Sign in to use this feature.

Years

Between: -

Subjects

remove_circle_outline
remove_circle_outline
remove_circle_outline
remove_circle_outline
remove_circle_outline
remove_circle_outline
remove_circle_outline

Journals

Article Types

Countries / Regions

Search Results (36)

Search Parameters:
Keywords = no-tillage and residue management

Order results
Result details
Results per page
Select all
Export citation of selected articles as:
23 pages, 1395 KB  
Review
Impacts of Tillage on Soil’s Physical and Hydraulic Properties in Temperate Agroecosystems
by Md Nayem Hasan Munna and Rattan Lal
Sustainability 2026, 18(2), 1083; https://doi.org/10.3390/su18021083 - 21 Jan 2026
Viewed by 209
Abstract
Tillage practices critically influence soil’s physical properties, which are fundamental to sustainable agriculture in temperate climates. This review evaluates how conventional tillage (CvT; e.g., moldboard and chisel plowing), reduced tillage (RT), and conservation tillage (CT), particularly no-tillage (NT), affect six key indicators: bulk [...] Read more.
Tillage practices critically influence soil’s physical properties, which are fundamental to sustainable agriculture in temperate climates. This review evaluates how conventional tillage (CvT; e.g., moldboard and chisel plowing), reduced tillage (RT), and conservation tillage (CT), particularly no-tillage (NT), affect six key indicators: bulk density (BD), saturated hydraulic conductivity (Ks), wet aggregate stability (WAS), penetration resistance (PR), available water capacity (AWC), and soil organic carbon (SOC). Special emphasis is placed on differentiating topsoil and subsoil responses to inform climate-resilient land management. A total of 70 peer-reviewed studies published between 1991 and 2025 were analyzed. Data were extracted for BD, Ks, WAS, PR, AWC, and SOC across tillage systems. Depths were standardized into topsoil (0–10 cm) and composite (>10 cm) categories. Descriptive statistics were used to synthesize cross-study trends. NT showed lower mean BD in the topsoil (1.32 ± 0.08 Mg/m3) compared with moldboard plow (1.33 ± 0.09) and chisel tillage (1.39 ± 0.12); however, the effects of tillage on BD were not statistically significant, while BD was higher at composite depths under NT (1.56 ± 0.09 Mg/m3), indicating subsoil compaction. Ks improved under NT, reaching 4.2 mm/h with residue retention. WAS rose by 33.4%, and SOC increased by 25% under CT systems. PR tended to be elevated in deeper layers under NT. Overall, CT, particularly NT, improves surface soil’s physical health and SOC accumulation in temperate agroecosystems; however, persistent subsoil compaction highlights the need for depth-targeted management strategies, such as controlled traffic, periodic subsoil alleviation, or deep-rooted cover crops, to sustain long-term soil functionality and climate-resilient production systems. Full article
(This article belongs to the Special Issue Sustainable Environmental Analysis of Soil and Water)
Show Figures

Figure 1

21 pages, 4377 KB  
Article
Effects on Soil Fertility and Crop Productivity Under Residual Agricultural Gypsum and Azospirillum brasilense in Cover Crops in a Consolidated No-Tillage System
by Isadora Nicolielo de Souza, Maria Eduarda Pafetti Cristovam, Eduardo Leandro Moraes, Viviane Cristina Modesto, Naiane Antunes Alves Ribeiro, Vitória Almeida Moreira Girardi, Nelson Câmara de Souza Júnior, Aline Marchetti Silva Matos, Jussara Souza Salles, Camili Sardinha Gasparini, Wander Luís Barbosa Borges and Marcelo Andreotti
Plants 2025, 14(20), 3230; https://doi.org/10.3390/plants14203230 - 21 Oct 2025
Viewed by 1039
Abstract
Most tropical soils, as in the case of Brazil, are highly weathered, with low fertility, high acidity, and toxic aluminum, which limits crop management. Promoting root development is essential to overcome these constraints, and agricultural gypsum has shown positive effects in no-tillage systems. [...] Read more.
Most tropical soils, as in the case of Brazil, are highly weathered, with low fertility, high acidity, and toxic aluminum, which limits crop management. Promoting root development is essential to overcome these constraints, and agricultural gypsum has shown positive effects in no-tillage systems. This study evaluated the residual effects of five gypsum rates in an integrated crop–livestock system, with or without inoculation of rotation grasses with Azospirillum brasilense, on crop productivity and soil fertility over 40 months. The experiment was conducted in a randomized block design with four replications in a 5 × 2 factorial scheme. Inoculated grasses increased yields of soybean, sorghum intercropped with Paiaguás grass, and black oat, whereas non-inoculated areas had the highest corn yield, likely due to hybrid metabolism. Gypsum had limited effects on crop yields, with lower doses performing slightly better. Inoculation improved soil fertility, increasing base sum, cation exchange capacity, and base saturation up to 0.60 m depth at 18 and 40 months. After 40 months, gypsum enhanced soil conditioning and increased calcium, sun of bases, and base saturation. Overall, inoculation with Azospirillum brasilense in rotation grasses under long-term no-tillage systems enhanced crop productivity and contributed to improved soil fertility. Full article
Show Figures

Figure 1

13 pages, 1190 KB  
Article
Positive Effects of Reduced Tillage Practices on Earthworm Population Detected in the Early Transition Period
by Irena Bertoncelj, Anže Rovanšek and Robert Leskovšek
Agriculture 2025, 15(15), 1658; https://doi.org/10.3390/agriculture15151658 - 1 Aug 2025
Viewed by 1469
Abstract
Tillage is a major factor influencing soil biological communities, particularly earthworms, which play a key role in soil structure and nutrient cycling. To address soil degradation, less-intensive tillage practices are increasingly being adopted globally and have shown positive effects on earthworm populations when [...] Read more.
Tillage is a major factor influencing soil biological communities, particularly earthworms, which play a key role in soil structure and nutrient cycling. To address soil degradation, less-intensive tillage practices are increasingly being adopted globally and have shown positive effects on earthworm populations when applied consistently over extended periods. However, understanding of the earthworm population dynamics in the period following the implementation of changes in tillage practices remains limited. This three-year field study (2021–2023) investigates earthworm populations during the early transition phase (4–6 years) following the conversion from conventional ploughing to conservation (<8 cm depth, with residue retention) and no-tillage systems in a temperate arable system in central Slovenia. Earthworms were sampled annually in early October from three adjacent fields, each following the same three-year crop rotation (maize—winter cereal + cover crop—soybeans), using a combination of hand-sorting and allyl isothiocyanate (AITC) extraction. Results showed that reduced tillage practices significantly increased both earthworm biomass and abundance compared to conventional ploughing. However, a significant interaction between tillage and year was observed, with a sharp decline in earthworm abundance and mass in 2022, likely driven by a combination of 2022 summer tillage prior to cover crop sowing and extreme drought conditions. Juvenile earthworms were especially affected, with their proportion decreasing from 62% to 34% in ploughed plots and from 63% to 26% in conservation tillage plots. Despite interannual fluctuations, no-till showed the lowest variability in earthworm population. Long-term monitoring is essential to disentangle management and environmental effects and to inform resilient soil management strategies. Full article
(This article belongs to the Section Agricultural Soils)
Show Figures

Figure 1

18 pages, 4915 KB  
Article
The Quality of Seedbed and Seeding Under Four Tillage Modes
by Lijun Wang, Yunpeng Gao, Zhao Ma and Bo Wang
Agriculture 2025, 15(15), 1626; https://doi.org/10.3390/agriculture15151626 - 26 Jul 2025
Viewed by 835
Abstract
Crop residue management and soil tillage (CRM and ST) are key steps in agricultural production. The effects of different CRM and ST modes on the quality of seedbed, seeding, and harvest yield are not well determined. In this study, the system of maize [...] Read more.
Crop residue management and soil tillage (CRM and ST) are key steps in agricultural production. The effects of different CRM and ST modes on the quality of seedbed, seeding, and harvest yield are not well determined. In this study, the system of maize (Zea mays L.)–soybean (Glycine max (L.) Merr) rotation under ridge-tillage in the semi-arid regions of Northeast China was chosen as the study conditions. Four modes were investigated: deep tillage and seeding (DT and S), stubble field and no-tillage seeding (SF and NTS), three-axis rotary tillage and seeding (TART and S), and shallow rotary tillage and seeding (SRT and S). Results show that the DT and S mode produced the best quality of seedbed and seeding. Among the conservation tillage modes, the SRT and S mode produced the shortest average length of roots and straw, the best uniformity of their distribution in the seedbed, and the highest soybean yield. Both the SRT and S and SF and NTS modes yielded a higher net profit as their cost-effectiveness. When considering only the quality of seedbed and seeding under conservation tillage as a prerequisite, it can be concluded that the SRT and S mode is both advantageous and sustainable. Full article
(This article belongs to the Special Issue Effects of Crop Management on Yields)
Show Figures

Graphical abstract

31 pages, 7991 KB  
Review
Research and Overview of Crop Straw Chopping and Returning Technology and Machine
by Peng Liu, Chunyu Song, Jin He, Rangling Li, Min Cheng, Chao Zhang, Qinliang Li, Haihong Zhang and Mingxu Wang
Machines 2025, 13(7), 564; https://doi.org/10.3390/machines13070564 - 28 Jun 2025
Viewed by 1283
Abstract
Crop straw chopping and returning technology has gained global implementation to enhance soil structure and fertility, facilitating increased crop yield. Nevertheless, technological adoption faces challenges from inherent limitations in machinery performance, including poor chopping and returning quality and high energy consumption. Consequently, this [...] Read more.
Crop straw chopping and returning technology has gained global implementation to enhance soil structure and fertility, facilitating increased crop yield. Nevertheless, technological adoption faces challenges from inherent limitations in machinery performance, including poor chopping and returning quality and high energy consumption. Consequently, this review first presented a theoretical framework that described the mechanical properties of straw, its fracture dynamics, interactions with airflow, and motion characteristics during the chopping process. Then, based on the straw returning process, the chopping devices were classified into five types: the chopped blade, the chopping machine, the chopping device combined with a no-tillage or reduced-tillage seeder, the chopping and ditch-burying machine, the chopping and mixing machine, and the harvester-powered chopping device. Advancements in spreading devices were also summarized. Finally, six key directions for future research were proposed: developing an intelligent field straw distribution mapping system, engineering adaptive self-regulating mechanisms for chopping and returning equipment, elucidating the mechanics and kinematics of straw in the chopping and returning process, implementing real-time quality assessment systems for straw returning operations, pioneering high forward-speed (>8 km/h) straw returning machines, and establishing context-specific straw residue management frameworks. This review provided a reference and offered support for the global application of straw returning technology. Full article
(This article belongs to the Section Machine Design and Theory)
Show Figures

Figure 1

41 pages, 9366 KB  
Article
Soil Bioindicators and Crop Productivity Affected by Legacy Phosphate Fertilization and Azospirillum brasilense Inoculation in No-Till Systems
by Naiane Antunes Alves Ribeiro, Aline Marchetti Silva Matos, Viviane Cristina Modesto, Nelson Câmara de Souza Júnior, Vitória Almeida Moreira Girardi, Iêda de Carvalho Mendes and Marcelo Andreotti
Appl. Sci. 2025, 15(13), 7146; https://doi.org/10.3390/app15137146 - 25 Jun 2025
Viewed by 1111
Abstract
Pressure on agroecosystems is increasing with rising agricultural demand, pushing Brazilian agriculture toward more sustainable systems that prioritize soil health. This study aimed to evaluate whether long-term no-till management and inoculation with Azospirillum brasilense influenced soil bioindicators; chemical, biological, and enzymatic attributes; and [...] Read more.
Pressure on agroecosystems is increasing with rising agricultural demand, pushing Brazilian agriculture toward more sustainable systems that prioritize soil health. This study aimed to evaluate whether long-term no-till management and inoculation with Azospirillum brasilense influenced soil bioindicators; chemical, biological, and enzymatic attributes; and how these attributes correlated with crop productivity in a rotational system. The experiment also assessed the residual effects of phosphate fertilization (initially applied in 2013 and reapplied in 2020) and its interaction with inoculation on soil phosphorus fractions and crop performance. This study was conducted on Dystrophic Red Oxisol in the low-altitude Cerrado region under 20 years of no-tillage management, using a randomized block design in a 5 × 2 factorial scheme: five phosphorus doses (0, 30, 60, 120, and 240 kg ha−1 P2O5) and inoculated or non-inoculated grasses, with four replicates. The results showed that inoculation influenced dry matter (DM) production and nutrient cycling, improving soil health despite lower fertility and total DM. The correlation between bioindicators and productivity suggests that soil health indicators can be used to monitor system sustainability. No consistent effects of inoculation or phosphate fertilization were observed for some crop components, indicating complex interactions under long-term conservationist systems. Full article
(This article belongs to the Special Issue Soil Health and Soil Microbiology)
Show Figures

Figure 1

16 pages, 2449 KB  
Article
Carbon Input and Crop Residue Placement Determine the Carbon Sequestration Efficiency of Soil Management Techniques
by Mauro Sarno, Ettore Barone and Luciano Gristina
Agronomy 2025, 15(6), 1293; https://doi.org/10.3390/agronomy15061293 - 25 May 2025
Viewed by 1313
Abstract
This paper aimed to study soil organic carbon (SOC) sequestration under no-tillage (NT) and full inversion tillage (FIT) soil management systems as influenced by crop residue placement. A five-year piece of research was carried out in western Sicily, Italy, on an Opuntia ficus-indica [...] Read more.
This paper aimed to study soil organic carbon (SOC) sequestration under no-tillage (NT) and full inversion tillage (FIT) soil management systems as influenced by crop residue placement. A five-year piece of research was carried out in western Sicily, Italy, on an Opuntia ficus-indica orchard (C-CAM soil) located in a semi-arid Mediterranean climate. Barley was sown annually in the orchard inter-rows at 180 kg ha−1. FIT and NT were compared in interaction with two barley residue managements: (i) removed (rem) and (ii) retained in the field (ret), laid in a split-plot design, with soil management as the main plot and residue management as the sub-plot. The main plot was arranged on two inter-rows, 108 m long and 5 m wide each, replicated three times. SOC (%) and carbon natural abundance (δ13C‰) were determined by using an EA-IRMS. The highest biomass turnover was achieved by FITret (0.85%) vs. NTret (0.46%). The distribution of SOC showed higher values for NT in the top 10 cm soil layer (6.3 g kg−1 in NTret vs. 5.0 g kg−1 in FITret) but lower carbon content in deeper layers. At a depth of 30 cm, FITret maintained 4.4 g kg−1 of SOC, while NTret reached only 3.7 g kg−1, confirming that tillage facilitates the transport and stabilization of carbon in deeper layers. Our results also suggested that when crop residues are left on the soil surface instead of being incorporated into the soil, this may limit the effectiveness of carbon sequestration. Under the experimental tested conditions, which include low susceptibility to erosion processes, the FIT system proved to be an optimal strategy to enhance SOC sequestration and improve the sustainability of agricultural systems in a semi-arid Mediterranean environment. Full article
(This article belongs to the Section Soil and Plant Nutrition)
Show Figures

Figure 1

17 pages, 2685 KB  
Article
Beyond Soil Health: The Microbial Implications of Conservation Agriculture
by Kassandra Santellanez-Arreola, Miguel Ángel Martínez-Gamiño, Vicenta Constante-García, Jesús Arreola-Ávila, Cristina García-De la Peña, Quetzaly Karmy Siller-Rodríguez, Ricardo Trejo-Calzada and Erika Nava-Reyna
Diversity 2025, 17(2), 90; https://doi.org/10.3390/d17020090 - 26 Jan 2025
Cited by 2 | Viewed by 2202
Abstract
Conservation agriculture (CA) is a sustainable land management approach to improve soil quality while mitigating degradation. Although extensive information regarding the effect of CA on soil properties and microbiome is available, complete studies on the cumulative effect on specific interactions between soil parameters, [...] Read more.
Conservation agriculture (CA) is a sustainable land management approach to improve soil quality while mitigating degradation. Although extensive information regarding the effect of CA on soil properties and microbiome is available, complete studies on the cumulative effect on specific interactions between soil parameters, crop productivity, and microbial communities over time are still lacking, mainly in arid regions. Thus, this study aimed to investigate the effects of no-tillage and residue retention over long- and short-term (24 and 3 years, respectively) periods. Six treatments were established in a maize–oat–triticale system from 1995 in a semiarid region: P + H—plow + harrow; H—harrow; MP—multi-plow (short-term); NT—no-tillage; NT33—NT + 33% residue surface cover (long-term); NT66—NT + 66% residue surface cover. Results indicated that CA improved soil quality by increasing soil organic matter (SOM), total carbon, and glomalin; it also enhanced microbial abundance, particularly fungi, and β-galactosidase activity. Nevertheless, conventional tillage practices led to SOM degradation and reduced crop yields. Principal component analysis revealed distinct groupings of treatments based on soil properties and microbial communities. Furthermore, changes could be detected from the short term. These findings highlight the importance of adopting sustainable agricultural practices to maintain soil health and ensure agricultural productivity in semi-arid regions. Full article
Show Figures

Figure 1

14 pages, 1147 KB  
Article
The Effects of Tillage Systems and Cover Crops on Soil Quality and Soybean Yield
by Qiliang Hunag, Yingting Gong, Peiran Li, Ratih Kemala Dewi and Masakazu Komatsuzaki
Agriculture 2024, 14(12), 2119; https://doi.org/10.3390/agriculture14122119 - 22 Nov 2024
Cited by 2 | Viewed by 3289
Abstract
Implementing management practices that minimize environmental impact while maintaining high crop yields is essential to achieve sustainable agricultural production. This study conducted a field trial within a soybean system to evaluate the responses of crop yield, residue decomposition, soil organic carbon (SOC) stock, [...] Read more.
Implementing management practices that minimize environmental impact while maintaining high crop yields is essential to achieve sustainable agricultural production. This study conducted a field trial within a soybean system to evaluate the responses of crop yield, residue decomposition, soil organic carbon (SOC) stock, and soil total nitrogen (STN) stock to varying tillage [moldboard tillage (MP) vs. no-tillage (NT)] and cover crop [hairy vetch (Vicia villosa Roth, HV) vs. rye (Secale cereal, RY)] management practices. The results showed no significant difference in soybean economic yield between MP and NT. However, NT demonstrated a higher SOC stock (0–30 cm), exceeding MP by 4.0% in 2020 and 8.2% in 2021. STN stock (0–30 cm) under NT also surpassed that of MP by 3.3% in 2020 and 3.6% in 2021. No significant differences were observed in soybean yield, SOC stock, and STN stock between HV and RY. Compared to NT, MP accelerated the decomposition of cover crop residues. Moreover, the decomposition of RY was more difficult than that of HV. These findings suggest that NT enhances soil carbon and nitrogen sequestration without compromising yield, positioning it as a sustainable practice for soybean systems, particularly when integrated with RY cover crops. Full article
(This article belongs to the Special Issue The Responses of Food Crops to Fertilization and Conservation Tillage)
Show Figures

Figure 1

26 pages, 7570 KB  
Article
Evaluating Maize Residue Cover Using Machine Learning and Remote Sensing in the Meadow Soil Region of Northeast China
by Zhengwei Liang, Jia Du, Weilin Yu, Kaizeng Zhuo, Kewen Shao, Weijian Zhang, Cangming Zhang, Jie Qin, Yu Han, Bingrun Sui and Kaishan Song
Remote Sens. 2024, 16(21), 3953; https://doi.org/10.3390/rs16213953 - 23 Oct 2024
Cited by 5 | Viewed by 2181
Abstract
The management of crop residues in farmland is crucial for increasing soil organic matter and reducing soil erosion. Identifying the regional extent of crop residue cover (CRC) is vital for implementing conservation tillage and formulating agricultural subsidy policies. The Google Earth Engine (GEE) [...] Read more.
The management of crop residues in farmland is crucial for increasing soil organic matter and reducing soil erosion. Identifying the regional extent of crop residue cover (CRC) is vital for implementing conservation tillage and formulating agricultural subsidy policies. The Google Earth Engine (GEE) and remote sensing images from 2019 to 2023 were used to obtain spectral characteristics before the maize seedling stage in Northeast China, followed by constructing the CRC estimation models using machine learning algorithms. To avoid the impact of multicollinearity among data, three machine learning algorithms—ridge regression (RR), partial least squares regression (PLSR), and least absolute shrinkage and selection operator (LASSO)—were employed. By comparing the accuracy of these methods, the most accurate model was determined and applied to subsequent CRC estimation. Based on the estimated CRC and Conservation Technology Information Center definitions of tillage practices, the conservation tillage mapping was completed, and the spatiotemporal distribution characteristics were thoroughly analyzed. The following findings were demonstrated: (1) the PLSR-based model outperformed RR (Pearson’s correlation coefficient (r) = 0.8875, R2 = 0.7877, RMSE = 6.99%) and LASSO (r = 0.8903, R2 = 0.7926, RMSE = 6.88%) with higher accuracy (r = 0.9264, R2 = 0.8582, RMSE = 4.93%). (2) Over the five years, the average no-tillage (NT) proportion in the study area was 15.9%, reduced tillage (RT) was 17.8%, and conventional tillage (CT) was 66.3%. In 2020 and 2022, NT rates were significantly higher at 27.5% and 15.5%, while RT were 15.7% and 30.0%, respectively. (3) Compared to the Sanjiang and Liaohe Plains (RT = 1907 km2 and 1336 km2, and NT = 559 km2 and 585 km2, respectively), the Songnen Plain exhibited higher conservation tillage rates (where RT was 3791 km2 and NT was 1265 km2). This provides crucial scientific evidence for the management and planning of conservation tillage, thereby optimizing farmland production planning, enhancing production efficiency, and promoting the development of sustainable agricultural production systems. Full article
Show Figures

Figure 1

12 pages, 2460 KB  
Article
The Effect of Furrow Opener and Disc Coulter Configurations on Seeding Performance under Different Residue Cover Densities
by Davut Karayel, Eglė Jotautienė and Egidijus Šarauskis
AgriEngineering 2024, 6(2), 1277-1288; https://doi.org/10.3390/agriengineering6020073 - 9 May 2024
Cited by 3 | Viewed by 3379
Abstract
The performance of the no-till seeder is one of the most important factors that affect the success of the no-tillage. Striking the right balance between furrow opener design and residue cover is essential for optimizing seeding conditions and ensuring sustainable agricultural practices that [...] Read more.
The performance of the no-till seeder is one of the most important factors that affect the success of the no-tillage. Striking the right balance between furrow opener design and residue cover is essential for optimizing seeding conditions and ensuring sustainable agricultural practices that promote both soil conservation and high-yield crop production. This study investigates the impact of residue cover on no-tillage maize seeding after wheat harvest, focusing on plant spacing, seeding depth, mean emergence time, and percent emergence. Trials with hoe-type and double-disc-type furrow openers, accompanied by plain- or ripple-disc-type coulters, were conducted in Antalya, Turkey. The results indicate that residue cover had no significant effect on mean plant spacing, but a higher residue cover increased spacing variation. The seeding depth in hoe-type furrow opener trials remained consistent, while double-disc-type furrow openers showed lower depths with 80% and 90% residue covers. The percentage of plant emergence and mean emergence time decreased as the residue cover increased in double-disc-type furrow opener trials. At 90% residue cover, PE decreased to 60%. The impact of disc coulters on hoe-type furrow openers was limited, but they increased seeding depth and MET in double-disc-type furrow openers. These findings can help optimize residue management for improved efficiency in no-till farming systems. Full article
(This article belongs to the Section Agricultural Mechanization and Machinery)
Show Figures

Figure 1

18 pages, 2118 KB  
Article
Using Beerkan Procedure to Estimate Hydraulic Soil Properties under Long Term Agroecosystems Experiments
by Lorenzo Vergni, Grazia Tosi, Jennifer Bertuzzi, Giulia Rossi, Michela Farneselli, Giacomo Tosti, Francesco Tei, Alberto Agnelli and Francesca Todisco
Appl. Sci. 2024, 14(9), 3817; https://doi.org/10.3390/app14093817 - 30 Apr 2024
Cited by 2 | Viewed by 1690
Abstract
The BEST (Beerkan Estimation of Soil Transfer parameters) method was used to compare the hydraulic properties of the soils in two Long-term Agroecosystem Experiments (LTAEs) located at the FIELDLAB experimental site of the University of Perugia (central Italy). The LTAE “NewSmoca” consists of [...] Read more.
The BEST (Beerkan Estimation of Soil Transfer parameters) method was used to compare the hydraulic properties of the soils in two Long-term Agroecosystem Experiments (LTAEs) located at the FIELDLAB experimental site of the University of Perugia (central Italy). The LTAE “NewSmoca” consists of a biennial maize-durum wheat crop rotation under integrated low-input cropping systems with (i) inversion soil tillage (INT) or (ii) no-tillage (INT+) and (iii) under an organic cropping system with inversion soil tillage (ORG). ORG and INT+ involve the use of autumn-sown cover crops (before the maize cycle). Pure stand durum wheat was grown in INT and INT+, while a faba bean–wheat temporary intercropping was implemented in ORG. The LTAE “Crop Rotation” consists of different crop rotations and residue management, a continuous soft winter wheat and biennial rotations of soft winter wheat with maize or faba bean. Each rotation is combined with two modes of crop residue management: removal or burial. For INT+, despite the high-bulk density (>1.50 g/cm3), we found that conductivity, sorptivity and available water are comparable to those of INT, probably due to a more structured and efficient micropore system. ORG soils show the highest conductivity, sorptivity and available water content values, probably due to the recent spring tillage occurring in the wheat inter-row with the faba bean incorporation into the soil. For LTAE Rotation, the residue burial seems to influence the capacity-based indicators positively. However, the differences in the removal treatment are minor, and this could be due to the inversion soil tillage, which limits the progressive accumulation of organic matter. Full article
Show Figures

Figure 1

10 pages, 819 KB  
Article
Tillage with Crop Residue Returning Management Increases Soil Microbial Biomass Turnover in the Double-Cropping Rice Fields of Southern China
by Haiming Tang, Chao Li, Lihong Shi, Li Wen, Weiyan Li, Kaikai Cheng and Xiaoping Xiao
Agronomy 2024, 14(2), 265; https://doi.org/10.3390/agronomy14020265 - 25 Jan 2024
Cited by 6 | Viewed by 1738
Abstract
The variety of soil microbial biomass carbon (SMBC), soil microbial biomass nitrogen (SMBN) content, and the flux turnover rate of SMBC and SMBN for 0–10 cm and 10–20 cm layers in a paddy field in southern China with different tillage practices were studied. [...] Read more.
The variety of soil microbial biomass carbon (SMBC), soil microbial biomass nitrogen (SMBN) content, and the flux turnover rate of SMBC and SMBN for 0–10 cm and 10–20 cm layers in a paddy field in southern China with different tillage practices were studied. The tillage experiment included conventional tillage and crop residue returning (CT), rotary tillage and crop residue returning (RT), no–tillage and crop residue returning (NT), and rotary tillage with all crop residues removed from the paddy field as a control (RTO). The result showed that the SMBC and SMBN contents at 0–10 cm and 10–20 cm layers in the paddy field with CT, RT, and NT treatments were significantly increased. This result indicates that the flux turnover rate of SMBC and SMBN for 0–10 cm and 10–20 cm layers in the paddy field with CT treatment were increased by 65.49%, 39.61%, and 114.91%, 119.35%, compared with the RTO treatment, respectively. SMBC and SMBN contents and the flux turnover rate of SMBC and SMBN for the 0–10 cm layer were higher than that of the 10–20 cm layer in paddy fields under the same tillage condition. Therefore, applying rotary tillage or conventional tillage and crop residue returning produced beneficial management for increasing soil microbial biomass content and its turnover under a double–cropping rice system in southern China. Full article
(This article belongs to the Section Farming Sustainability)
Show Figures

Figure 1

16 pages, 15731 KB  
Article
Noticeable Shifts in Soil Physicochemical and Biological Properties after Contrasting Tillage Management in Crop Rotations of Bean, Maize, and Amaranth in Ecuadorian Highland Soils
by María Eugenia Avila-Salem, Humberto Aponte, Fabián Montesdeoca, Narcisa Urgiles Gómez, Dayana Cruz, Marco Orellana, Katherine Pacheco, Soraya Alvarado Ochoa, José Espinosa, Fernando Borie and Pablo Cornejo
Agronomy 2023, 13(9), 2260; https://doi.org/10.3390/agronomy13092260 - 28 Aug 2023
Cited by 1 | Viewed by 2701
Abstract
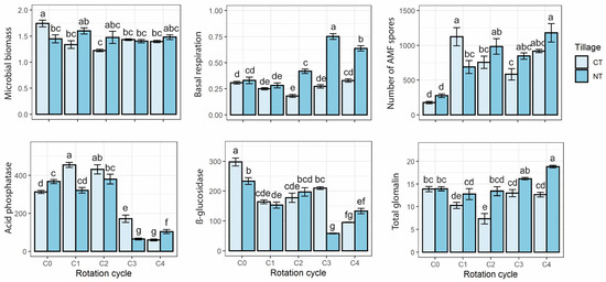
Soil biological properties are sensitive indicators of soil quality changes due to perturbations occurred under agricultural management. The effects of contrasting tillage, increasing nitrogen fertilization doses, and crop rotations [e.g., bean, maize, bean (BMB) and bean, amaranth, bean (BAB)] on soil physicochemical and [...] Read more.
Soil biological properties are sensitive indicators of soil quality changes due to perturbations occurred under agricultural management. The effects of contrasting tillage, increasing nitrogen fertilization doses, and crop rotations [e.g., bean, maize, bean (BMB) and bean, amaranth, bean (BAB)] on soil physicochemical and biological properties in an Andean soil from Ecuadorian highlands were evaluated in this study. Acid phosphatase, β-Glucosidase, fluorescein diacetate hydrolysis, microbial biomass carbon (Cmic), soil basal respiration (BR), arbuscular mycorrhizal fungi (AMF) spore density, total glomalin content (TGRSP), and soil physicochemical properties were analyzed. Conventional tillage (CT) and crop rotation showed significant effects on soil physicochemical and biological properties. Towards the final crop rotations, no-tillage (NT) promoted BR, TGRSP, and higher AMF spore density in both crop rotations; the Cmic kept stable along time in BMB and BAB, while BR doubled its value when compared to CT. Results indicated that the AMF spore density increased by 308% at the end of the BMB, and 461% at the end of the BAB, while TGRSP increased by 18% and 32% at the end of BMB and BAB, respectively. Biological traits demonstrated to be strongly associated to the organic matter accumulation originated from crop residues under the NT post-harvest which improved soil moisture, biological activity, and AMF interaction. The conservative soil management system has definitively improved general soil properties when compared to soil conditions under the intensive soil management system in this research. Full article
(This article belongs to the Section Farming Sustainability)
Show Figures

Figure 1

14 pages, 8187 KB  
Article
Impact of Tillage and Straw Management on Soil Properties and Rice Yield in a Rice-Ratoon Rice System
by Di Yang, Youning Wang and Qixia Wu
Agronomy 2023, 13(7), 1762; https://doi.org/10.3390/agronomy13071762 - 29 Jun 2023
Cited by 10 | Viewed by 3129
Abstract
The rice-ratoon system has long been considered an important economic, time-saving, and labor-saving planting method. Optimal tillage and straw management are beneficial to increasing the growth and yield of recycled rice. However, there is little research on the physical and chemical properties of [...] Read more.
The rice-ratoon system has long been considered an important economic, time-saving, and labor-saving planting method. Optimal tillage and straw management are beneficial to increasing the growth and yield of recycled rice. However, there is little research on the physical and chemical properties of soil under tillage and straw management, and its effects on the yield and fertilizer utilization of recycled rice. A field experiment was conducted to study the effects of four types of tillage and straw management on rice yield and soil properties in central China during 2020–2021. The types of management were no-till with residues retained (NT+S); plow tillage with residue retention (PT+S); no-till with residues removed (NT-S); and plow tillage with residue removed (PT-S). Compared with PT, yield decreased by 38.8% in NT, while straw returning effectively increased the yield of regenerated rice. NT+S increased the yield of main season rice by 37.0% and ratoon rice by 45.3%. Compared with non-returning straw, straw returning increased soil total porosity, soil organic carbon, and activity of β-glucosidase and urease, among which TP and SOC were increased by 8.8% and 27.8%, respectively. The results showed that returning straw to the field could significantly reduce the yield loss caused by no-tillage and improve the soil structure. No-tillage combined with returning straw to the field of regenerative rice is a green, light, and simplified cultivation mode worthy of further exploration. Full article
Show Figures

Figure 1

Back to TopTop