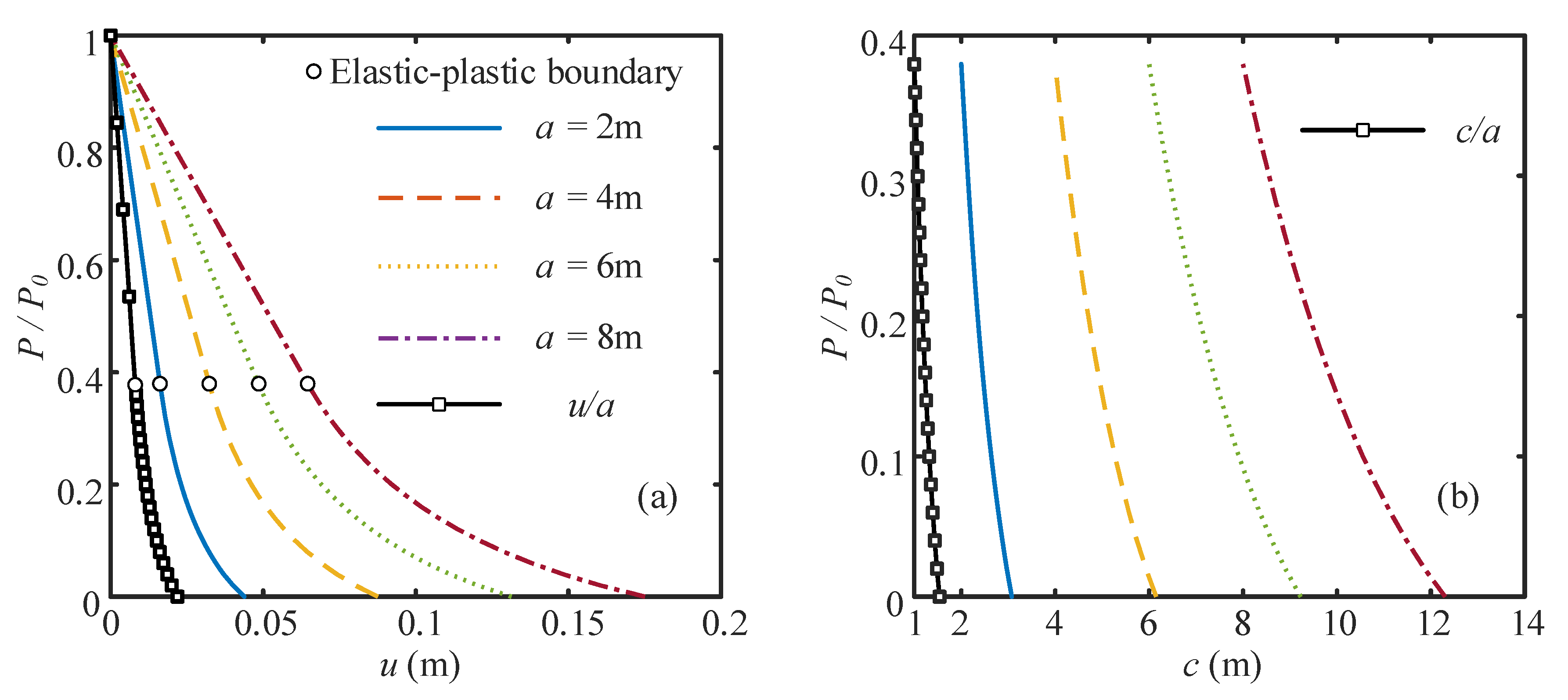
4.1. Analysis of Vertical Shafts Excavation
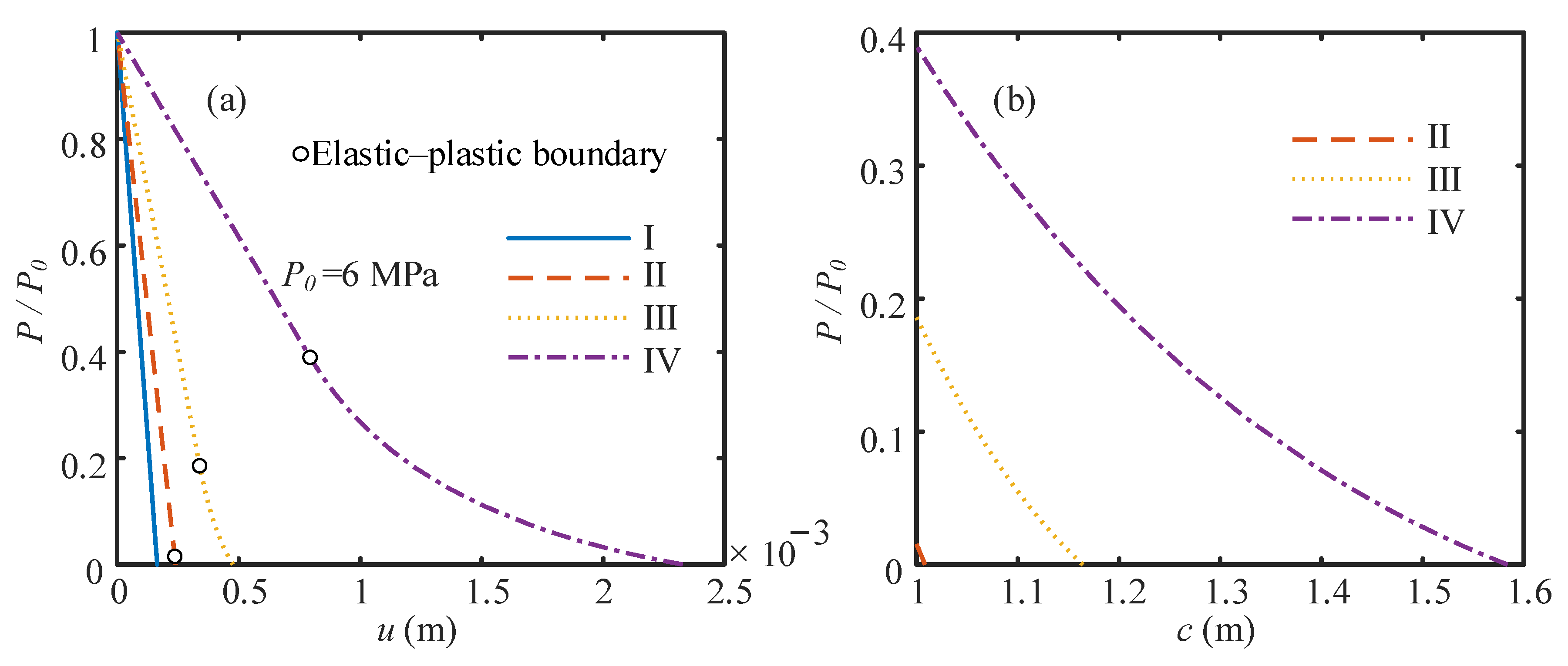
4.1.1. Influence of Surrounding Rock Grade on Excavation
4.1.2. Influence of Excavation Depth on Excavation
4.1.3. Influence of After-Excavation Radius on Excavation
4.2. Reload Analysis of Shaft Wall on Surrounding Rock
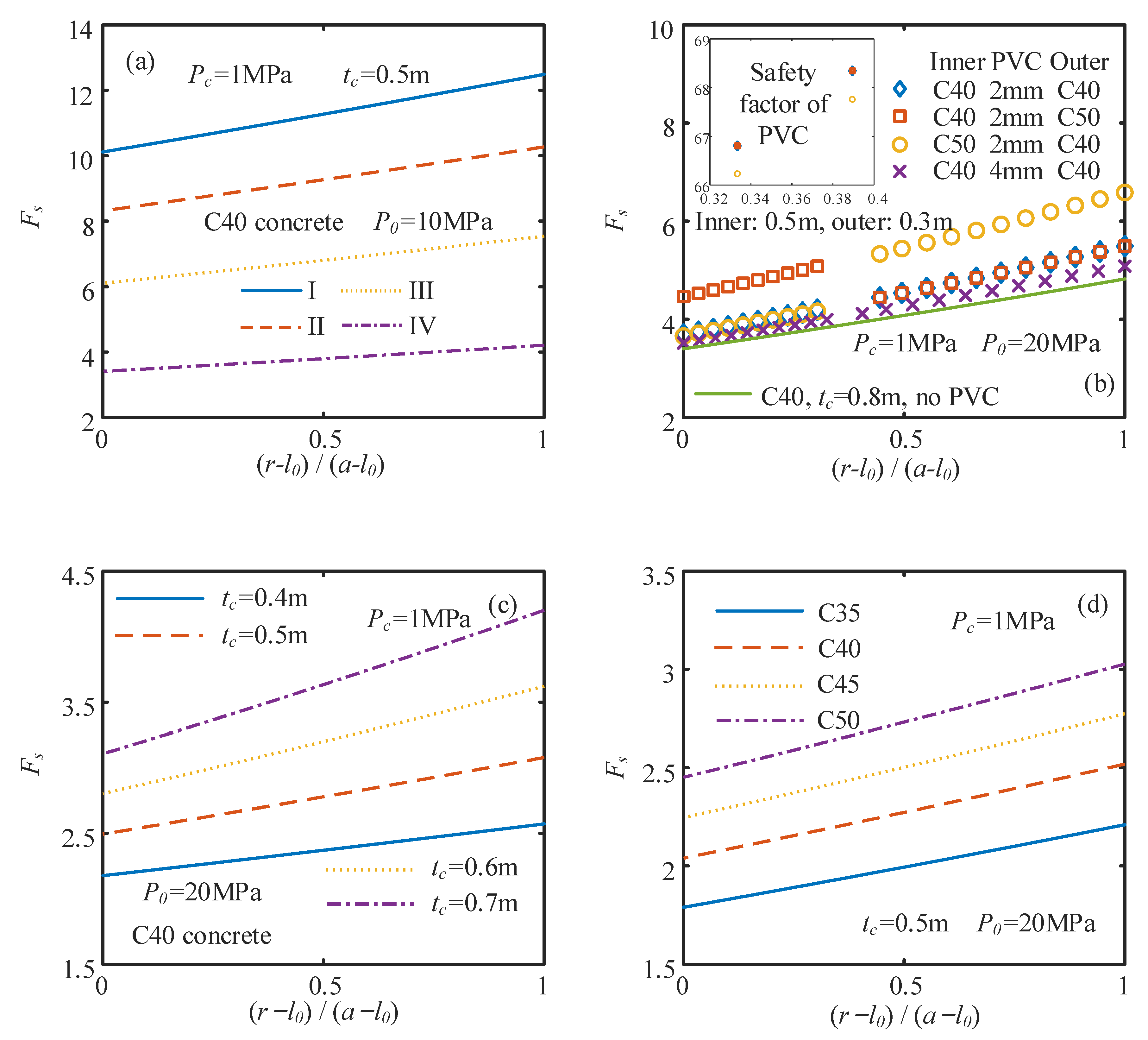
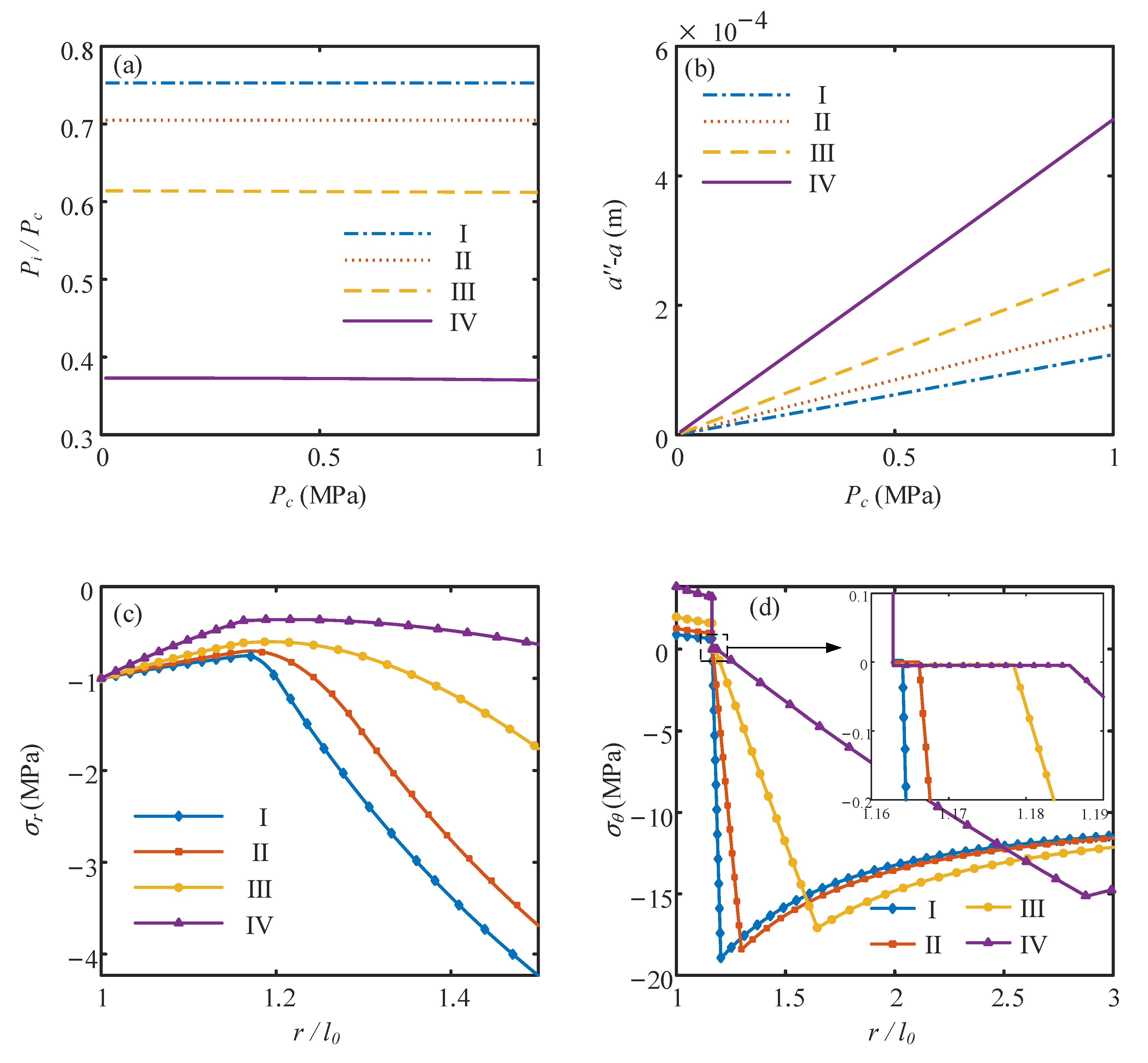
4.2.1. Influence of Different Rock Mass Grades
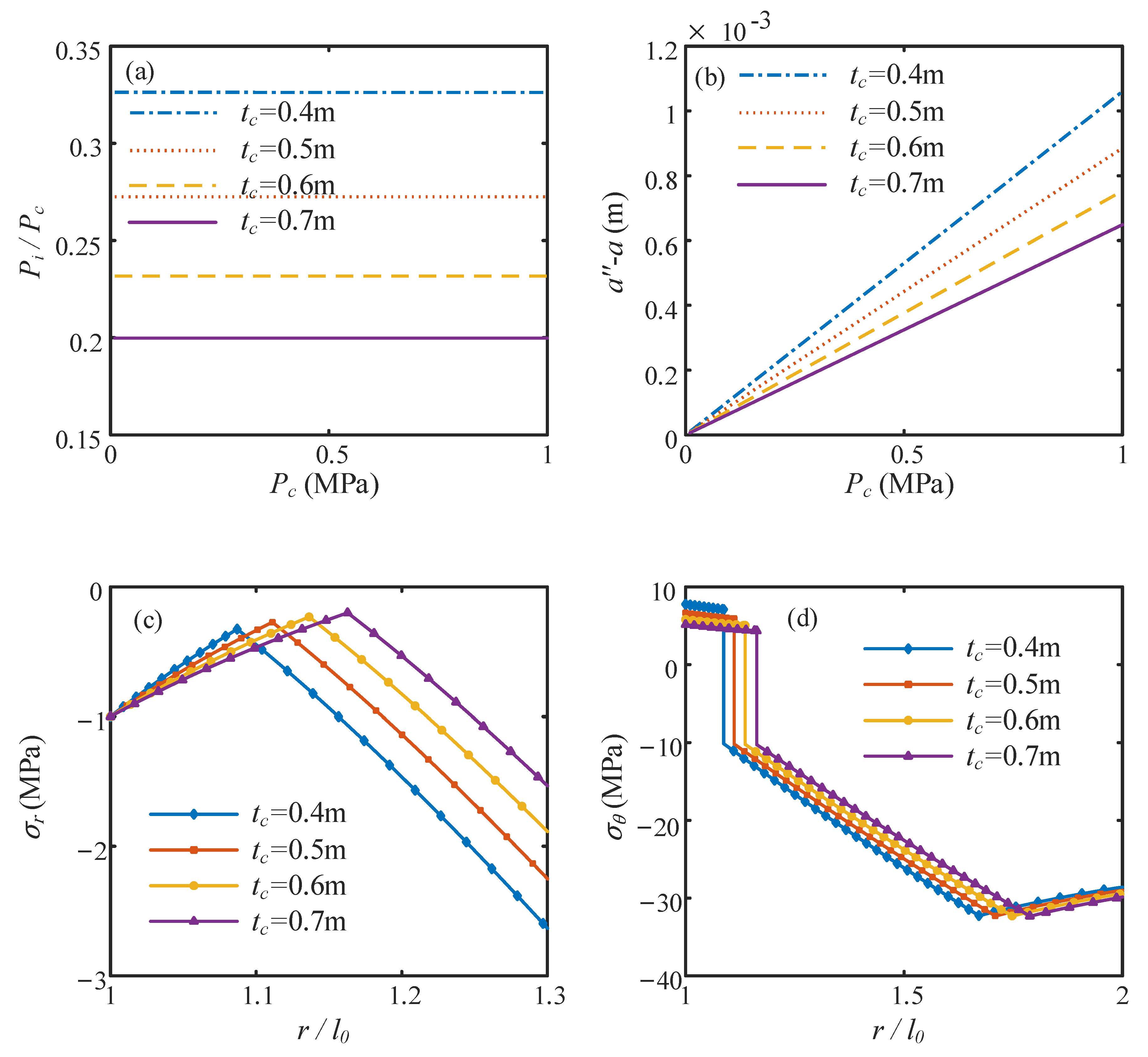
4.2.2. Influence of Different Shaft Wall Thicknesses
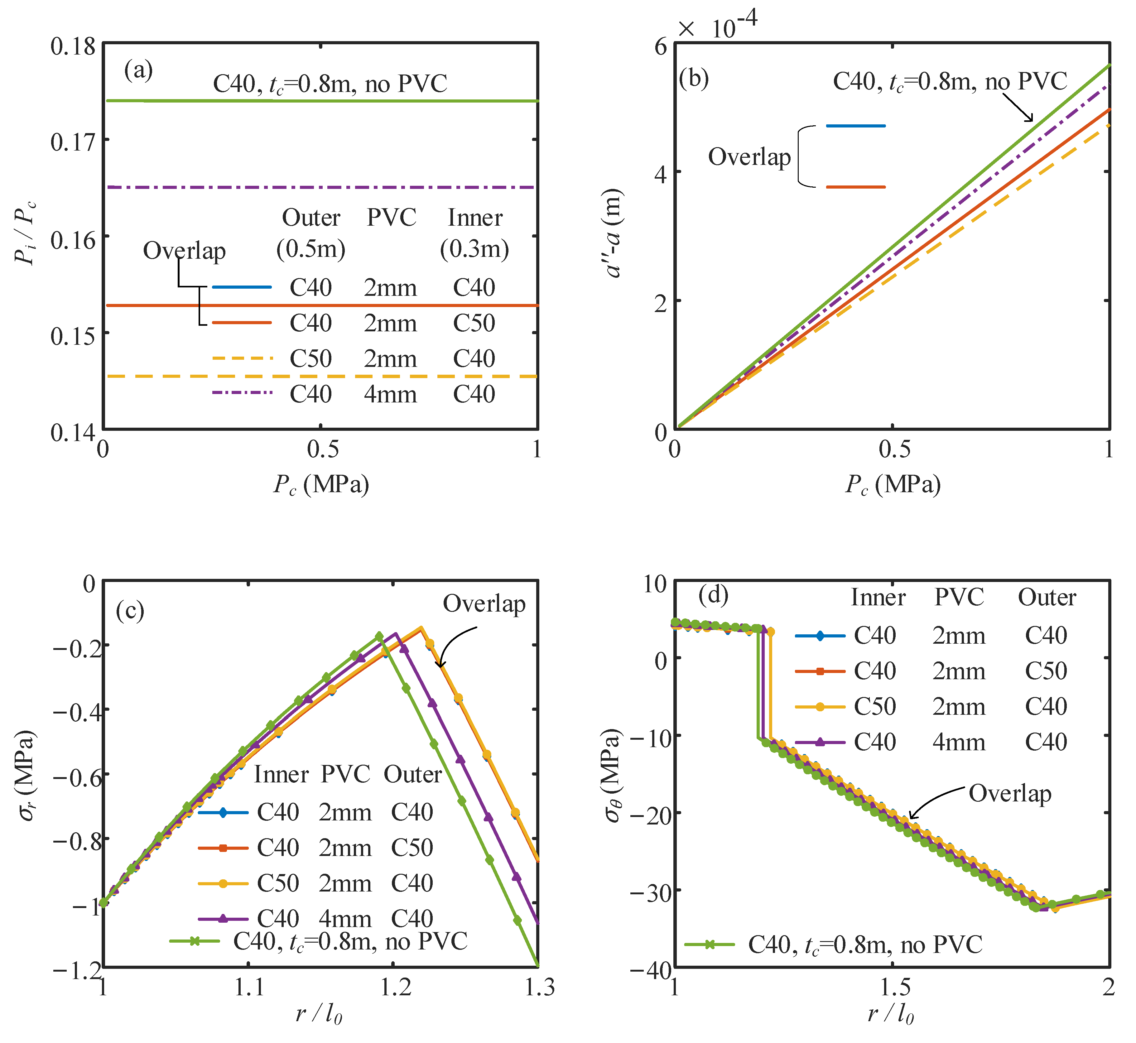
4.2.3. Influence of Composite Shaft Wall
4.2.4. Influence of Different Concrete Grades
4.3. Structural Safety Factor Analysis
5. Conclusions
- The proposed analytical framework accurately characterizes rock mass nonlinearity during shaft excavation. Excavation triggers stress redistribution in surrounding rock (tangential stress peaks at the elastoplastic boundary), and the plastic zone radius expands in a nonlinear, accelerated manner with the excavation degree, with plastic deformation dominating the displacement distribution. Rock mass grade and excavation depth are core stability-controlling factors: high-grade rock masses (Grades I–II) maintain good stability with minor deformation, while Grade IV rock forms extensive plastic zones and large displacements; deeper excavation advances plastic initiation and enlarges the plastic zone extent. Additionally, surrounding rock displacement and plastic zone range show self-similarity with the excavation radius, unrelated to the absolute excavation size.
- The lining inner wall is the structural weak link. Increasing lining thickness is the most direct measure to reduce inner wall tensile stress and improve safety; high-grade surrounding rock can also effectively lower lining tensile stress and interface displacement. The concrete grade has negligible impacts on structural stress distribution, but higher-grade concrete enhances material safety margins in an economical way.
- Composite linings with PVC interlayers optimize the support performance by reducing the pressure transmission rate and interface displacement and mitigating internal stress gradients; the “low inner, high outer” concrete configuration further improves the stress state of composite linings.
- Shaft support should follow the “surrounding rock-support integration” principle. For high-stress or weak rock conditions, a combined strategy of high-strength concrete, optimized composite lining, and appropriate thickness increase is recommended, and full-face excavation in Grade IV rock masses should be avoided to ensure construction safety and long-term stability.
Author Contributions
Funding
Institutional Review Board Statement
Informed Consent Statement
Data Availability Statement
Conflicts of Interest
Abbreviations
| PVC | Polyvinyl chloride |
| GCR | Ground curve response |
References
- Bartela, Ł.; Ochmann, J.; Waniczek, S.; Lutyński, M.; Smolnik, G.; Rulik, S. Evaluation of the Energy Potential of an Adiabatic Compressed Air Energy Storage System Based on a Novel Thermal Energy Storage System in a Post Mining Shaft. J. Energy Storage 2022, 54, 105282. [Google Scholar] [CrossRef]
- Kołodziej, K. Design of a Shaft Foot as a Supporting Element of the Thermal Energy Storage in Adiabatic CAES Concept in Post-Mining Shaft. IOP Conf. Ser. Earth Environ. Sci. 2023, 1132, 012010. [Google Scholar] [CrossRef]
- Kulpa, J.; Kamiński, P.; Stecuła, K.; Prostański, D.; Matusiak, P.; Kowol, D.; Kopacz, M.; Olczak, P. Technical and Economic Aspects of Electric Energy Storage in a Mine Shaft—Budryk Case Study. Energies 2021, 14, 7337. [Google Scholar] [CrossRef]
- Ma, F.; Deng, Q.; Cunningham, D.; Yuan, R.; Zhao, H. Vertical Shaft Collapse at the Jinchuan Nickel Mine, Gansu Province, China: Analysis of Contributing Factors and Causal Mechanisms. Environ. Earth Sci. 2013, 69, 21–28. [Google Scholar] [CrossRef]
- Shang, X.; Zhu, S.; Jiang, F.; Liu, J.; Li, J.; Hitch, M.; Liu, H.; Tang, S.; Zhu, C. Study on Dynamic Disaster Mechanisms of Thick Hard Roof Induced by Hydraulic Fracturing in Surface Vertical Well. Minerals 2022, 12, 1537. [Google Scholar] [CrossRef]
- Sun, Z.; Zhao, C.; Xing, J.; Huang, R.; Luo, Q.; Chen, H.; Niu, J. Elastic and Elastoplastic Analysis of Surrounding Rock in CAES Chambers Considering Excavation-Induced Centripetal Exponential Reduction in Mechanical Properties. Deep Undergr. Sci. Eng. 2025, 4, 582–596. [Google Scholar] [CrossRef]
- Yang, D.; Dong, S.; He, M.; Zhang, Z.; Du, T.; Ji, W. Experimental Study on the Performance of Hybrid Ventilation System Combining Forced Longitudinal Flow and Shaft Natural Ventilation in Tunnels. Tunn. Undergr. Space Technol. 2020, 103, 103491. [Google Scholar] [CrossRef]
- Xie, H.; Lv, H. Simulation of Slightly Degraded Reinforced Concrete Shaft Lining in Thick Topsoil. Teh. Vjesn.-Tech. Gaz. 2020, 27, 611–617. [Google Scholar] [CrossRef]
- Yu, P.; Liu, H.; Wang, Z.; Fu, J.; Zhang, H.; Wang, J.; Yang, Q. Development of Urban Underground Space in Coastal Cities in China: A Review. Deep Undergr. Sci. Eng. 2023, 2, 148–172. [Google Scholar] [CrossRef]
- Judeel, G.; Keyter, G.; Harte, N. Shaft Sinking and Lining Design for a Deep Potash Shaft in Squeezing Ground. In Proceedings of the 12th ISRM Congress, Beijing, China, 16–21 October 2011. [Google Scholar] [CrossRef]
- Ma, Z.; Sun, J.; Gong, P.; Yan, P.; Cui, N.; Zhang, R. Study on Creep Deformation and Energy Development of Underground Surrounding Rock under Four-Dimensional Support. Deep Undergr. Sci. Eng. 2024, 3, 25–38. [Google Scholar] [CrossRef]
- Wang, P.; Zhou, G. Frost-Heaving Pressure in Geotechnical Engineering Materials during Freezing Process. Int. J. Min. Sci. Technol. 2018, 28, 287–296. [Google Scholar] [CrossRef]
- Dias, T.G.S.; Farias, M.M.; Assis, A.P. Large Diameter Shafts for Underground Infrastructure. Tunn. Undergr. Space Technol. 2015, 45, 181–189. [Google Scholar] [CrossRef]
- Ozturk, H.; Guler, E. A Methodology for Lining Design of Circular Mine Shafts in Different Rock Masses. Int. J. Min. Sci. Technol. 2016, 26, 761–768. [Google Scholar] [CrossRef]
- Chen, B.; Mo, P.; Lu, Z.; Kuang, L.; Zhang, Q.; Eslami, A. Semi-Analytical Solution for the Stability of Deep Vertical Shaft Considering Time-Dependent Rock-Structure Interaction. Deep Undergr. Sci. Eng. 2025, 1–20. [Google Scholar] [CrossRef]
- Cho, J.; Lim, H.; Jeong, S.; Kim, K. Analysis of Lateral Earth Pressure on a Vertical Circular Shaft Considering the 3D Arching Effect. Tunn. Undergr. Space Technol. 2015, 48, 11–19. [Google Scholar] [CrossRef]
- Li, W.P.; Li, X.Q. Mechanism of Rupture of Shaft Linings in Coal Mine Areas Buried by Thick Over-Soils in East China. Géotechnique 2005, 55, 237–244. [Google Scholar] [CrossRef]
- Wang, Y.S.; Yang, R. Monitoring and Analysis of the Stress and Deformation of Shaft Lining and the Influence of Freezing Tube Fracture in Deep Topsoil. Cold Reg. Sci. Technol. 2022, 193, 103420. [Google Scholar] [CrossRef]
- Wu, Y.; Zhu, S.; Li, X.; Zhang, H.; Huang, Z. Distribution Characteristics of the Additional Vertical Stress on a Shaft Wall in Thick and Deep Alluvium: A Simulation Analysis. Nat. Hazards 2019, 96, 353–368. [Google Scholar] [CrossRef]
- Zhao, C.; Wang, Y.-B.; Zhao, C.; Wu, Y.; Fei, Y. Analysis of Drained Cavity Unloading–Contraction Considering Different Degrees of Intermediate Principal Stress with Unified Strength Theory. Int. J. Geomech. 2020, 20, 04020086. [Google Scholar] [CrossRef]
- Celestino, T.B.; Rocha, H.C.; Gonçalves, F.L. Geotechnical Aspects of Shaft Design and Construction in São Paulo City. In World Tunnel Congress; Hungarian Tunnelling Association: Budapest, Hungary, 2009. [Google Scholar]
- Hao, Y.; Liu, C.; Wu, Y.; Pu, H.; Chen, Y.; Shen, L.; Li, G. Numerical Modeling on Strain Energy Evolution in Rock System Interaction with Energy-Absorbing Prop and Rock Bolt. Int. J. Min. Sci. Technol. 2023, 33, 1273–1288. [Google Scholar] [CrossRef]
- Sun, Q.; Ma, F.; Guo, J.; Li, G.; Feng, X. Deformation Failure Mechanism of Deep Vertical Shaft in Jinchuan Mining Area. Sustainability 2020, 12, 2226. [Google Scholar] [CrossRef]
- Walton, G.; Kim, E.; Sinha, S.; Sturgis, G.; Berberick, D. Investigation of Shaft Stability and Anisotropic Deformation in a Deep Shaft in Idaho, United States. Int. J. Rock Mech. Min. Sci. 2018, 105, 160–171. [Google Scholar] [CrossRef]
- Bishop, R.F.; Hill, R.; Mott, N.F. The Theory of Indentation and Hardness Tests. Proc. Phys. Soc. 1945, 57, 147. [Google Scholar] [CrossRef]
- Hill, R. Mathematical Theory of Plasticity; Oxford University Press: Oxford, UK, 1950. [Google Scholar]
- Gibson, R.E.; Anderson, W.F. In Situ Measurement of Soil Properties with the Pressuremeter. Civ. Engrg. Pub. Wks. Rev. 1961, 56, 615–618. [Google Scholar]
- Chadwick, P. The Quasi-Static Expansion of a Spherical Cavity in Metals and Ideal Soils. Q. J. Mech. Appl. Math. 1959, 12, 52–71. [Google Scholar] [CrossRef]
- Shuttle, D. Cylindrical Cavity Expansion and Contraction in Tresca Soil. Géotechnique 2007, 57, 305–308. [Google Scholar] [CrossRef]
- Detournay, E. Elastoplastic Model of a Deep Tunnel for a Rock with Variable Dilatancy. Rock Mech. Rock Eng. 1986, 19, 99–108. [Google Scholar] [CrossRef]
- Yu, H.S.; Houlsby, G.T. Finite Cavity Expansion in Dilatant Soils: Loading Analysis. Géotechnique 1991, 41, 173–183. [Google Scholar] [CrossRef]
- Durban, D.; Fleck, N.A. Spherical Cavity Expansion in a Drucker-Prager Solid. J. Appl. Mech. 1997, 64, 743–750. [Google Scholar] [CrossRef]
- Matsuoka, H.; Sun, D. Extension of Spatially Mobilized Plane (SMP) to Frictional and Cohesive Materials and Its Application to Cemented Sands. Soils Found. 1995, 35, 63–72. [Google Scholar] [CrossRef]
- Chen, S.L.; Abousleiman, Y.N. Exact Undrained Elasto-Plastic Solution for Cylindrical Cavity Expansion in Modified Cam Clay Soil. Géotechnique 2012, 62, 447–456. [Google Scholar] [CrossRef]
- Silvestri, V.; Abou-Samra, G. Analytical Solution for Undrained Plane Strain Expansion of a Cylindrical Cavity in Modified Cam Clay. Geomech. Eng. 2012, 4, 19–37. [Google Scholar] [CrossRef]
- Li, G.-Y.; Mo, P.-Q.; Yang, H.; Yu, H.-S.; Qin, Y.-J. Undrained Cavity Expansion–Contraction Analysis in CASM and Its Application for Pressuremeter Tests. Can. Geotech. J. 2025, 62, 1–19. [Google Scholar] [CrossRef]
- Li, G.-Y.; Mo, P.-Q.; Lu, Z.; Yuan, R.; Yang, H.; Yu, H.-S. Drained Cavity Expansion-Contraction in CASM and Its Application for Pressuremeter Tests in Sands. J. Geotech. Geoenviron. Eng. 2024, 150, 04024073. [Google Scholar] [CrossRef]
- Mo, P.-Q.; Yu, H.-S. Drained Cavity Expansion Analysis with a Unified State Parameter Model for Clay and Sand. Can. Geotech. J. 2018, 55, 1029–1040. [Google Scholar] [CrossRef]
- Hoek, E.; Brown, E.T. Empirical Strength Criterion for Rock Masses. J. Geotech. Eng. Div. 1980, 106, 1013–1035. [Google Scholar] [CrossRef]
- Hoek, E.; Carranza-Torres, C.; Corkum, B.; Corkum, B. Hoek-Brown Failure Criterion—2002 Edition; Proc. NARMS-TAC Conference: Toronto, Canada, 2002; Volume 1, pp. 267–273. [Google Scholar]
- Carranza-Torres, C. Elasto-Plastic Solution of Tunnel Problems Using the Generalized Form of the Hoek-Brown Failure Criterion. Int. J. Rock Mech. Min. Sci. 2004, 41, 629–639. [Google Scholar] [CrossRef]
- Sharan, S.K. Elastic–Brittle–Plastic Analysis of Circular Openings in Hoek–Brown Media. Int. J. Rock Mech. Min. Sci. 2003, 40, 817–824. [Google Scholar] [CrossRef]
- Gharsallaoui, H.; Jafari, M.; Holeyman, A. Cavity Expansion in Rock Masses Obeying the “Hoek–Brown” Failure Criterion. Rock Mech. Rock Eng. 2020, 53, 927–941. [Google Scholar] [CrossRef]
- Mo, P.-Q.; Fang, Y.; Yu, H.-S. Benchmark Solutions of Large-Strain Cavity Contraction for Deep Tunnel Convergence in Geomaterials. J. Rock Mech. Geotech. Eng. 2020, 12, 596–607. [Google Scholar] [CrossRef]
- Sharan, S.K. Exact and Approximate Solutions for Displacements around Circular Openings in Elastic–Brittle–Plastic Hoek–Brown Rock. Int. J. Rock Mech. Min. Sci. 2005, 42, 542–549. [Google Scholar] [CrossRef]
- Xu, C.; Xia, C.; Du, S. Simplified Solution for Viscoelastic-Plastic Interaction between Tunnel Support and Surrounding Rock Based on MC and GZZ Strength Criteria. Comput. Geotech. 2021, 139, 104393. [Google Scholar] [CrossRef]
- Hoek, E.; Brown, E.T. The Hoek–Brown Failure Criterion and GSI—2018 Edition. J. Rock Mech. Geotech. Eng. 2019, 11, 445–463. [Google Scholar] [CrossRef]
- GB/T50010-2010; Code for Seismic Design of Buildings. China Architecture & Building Press: Beijing, China, 2024.
- GB/T 50218-2014; Standard for Engineering Classification of Rock Masses. China Planning Press: Beijing, China, 2014.













| Parameters | (-) | ||||||||
|---|---|---|---|---|---|---|---|---|---|
| Value | 1 | 20 | 0 | 60 | 2000 | 0.3 | 3 | 30 | 0 |
| Parameters | (MPa) | Concrete Grade | (-) | |||||||||
|---|---|---|---|---|---|---|---|---|---|---|---|---|
| value | 0.5 | 0.01–2 | C40 | 5 | 20 | 0 | 60 | 2000 | 0.3 | 3 | 30 | 0 |
| Concrete Grade | C35 | C40 | C45 | C50 |
|---|---|---|---|---|
| 31.5 | 32.5 | 33.5 | 34.5 | |
| 0.2 | ||||
| 16.7 | 19.1 | 27.1 | 23.1 |
| Surrounding Rock Grade | ||||||
|---|---|---|---|---|---|---|
| I | 27 | 61 | 2.2 | 0.15 | 35 | 60 |
| II | 26.5 | 52 | 1.6 | 0.2 | 25 | |
| III | 25.5 | 42 | 1 | 0.25 | 15 | |
| IV | 24 | 30 | 0.7 | 0.3 | 5 |
Disclaimer/Publisher’s Note: The statements, opinions and data contained in all publications are solely those of the individual author(s) and contributor(s) and not of MDPI and/or the editor(s). MDPI and/or the editor(s) disclaim responsibility for any injury to people or property resulting from any ideas, methods, instructions or products referred to in the content. |
© 2026 by the authors. Licensee MDPI, Basel, Switzerland. This article is an open access article distributed under the terms and conditions of the Creative Commons Attribution (CC BY) license.
Share and Cite
Deng, X.-S.; Xin, P.-H.; Jiang, J.; Wang, Y.; Yang, F.-S.; Huang, H.-Y.; Mo, P.-Q. Analysis of Vertical Shafts Excavation and Support Based on Cavity Contraction–Expansion Method. Appl. Sci. 2026, 16, 1390. https://doi.org/10.3390/app16031390
Deng X-S, Xin P-H, Jiang J, Wang Y, Yang F-S, Huang H-Y, Mo P-Q. Analysis of Vertical Shafts Excavation and Support Based on Cavity Contraction–Expansion Method. Applied Sciences. 2026; 16(3):1390. https://doi.org/10.3390/app16031390
Chicago/Turabian StyleDeng, Xian-Song, Pei-Hong Xin, Jun Jiang, Yang Wang, Feng-Sheng Yang, Hai-Yang Huang, and Pin-Qiang Mo. 2026. "Analysis of Vertical Shafts Excavation and Support Based on Cavity Contraction–Expansion Method" Applied Sciences 16, no. 3: 1390. https://doi.org/10.3390/app16031390
APA StyleDeng, X.-S., Xin, P.-H., Jiang, J., Wang, Y., Yang, F.-S., Huang, H.-Y., & Mo, P.-Q. (2026). Analysis of Vertical Shafts Excavation and Support Based on Cavity Contraction–Expansion Method. Applied Sciences, 16(3), 1390. https://doi.org/10.3390/app16031390

