Sign in to use this feature.

Years

Between: -

Subjects

remove_circle_outline
remove_circle_outline
remove_circle_outline
remove_circle_outline
remove_circle_outline
remove_circle_outline
remove_circle_outline
remove_circle_outline
remove_circle_outline

Journals

Article Types

Countries / Regions

remove_circle_outline
remove_circle_outline
remove_circle_outline

Search Results (159)

Search Parameters:
Keywords = non-zero vector

Order results
Result details
Results per page
Select all
Export citation of selected articles as:
19 pages, 415 KB  
Article
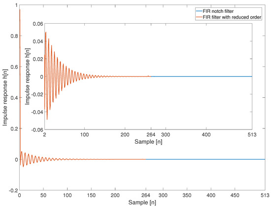
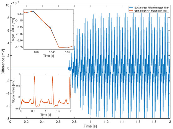
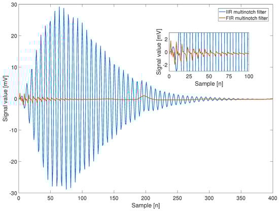
A Multinotch FIR Filter Based on a Stable IIR Filter Prototype with Improved Dynamic Performance via Iterative Determination of Nonzero Initial Conditions Using Vector Projection
by Sławomir Kocoń and Jacek Piskorowski
Electronics 2026, 15(4), 842; https://doi.org/10.3390/electronics15040842 - 16 Feb 2026
Abstract
In many cases, the removal of individual frequency components from a signal spectrum is achieved using notch and multinotch filters. One of the main disadvantages of such filters is the occurrence of transient states, which depend, among other factors, on the filter order [...] Read more.
In many cases, the removal of individual frequency components from a signal spectrum is achieved using notch and multinotch filters. One of the main disadvantages of such filters is the occurrence of transient states, which depend, among other factors, on the filter order and selectivity, i.e., the bandwidth of the stopband. In this paper, the authors present a method for synthesizing a finite impulse response (FIR) multinotch filter based on a prototype infinite impulse response (IIR) notch filter. The proposed approach is characterized by a significant reduction in the influence of transient effects on the filter response, achieved through the iterative determination of nonzero initial conditions. This allows the dynamic performance of the filter to be improved without compromising its frequency response. Furthermore, the proposed filter structure is characterized by having a lower filter order than conventional filtering structures while maintaining satisfactory filtration quality. To demonstrate the properties of the proposed structure, computer simulations were performed and filtration quality metrics were evaluated. The obtained results indicate that the proposed structure outperforms classical filtering methods by ensuring faster stabilization of the response during the transient state. Moreover, it was demonstrated that the proposed method of reducing the FIR filter order has only a minor effect on filtration quality. Full article
(This article belongs to the Section Circuit and Signal Processing)
Show Figures

Figure 1

21 pages, 1385 KB  
Article
A Novel Twin-Bounded Support Vector Machine with Smooth Generalized Pinball Loss
by Patcharapa Srichok, Panu Yimmuang and Eckart Schulz
Mathematics 2026, 14(3), 549; https://doi.org/10.3390/math14030549 - 3 Feb 2026
Viewed by 140
Abstract
We present a one-parameter family of smooth generalized pinball loss functions to overcome the challenges of non-differentiability, noise sensitivity, and resampling instability inherent in traditional loss functions such as hinge loss. These functions make the objective function in the formulation of the support [...] Read more.
We present a one-parameter family of smooth generalized pinball loss functions to overcome the challenges of non-differentiability, noise sensitivity, and resampling instability inherent in traditional loss functions such as hinge loss. These functions make the objective function in the formulation of the support vector machine (SVM) model twice continuously differentiable and improve model performance by reducing noise sensitivity and preserving the sparsity of the solution. Similarly, a novel twin-bounded support vector machine (TBSVM) model with a smooth generalized pinball loss function is obtained. Furthermore, we compare the performance of the TBSVM with the novel type of smooth loss function against other contemporary approaches, offering a comprehensive assessment of its strengths and limitations by conducting an evaluation with UCI datasets. The experimental results show that the proposed model has the best performance in the TBSVM with RBFSampler. Additionally, we prove that the generalized pinball loss function can be approximated by a novel smooth generalized pinball loss function in the uniform norm with arbitrary precision. We further show that the solutions of the proposed SVM and TBSVM models are unique and that they converge to the solutions of the models with non-smooth generalized pinball loss as the parameter approaches zero. Full article
(This article belongs to the Special Issue Advanced Studies in Mathematical Optimization and Machine Learning)
Show Figures

Figure 1

15 pages, 884 KB  
Article
AI-Driven Typography: A Human-Centered Framework for Generative Font Design Using Large Language Models
by Yuexi Dong and Mingyong Gao
Information 2026, 17(2), 150; https://doi.org/10.3390/info17020150 - 3 Feb 2026
Viewed by 221
Abstract
This paper presents a human-centered, AI-driven framework for font design that reimagines typography generation as a collaborative process between humans and large language models (LLMs). Unlike conventional pixel- or vector-based approaches, our method introduces a Continuous Style Projector that maps visual features from [...] Read more.
This paper presents a human-centered, AI-driven framework for font design that reimagines typography generation as a collaborative process between humans and large language models (LLMs). Unlike conventional pixel- or vector-based approaches, our method introduces a Continuous Style Projector that maps visual features from a pre-trained ResNet encoder into the LLM’s latent space, enabling zero-shot style interpolation and fine-grained control of stroke and serif attributes. To model handwriting trajectories more effectively, we employ a Mixture Density Network (MDN) head, allowing the system to capture multi-modal stroke distributions beyond deterministic regression. Experimental results show that users can interactively explore, mix, and generate new typefaces in real time, making the system accessible for both experts and non-experts. The approach reduces reliance on commercial font licenses and supports a wide range of applications in education, design, and digital communication. Overall, this work demonstrates how LLM-based generative models can enhance creativity, personalization, and cultural expression in typography, contributing to the broader field of AI-assisted design. Full article
Show Figures

Figure 1

24 pages, 393 KB  
Article
Global Transition of Energy Vectors in the Maritime Sector: Role of Liquefied Natural Gas, Green Hydrogen, and Ammonia in Achieving Net Zero by 2050
by Carmen Luisa Vásquez Stanescu, Rhonmer Pérez-Cedeño, Jesús C. Hernández and Teresa Batista
Energies 2026, 19(2), 568; https://doi.org/10.3390/en19020568 - 22 Jan 2026
Viewed by 242
Abstract
The global transition toward net-zero emissions by 2050, encompassing the International Energy Agency’s Roadmap for the energy sector, the IMO’s revised strategy for the maritime industry, and broader climate guidelines, necessitates a profound transformation of both global energy systems and the shipping sector. [...] Read more.
The global transition toward net-zero emissions by 2050, encompassing the International Energy Agency’s Roadmap for the energy sector, the IMO’s revised strategy for the maritime industry, and broader climate guidelines, necessitates a profound transformation of both global energy systems and the shipping sector. In this context, energy vectors such as Liquefied Natural Gas, Green Hydrogen, and Ammonia are emerging as key elements for this shift. This review article proposes a comprehensive analysis of these vectors, contrasting their roles: Liquefied Natural Gas as a transitional solution and Hydrogen and Ammonia as long-term pillars for decarbonization. The research moves beyond a simple comparative analysis, offering a detailed mapping and evaluation of the global port infrastructure required for their safe handling, cryogenic storage, and bunkering operations. We examine their technical specifications, decarbonization potential, and the challenges related to operational feasibility, costs, regulation, and sustainability. The objective is to provide a critical perspective on how the evolution of maritime ports into energy hubs is a sine qua non condition for the secure and efficient management of these vectors, thereby ensuring the sector effectively meets the Net Zero 2050 climate goals. Full article
12 pages, 7467 KB  
Article
Objective Liutex from Flow Data Measured in a Non-Inertial Frame
by Yifei Yu, Oscar Alvarez and Chaoqun Liu
Fluids 2026, 11(1), 4; https://doi.org/10.3390/fluids11010004 - 26 Dec 2025
Viewed by 295
Abstract
Objectivity is a fundamental requirement for vortex identification, ensuring that vortex structures observed remain invariant under changes in the reference frame. However, although most conventional vortex identification methods, including Liutex, are Galilean invariant, they are not objective. Since the accelerated motion of the [...] Read more.
Objectivity is a fundamental requirement for vortex identification, ensuring that vortex structures observed remain invariant under changes in the reference frame. However, although most conventional vortex identification methods, including Liutex, are Galilean invariant, they are not objective. Since the accelerated motion of the observer does not affect the velocity gradient tensor at an instant of time, the rotational motion is only considered for the non-inertial frame. This paper proposes a method to recover the angular velocity of a rotating observer directly from flow field data measured in the rotating frame. The approach exploits the observation that, in an inertial frame, zero-vorticity points tend to dominate the region with an almost identical nonzero vorticity in the observer’s non-inertial coordinate system. By identifying the most frequently occurring vorticity within the domain, the observer’s angular velocity can be uniquely determined, enabling reconstruction of the objective velocity gradient tensor and, consequently, the objective Liutex. The key issue is to find a reference point (RP). The RP should have zero vorticity in the inertial coordinate system, and then the RP has the same angular speed as the observer. The RP can be found by comparing the vorticity of all points in the computational domain and the RP will correspond to the vorticity vector with the highest percentage in the non-inertial coordinate system. The proposed method is validated using DNS data of the boundary layer transition over a flat plate with an artificially imposed angular velocity. The recovered angular velocity agrees closely with the true value within an acceptable margin of error. Furthermore, the objective Liutex reconstructed from the rotating frame data is visually indistinguishable from the original inertial frame Liutex. These results demonstrate that the method provides a simple and accurate way to restore objectivity for Liutex and other vortex identification techniques. The objective Liutex will be equal to the original Liutex in an inertial coordinate system when the observer does not have rotational motion. Full article
(This article belongs to the Section Turbulence)
Show Figures

Figure 1

17 pages, 316 KB  
Proceeding Paper
AI-Powered Cybersecurity Mesh for Financial Transactions: A Generative-Intelligence Paradigm for Payment Security
by Utham Kumar Anugula Sethupathy and Vijayanand Ananthanarayan
Comput. Sci. Math. Forum 2025, 12(1), 10; https://doi.org/10.3390/cmsf2025012010 - 19 Dec 2025
Viewed by 654
Abstract
The rapid expansion of digital payment channels has significantly widened the financial transaction attack surface, exposing ecosystems to sophisticated, polymorphic threat vectors. This study introduces an AI-powered cybersecurity mesh that unites Generative AI (GenAI), federated reinforcement learning, and zero-trust principles, with a forward-looking [...] Read more.
The rapid expansion of digital payment channels has significantly widened the financial transaction attack surface, exposing ecosystems to sophisticated, polymorphic threat vectors. This study introduces an AI-powered cybersecurity mesh that unites Generative AI (GenAI), federated reinforcement learning, and zero-trust principles, with a forward-looking architecture designed for post-quantum readiness. The architecture ingests high-velocity telemetry, coordinates self-evolving agent collectives, and anchors model provenance in a permissioned blockchain to guarantee verifiability and non-repudiation. Empirical evaluations across two production-scale environments—a mobile wallet processing two million transactions per day and a high-throughput cross-border remittance rail—demonstrate a 95.1% threat-detection rate, a 62% reduction in false positives, and a 35.7% latency decrease compared to baseline systems. These results affirm the feasibility of a generative cybersecurity mesh as a scalable, future-proofed blueprint for next-generation payment security. Full article
Show Figures

Figure 1

17 pages, 2576 KB  
Article
Plasmon Dispersion in Two-Dimensional Systems with Non-Coulomb Interaction
by Levente Máthé, Ilinca Lianu, Adrian Calborean and Ioan Grosu
Crystals 2025, 15(11), 985; https://doi.org/10.3390/cryst15110985 - 15 Nov 2025
Viewed by 709
Abstract
We theoretically study plasmon dispersion within the random-phase approximation in two-dimensional systems, including undoped and doped monolayer graphene at zero and finite temperatures, and hole- and electron-doped monolayer XSe (X=In,Ga) and disordered two-dimensional electron gas at [...] Read more.
We theoretically study plasmon dispersion within the random-phase approximation in two-dimensional systems, including undoped and doped monolayer graphene at zero and finite temperatures, and hole- and electron-doped monolayer XSe (X=In,Ga) and disordered two-dimensional electron gas at zero temperature, in the presence of a non-Coulomb interaction of the form rη. Our findings show that the parameter η, which characterizes the non-Coulombic nature of the interaction, strongly affects the dependence of the plasmon frequency on the wave vector in the long-wavelength limit. Furthermore, the carrier density dependence of the plasmon frequency is unaffected by the parameter η in this regime. For η=1, corresponding to the Coulomb case, the well-known results are fully recovered for all systems studied here. Full article
(This article belongs to the Special Issue Research on Electrolytes and Energy Storage Materials (2nd Edition))
Show Figures

Figure 1

26 pages, 365 KB  
Article
Exact Solutions of Maxwell Vacuum Equations in Petrov Homogeneous Non-Null Spaces
by Valery V. Obukhov
Symmetry 2025, 17(9), 1574; https://doi.org/10.3390/sym17091574 - 20 Sep 2025
Viewed by 600
Abstract
The classification of exact solutions of Maxwell vacuum equations for pseudo-Riemannian spaces with spatial symmetry (homogeneous non-null spaces in Petrov) in the presence of electromagnetic fields invariant with respect to the action of the group of space motions is summarized. A new classification [...] Read more.
The classification of exact solutions of Maxwell vacuum equations for pseudo-Riemannian spaces with spatial symmetry (homogeneous non-null spaces in Petrov) in the presence of electromagnetic fields invariant with respect to the action of the group of space motions is summarized. A new classification method is used, common to all homogeneous zero spaces of Petrov. The method is based on the use of canonical reper vectors and on the use of a new approach to the systematization of solutions. The classification results are presented in a form more convenient for further use. Using the previously made refinement of the classification of Petrov spaces, the classification of exact solutions of Maxwell vacuum equations for spaces with the group of motions G3(VIII) is completed. Full article
(This article belongs to the Special Issue Mathematics: Feature Papers 2025)
15 pages, 1001 KB  
Article
SRB-ELL: A Vector-Friendly Sparse Matrix Format for SpMV on Scratchpad-Augmented Architectures
by Sheng Zhang, Wuqiang Bai, Zongmao Zhang, Xuchao Xie and Xuebin Tang
Appl. Sci. 2025, 15(17), 9811; https://doi.org/10.3390/app15179811 - 7 Sep 2025
Viewed by 1299
Abstract
Sparse Matrix–Vector Multiplication (SpMV) is a critical computational kernel in high-performance computing (HPC) and artificial intelligence (AI). However, its irregular memory access patterns lead to frequent cache misses on multi-level cache hierarchies, significantly degrading performance. Scratchpad memory (SPM), a software-managed, low-latency on-chip memory, [...] Read more.
Sparse Matrix–Vector Multiplication (SpMV) is a critical computational kernel in high-performance computing (HPC) and artificial intelligence (AI). However, its irregular memory access patterns lead to frequent cache misses on multi-level cache hierarchies, significantly degrading performance. Scratchpad memory (SPM), a software-managed, low-latency on-chip memory, offers improved data locality and control, making it a promising alternative for irregular workloads. To enhance SpMV performance, we propose a vectorized execution framework targeting SPM-augmented processors. Recognizing the limitations of traditional formats for vectorization, we introduce Sorted-Row-Block ELL (SRB-ELL), a new matrix storage format derived from ELLPACK (ELL). SRB-ELL stores only non-zero elements, partitions the matrix into row blocks, and sorts them by block size to improve load balance and SIMD efficiency. We implement and evaluate SRB-ELL on a custom processor architecture with integrated SPM using the gem5 simulator. Experimental results show that, compared to vectorized CSR-based SpMV, the SRB-ELL design achieves up to 1.48× speedup and an average of 1.19×. Full article
Show Figures

Figure 1

25 pages, 434 KB  
Article
The Impact of Digitalization on Carbon Emission Efficiency: An Intrinsic Gaussian Process Regression Approach
by Yongtong Hu, Jiaqi Xu and Tao Liu
Sustainability 2025, 17(14), 6551; https://doi.org/10.3390/su17146551 - 17 Jul 2025
Cited by 1 | Viewed by 1289
Abstract
This study introduces an intrinsic Gaussian Process Regression (iGPR) model for the first time, which incorporates non-Euclidean spatial covariates via a Gaussian process prior to analyzing the relationship between digitalization and carbon emission efficiency. The iGPR model’s hierarchical design embeds a Gaussian process [...] Read more.
This study introduces an intrinsic Gaussian Process Regression (iGPR) model for the first time, which incorporates non-Euclidean spatial covariates via a Gaussian process prior to analyzing the relationship between digitalization and carbon emission efficiency. The iGPR model’s hierarchical design embeds a Gaussian process as a flexible spatial random effect with a heat-kernel-based covariance function to capture the manifold geometry of spatial features. To enable tractable inference, we employ a penalized maximum-likelihood estimation (PMLE) approach to jointly estimate regression coefficients and covariance hyperparameters. Using a panel dataset linking a national digitalization (modernization) index to carbon emission efficiency, the empirical analysis demonstrates that digitalization has a significantly positive impact on carbon emission efficiency while accounting for spatial heterogeneity. The iGPR model also exhibits superior predictive accuracy compared to state-of-the-art machine learning methods (including XGBoost, random forest, support vector regression, ElasticNet, and a standard Gaussian process regression), achieving the lowest mean squared error (MSE = 0.0047) and an average prediction error near zero. Robustness checks include instrumental-variable GMM estimation to address potential endogeneity across the efficiency distribution and confirm the stability of the estimated positive effect of digitalization. Full article
Show Figures

Figure 1

18 pages, 899 KB  
Article
Hyperparameter Optimization EM Algorithm via Bayesian Optimization and Relative Entropy
by Dawei Zou, Chunhua Ma, Peng Wang and Yanqiu Geng
Entropy 2025, 27(7), 678; https://doi.org/10.3390/e27070678 - 25 Jun 2025
Cited by 1 | Viewed by 1575
Abstract
Hyperparameter optimization (HPO), which is also called hyperparameter tuning, is a vital component of developing machine learning models. These parameters, which regulate the behavior of the machine learning algorithm and cannot be directly learned from the given training data, can significantly affect the [...] Read more.
Hyperparameter optimization (HPO), which is also called hyperparameter tuning, is a vital component of developing machine learning models. These parameters, which regulate the behavior of the machine learning algorithm and cannot be directly learned from the given training data, can significantly affect the performance of the model. In the context of relevance vector machine hyperparameter optimization, we have used zero-mean Gaussian weight priors to derive iterative equations through evidence function maximization. For a general Gaussian weight prior and Bayesian linear regression, we similarly derive iterative reestimation equations for hyperparameters through evidence function maximization. Subsequently, after using relative entropy and Bayesian optimization, the aforementioned non-closed-form reestimation equations can be partitioned into E and M steps, providing a clear mathematical and statistical explanation for the iterative reestimation equations of hyperparameters. The experimental result shows the effectiveness of the EM algorithm of hyperparameter optimization, and the algorithm also has the merit of fast convergence, except that the covariance of the posterior distribution is a singular matrix, which affects the increase in the likelihood. Full article
(This article belongs to the Special Issue Entropy in Machine Learning Applications, 2nd Edition)
Show Figures

Figure 1

12 pages, 468 KB  
Article
Predicting Pineapple Quality from Hyperspectral Data of Plant Parts Applied to Machine Learning
by Vitória Carolina Dantas Alves, Sebastião Ferreira de Lima, Dthenifer Cordeiro Santana, Rafael Ferreira Barreto, Roger Augusto da Cunha, Ana Carina da Silva Cândido Seron, Larissa Pereira Ribeiro Teodoro, Paulo Eduardo Teodoro, Rita de Cássia Félix Alvarez, Cid Naudi Silva Campos, Carlos Antonio da Silva Junior and Fábio Luíz Checchio Mingotte
AgriEngineering 2025, 7(6), 170; https://doi.org/10.3390/agriengineering7060170 - 3 Jun 2025
Cited by 1 | Viewed by 2522
Abstract
Food quality detection by machine learning (ML) is more practical and sustainable as it does not require sample preparation and reagents. However, the prediction of pineapple quality by hyperspectral data applied to ML is not known. The aim of this study was to [...] Read more.
Food quality detection by machine learning (ML) is more practical and sustainable as it does not require sample preparation and reagents. However, the prediction of pineapple quality by hyperspectral data applied to ML is not known. The aim of this study was to verify accurate ML models for predicting pineapple fruit quality and the best inputs for algorithms: Artificial Neural Networks (ANNs), M5P (model tree), REPTree decision trees, Random Forest (RF), Support Vector Machine (SMV) and Zero R. Three inputs were used for each model: leaf reflectance, peel reflectance, and fruit reflectance. The machine learning model SVM, stood out for its best results, demonstrating good generalization capacity and effectiveness in predicting these attributes, reaching accuracy values above 0.7 for Brix and ratio, using fruit reflectance. In terms of the overall efficiency of the input variables, peel and fruit were the most informative, with peel standing out for the estimation of secondary metabolism compounds, while the fruit showed excellent performance in predicting flavor-related attributes, such as acidity, °Brix and ratio, as mentioned previously, above 0.7. These results highlight the potential of using spectral data and machine learning in the non-destructive assessment of pineapple quality, enabling advances in monitoring and selecting fruits with better sensors. Full article
Show Figures

Graphical abstract

16 pages, 5574 KB  
Article
Skin Hydration Monitoring Using a Microwave Sensor: Design, Fabrication, and In Vivo Analysis
by Shabbir Chowdhury, Amir Ebrahimi, Kamran Ghorbani and Francisco Tovar-Lopez
Sensors 2025, 25(11), 3445; https://doi.org/10.3390/s25113445 - 30 May 2025
Cited by 2 | Viewed by 3440
Abstract
This article introduces a microwave sensor tailored for skin hydration monitoring. The design enables wireless operation by separating the sensing component from the reader, making it ideal for wearable devices like wristbands. The sensor consists of a semi-lumped LC resonator coupled to [...] Read more.
This article introduces a microwave sensor tailored for skin hydration monitoring. The design enables wireless operation by separating the sensing component from the reader, making it ideal for wearable devices like wristbands. The sensor consists of a semi-lumped LC resonator coupled to an inductive coil reader, where the capacitive part of the sensing tag is in contact with the skin. The variations in the skin hydration level alter the dielectric properties of the skin, which, in turn, modify the resonances of the LC resonator. Experimental in vivo measurements confirmed the sensor’s ability to distinguish between four hydration conditions: wet skin, skin treated with moisturizer, untreated dry skin, and skin treated with Vaseline, by measuring the resonance frequencies of the sensor. Measurement of the input reflection coefficient (S11) using a vector network analyzer (VNA) revealed distinct reflection poles and zeros for each condition, demonstrating the sensor’s effectiveness in detecting skin hydration levels. The sensing principle was analyzed using an equivalent circuit model and validated through measurements of a fabricated sensor prototype. The results confirm in vivo skin hydration monitoring by detecting frequency shifts in the reflection response within the 50–200 MHz range. The measurements and data analysis show less than 0.037% error in transmission zero (fz) together with less than 1.5% error in transmission pole (fp) while being used to detect skin hydration status on individual human subjects. The simplicity of the detection method, focusing on key frequency shifts, underscores the sensor’s potential as a practical and cost-effective solution for non-invasive skin hydration monitoring. This advancement holds significant potential for skincare and biomedical applications, enabling detection without complex signal processing. Full article
(This article belongs to the Section Wearables)
Show Figures

Figure 1

20 pages, 1097 KB  
Article
Rao and Wald Tests in Nonzero-Mean Non–Gaussian Sea Clutter
by Haoqi Wu, Hongzhi Guo, Zhihang Wang and Zishu He
Remote Sens. 2025, 17(10), 1696; https://doi.org/10.3390/rs17101696 - 12 May 2025
Cited by 3 | Viewed by 706
Abstract
The non-Gaussian nature of radar-observed clutter echoes induces performance degradation in the context of remote sensing target detection when using conventional Gaussian detectors. To enhance target detection performance, this study addresses the issue of adaptive detection in nonzero-mean non-Gaussian sea clutter environments. The [...] Read more.
The non-Gaussian nature of radar-observed clutter echoes induces performance degradation in the context of remote sensing target detection when using conventional Gaussian detectors. To enhance target detection performance, this study addresses the issue of adaptive detection in nonzero-mean non-Gaussian sea clutter environments. The nonzero-mean compound Gaussian model, composed of the texture and complex Gaussian speckle, is utilized to capture the sea clutter. Further, we adopt the inverse Gamma, Gamma, and inverse Gaussian distributions to characterize the texture component. Novel adaptive detectors based on the two-step Rao and Wald tests, taking advantage of the maximum a posteriori (MAP) method to estimate textures, are designed. More specifically, test statistics of the proposed Rao- and Wald-based detectors are derived by assuming the speckle covariance matrix (CM), mean vector (MV), and clutter texture in the first step. Then, the sea clutter parameters assumed to be known are replaced with their estimations, and fully adaptive detectors are obtained. The Monte Carlo performance evaluation experiments using both simulated and measured sea clutter data are conducted, and numerical results validate the constant false alarm rate (CFAR) properties and detection performance of the proposed nonzero-mean detectors. Additionally, the proposed Rao and Wald detectors, respectively, show strong robustness and good selectivity for mismatch signals. Full article
(This article belongs to the Special Issue Array and Signal Processing for Radar)
Show Figures

Figure 1

13 pages, 254 KB  
Article
Ricci Solitons on Riemannian Hypersurfaces Generated by Torse-Forming Vector Fields in Riemannian and Lorentzian Manifolds
by Norah Alshehri and Mohammed Guediri
Axioms 2025, 14(5), 325; https://doi.org/10.3390/axioms14050325 - 23 Apr 2025
Cited by 1 | Viewed by 544
Abstract
In this paper, we examine torse-forming vector fields to characterize extrinsic spheres (that is, totally umbilical hypersurfaces with nonzero constant mean curvatures) in Riemannian and Lorentzian manifolds. First, we analyze the properties of these vector fields on Riemannian manifolds. Next, we focus on [...] Read more.
In this paper, we examine torse-forming vector fields to characterize extrinsic spheres (that is, totally umbilical hypersurfaces with nonzero constant mean curvatures) in Riemannian and Lorentzian manifolds. First, we analyze the properties of these vector fields on Riemannian manifolds. Next, we focus on Ricci solitons on Riemannian hypersurfaces induced by torse-forming vector fields of Riemannian or Lorentzian manifolds. Specifically, we show that such a hypersurface in the manifold with constant sectional curvature is either totally geodesic or an extrinsic sphere. Full article
Back to TopTop