Sign in to use this feature.

Years

Between: -

Subjects

remove_circle_outline
remove_circle_outline
remove_circle_outline
remove_circle_outline
remove_circle_outline
remove_circle_outline
remove_circle_outline
remove_circle_outline
remove_circle_outline

Journals

remove_circle_outline
remove_circle_outline
remove_circle_outline
remove_circle_outline
remove_circle_outline
remove_circle_outline
remove_circle_outline
remove_circle_outline
remove_circle_outline
remove_circle_outline
remove_circle_outline
remove_circle_outline
remove_circle_outline

Article Types

Countries / Regions

remove_circle_outline
remove_circle_outline
remove_circle_outline
remove_circle_outline
remove_circle_outline

Search Results (422)

Search Parameters:
Keywords = non-working interferences

Order results
Result details
Results per page
Select all
Export citation of selected articles as:
24 pages, 3694 KB  
Article
Influence of Manganese–Zinc Ferrite and Ageing on EMI Absorption Shielding Performance and Properties of Rubber Composites
by Ján Kruželák, Michaela Džuganová, Lucia Balcerčíková and Rastislav Dosoudil
J. Compos. Sci. 2025, 9(12), 700; https://doi.org/10.3390/jcs9120700 - 15 Dec 2025
Viewed by 93
Abstract
Magnetic soft manganese–zinc ferrite in a concentration scale ranging from 100 to 500 phr was incorporated into acrylonitrile-butadiene rubber. The work was focused on the investigation of manganese–zinc ferrite content on electromagnetic interference shielding effectiveness and mechanical properties of composites. The rubber-based products [...] Read more.
Magnetic soft manganese–zinc ferrite in a concentration scale ranging from 100 to 500 phr was incorporated into acrylonitrile-butadiene rubber. The work was focused on the investigation of manganese–zinc ferrite content on electromagnetic interference shielding effectiveness and mechanical properties of composites. The rubber-based products used in industrial practice should not only provide good utility and functional properties but should also exhibit good stability towards degradation factors, like oxygen and ozone. Therefore, the samples were exposed to the thermo-oxidative and ozone ageing conditions, and the influence of both factors on the composites’ properties was evaluated. The results demonstrated that the incorporation of ferrite into the rubber matrix resulted in the fabrication of composites with absorption-shielding performance. It was demonstrated that the higher the ferrite content, the lower the absorption-shielding ability. Electrical and thermal conductivity showed an increasing trend with increasing content of ferrite. On the other hand, the study of mechanical properties implied that ferrite acts as a non-reinforcing filler, leading to a decrease in tensile characteristics. Thermo-oxidative ageing tests revealed that ferrite, mainly in high amounts, could accelerate the degradation processes in composites. Though the absorption-shielding performance of composites after ageing corresponded to that of their equivalents before ageing, it can also be concluded that the higher the amount of ferrite in the rubber matrix, the lower the composites’ stability against ozone ageing. Full article
(This article belongs to the Section Composites Manufacturing and Processing)
Show Figures

Figure 1

15 pages, 3398 KB  
Article
Synthesis and In Situ Application of a New Fluorescent Probe for Visual Detection of Copper(II) in Plant Roots
by Dongyan Hu, Jiao Guan, Wengao Chen, Liushuang Zhang, Xingrong Fan, Guisu Zhou and Zhijuan Bao
Molecules 2025, 30(24), 4783; https://doi.org/10.3390/molecules30244783 - 15 Dec 2025
Viewed by 187
Abstract
A new rhodamine-based fluorescent probe (RDC, rhodamine-based derivative) was rationally designed and synthesized for the highly selective, sensitive, and quantitative detection of Cu2+. The probe demonstrated outstanding specificity toward Cu2+, even in the presence of competing metal ions (e.g., [...] Read more.
A new rhodamine-based fluorescent probe (RDC, rhodamine-based derivative) was rationally designed and synthesized for the highly selective, sensitive, and quantitative detection of Cu2+. The probe demonstrated outstanding specificity toward Cu2+, even in the presence of competing metal ions (e.g., Al3+, Fe3+, Cr3+, Na+, and K+), exhibiting negligible interference and confirming its robust anti-interference capability. A spectroscopic analysis revealed that Cu2+ induced spirocyclic ring cleavage, resulting in a colorless-to-pink colorimetric transition and enhancement of the yellow–green fluorescence at 590 nm. Upon addition of Cu2+, the fluorescence spectrum showed a linear response in the concentration range of 0.4–20 μM, with a correlation coefficient (R2) of 0.9907 and the limit of detection (LOD) calculated to be 0.12 μM. Meanwhile, Job’s plot analysis verified that the binding stoichiometry between RDC and Cu2+ was 1:1. The probe exhibits rapid response kinetics (<5 min) and non-destructiveness properties, enabling in vivo imaging. Under stress conditions, Cu2+ accumulated predominantly in root tips (its primary target tissue), with the following distribution hierarchy: root tips > maturation zone epidermis > xylem vessels > cortical cell walls. In conclusion, RDC is a well-characterized, high-performance tool with high accuracy, excellent selectivity, and superior sensitivity for plant Cu2+ studies, and this work opens new technical avenues for rhodamine-based probes in plant physiology, environmental toxicity monitoring, and rational design of phytoremediation strategies. Full article
Show Figures

Figure 1

25 pages, 429 KB  
Article
CALM: Continual Associative Learning Model via Sparse Distributed Memory
by Andrey Nechesov and Janne Ruponen
Technologies 2025, 13(12), 587; https://doi.org/10.3390/technologies13120587 - 13 Dec 2025
Viewed by 298
Abstract
Sparse Distributed Memory (SDM) provides a biologically inspired mechanism for associative and online learning. Transformer architectures, despite exceptional inference performance, remain static and vulnerable to catastrophic forgetting. This work introduces Continual Associative Learning Model (CALM), a conceptual framework that defines the theoretical base [...] Read more.
Sparse Distributed Memory (SDM) provides a biologically inspired mechanism for associative and online learning. Transformer architectures, despite exceptional inference performance, remain static and vulnerable to catastrophic forgetting. This work introduces Continual Associative Learning Model (CALM), a conceptual framework that defines the theoretical base and integration logic for the cognitive model seeking to establish continual, lifelong adaptation without retraining by combining SDM system with lightweight dual-transformer modules. The architecture proposes an always-online associative memory for episodic storage (System 1), as well as a pair of asynchronous transformer consolidate experience in the background for uninterrupted reasoning and gradual model evolution (System 2). The framework remains compatible with standard transformer benchmarks, establishing a shared evaluation basis for both reasoning accuracy and continual learning stability. Preliminary experiments using the SDMPreMark benchmark evaluate algorithmic behavior across multiple synthetic sets, confirming a critical radius-threshold phenomenon in SDM recall. These results represent deterministic characterization of SDM dynamics in the component level, preceding the integration in the model level with transformer-based semantic tasks. The CALM framework provides a reproducible foundation for studying continual memory and associative learning in hybrid transformer architectures, although future work should involve experiments with non-synthetic, high-load data to confirm scalable behavior in high interference. Full article
(This article belongs to the Special Issue Collaborative Robotics and Human-AI Interactions)
Show Figures

Figure 1

18 pages, 2816 KB  
Article
Electrochemical Detection of Aβ42 and Aβ40 at Attomolar Scale via Optimised Antibody Loading on Pyr-NHS-Functionalised 3D Graphene Foam Electrodes
by Muhsin Dogan, Sophia Nazir, David Jenkins, Yinghui Wei and Genhua Pan
Biosensors 2025, 15(12), 806; https://doi.org/10.3390/bios15120806 - 10 Dec 2025
Viewed by 211
Abstract
Alzheimer’s Disease (AD) is one of the most commonly seen neurodegenerative disorders, where early detection of its biomarkers is crucial for effective management. Conventional diagnostic methods are often expensive, time-consuming, and highly complex, which highlights an urgent need for point-of-care biosensing technology. In [...] Read more.
Alzheimer’s Disease (AD) is one of the most commonly seen neurodegenerative disorders, where early detection of its biomarkers is crucial for effective management. Conventional diagnostic methods are often expensive, time-consuming, and highly complex, which highlights an urgent need for point-of-care biosensing technology. In this work, we developed assays on three-dimensional (3D) graphene foam electrodes by functionalising them with a 1-Pyrenebutyric acid N-hydroxysuccinimide ester (Pyr-NHS) to enable effective antibody immobilisation for the detection of amyloid beta peptides (Aβ42 and Aβ40), key biomarkers for AD. Pyr-NHS linkers were used for stable functionalisation, followed by binding with Aβ42 and Aβ40 antibodies, and then bovine serum albumin (BSA) was employed as a blocking agent to minimise non-specific bindings on the electrode surface. Differential Pulse Voltammetry (DPV) measurements showed satisfactory stability over 12 days (RDS upper limit was <10%) and highly sensitive and specific detection of Aβ42 and Aβ40, with insignificant interference of tau217 protein. The biosensor exhibited a low limit of detection (LOD) with 252 aM for Aβ42 and 395 aM for Aβ40, covering 0.125 fM–1 nM and 0.125 fM–100 pM linear ranges, respectively. Further validation was conducted on spiked-diluted human plasma. This excellent analytical performance was attributed to the stable Pyr-NHS functionalisation, the 3D graphene foam enabling superior conductivity and a larger surface area on the working electrode, and the optimisation of antibody concentration for immobilisation. These promising results suggest that 3D graphene foam-based biosensors have considerable potential for early detection of AD biomarkers and developing cost-effective, portable, and reliable point-of-care devices. Full article
(This article belongs to the Section Biosensor and Bioelectronic Devices)
Show Figures

Figure 1

36 pages, 22245 KB  
Article
CMSNet: A SAM-Enhanced CNN–Mamba Framework for Damaged Building Change Detection in Remote Sensing Imagery
by Jianli Zhang, Liwei Tao, Wenbo Wei, Pengfei Ma and Mengdi Shi
Remote Sens. 2025, 17(23), 3913; https://doi.org/10.3390/rs17233913 - 3 Dec 2025
Viewed by 514
Abstract
In war and explosion scenarios, buildings often suffer varying degrees of damage characterized by complex, irregular, and fragmented spatial patterns, posing significant challenges for remote sensing–based change detection. Additionally, the scarcity of high-quality datasets limits the development and generalization of deep learning approaches. [...] Read more.
In war and explosion scenarios, buildings often suffer varying degrees of damage characterized by complex, irregular, and fragmented spatial patterns, posing significant challenges for remote sensing–based change detection. Additionally, the scarcity of high-quality datasets limits the development and generalization of deep learning approaches. To overcome these issues, we propose CMSNet, an end-to-end framework that integrates the structural priors of the Segment Anything Model (SAM) with the efficient temporal modeling and fine-grained representation capabilities of CNN–Mamba. Specifically, CMSNet adopts CNN–Mamba as the backbone to extract multi-scale semantic features from bi-temporal images, while SAM-derived visual priors guide the network to focus on building boundaries and structural variations. A Pre-trained Visual Prior-Guided Feature Fusion Module (PVPF-FM) is introduced to align and fuse these priors with change features, enhancing robustness against local damage, non-rigid deformations, and complex background interference. Furthermore, we construct a new RWSBD (Real-world War Scene Building Damage) dataset based on Gaza war scenes, comprising 42,732 annotated building damage instances across diverse scales, offering a strong benchmark for real-world scenarios. Extensive experiments on RWSBD and three public datasets (CWBD, WHU-CD, and LEVIR-CD+) demonstrate that CMSNet consistently outperforms eight state-of-the-art methods in both quantitative metrics (F1, IoU, Precision, Recall) and qualitative evaluations, especially in fine-grained boundary preservation, small-scale change detection, and complex scene adaptability. Overall, this work introduces a novel detection framework that combines foundation model priors with efficient change modeling, along with a new large-scale war damage dataset, contributing valuable advances to both research and practical applications in remote sensing change detection. Additionally, the strong generalization ability and efficient architecture of CMSNet highlight its potential for scalable deployment and practical use in large-area post-disaster assessment. Full article
Show Figures

Figure 1

8 pages, 418 KB  
Review
Status and Perspectives of the X(1750)
by Hongwei Wen, Zhen Hu and Jingqing Zhang
Symmetry 2025, 17(12), 2062; https://doi.org/10.3390/sym17122062 - 2 Dec 2025
Viewed by 168
Abstract
Light mesons serve as a cornerstone in probing symmetry realizations and dynamical breaking mechanisms in the non-perturbative regime of the strong interaction. Among them, a notable case is the X(1750), a 1 state observed in the [...] Read more.
Light mesons serve as a cornerstone in probing symmetry realizations and dynamical breaking mechanisms in the non-perturbative regime of the strong interaction. Among them, a notable case is the X(1750), a 1 state observed in the K+K invariant mass spectrum. It was initially identified as the ϕ(1680), but subsequent studies by the FOCUS and BESIII collaborations have unambiguously established it as a distinct new state. FOCUS further showed that interference models cannot reproduce a ϕ(1680)-like mass value in its high-statistics data. The absence of the X(1750) in both ss¯ and nn¯ theoretical spectroscopy renders its internal structure an open and compelling question. This work reviews observations of the X(1750), discusses its possible interpretations, and outlines future prospects for its study, particularly regarding the BESIII experiment. Full article
(This article belongs to the Section Physics)
Show Figures

Figure 1

24 pages, 2960 KB  
Article
Generalized M-Estimation-Based Framework for Robust Guidance Information Extraction
by Jiawei Ren, Xiaoyu Zhang, Shoupeng Li and Panlong Tan
Entropy 2025, 27(12), 1217; https://doi.org/10.3390/e27121217 - 29 Nov 2025
Viewed by 344
Abstract
This study tackles state estimation challenges in guidance information extraction. These challenges arise from non-Gaussian noise. We propose a robust framework to address them. The IMCIF framework effectively handles non-Gaussian noise in seeker measurements. However, noise with unstable and statistically undefined characteristics makes [...] Read more.
This study tackles state estimation challenges in guidance information extraction. These challenges arise from non-Gaussian noise. We propose a robust framework to address them. The IMCIF framework effectively handles non-Gaussian noise in seeker measurements. However, noise with unstable and statistically undefined characteristics makes optimal kernel width selection difficult. This limitation compromises estimation accuracy and may even lead to filter divergence. To resolve this issue, we first linearize the nonlinear model using statistical linear regression and integrate generalized M-estimation with IMCIF. SVD is introduced to enhance numerical stability and mitigate divergence caused by suboptimal kernel width selection. Furthermore, DCS kernel function is employed to address severe non-Gaussian noise induced by large field-of-view operations and target surface reflections. A modified weight function method is proposed to preserve the L2- norm criterion while ensuring estimation accuracy under Gaussian noise. Simulations confirm the algorithm’s precision in Gaussian noise. It also maintains high accuracy under significant non-Gaussian noise, proving robustness. These improvements address both numerical stability and adaptive noise suppression, thereby enhancing system reliability across diverse interference scenarios. This work targets guidance system designers needing real-time algorithms, and filtering researchers interested in robust fusion of M-estimation and information-theoretic learning. Full article
(This article belongs to the Section Multidisciplinary Applications)
Show Figures

Figure 1

17 pages, 2673 KB  
Article
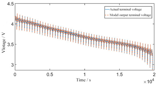
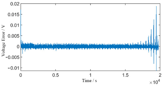
Research on SOC Estimation of Lithium-Ion Battery Based on CA-SVDUKF Algorithm
by Jinrun Cheng, Kuo Yang and Xing Hu
Batteries 2025, 11(12), 435; https://doi.org/10.3390/batteries11120435 - 25 Nov 2025
Viewed by 289
Abstract
Because of the problem that the traditional unscented Kalman filter algorithm (UKF) may terminate the iteration due to the non-positive definite error covariance matrix during state of charge (SOC) estimation of lithium-ion battery, considering the unknown noise and current mutation during the actual [...] Read more.
Because of the problem that the traditional unscented Kalman filter algorithm (UKF) may terminate the iteration due to the non-positive definite error covariance matrix during state of charge (SOC) estimation of lithium-ion battery, considering the unknown noise and current mutation during the actual operation of the battery, an SOC estimation method based on covariance adaptive singular value decomposition unscented Kalman filter (CA-SVDUKF) algorithm was proposed. Based on the singular value decomposition traceless Kalman filtering algorithm, the proposed CA-SVDUKF algorithm introduced an adaptive method of covariance matching to improve the algorithm’s anti-interference capability to unknown noise. Accordingly, an error covariance matrix adaptive method with adaptive scaling factor was proposed, which could reduce the influence of current mutation exerting on the estimated convergence rate. Taking the lithium-ion battery as the research object, the second-order RC equivalent circuit model of the lithium-ion battery was first built, and then the online parameters of the battery were identified. Finally, the CA-SVDUKF algorithm was used to complete the SOC estimation. The algorithm was simulated and verified under three working conditions: ordinary pulse condition, DST working condition, and US06 working condition. The experimental results showed that the algorithm had higher accuracy and stability compared with the traditional extended Kalman filter algorithm (EKF) and the UKF algorithm. The maximum absolute error was less than 0.6%, and the root mean square error was less than 0.3%, which could verify the effectiveness and superiority of the algorithm. Full article
(This article belongs to the Special Issue Control, Modelling, and Management of Batteries)
Show Figures

Figure 1

20 pages, 5027 KB  
Article
Grouting Power Prediction Method Based on CEEMDAN-CNN-BiLSTM
by Ye Ding, Fan Huang, Zhi Cao and Yang Yang
Appl. Sci. 2025, 15(23), 12382; https://doi.org/10.3390/app152312382 - 21 Nov 2025
Viewed by 406
Abstract
Grouting power serves as a critical parameter reflecting real-time energy input during grouting operations, and its accurate prediction is essential for intelligent control and engineering safety. Existing prediction methods often struggle to handle the strong nonlinearity, noise interference, adaptability to varying conditions in [...] Read more.
Grouting power serves as a critical parameter reflecting real-time energy input during grouting operations, and its accurate prediction is essential for intelligent control and engineering safety. Existing prediction methods often struggle to handle the strong nonlinearity, noise interference, adaptability to varying conditions in grouting power data. To address these challenges, an intelligent grouting system that integrates real-time data collection and core control modules has been developed. Subsequently, a grouting power prediction model is then proposed, which combines Complete Ensemble Empirical Mode Decomposition and Adaptive Noise (CEEMDAN) with a Convolutional Neural Net-work-Bidirectional Long Short-Term Memory Neural Network (CNN-BiLSTM) is proposed. The approach employs CEEMDAN to decompose the nonlinear and non-stationary power sequence into multiple intrinsic mode functions (IMFs). Each IMF is then separated into linear and nonlinear components using a moving average method. The linear components are predicted using an Autoregressive Integrated Moving Average (ARIMA) model, while the nonlinear components are predicted using a CNN-BiLSTM model. The final prediction is obtained by reconstructing the results from both components. Experimental comparisons under both normal and heaving grouting conditions demonstrate that the proposed model significantly outperforms LSTM, CNN-LSTM, and CNN-BiLSTM models. With 80% of the dataset used for training, the RMSE for normal conditions is reduced by 95.69%, 85.11%, and 80.55%, respectively, and for heaving conditions by 94.91%, 90.71%, and 84.62%, respectively. This research provides high-precision predictive support for grouting regulation under complex working conditions, offering substantial engineering application value. Full article
Show Figures

Figure 1

16 pages, 4287 KB  
Article
A Woven Soft Wrist-Gripper Composite End-Effector with Variable Stiffness: Design, Modeling, and Characterization
by Pan Zhou, Yangzuo Liu, Junxi Chen, Haoyuan Chen, Haili Li and Jiantao Yao
Machines 2025, 13(11), 1042; https://doi.org/10.3390/machines13111042 - 11 Nov 2025
Viewed by 419
Abstract
Soft robots often suffer from insufficient load capacity due to the softness of their materials. Existing variable stiffness technologies usually introduce rigid components, resulting in decreased flexibility and complex structures of soft robots. To address these challenges, this work proposes a novel wrist-gripper [...] Read more.
Soft robots often suffer from insufficient load capacity due to the softness of their materials. Existing variable stiffness technologies usually introduce rigid components, resulting in decreased flexibility and complex structures of soft robots. To address these challenges, this work proposes a novel wrist-gripper composite soft end-effector based on the weaving jamming principle, which features a highly integrated design combining structure, actuation, and stiffness. This end-effector is directly woven from pneumatic artificial muscles through weaving technology, which has notable advantages such as high integration, strong performance designability, lightweight construction, and high power density, effectively reconciling the technical trade-off between compliance and load capacity. Experimental results demonstrate that the proposed end-effector exhibits excellent flexibility and multi-degree-of-freedom grasping capabilities. Its variable stiffness function enhances its ability to resist external interference by 4.77 times, and its grasping force has increased by 1.7 times, with a maximum grasping force of 102 N. Further, a grasping force model for this fiber-reinforced woven structure is established, providing a solution to the modeling challenge of highly coupled structures. A comparison between theoretical and experimental data indicates that the modeling error does not exceed 7.8 N. This work offers a new approach for the design and analysis of high-performance, highly integrated soft end-effectors, with broad application prospects in unstructured environment operations, non-cooperative target grasping, and human–robot collaboration. Full article
(This article belongs to the Section Robotics, Mechatronics and Intelligent Machines)
Show Figures

Figure 1

17 pages, 2104 KB  
Article
Predicting Packaging Material–Food Interactions and the Respective Migration and Permeation Based on Hansen Solubility Parameters—A Case Study of Bio-Based Polyester Cutin
by Costas Tsioptsias, Athanasios Goulas, Maria Tsini, Athanasia Zoglopiti, Anna Marinopoulou and Vassilis Karageorgiou
Polymers 2025, 17(21), 2961; https://doi.org/10.3390/polym17212961 - 6 Nov 2025
Viewed by 712
Abstract
One of the current and serious environmental problems is the pollution due to microplastics. There is an urgent need for biodegradable and bio-based materials for numerous applications, including food packaging. In this work we examine the bio-based polyester cutin for its potential to [...] Read more.
One of the current and serious environmental problems is the pollution due to microplastics. There is an urgent need for biodegradable and bio-based materials for numerous applications, including food packaging. In this work we examine the bio-based polyester cutin for its potential to be used as food packaging material, in terms of migration, based on the Hansen Solubility Parameters (HSP). Cutin is a cross-linked polymer that is swelled by various solvents. We use the degree of swelling of cutin in carefully selected solvents of various polarities in order to estimate the HSP of cutin. Some solvents can induce alteration of the chemical structure of cutin, as proven by Fourier Transform Infrared (FTIR) measurements. This interferes with the process of estimation of the HSP and is discussed in depth. The distance Ra and the Relative Energy Difference (RED) between the HSP of cutin and various food components are calculated and used to predict the existence of favorable interactions between cutin and the food components, which is translated to a high probability for the existence of migration and permeation. Experimental confirmation of one prediction based on HSP is provided by UV-VIS photometry. Similar calculations were performed for other polyesters (poly(lactic acid) and poly(hydroxy butyrate)). Cutin exhibits compatibility with substances of low polarity, such as fats and lipids and non-polar compounds found in essential oils. Thus, migration into fatty foods is expected as well as sorption and permeation of some (volatile) compounds into cutin. Nevertheless, we conclude that the overall migration risk for cutin is lower than the one of other bio-based polyesters. HSP can be used for initial screening of potential migration risks; however, further research is necessary in order to assess the occurrence, extent, and significance of the actual migration. Full article
(This article belongs to the Section Biobased and Biodegradable Polymers)
Show Figures

Figure 1

22 pages, 574 KB  
Article
Resource Allocation and Energy Harvesting in UAV-Assisted Full-Duplex Cooperative NOMA Systems
by Turki Essa Alharbi
Mathematics 2025, 13(21), 3544; https://doi.org/10.3390/math13213544 - 5 Nov 2025
Viewed by 471
Abstract
Unmanned aerial vehicles (UAVs) are a promising technology for future sixth-generation (6G) wireless networks. They are airborne vehicles that act either as as flying relays or base stations (BS) to provide the line-of-sight (LOS) transmission, enable wide-area coverage, and increase the spectral efficiency. [...] Read more.
Unmanned aerial vehicles (UAVs) are a promising technology for future sixth-generation (6G) wireless networks. They are airborne vehicles that act either as as flying relays or base stations (BS) to provide the line-of-sight (LOS) transmission, enable wide-area coverage, and increase the spectral efficiency. In this work, a UAV is employed to forward information from the BS to distant users using a decode-and-forward (DF) protocol. The BS serves ground users through UAV by employing non-orthogonal multiple access (NOMA). The UAV relay will be wirelessly powered and harvests energy from the BS by applying a simultaneous wireless information and power transfer (SWIPT) technique. To further improve overall performance, the near user will act as a full-duplex (FD) relay to forward the far user’s information by applying cooperative non-orthogonal multiple access (C-NOMA). The proposed scheme considers a practical detection order using a feasible successive interference cancellation (SIC) operation. Additionally, a relay power control method is introduced for the near user to guarantee a reliable cooperative link. In the proposed scheme, a low-complexity closed-form power allocation is derived to maximize the minimum achievable rate. Numerical results demonstrate that the power allocation scheme significantly improves the far user’s rate performance, and the proposed scheme guarantees a higher target rate and outperforms the conventional NOMA, half-duplex (HD) C-NOMA, and FD C-NOMA with fixed power allocation (FPA) and fractional transmit power allocation (FTPA) schemes. Full article
(This article belongs to the Special Issue Computational Methods in Wireless Communication)
Show Figures

Figure 1

8 pages, 179 KB  
Article
Kenneth Boulding’s Extension of Adam Smith’s Ethical Framework
by Terence D. Agbeyegbe
Philosophies 2025, 10(6), 120; https://doi.org/10.3390/philosophies10060120 - 1 Nov 2025
Viewed by 415
Abstract
This paper examines the conceptual relationship between Adam Smith’s theory of moral sentiments and Kenneth Boulding’s integrative systems approach to economics. Rather than claiming a direct intellectual lineage, we argue that Boulding’s work addresses a specific limitation in Smith’s moral framework: Smith’s restriction [...] Read more.
This paper examines the conceptual relationship between Adam Smith’s theory of moral sentiments and Kenneth Boulding’s integrative systems approach to economics. Rather than claiming a direct intellectual lineage, we argue that Boulding’s work addresses a specific limitation in Smith’s moral framework: Smith’s restriction of justice to commutative duties (non-interference with persons, property, and promises) leaves the systematic organization of beneficent motivations underdeveloped, which modern economies require. Through a close analysis of Smith’s concept of beneficence in The Theory of Moral Sentiments and Boulding’s grants economy in The Economy of Love and Fear, we demonstrate that Boulding provides theoretical resources for understanding how moral motivations beyond reciprocal exchange can be systematically integrated into economic analysis. This comparison illuminates both the strengths and limitations of Smith’s naturalistic approach to moral economics. It suggests how contemporary business ethics might move beyond the stakeholder–shareholder debate toward a more comprehensive understanding of corporate moral agency. Full article
(This article belongs to the Special Issue Adam Smith's Philosophy and Modern Moral Economics)
16 pages, 17098 KB  
Article
Facile Preparation of High-Performance Non-Enzymatic Glucose Sensors Based on Au/CuO Nanocomposites
by Lian Ma, Tao Wang, Hao Mei, Yuhao You, Zhandong Lin, Weishuang Li, Bojie Li, Silin Kang and Lei Zhu
Catalysts 2025, 15(11), 1020; https://doi.org/10.3390/catal15111020 - 30 Oct 2025
Viewed by 453
Abstract
Non-enzymatic glucose sensing has attracted considerable interest as a promising alternative to enzyme-based sensors, addressing limitations such as poor stability and high cost. To overcome the challenges of expensive noble metals and the inherent issues of pure copper oxide (CuO), including low conductivity [...] Read more.
Non-enzymatic glucose sensing has attracted considerable interest as a promising alternative to enzyme-based sensors, addressing limitations such as poor stability and high cost. To overcome the challenges of expensive noble metals and the inherent issues of pure copper oxide (CuO), including low conductivity and aggregation tendency, this study developed a composite sensing material based on two-dimensional CuO nanosheets decorated with gold nanoparticles (Au NPs). A series of Au/CuO nanocomposites with varying Au loadings were synthesized through a combined hydrothermal and in situ reduction approach. Systematic electrochemical characterization revealed that the composite with 7.41 wt% Au loading exhibited optimal sensing performance, achieving sensitivities of 394.29 and 257.14 μA·mM−1·cm−2 across dual linear ranges of 5–3550 μM and 4550–11,550 μM, respectively, with a detection limit of 10 μM and a rapid response time of 3 s. The sensor also demonstrated selectivity against common interferents as well as long-term stability. This work highlights the importance of precise noble metal loading control in optimizing sensor performance and offers a feasible material design strategy for developing high-performance non-enzymatic glucose sensors. Full article
(This article belongs to the Special Issue Heterogeneous Catalysis in China: New Horizons and Recent Advances)
Show Figures

Figure 1

17 pages, 11184 KB  
Article
Automated Crack Detection in Micro-CT Scanning for Fiber-Reinforced Concrete Using Super-Resolution and Deep Learning
by João Pedro Gomes de Souza, Aristófanes Corrêa Silva, Marcello Congro, Deane Roehl, Anselmo Cardoso de Paiva, Sandra Pereira and António Cunha
Electronics 2025, 14(21), 4208; https://doi.org/10.3390/electronics14214208 - 28 Oct 2025
Viewed by 737
Abstract
Fiber-reinforced concrete is a crucial material for civil construction, and monitoring its health is important for preserving structures and preventing accidents and financial losses. Among non-destructive monitoring methods, Micro Computed Tomography (Micro-CT) imaging stands out as an inexpensive method that is free from [...] Read more.
Fiber-reinforced concrete is a crucial material for civil construction, and monitoring its health is important for preserving structures and preventing accidents and financial losses. Among non-destructive monitoring methods, Micro Computed Tomography (Micro-CT) imaging stands out as an inexpensive method that is free from noise and external interference. However, manual inspection of these images is subjective and requires significant human effort. In recent years, several studies have successfully utilized Deep Learning models for the automatic detection of cracks in concrete. However, according to the literature, a gap remains in the context of detecting cracks using Micro-CT images of fiber-reinforced concrete. Therefore, this work proposes a framework for automatic crack detection that combines the following: (a) a super-resolution-based preprocessing to generate, for each image, versions with double and quadruple the original resolution, (b) a classification step using EfficientNetB0 to classify the type of concrete matrix, (c) specific training of Detection Transformer (DETR) models for each type of matrix and resolution, and (d) and a votation committee-based post-processing among the models trained for each resolution to reduce false positives. The model was trained on a new publicly available dataset, the FIRECON dataset, which consists of 4064 images annotated by an expert, achieving metrics of 86.098% Intersection over Union, 89.37% Precision, 83.26% Recall, 84.99% F1-Score, and 44.69% Average Precision. The framework, therefore, significantly reduces analysis time and improves consistency compared to the manual methods used in previous studies. The results demonstrate the potential of Deep Learning to aid image analysis in damage assessments, providing valuable insights into the damage mechanisms of fiber-reinforced concrete and contributing to the development of durable, high-performance engineering materials. Full article
Show Figures

Figure 1

Back to TopTop