Sign in to use this feature.

Years

Between: -

Subjects

remove_circle_outline
remove_circle_outline
remove_circle_outline
remove_circle_outline
remove_circle_outline

Journals

Article Types

Countries / Regions

Search Results (14)

Search Parameters:
Keywords = non-osmotic release

Order results
Result details
Results per page
Select all
Export citation of selected articles as:
11 pages, 1625 KB  
Opinion
Hyponatremia Associated with Congestive Heart Failure: Involvement of Vasopressin and Efficacy of Vasopressin Receptor Antagonists
by San-e Ishikawa and Hiroshi Funayama
J. Clin. Med. 2023, 12(4), 1482; https://doi.org/10.3390/jcm12041482 - 13 Feb 2023
Cited by 6 | Viewed by 4399
Abstract
Hyponatremia is frequently found in patients with congestive heart failure. A reduction in effective circulatory blood volume in a volume-expanded patient with decreased cardiac output is linked to a baroreceptor-mediated non-osmotic release of arginine vasopressin (AVP). The increased production of AVP and salt [...] Read more.
Hyponatremia is frequently found in patients with congestive heart failure. A reduction in effective circulatory blood volume in a volume-expanded patient with decreased cardiac output is linked to a baroreceptor-mediated non-osmotic release of arginine vasopressin (AVP). The increased production of AVP and salt and water retention in the proximal and distal tubules of the kidney by humoral, hemodynamic, and neural mechanisms increase circulatory blood volume and contribute to hyponatremia. Recent studies have indicated that hyponatremia predicts the short-term and long-term prognosis of heart failure by increasing cardiac death and rehospitalization. In addition, the early development of hyponatremia in acute myocardial infarction also predicts the long-term prognosis of worsening heart failure. AVP V2 receptor antagonism may relieve water retention, but it is unknown whether the V2 receptor inhibitor, tolvaptan, improves the long-term prognosis of congestive heart failure. The newly identified natriuretic factor in renal salt wasting has the potential of improving clinical outcomes when combined with a distal diuretic. Full article
(This article belongs to the Special Issue Clinical Management of Hyponatremia)
Show Figures

Figure 1

8 pages, 538 KB  
Communication
Limited Role of Endogenous Vasopressin/Copeptin in Stimulation of ACTH–Cortisol Secretion during Glucagon Stimulation Test in Humans
by Katarzyna Malicka, Wojciech Horzelski, Andrzej Lewiński and Krzysztof C. Lewandowski
Biomedicines 2022, 10(11), 2857; https://doi.org/10.3390/biomedicines10112857 - 8 Nov 2022
Cited by 5 | Viewed by 1875
Abstract
Copeptin is a stable part of a vasopressin precursor that closely mirrors arginine vasopressin (AVP) secretion. It is known that AVP/copeptin is also released in response to nonosmotic stimuli, such as stress evoked during anterior pituitary dynamic testing. In order to examine the [...] Read more.
Copeptin is a stable part of a vasopressin precursor that closely mirrors arginine vasopressin (AVP) secretion. It is known that AVP/copeptin is also released in response to nonosmotic stimuli, such as stress evoked during anterior pituitary dynamic testing. In order to examine the role of AVP in challenging the hypothalamo-pituitary-adrenal axis, we assessed adrenocorticotropic hormone (ACTH), cortisol, copeptin and growth hormone (GH) during a glucagon stimulation test (GST) in 10 patients with satisfactory initial cortisol concentrations (mean ± SD: 20.34 ± 5.10 µg/dL) and failure to show any further cortisol increment on stimulation. For comparison, we measured copeptin in two subjects during an insulin tolerance test (ITT). During GST, there was an increase in copeptin (p = 0.02, average individual increase of 98%, range 10% to 321%). There was a robust increase in GH (p = 0.002, average increase 3300%), a decline in cortisol (p = 0.02, average decline 21.8%) and a fall in ACTH (p = 0.06). The relative increase in copeptin during ITT (176% and 52.2%) overlapped with increments observed during GST; however, here there was an increase in cortisol (20.45→24.26 µg/dL and 4.23→29.29 µg/dL, respectively). There was a moderate correlation between copeptin and GH concentrations (r = 0.4235, p = 0.0007). These results confirm that AVP is not crucial for ACTH–cortisol stimulation, though it might be an important factor in GH secretion. Full article
(This article belongs to the Special Issue State-of-the-Art Endocrinology and Metabolism Research in Poland)
Show Figures

Figure 1

13 pages, 823 KB  
Systematic Review
Hyponatremia—A New Diagnostic Marker for Complicated Acute Appendicitis in Children: A Systematic Review and Meta-Analysis
by Sachit Anand, Nellai Krishnan, Jana Ròs Birley, Goran Tintor, Minu Bajpai and Zenon Pogorelić
Children 2022, 9(7), 1070; https://doi.org/10.3390/children9071070 - 18 Jul 2022
Cited by 24 | Viewed by 5637
Abstract
Background: Acute appendicitis in the pediatric population remains a diagnostic challenge for clinicians. Despite many biochemical markers, imaging modalities and scoring systems, initial misdiagnosis and complication rates are high in children. This suggests the need for investigations directed towards new diagnostic tools to [...] Read more.
Background: Acute appendicitis in the pediatric population remains a diagnostic challenge for clinicians. Despite many biochemical markers, imaging modalities and scoring systems, initial misdiagnosis and complication rates are high in children. This suggests the need for investigations directed towards new diagnostic tools to aid in the diagnosis. Recent studies have shown a correlation between serum sodium levels and complicated appendicitis. Although the exact reasons for hyponatremia in patients with complicated appendicitis are not known, there is persuasive data to support the role of pro-inflammatory cytokines such as IL-6 in the non-osmotic release of antidiuretic hormone. This meta-analysis aims to investigate all available data on hyponatremia as a diagnostic marker of complicated appendicitis in the pediatric population. Methods: The literature search was conducted by two independent investigators according to the Preferred Reporting Items for Systematic Reviews and Meta-Analyses (PRISMA) guidelines. The scientific databases (PubMed, EMBASE, Web of Science, and Scopus) were systematically searched for relevant studies using the keywords (hyponatremia) AND (appendicitis) AND (children). The methodological quality was assessed using a validated scale, and RevMan 5.4 software was utilized for pooled analysis. Results: Seven studies were included in the final meta-analysis, five of which were retrospective. A total of 1615 and 2808 cases were distributed into two groups: group A with complicated appendicitis and group B with uncomplicated acute appendicitis, respectively. The studies compared serum sodium levels of patients among the groups. Pooling the data demonstrated significantly lower serum sodium levels in children with complicated appendicitis vs. the non-complicated appendicitis (WMD: −3.29, 95% CI = −4.52 to −2.07, p < 0.00001). The estimated heterogeneity among the included studies was substantial and statistically significant (I2 = 98%, p < 0.00001). Conclusion: The results of the present meta-analysis indicate that hyponatremia has potential to be utilized as a biochemical marker in the diagnosis of complicated appendicitis in the pediatric population. However, well designed prospective diagnostic efficiency studies are essential to consolidate the association between hyponatremia and complicated acute appendicitis. Full article
(This article belongs to the Section Pediatric Surgery)
Show Figures

Figure 1

19 pages, 2534 KB  
Article
Cloning and Characterization of a Thermostable Endolysin of Bacteriophage TP-84 as a Potential Disinfectant and Biofilm-Removing Biological Agent
by Joanna Żebrowska, Olga Żołnierkiewicz, Małgorzata Ponikowska, Michał Puchalski, Natalia Krawczun, Joanna Makowska and Piotr Skowron
Int. J. Mol. Sci. 2022, 23(14), 7612; https://doi.org/10.3390/ijms23147612 - 9 Jul 2022
Cited by 15 | Viewed by 3282
Abstract
The obligatory step in the life cycle of a lytic bacteriophage is the release of its progeny particles from infected bacterial cells. The main barrier to overcome is the cell wall, composed of crosslinked peptidoglycan, which counteracts the pressure prevailing in the cytoplasm [...] Read more.
The obligatory step in the life cycle of a lytic bacteriophage is the release of its progeny particles from infected bacterial cells. The main barrier to overcome is the cell wall, composed of crosslinked peptidoglycan, which counteracts the pressure prevailing in the cytoplasm and protects the cell against osmotic lysis and mechanical damage. Bacteriophages have developed two strategies leading to the release of progeny particles: the inhibition of peptidoglycan synthesis and enzymatic cleavage by a bacteriophage-coded endolysin. In this study, we cloned and investigated the TP84_28 endolysin of the bacteriophage TP-84, which infects thermophilic Geobacillus stearothermophilus, determined the enzymatic characteristics, and initially evaluated the endolysin application as a non-invasive agent for disinfecting surfaces, including those exposed to high temperatures. Both the native and recombinant TP84_28 endolysins, obtained through the Escherichia coli T7-lac expression system, are highly thermostable and retain trace activity after incubation at 100 °C for 30 min. The proteins exhibit strong bacterial wall digestion activity up to 77.6 °C, decreasing to marginal activity at ambient temperatures. We assayed the lysis of various types of bacteria using TP84_28 endolysins: Gram-positive, Gram-negative, encapsulated, and pathogenic. Significant lytic activity was observed on the thermophilic and mesophilic Gram-positive bacteria and, to a lesser extent, on the thermophilic and mesophilic Gram-negative bacteria. The thermostable TP84_28 endolysin seems to be a promising mild agent for disinfecting surfaces exposed to high temperatures. Full article
(This article belongs to the Special Issue Bacteriophage—Molecular Studies 4.0)
Show Figures

Figure 1

13 pages, 1518 KB  
Article
Effect of Near-Infrared Blood Photobiomodulation on Red Blood Cell Damage from the Extracorporeal Circuit during Hemodialysis In Vitro
by Tomasz Walski, Karolina Grzeszczuk-Kuć, Weronika Berlik, Izabela Synal-Kulczak, Raghvendra Bohara, Jerzy Detyna and Małgorzata Komorowska
Photonics 2022, 9(5), 341; https://doi.org/10.3390/photonics9050341 - 13 May 2022
Cited by 5 | Viewed by 4579
Abstract
The contact of blood with the bioincompatible membranes of the dialyzer, which is part of the extracorporeal circuit during hemodialysis (HD), causes upregulation of various cellular and non-cellular processes, including massive generation and release of reactive oxygen species (ROS), (which is one of [...] Read more.
The contact of blood with the bioincompatible membranes of the dialyzer, which is part of the extracorporeal circuit during hemodialysis (HD), causes upregulation of various cellular and non-cellular processes, including massive generation and release of reactive oxygen species (ROS), (which is one of the primary causes of anemia in chronic renal failure). We hypothesize that near-infrared (NIR) radiation possesses antioxidant properties and is considered to protect the red blood cell (RBC) membrane by enhancing its resilience to negative pressures. Our experimental setup consisted of an HD machine equipped with a dialyzer with a polyamide membrane; whole bovine blood was examined in vitro in blood-treated circulation. Blood samples were taken at 0, 5, 15, and 30 min during the HD therapy. We also assessed osmotic fragility, hematocrit, hemolysis, and oxidative stress as a concentration of reactive thiobarbituric acid substances (TBARS). Our results have shown that RBC membrane peroxidation increased significantly after 30 min of circulation, whereas the TBARS level in NIR-treated blood remained relatively steady throughout the experiment. The osmotic fragility of NIR-irradiated samples during dialysis was decreased compared to control samples. Our studies confirm that in vitro, blood photobiomodulation using NIR light diminishes oxidative damage during HD and can be considered a simultaneous pretreatment strategy for HD. Full article
Show Figures

Figure 1

18 pages, 2346 KB  
Article
Sugar Levels Determine Fermentation Dynamics during Yeast Pastry Making and Its Impact on Dough and Product Characteristics
by Evelyne Timmermans, An Bautil, Kristof Brijs, Ilse Scheirlinck, Roel Van der Meulen and Christophe M. Courtin
Foods 2022, 11(10), 1388; https://doi.org/10.3390/foods11101388 - 11 May 2022
Cited by 31 | Viewed by 15443
Abstract
Fermented pastry products are produced by fermenting and baking multi-layered dough. Increasing our knowledge of the impact of the fermentation process during pastry making could offer opportunities for improving the production process or end-product quality, whereas increasing our knowledge on the sugar release [...] Read more.
Fermented pastry products are produced by fermenting and baking multi-layered dough. Increasing our knowledge of the impact of the fermentation process during pastry making could offer opportunities for improving the production process or end-product quality, whereas increasing our knowledge on the sugar release and consumption dynamics by yeast could help to design sugar reduction strategies. Therefore, this study investigates the impact of yeast fermentation and different sugar concentrations on pastry dough properties and product quality characteristics. First, yeasted pastry samples were made with 8% yeast and 14% sucrose on a wheat flour dry matter base and compared to non-yeasted samples. Analysis of saccharide concentrations revealed that sucrose was almost entirely degraded by invertase in yeasted samples after mixing. Fructans were also degraded extensively, but more slowly. At least 23.6 ± 2.6% of the released glucose was consumed during fermentation. CO2 production during fermentation contributed more to product height development than water and ethanol evaporation during baking. Yeast metabolites weakened the gluten network, causing a reduction in dough strength and extensibility. However, fermentation time had a more significant impact on dough rheology parameters than the presence of yeast. In balance, yeast fermentation did not significantly affect the calculated sweetness factor of the pastry product with 14% added sucrose. Increasing the sugar content (21%) led to higher osmotic stress, resulting in reduced sugar consumption, reduced CO2 and ethanol production and a lower product volume. A darker colour and a higher sweetness factor were obtained. Reducing the sugar content (7%) had the opposite effect. Eliminating sucrose from the recipe (0%) resulted in a shortened productive fermentation time due to sugar depletion. Dough rheology was affected to a limited extent by changes in sucrose addition, although no sucrose addition or a very high sucrose level (21%) reduced the maximum dough strength. Based on the insights obtained in this study, yeast-based strategies can be developed to improve the production and quality of fermented pastry. Full article
(This article belongs to the Section Grain)
Show Figures

Graphical abstract

21 pages, 2213 KB  
Review
Copeptin and Stress
by Marianna Martino and Giorgio Arnaldi
Endocrines 2021, 2(4), 384-404; https://doi.org/10.3390/endocrines2040035 - 12 Oct 2021
Cited by 13 | Viewed by 7591
Abstract
Vasopressin (AVP) and copeptin are released in equimolar amounts from the same precursor. Due to its molecular stability and countless advantages as compared with AVP, copeptin perfectly mirrors AVP presence and has progressively emerged as a reliable marker of vasopressinergic activation in response [...] Read more.
Vasopressin (AVP) and copeptin are released in equimolar amounts from the same precursor. Due to its molecular stability and countless advantages as compared with AVP, copeptin perfectly mirrors AVP presence and has progressively emerged as a reliable marker of vasopressinergic activation in response to osmotic and hemodynamic stimuli in clinical practice. Moreover, evidence highlighting the prognostic potential of copeptin in several acute diseases, where the activation of the AVP system is primarily linked to stress, as well as in psychologically stressful conditions, has progressively emerged. Furthermore, organic stressors induce a rise in copeptin levels which, although non-specific, is unrelated to plasma osmolality but proportional to their magnitude: suggesting disease severity, copeptin proved to be a reliable prognostic biomarker in acute conditions, such as sepsis, early post-surgical period, cardiovascular, cerebrovascular or pulmonary diseases, and even in critical settings. Evidence on this topic will be briefly discussed in this article. Full article
(This article belongs to the Special Issue Neuroregulation of the Hypothalamus-Pituitary-Adrenal)
Show Figures

Figure 1

17 pages, 5724 KB  
Article
Molecular Basis for Mechanical Properties of ECMs: Proposed Role of Fibrillar Collagen and Proteoglycans in Tissue Biomechanics
by Frederick H. Silver, Nikita Kelkar and Tanmay Deshmukh
Biomolecules 2021, 11(7), 1018; https://doi.org/10.3390/biom11071018 - 12 Jul 2021
Cited by 27 | Viewed by 4133
Abstract
Collagen and proteoglycans work in unison in the ECM to bear loads, store elastic energy and then dissipate excess energy to avoid tissue fatigue and premature mechanical failure. While collagen fibers store elastic energy by stretching the flexible regions in the triple helix, [...] Read more.
Collagen and proteoglycans work in unison in the ECM to bear loads, store elastic energy and then dissipate excess energy to avoid tissue fatigue and premature mechanical failure. While collagen fibers store elastic energy by stretching the flexible regions in the triple helix, they do so by lowering their free energy through a reduction in the entropy and a decrease in charge–charge repulsion. Entropic increases occur when the load is released that drive the reversibility of the process and transmission of excess energy. Energy is dissipated by sliding of collagen fibrils by each other with the aid of decorin molecules that reside on the d and e bands of the native D repeat pattern. Fluid flow from the hydration layer associated with the decorin and collagen fibrils hydraulically dissipates energy during sliding. The deformation is reversed by osmotic forces that cause fluid to reform a hydration shell around the collagen fibrils when the loads are removed. In this paper a model is presented describing the organization of collagen fibers in the skin and cell–collagen mechanical relationships that exist based on non-invasive measurements made using vibrational optical coherence tomography. It is proposed that under external stress, collagen fibers form a tensional network in the plane of the skin. Collagen fiber tension along with forces generated by fibroblasts exerted on collagen fibers lead to an elastic modulus that is almost uniform throughout the plane of the skin. Tensile forces acting on cells and tissues may provide a baseline for stimulation of normal mechanotransduction. We hypothesize that during aging, changes in cellular metabolism, cell–collagen interactions and light and UV light exposure cause down regulation of mechanotransduction and tissue metabolism leading to tissue atrophy. Full article
Show Figures

Figure 1

17 pages, 4806 KB  
Article
Development of a Model Based on Physical Mechanisms for the Explanation of Drug Release: Application to Diclofenac Release from Polyurethane Films
by Navideh Abbasnezhad, Mohamed Kebdani, Mohammadali Shirinbayan, Stéphane Champmartin, Abbas Tcharkhtchi, Smaine Kouidri and Farid Bakir
Polymers 2021, 13(8), 1230; https://doi.org/10.3390/polym13081230 - 10 Apr 2021
Cited by 21 | Viewed by 4255
Abstract
In this study, we present a method for prediction of the drug-release profile based on the physical mechanisms that can intervene in drug release from a drug-carrier. The application presented here incorporates the effects of drug concentration and Reynolds number defining the circulating [...] Read more.
In this study, we present a method for prediction of the drug-release profile based on the physical mechanisms that can intervene in drug release from a drug-carrier. The application presented here incorporates the effects of drug concentration and Reynolds number defining the circulating flow in the testing vein. The experimental data used relate to the release of diclofenac from samples of non-degradable polyurethane subjected to static and continuous flow. This case includes simultaneously three mechanisms: burst-release, diffusion and osmotic pressure, identified beforehand here as being able to contribute to the drug liberation. For this purpose, authors coded the Sequential Quadratic Programming Algorithm to solve the problem of non-linear optimization. The experimental data used to develop the mathematical model obtained from release studies carried out in water solution at 37 °C, for three concentrations of diclofenac and two water flow rates. We discuss the contribution of mechanisms and kinetics by considering two aforementioned parameters and, following that, we obtain the specific-model and compare the calculated results with the experimental results for the reserved cases. The results showed that drug percentage mostly affect the burst release, however flow rate has affected the osmotic release. In addition, release kinetics of all the mechanisms have increased by increasing the values of two considered parameters. Full article
(This article belongs to the Special Issue Polymeric Biomaterials and Drug Delivery Systems)
Show Figures

Figure 1

22 pages, 4469 KB  
Article
Mutagenic Analysis of a DNA Translocating Tube’s Interior Surface
by Aaron P. Roznowski, Julia M. Fisher and Bentley A. Fane
Viruses 2020, 12(6), 670; https://doi.org/10.3390/v12060670 - 22 Jun 2020
Cited by 4 | Viewed by 3542
Abstract
Bacteriophage ϕX174 uses a decamer of DNA piloting proteins to penetrate its host. These proteins oligomerize into a cell wall-spanning tube, wide enough for genome passage. While the inner surface of the tube is primarily lined with inward-facing amino acid side chains containing [...] Read more.
Bacteriophage ϕX174 uses a decamer of DNA piloting proteins to penetrate its host. These proteins oligomerize into a cell wall-spanning tube, wide enough for genome passage. While the inner surface of the tube is primarily lined with inward-facing amino acid side chains containing amide and guanidinium groups, there is a 28 Å-long section near the tube’s C-terminus that does not exhibit this motif. The majority of the inward-facing residues in this region are conserved across the three ϕX174-like clades, suggesting that they play an important role during genome delivery. To test this hypothesis, and explore the general function of the tube’s inner surface, non-glutamine residues within this region were mutated to glutamine, while existing glutamine residues were changed to serine. Four of the resulting mutants had temperature-dependent phenotypes. Virion assembly, host attachment, and virion eclipse, defined as the cell’s ability to inactivate the virus, were not affected. Genome delivery, however, was inhibited. The results support a model in which a balance of forces governs genome delivery: potential energy provided by the densely packaged viral genome and/or an osmotic gradient move the genome into the cell, while the tube’s inward facing glutamine residues exert a frictional force, or drag, that controls genome release. Full article
(This article belongs to the Special Issue In Memory of Michael Rossmann)
Show Figures

Figure 1

16 pages, 2842 KB  
Article
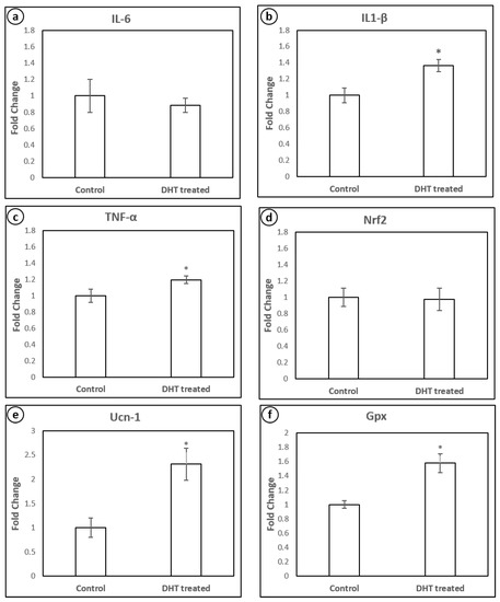
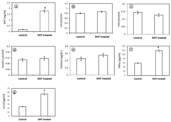
Effect of DHT-Induced Hyperandrogenism on the Pro-Inflammatory Cytokines in a Rat Model of Polycystic Ovary Morphology
by Abhaya Krishnan, Sridhar Muthusami, Loganayaki Periyasamy, Jone A. Stanley, Vasudevan Gopalakrishnan and Ilangovan Ramachandran
Medicina 2020, 56(3), 100; https://doi.org/10.3390/medicina56030100 - 27 Feb 2020
Cited by 31 | Viewed by 5828
Abstract
Background and Objectives: Polycystic ovary syndrome (PCOS) is one of the most prevalent disorders among women of reproductive age. It is considered as a pro-inflammatory state with chronic low-grade inflammation, one of the key factors contributing to the pathogenesis of this disorder. [...] Read more.
Background and Objectives: Polycystic ovary syndrome (PCOS) is one of the most prevalent disorders among women of reproductive age. It is considered as a pro-inflammatory state with chronic low-grade inflammation, one of the key factors contributing to the pathogenesis of this disorder. Polycystic ovary is a well-established criterion for PCOS. The present investigation aimed at finding the role of hyperandrogenism, the most important feature of PCOS, in the development of this inflammatory state. To address this problem, we adopted a model system that developed polycystic ovary morphology (PCOM), which could be most effectively used in order to study the role of non-aromatizable androgen in inflammation in PCOS. Materials and Methods: Six rats were used to induce PCOM in 21-days-old female Wistar albino rats by using a pre-determined release of dihydrotestosterone (DHT), a potent non-aromatizable androgen, achieved by implanting a DHT osmotic pump, which is designed to release a daily dose of 83 μg. Results: After 90 days, the rats displayed irregular estrous cycles and multiple ovarian cysts similar to human PCOS. Elevated serum inflammatory markers such as tumor necrosis factor-α (TNF-α) and interleukin-1β (IL-1β), and the presence of a necrotic lesion in the liver, osteoclast in the femur, multinucleated giant cells and lymphocytes in the ovary based on histopathological observation of DHT-treated rats clearly indicated the onset of inflammation in the hyperandrogenic state. Our results show no significant alterations in serum hormones such as luteinizing hormone (LH), follicle stimulating hormone (FSH), insulin, and cortisol between control and hyperandrogenised rats. DHT was significantly elevated as compared to control. mRNA studies showed an increased expression level of TNF-α and IL-1β, further, the mRNA expression of urocortin 1 (Ucn-1) was stupendously elevated in the liver of hyperandrogenised rats. Conclusions: Thus, results from this study provide: (1) a good PCOM model system in order to study the inflammatory changes in PCOS aspects, (2) alteration of inflammatory markers in PCOM rats that could be either due to its direct effect or by the regulation of various inflammatory genes and markers in the liver of hyperandrogenic state suggesting the regulatory role of DHT, and (3) alteration in stress-related protein in the liver of PCOM rats. Full article
Show Figures

Figure 1

15 pages, 432 KB  
Review
Hyponatremia Associated with Heart Failure: Pathological Role of Vasopressin-Dependent Impaired Water Excretion
by San-e Ishikawa
J. Clin. Med. 2015, 4(5), 933-947; https://doi.org/10.3390/jcm4050933 - 8 May 2015
Cited by 24 | Viewed by 14652
Abstract
An exaggerated increase in circulatory blood volume is linked to congestive heart failure. Despite this increase, reduction of the “effective circulatory blood volume” in congestive heart failure is associated with decreased cardiac output, and can weaken the sensitivity of baroreceptors. Thereafter, tonic inhibition [...] Read more.
An exaggerated increase in circulatory blood volume is linked to congestive heart failure. Despite this increase, reduction of the “effective circulatory blood volume” in congestive heart failure is associated with decreased cardiac output, and can weaken the sensitivity of baroreceptors. Thereafter, tonic inhibition of the baroreceptor-mediated afferent pathway of vagal nerves is removed, providing an increase in non-osmotic release of arginine vasopressin (AVP). In the renal collecting duct, the aquaporin-2 (AQP2) water channel is regulated by sustained elevation of AVP release, and this leads to augmented hydroosmotic action of AVP, that results in exaggerated water retention and dilutional hyponatremia. Hyponatremia is also a predictor for worsening heart failure in patients with known/new onset heart failure. Therefore, such a dilutional hyponatremia associated with organ damage is predictive of the short- and long-term outcome of heart failure. Full article
(This article belongs to the Special Issue Hyponatremia: Advances in Diagnosis and Management)
Show Figures

Figure 1

26 pages, 3975 KB  
Article
The Sustained Delivery of Resveratrol or a Defined Grape Powder Inhibits New Blood Vessel Formation in a Mouse Model of Choroidal Neovascularization
by Mozhgan Rezaie Kanavi, Soesiawati Darjatmoko, Shoujian Wang, Amir A. Azari, Mitra Farnoodian, Jason D. Kenealey, Paul R. Van Ginkel, Daniel M. Albert, Nader Sheibani and Arthur S. Polans
Molecules 2014, 19(11), 17578-17603; https://doi.org/10.3390/molecules191117578 - 30 Oct 2014
Cited by 18 | Viewed by 8496
Abstract
The objective of this study was to determine whether resveratrol or a defined, reconstituted grape powder can attenuate the formation of new blood vessels in a mouse model of choroidal neovascularization (CNV). To accomplish this objective, C57BL/6J mice were randomized into control or [...] Read more.
The objective of this study was to determine whether resveratrol or a defined, reconstituted grape powder can attenuate the formation of new blood vessels in a mouse model of choroidal neovascularization (CNV). To accomplish this objective, C57BL/6J mice were randomized into control or treatment groups which received either resveratrol or grape powder by daily oral gavage, resveratrol or grape powder delivered ad libitum through the drinking water, or resveratrol by slow release via implanted osmotic pumps. A laser was used to rupture Bruch’s membrane to induce CNV which was then detected in sclerochoroidal eyecups stained with antibodies against intercellular adhesion molecule-2. CNV area was measured using fluorescence microscopy and Image J software. Ad libitum delivery of both resveratrol and grape powder was shown to significantly reduce the extent of CNV by 68% and 57%, respectively. Parallel experiments conducted in vitro demonstrated that resveratrol activates p53 and inactivates Akt/protein kinase B in choroidal endothelial cells, contributing to its anti-proliferative and anti-migratory properties. In addition resveratrol was shown to inhibit the formation of endothelial cell networks, augmenting its overall anti-angiogenic effects. The non-toxic nature of resveratrol makes it an especially attractive candidate for the prevention and/or treatment of CNV. Full article
(This article belongs to the Special Issue Resveratrol)
Show Figures

Graphical abstract

12 pages, 813 KB  
Article
Continuous Drug Release by Sea Anemone Nematostella vectensis Stinging Microcapsules
by Yossi Tal, Ari Ayalon, Agnesa Sharaev, Zoya Kazir, Vera Brekhman and Tamar Lotan
Mar. Drugs 2014, 12(2), 734-745; https://doi.org/10.3390/md12020734 - 27 Jan 2014
Cited by 9 | Viewed by 8539
Abstract
Transdermal delivery is an attractive option for drug delivery. Nevertheless, the skin is a tough barrier and only a limited number of drugs can be delivered through it. The most difficult to deliver are hydrophilic drugs. The stinging mechanism of the cnidarians is [...] Read more.
Transdermal delivery is an attractive option for drug delivery. Nevertheless, the skin is a tough barrier and only a limited number of drugs can be delivered through it. The most difficult to deliver are hydrophilic drugs. The stinging mechanism of the cnidarians is a sophisticated injection system consisting of microcapsular nematocysts, which utilize built-in high osmotic pressures to inject a submicron tubule that penetrates and delivers their contents to the prey. Here we show, for the first time, that the nematocysts of the starlet sea anemone Nematostella vectensis can be isolated and incorporated into a topical formulation for continuous drug delivery. We demonstrate quantitative delivery of nicotinamide and lidocaine hydrochloride as a function of microcapsular dose or drug exposure. We also show how the released submicron tubules can be exploited as a skin penetration enhancer prior to and independently of drug application. The microcapsules are non-irritant and may offer an attractive alternative for hydrophilic transdermal drug delivery. Full article
(This article belongs to the Special Issue Mechanism of Action Analysis for Marine Compounds)
Show Figures

Figure 1

Back to TopTop