Effect of DHT-Induced Hyperandrogenism on the Pro-Inflammatory Cytokines in a Rat Model of Polycystic Ovary Morphology
Abstract
1. Introduction
2. Materials and Methods
2.1. Preparation of DHT-Filled Osmotic Pumps
2.2. Animal Surgery and DHT Osmotic Pump Implantation
2.3. Measurement of Serum Hormones
2.4. Histopathology
2.4.1. Decalcification of Femur
2.4.2. H&E Staining
2.5. Analysis of mRNA Expression (Semi-Quantitative PCR)
3. Statistical Analysis
4. Results
4.1. Confirmation of PCOM
4.2. Biochemical Results
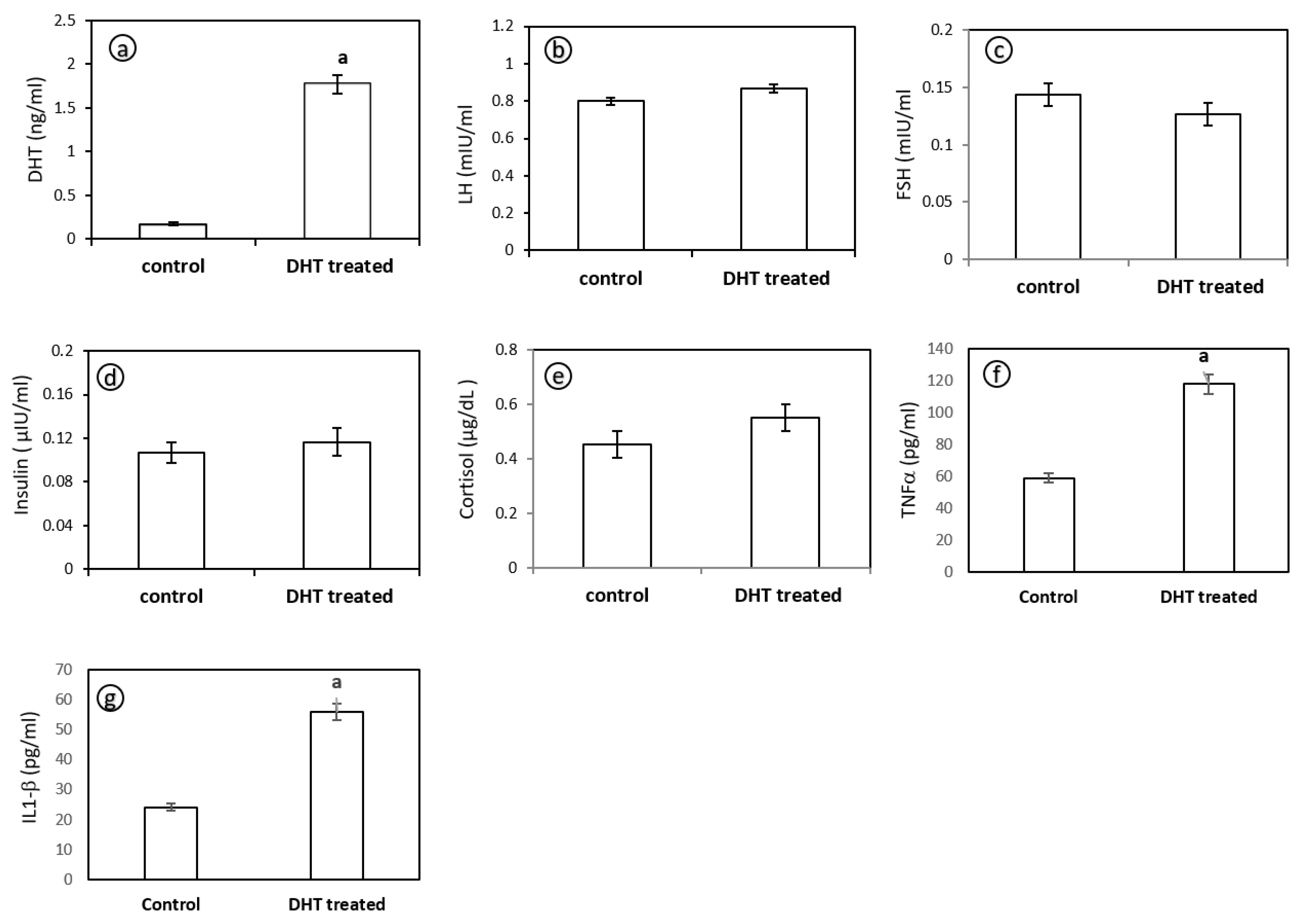
4.2.1. Serum Hormonal Profiles
4.2.2. Serum Levels of TNF-α and IL-1β
4.3. Histopathological Examination
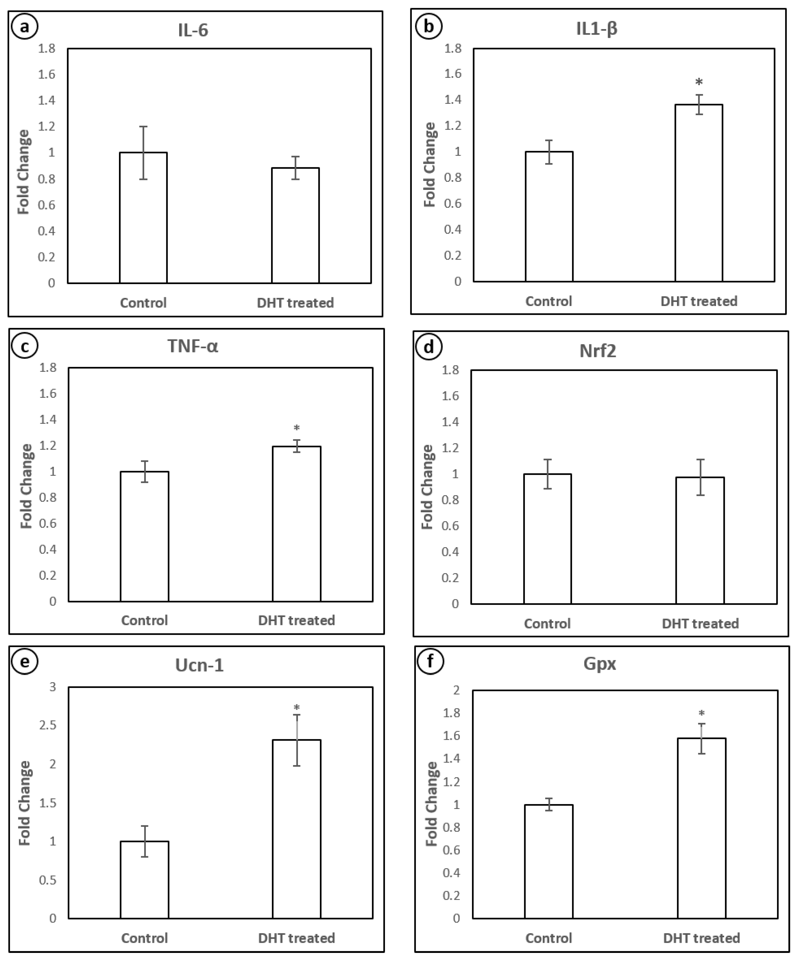
4.4. mRNA Expression of Inflammatory Cytokines and Stress-Related Peptides
5. Discussion
6. Conclusions
Author Contributions
Funding
Acknowledgments
Conflicts of Interest
References
- Rosenfield, R.L.; Ehrmann, D.A. The pathogenesis of polycystic ovary syndrome (PCOS): The hypothesis of PCOS as functional ovarian hyperandrogenism revisited. Endocr. Rev. 2016, 37, 467–520. [Google Scholar] [CrossRef]
- Asunción, M.; Calvo, R.M.; San Millán, J.L.; Sancho, J.; Avila, S.; Escobar-Morreale, H.F. A prospective study of the prevalence of the polycystic ovary syndrome in unselected Caucasian women from Spain. J. Clin. Endocrinol. Metab. 2000, 85, 2434–2438. [Google Scholar] [CrossRef]
- Yildiz, B.O.; Bozdag, G.; Yapici, Z.; Esinler, I.; Yarali, H. Prevalence, phenotype and cardiometabolic risk of polycystic ovary syndrome under different diagnostic criteria. Hum. Reprod. 2012, 27, 3067–3073. [Google Scholar] [CrossRef]
- Conway, G.; Dewailly, D.; Diamanti-Kandarakis, E.; Escobar-Morreale, H.F.; Franks, S.; Gambineri, A.; Kelestimur, F.; Macut, D.; Micic, D.; Pasquali, R.; et al. The polycystic ovary syndrome: A position statement from the European Society of Endocrinology. Eur. J. Endocrinol. 2014, 171, P1–P29. [Google Scholar] [CrossRef]
- Krishnan, A.; Muthusami, S. Hormonal alterations in PCOS and its influence on bone metabolism. J. Endocrinol. 2017, 232, R99–R113. [Google Scholar] [CrossRef] [PubMed]
- Paixão, L.; Ramos, R.B.; Lavarda, A.; Morsh, D.M.; Spritzer, P.M. Animal models of hyperandrogenism and ovarian morphology changes as features of polycystic ovary syndrome: A systematic review. Reprod. Biol. Endocrinol. 2017, 15, 12. [Google Scholar] [CrossRef] [PubMed]
- Wang, L.; Qi, H.; Baker, P.N.; Zhen, Q.; Zeng, Q.; Shi, R.; Tong, C.; Ge, Q. Altered circulating inflammatory cytokines are associated with anovulatory polycystic ovary syndrome (PCOS) women resistant to clomiphene citrate treatment. Med. Sci. Monit. Int. Med. J. Exp. Clin. Res. 2017, 23, 1083. [Google Scholar] [CrossRef] [PubMed]
- Amato, G.; Conte, M.; Mazziotti, G.; Lalli, E.; Vitolo, G.; Tucker, A.T.; Bellastella, A.; Carella, C.; Izzo, A. Serum and follicular fluid cytokines in polycystic ovary syndrome during stimulated cycles. Obstet. Gynecol. 2003, 101, 1177–1182. [Google Scholar] [PubMed]
- Ebejer, K.; Calleja-Agius, J. The role of cytokines in polycystic ovarian syndrome. Gynecol. Endocrinol. 2013, 29, 536–540. [Google Scholar] [CrossRef]
- Herman, J.P.; McKlveen, J.M.; Ghosal, S.; Kopp, B.; Wulsin, A.; Makinson, R.; Scheimann, J.; Myers, B. Regulation of the hypothalamic-pituitary-adrenocortical stress response. Compr. Physiol. 2011, 6, 603–621. [Google Scholar]
- Lin, T.K.; Zhong, L.; Santiago, J.L. Association between Stress and the HPA Axis in the Atopic Dermatitis. Int. J. Mol. Sci. 2017, 18, 2131. [Google Scholar] [CrossRef] [PubMed]
- Vassilatou, E Nonalcoholic fatty liver disease and polycystic ovary syndrome. World J. Gastroenterol. Wjg 2014, 20, 8351. [CrossRef] [PubMed]
- Vassilatou, E.; Lafoyianni, S.; Vryonidou, A.; Ioannidis, D.; Kosma, L.; Katsoulis, K.; Papavassiliou, E.; Tzavara, I. Increased androgen bioavailability is associated with non-alcoholic fatty liver disease in women with polycystic ovary syndrome. Hum. Reprod. 2010, 25, 212–220. [Google Scholar] [CrossRef] [PubMed]
- Ramadori, G.; Armbrust, T. Cytokines in the liver. Eur. J. Gastroenterol. Hepatol. 2001, 13, 777–784. [Google Scholar] [CrossRef]
- Basu, B.R.; Chowdhury, O.; Saha, S.K. Possible link between stress-related factors and altered body composition in women with polycystic ovarian syndrome. J. Hum. Reprod. Sci. 2018, 11, 10. [Google Scholar] [CrossRef]
- Stengel, A.; Taché, Y.F. CRF and urocortin peptides as modulators of energy balance and feeding behavior during stress. Front. Neurosci. 2014, 8, 52. [Google Scholar] [CrossRef]
- Weninger, S.C.; Peters, L.L.; Majzoub, J.A. Urocortin expression in the Edinger-Westphal nucleus is up-regulated by stress and corticotropin-releasing hormone deficiency. Endocrinology 2000, 141, 256–263. [Google Scholar] [CrossRef]
- Caldwell, A.S.L.; Middleton, L.J.; Jimenez, M.; Desai, R.; McMahon, A.C.; Allan, C.M.; Handelsman, D.J.; Walters, K.A. Characterization of Reproductive, Metabolic, and Endocrine Features of Polycystic Ovary Syndrome in Female Hyperandrogenic Mouse Models. Endocrinology 2014, 155, 3146–3159. [Google Scholar] [CrossRef]
- Manneras, L.; Cajander, S.; Holmäng, A.; Seleskovic, Z.; Lystig, T.; Lönn, M.; Stener-Victorin, E. A new rat model exhibiting both ovarian and metabolic characteristics of polycystic ovary syndrome. Endocrinology 2007, 148, 3781–3791. [Google Scholar] [CrossRef]
- Liu, H.; Zhu, R.; Liu, C.; Ma, R.; Wang, L.; Chen, B.; Li, L.; Niu, J.; Zhao, D.; Mo, F.; et al. Evaluation of decalcification techniques for rat femurs using HE and immunohistochemical staining. Biomed Res. Int. 2017, 2017, 9050754. [Google Scholar] [CrossRef]
- Fischer, A.H.; Jacobson, K.A.; Rose, J.; Zeller, R. Hematoxylin and eosin staining of tissue and cell sections. Cold Spring Harb. Protoc. 2008, 2008, pdb-prot4986. [Google Scholar] [CrossRef] [PubMed]
- Noroozzadeh, M.; Behboudi-Gandevani, S.; Zadeh-Vakili, A.; Tehrani, F.R. Hormone-induced rat model of polycystic ovary syndrome: A systematic review. Life Sci. 2017, 191, 259–272. [Google Scholar] [CrossRef] [PubMed]
- Singh, K.B. Rat models of polycystic ovary syndrome. In Sourcebook of Models for Biomedical Research; Springer: Berlin/Heidelberg, Germany, 2008; pp. 405–410. [Google Scholar]
- Chen, M.J.; Chou, C.H.; Chen, S.U.; Yang, W.S.; Yang, Y.S.; Ho, H.N. The effect of androgens on ovarian follicle maturation: Dihydrotestosterone suppress FSH-stimulated granulosa cell proliferation by upregulating PPARγ-dependent PTEN expression. Sci. Rep. 2015, 5, 18319. [Google Scholar] [CrossRef] [PubMed]
- Arai, Y.; Yamanouchi, K.; Mizukami, S.; Yanai, R.; Shibata, K.; Nagasawa, H. Induction of anovulatory sterility by neonatal treatment with 5 beta-dihydrotestosterone in female rats. Acta Endocrinol. 1981, 96, 439–443. [Google Scholar] [CrossRef] [PubMed]
- Astapova, O.; Minor, B.M.; Hammes, S.R. Physiological and pathological androgen actions in the ovary. Endocrinology 2019, 160, 1166–1174. [Google Scholar] [CrossRef]
- Meirow, D.; Yossepowitch, O.; Rösler, A.; Brzezinski, A.; Schenker, J.G.; Laufer, N.; Raz, I. Endocrinology: Insulin resistant and non-resistant polycystic ovary syndrome represent two clinical and endocrinological subgroups. Hum. Reprod. 1995, 10, 1951–1956. [Google Scholar] [CrossRef]
- Wang, C.H.; Ding, H.Y. Effect of insulin on androgen production in patients with polycystic ovary syndrome. Chin. J. Health Lab. Technol. 2010, 59, 834–835. [Google Scholar]
- Belani, M.; Deo, A.; Shah, P.; Banker, M.; Singal, P.; Gupta, S. Differential insulin and steroidogenic signaling in insulin resistant and non-insulin resistant human luteinized granulosa cells—A study in PCOS patients. J. Steroid Biochem. Mol. Biol. 2018, 178, 283–292. [Google Scholar] [CrossRef]
- Shah, S. Threshold BMI to predict Non-Insulin-resistance in PCOS. Indian J. Obstet. Gynecol. Res. 2016, 3, 153–156. [Google Scholar] [CrossRef]
- Billiar, R.B.; Richardson, D.; Anderson, E.; Mahajan, D.; Little, B. The Effect of Chronic and Acyclic Elevation of Circulating Androstenedione or Estrone Concentrations on Ovarian Function in the Rhesus Monkey*. Endocrinology 1985, 116, 2209–2220. [Google Scholar] [CrossRef]
- Knudsen, J.F.; Costoff, A.; Mahesh, V.B. Dehydroepiandrosterone-induced polycystic ovaries and acyclicity in the rat. Fertil. Steril. 1975, 26, 807–817. [Google Scholar] [CrossRef]
- Marcondes, R.R.; Carvalho, K.C.; Duarte, D.C.; Garcia, N.; Amaral, V.C.; Simões, M.J.; Turco, E.G.L.; Soares, J.M., Jr.; Baracat, E.C.; Maciel, G.A. Differences in neonatal exposure to estradiol or testosterone on ovarian function and hormonal levels. Gen. Comp. Endocrinol. 2015, 212, 28–33. [Google Scholar] [CrossRef] [PubMed]
- Familiari, G.; Toscano, V.; Motta, P.M. Morphological studies of polycystic mouse ovaries induced by dehydroepiandrosterone. Cell Tissue Res. 1985, 240, 519–528. [Google Scholar] [CrossRef] [PubMed]
- Tyndall, V.; Broyde, M.; Sharpe, R.; Welsh, M.; Drake, A.J.; McNeilly, A.S. Effect of androgen treatment during foetal and/or neonatal life on ovarian function in prepubertal and adult rats. Reproduction 2012, 143, 21–33. [Google Scholar] [CrossRef]
- Zhai, H.L.; Wu, H.; Xu, H.; Weng, P.; Xia, F.Z.; Chen, Y.; Lu, Y.L. Trace glucose and lipid metabolism in high androgen and high-fat diet induced polycystic ovary syndrome rats. Reprod. Biol. Endocrinol. 2012, 10, 5. [Google Scholar] [CrossRef]
- Robinson, M.W.; Harmon, C.; O’Farrelly, C. Liver immunology and its role in inflammation and homeostasis. Cell. Mol. Immunol. 2016, 13, 267. [Google Scholar] [CrossRef]
- Traish, A.; Bolanos, J.; Nair, S.; Saad, F.; Morgentaler, A. Do androgens modulate the pathophysiological pathways of inflammation? Appraising the contemporary evidence. J. Clin. Med. 2018, 7, 549. [Google Scholar] [CrossRef]
- Paavonen, T. Hormonal regulation of immune responses. Ann. Med. 1994, 26, 255–258. [Google Scholar] [CrossRef]
- Hatakeyama, H.; Nishizawa, M.; Nakagawa, A.; Nakano, S.; Kigoshi, T.; Uchida, K. Testosterone inhibits tumor necrosis factor-α-induced vascular cell adhesion molecule-1 expression in human aortic endothelial cells. FEBS Lett. 2002, 530, 129–132. [Google Scholar] [CrossRef]
- Wang, J.; Cai, Y.; Shao, L.J.; Siddiqui, J.; Palanisamy, N.; Li, R.; Ren, C.; Ayala, G.; Ittmann, M. Activation of NF-κB by TMPRSS2/ERG fusion isoforms through Toll-like receptor-4. Cancer Res. 2011, 71, 1325–1333. [Google Scholar] [CrossRef]
- Davey, R.A.; Grossmann, M. Androgen Receptor Structure, Function and Biology: From Bench to Bedside. Clin. Biochem. Rev. 2016, 37, 3–15. [Google Scholar] [PubMed]
- Stanley, J.A.; Aruldhas, M.M.; Chandrasekaran, M.; Neelamohan, R.; Suthagar, E.; Annapoorna, K.; Sharmila, S.; Jayakumar, J.; Jayaraman, G.; Srinivasan, N.; et al. Androgen receptor expression in human thyroid cancer tissues: A potential mechanism underlying the gender bias in the incidence of thyroid cancers. J. Steroid Biochem. Mol. Biol. 2012, 130, 105–124. [Google Scholar] [CrossRef] [PubMed]
- Rubinow, K.B.; Houston, B.; Wang, S.; Goodspeed, L.; Ogimoto, K.; Morton, G.J.; McCarty, C.; Braun, R.E.; Page, S.T. Androgen receptor deficiency in monocytes/macrophages does not alter adiposity or glucose homeostasis in male mice. Asian J. Androl. 2018, 20, 276. [Google Scholar] [CrossRef] [PubMed]
- Kan, W.H.; Hsieh, C.H.; Schwacha, M.G.; Choudhry, M.A.; Raju, R.; Bland, K.I.; Chaudry, I.H. Flutamide protects against trauma-hemorrhage-induced liver injury via attenuation of the inflammatory response, oxidative stress, and apopotosis. J. Appl. Physiol. 2008, 105, 595–602. [Google Scholar] [CrossRef] [PubMed]
- Ma, W.L.; Jeng, L.B.; Yeh, C.C.; Chang, C. Androgen and androgen receptor signals jamming monocyte/macrophage functions in premalignant phase of livers. Biomedicine 2012, 2, 155–159. [Google Scholar] [CrossRef]
- Hu, M.; Zhang, Y.; Guo, X.; Jia, W.; Liu, G.; Zhang, J.; Li, J.; Cui, P.; Sferruzzi-Perri, A.N.; Han, Y.; et al. Hyperandrogenism and insulin resistance induce gravid uterine defects in association with mitochondrial dysfunction and aberrant reactive oxygen species production. Am. J. Physiol. Endocrinol. Metab. 2019, 316, E794–E809. [Google Scholar] [CrossRef]
- Lima, P.D.A.; Nivet, A.L.; Wang, Q.; Chen, Y.A.; Leader, A.; Cheung, A.; Tzeng, C.R.; Tsang, B.K. Polycystic ovary syndrome: Possible involvement of androgen-induced, chemerin-mediated ovarian recruitment of monocytes/macrophages. Biol. Reprod. 2018, 99, 838–852. [Google Scholar] [CrossRef]
- Moulana, M. Immunophenotypic profile of leukocytes in hyperandrogenemic female rat an animal model of polycystic ovary syndrome. Life Sci. 2019, 220, 44–49. [Google Scholar] [CrossRef]
- Olson, J.K.; Miller, S.D. Microglia initiate central nervous system innate and adaptive immune responses through multiple TLRs. J. Immunol. 2004, 173, 3916–3924. [Google Scholar] [CrossRef]
- Falvo, J.V.; Tsytsykova, A.V.; Goldfeld, A.E. Transcriptional control of the TNF gene. Curr. Dir. Autoimmun. 2010, 11, 27–60. [Google Scholar]
- Duran, J.; Oyarce, C.; Pavez, M.; Valladares, D.; Basualto-Alarcon, C.; Lagos, D.; Barrientos, G.; Troncoso, M.F.; Ibarra, C.; Estrada, M. GSK-3β/NFAT Signaling Is Involved in Testosterone-Induced Cardiac Myocyte Hypertrophy. PLoS ONE 2016, 11, e0168255. [Google Scholar] [CrossRef] [PubMed]
- Dinarello, C.A. Interleukin-1 in the pathogenesis and treatment of inflammatory diseases. Blood 2011, 117, 3720–3732. [Google Scholar] [CrossRef] [PubMed]
- Tan, S.; Bechmann, L.P.; Benson, S.; Dietz, T.; Eichner, S.; Hahn, S.; Janssen, O.E.; Lahner, H.; Gerken, G.; Mann, K.; et al. Apoptotic markers indicate nonalcoholic steatohepatitis in polycystic ovary syndrome. J. Clin. Endocrinol. Metab. 2010, 95, 343–348. [Google Scholar] [CrossRef] [PubMed][Green Version]
- Lee, J.H.; Kim, M.; Im, Y.S.; Choi, W.; Byeon, S.H.; Lee, H.K. NFAT5 induction and its role in hyperosmolar stressed human limbal epithelial cells. Investig. Ophthalmol. Vis. Sci. 2008, 49, 1827–1835. [Google Scholar] [CrossRef]
- Chang, J.; Adams, M.R.; Clifton, M.S.; Liao, M.; Brooks, J.H.; Hasdemir, B.; Bhargava, A. Urocortin 1 modulates immunosignaling in a rat model of colitis via corticotropin-releasing factor receptor 2. Am. J. Physiol. Gastrointest. Liver Physiol. 2011, 300, G884–G894. [Google Scholar] [CrossRef]
- Ikeda, K.; Tojo, K.; Inada, Y.; Takada, Y.; Sakamoto, M.; Lam, M.; Claycomb, W.C.; Tajima, N. Regulation of urocortin I and its related peptide urocortin II by inflammatory and oxidative stresses in HL-1 cardiomyocytes. J. Mol. Endocrinol. 2009, 42, 479–489. [Google Scholar] [CrossRef][Green Version]
- Rivier, C.L. Urocortin 1 inhibits rat leydig cell function. Endocrinology 2008, 149, 6425–6432. [Google Scholar] [CrossRef]
- Baffy, G. Uncoupling protein-2 and cancer. Mitochondrion 2010, 10, 243–252. [Google Scholar] [CrossRef]
- Maia, L.M.; Rocha, A.L.; Del Puerto, H.L.; Petraglia, F.; Reis, F.M. Plasma urocortin-1 as a preoperative marker of endometriosis in symptomatic women. Gynecol. Endocrinol. 2018, 34, 202–205. [Google Scholar] [CrossRef]
- Oki, Y.; Sasano, H. Localization and physiological roles of urocortin. Peptides 2004, 25, 1745–1749. [Google Scholar] [CrossRef]
- Schwimmer, J.B.; Khorram, O.; Chiu, V.; Schwimmer, W.B. Abnormal aminotransferase activity in women with polycystic ovary syndrome. Fertil. Steril. 2005, 83, 494–497. [Google Scholar] [CrossRef] [PubMed]
- Setji, T.L.; Holland, N.D.; Sanders, L.L.; Pereira, K.C.; Diehl, A.M.; Brown, A.J. Nonalcoholic steatohepatitis and nonalcoholic fatty liver disease in young women with polycystic ovary syndrome. J. Clin. Endocrinol. Metab. 2006, 91, 1741–1747. [Google Scholar] [CrossRef] [PubMed]
- Gambarin-Gelwan, M.; Kinkhabwala, S.V.; Schiano, T.D.; Bodian, C.; Yeh, H.C.; Futterweit, W. Prevalence of nonalcoholic fatty liver disease in women with polycystic ovary syndrome. Clin. Gastroenterol. Hepatol. 2007, 5, 496–501. [Google Scholar] [CrossRef] [PubMed]
- Preiss, D.; Sattar, N.; Harborne, L.; Norman, J.; Fleming, R. The effects of 8 months of metformin on circulating GGT and ALT levels in obese women with polycystic ovarian syndrome. Int. J. Clin. Pract. 2008, 62, 1337–1343. [Google Scholar] [CrossRef] [PubMed]
- Economou, F.; Xyrafis, X.; Livadas, S.; Androulakis, I.I.; Argyrakopoulou, G.; Christakou, C.D.; Kandaraki, E.; Palioura, E.; Diamanti-Kandarakis, E. In overweight/obese but not in normal-weight women, polycystic ovary syndrome is associated with elevated liver enzymes compared to controls. Hormones 2009, 8, 199–206. [Google Scholar] [CrossRef] [PubMed]
- Barfield, E.; Liu, Y.H.; Kessler, M.; Pawelczak, M.; David, R.; Shah, B. The prevalence of abnormal liver enzymes and metabolic syndrome in obese adolescent females with polycystic ovary syndrome. J. Pediatric Adolesc. Gynecol. 2009, 22, 318–322. [Google Scholar] [CrossRef]
- Lerchbaum, E.; Gruber, H.J.; Schwetz, V.; Giuliani, A.; Möller, R.; Pieber, T.R.; Obermayer-Pietsch, B. Fatty liver index in polycystic ovary syndrome. Eur. J. Endocrinol. 2011, 165, 935–943. [Google Scholar] [CrossRef][Green Version]






| S.No | Gene | Forward Primer | Reverse Primer | Accession Number | Product Size |
|---|---|---|---|---|---|
| 1 | IL-6 | TGATGGATGCTTCCAAACTG | GAGCATTGGAAGTTGGGGTA | NM_012589.2 | 230 |
| 2 | IL-1 β | CACCTTCTTTTCCTTCATCTTTG | GTCGTTGCTTGTCTCTCCTTGTA | NM_031512.2 | 241 |
| 3 | TNF-α | AAATGGGCTCCCTCTCATCAGTTC | TCTGCTTGGTGGTTTGCTACGAC | XM_008772775.2 | 111 |
| 4 | Nrf2 | CACATCCAGACAGACACCAGT | CTACAAATGGGAATGTCTCTGC | NM_031789 | 121 |
| 5 | Ucn-1 | CTCCTGGTAGCGTTGCTGCTTCTG | GCCCACCGAATCGAATATGATGC | NM_019150.1 | 339 |
| 6 | Gpx | GTCCACCGTGTATGCCTTCTCC | TCTCCTGATGTCCGAACTGATTGC | NM_030826.4 | 218 |
| 7 | β-actin | AGCCATGTACGTAGCCAT | CTCTCAGCTGTGGTGGTGAA | NM_031144.3 | 228 |
© 2020 by the authors. Licensee MDPI, Basel, Switzerland. This article is an open access article distributed under the terms and conditions of the Creative Commons Attribution (CC BY) license (http://creativecommons.org/licenses/by/4.0/).
Share and Cite
Krishnan, A.; Muthusami, S.; Periyasamy, L.; Stanley, J.A.; Gopalakrishnan, V.; Ramachandran, I. Effect of DHT-Induced Hyperandrogenism on the Pro-Inflammatory Cytokines in a Rat Model of Polycystic Ovary Morphology. Medicina 2020, 56, 100. https://doi.org/10.3390/medicina56030100
Krishnan A, Muthusami S, Periyasamy L, Stanley JA, Gopalakrishnan V, Ramachandran I. Effect of DHT-Induced Hyperandrogenism on the Pro-Inflammatory Cytokines in a Rat Model of Polycystic Ovary Morphology. Medicina. 2020; 56(3):100. https://doi.org/10.3390/medicina56030100
Chicago/Turabian StyleKrishnan, Abhaya, Sridhar Muthusami, Loganayaki Periyasamy, Jone A. Stanley, Vasudevan Gopalakrishnan, and Ilangovan Ramachandran. 2020. "Effect of DHT-Induced Hyperandrogenism on the Pro-Inflammatory Cytokines in a Rat Model of Polycystic Ovary Morphology" Medicina 56, no. 3: 100. https://doi.org/10.3390/medicina56030100
APA StyleKrishnan, A., Muthusami, S., Periyasamy, L., Stanley, J. A., Gopalakrishnan, V., & Ramachandran, I. (2020). Effect of DHT-Induced Hyperandrogenism on the Pro-Inflammatory Cytokines in a Rat Model of Polycystic Ovary Morphology. Medicina, 56(3), 100. https://doi.org/10.3390/medicina56030100

