Using Beerkan Procedure to Estimate Hydraulic Soil Properties under Long Term Agroecosystems Experiments
Abstract
1. Introduction
2. Materials and Methods
2.1. Study Area
2.2. Methods for Soil Hydraulic Characterisation
2.2.1. BEST Procedure and Derived Soil Hydraulic and Porosity Parameters
2.2.2. Soil Capacity-Based Indicators
2.2.3. Experimental Procedures
3. Results
3.1. Soil Texture and Organic Content
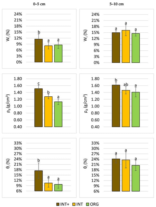
3.2. Physical Properties
3.3. Results from BEST Procedure
3.3.1. Experimental Cumulative Infiltration and Infiltration Rate
3.3.2. Soil Hydraulic and Porosity Parameters
3.3.3. Capacity-Based Indicators
4. Discussion
5. Conclusions
Author Contributions
Funding
Institutional Review Board Statement
Informed Consent Statement
Data Availability Statement
Conflicts of Interest
Abbreviations
| B | Residual burial followed by surface ploughing |
| BEST | Beerkan Estimation of Soil Transfer parameters |
| BiFM | Biennial rotations of soft winter wheat with maize |
| BiFV | Biennial rotations of soft winter wheat with faba bean |
| INT | Integrated conventional with inversion soil tillage |
| INT+ | Integrated conventional no-tillage with direct drilling of the crops |
| LTAE “Crop Rotation” | Different crop rotations and residue management: continuous soft winter wheat and biennial rotations of soft winter wheat with maize or faba bean. |
| LTAE “NewSmoca” | Biennial maize-durum wheat crop rotation under integrated low input cropping systems |
| LTAEs | Long-term Agroecosystem Experiments |
| MoF | Continuous soft winter wheat |
| ORG | Organic cropping system with inversion soil tillage |
| PSD | Particle size distribution |
| R | Residual complete removal followed by surface ploughing |
| RM | Residual management |
| RT | Rotation type |
| SHP | Soil physical-hydraulic properties |
| SOC | Soil organic carbon |
References
- Price, K.; Jackson, C.R.; Parker, A.J. Variation of Surficial Soil Hydraulic Properties across Land Uses in the Southern Blue Ridge Mountains, North Carolina, USA. J. Hydrol. 2010, 383, 256–268. [Google Scholar] [CrossRef]
- Hubbard, R.K.; Strickland, T.C.; Phatak, S. Effects of Cover Crop Systems on Soil Physical Properties and Carbon/Nitrogen Relationships in the Coastal Plain of Southeastern USA. Soil Tillage Res. 2013, 126, 276–283. [Google Scholar] [CrossRef]
- Azadmard, B.; Mosaddeghi, M.R.; Ayoubi, S.; Chavoshi, E.; Raoof, M. Estimation of Near-Saturated Soil Hydraulic Properties Using Hybrid Genetic Algorithm-Artificial Neural Network. Ecohydrol. Hydrobiol. 2020, 20, 437–449. [Google Scholar] [CrossRef]
- Blanco-Canqui, H.; Ruis, S.J. Cover Crop Impacts on Soil Physical Properties: A Review. Soil Sci. Soc. Am. J. 2020, 84, 1527–1576. [Google Scholar] [CrossRef]
- Huntington, T.G. Soil: Organic Matter and Available Water Capacity. In Landscape and Land Capacity, 2nd ed.; Wang, Y., Ed.; CRC Press: Boca Raton, FL, USA, 2020; pp. 273–281. ISBN 978-0-429-44555-2. Erratum in Encyclopedia of Natural Resources; CRC Press: Boca Raton, FL, USA, 2014. [Google Scholar]
- Khaledian, M.R.; Mailhol, J.C.; Ruelle, P. No-Tillage Impacts on Soil Hydraulic Properties Compared with Conventional Tillage. Environ. Sci. 2012, 6, 213–218. [Google Scholar]
- Blanco-Canqui, H.; Wienhold, B.J.; Jin, V.L.; Schmer, M.R.; Kibet, L.C. Long-Term Tillage Impact on Soil Hydraulic Properties. Soil Tillage Res. 2017, 170, 38–42. [Google Scholar] [CrossRef]
- Castellini, M.; Vonella, A.V.; Ventrella, D.; Rinaldi, M.; Baiamonte, G. Determining Soil Hydraulic Properties Using Infiltrometer Techniques: An Assessment of Temporal Variability in a Long-Term Experiment under Minimum- and No-Tillage Soil Management. Sustainability 2020, 12, 5019. [Google Scholar] [CrossRef]
- Haruna, S.I.; Anderson, S.H.; Nkongolo, N.V.; Zaibon, S. Soil Hydraulic Properties: Influence of Tillage and Cover Crops. Pedosphere 2018, 28, 430–442. [Google Scholar] [CrossRef]
- Talukder, R.; Plaza-Bonilla, D.; Cantero-Martínez, C.; Di Prima, S.; Lampurlanés, J. Spatio-Temporal Variation of Surface Soil Hydraulic Properties under Different Tillage and Maize-Based Crop Sequences in a Mediterranean Area. Plant Soil 2022. [Google Scholar] [CrossRef]
- Panagea, I.S.; Berti, A.; Čermak, P.; Diels, J.; Elsen, A.; Kusá, H.; Piccoli, I.; Poesen, J.; Stoate, C.; Tits, M.; et al. Soil Water Retention as Affected by Management Induced Changes of Soil Organic Carbon: Analysis of Long-Term Experiments in Europe. Land 2021, 10, 1362. [Google Scholar] [CrossRef]
- Hiel, M.-P.; Chélin, M.; Parvin, N.; Barbieux, S.; Degrune, F.; Lemtiri, A.; Colinet, G.; Degré, A.; Bodson, B.; Garré, S. Crop Residue Management in Arable Cropping Systems under Temperate Climate. Part 2: Soil Physical Properties and Crop Production. A Review. Biotechnol. Agron. Société Environ. 2016, 20, 245–256. [Google Scholar] [CrossRef]
- Zhou, M.; Liu, C.; Wang, J.; Meng, Q.; Yuan, Y.; Ma, X.; Liu, X.; Zhu, Y.; Ding, G.; Zhang, J.; et al. Soil Aggregates Stability and Storage of Soil Organic Carbon Respond to Cropping Systems on Black Soils of Northeast China. Sci. Rep. 2020, 10, 265. [Google Scholar] [CrossRef]
- Lassabatère, L.; Angulo-Jaramillo, R.; Soria Ugalde, J.M.; Cuenca, R.; Braud, I.; Haverkamp, R. Beerkan Estimation of Soil Transfer Parameters through Infiltration Experiments—BEST. Soil Sci. Soc. Am. J. 2006, 70, 521–532. [Google Scholar] [CrossRef]
- Angulo-Jaramillo, R.; Bagarello, V.; Di Prima, S.; Gosset, A.; Iovino, M.; Lassabatere, L. Beerkan Estimation of Soil Transfer Parameters (BEST) across Soils and Scales. J. Hydrol. 2019, 576, 239–261. [Google Scholar] [CrossRef]
- Iovino, M.; Castellini, M.; Bagarello, V.; Giordano, G. Using static and dynamic indicators to evaluate soil physical quality in a Sicilian area. Land Degrad. Dev. 2016, 27, 200–210. [Google Scholar] [CrossRef]
- Castellini, M.; Fornaro, F.; Garofalo, P.; Giglio, L.; Rinaldi, M.; Ventrella, D.; Vitti, C.; Vonella, A.V. Effects of No-Tillage and Conventional Tillage on Physical and Hydraulic Properties of Fine Textured Soils under Winter Wheat. Water 2019, 11, 484. [Google Scholar] [CrossRef]
- Todisco, F.; Vergni, L.; Iovino, M.; Bagarello, V. Changes in Soil Hydrodynamic Parameters during Intermittent Rainfall Following Tillage. Catena 2023, 226, 107066. [Google Scholar] [CrossRef]
- Soil Survey Staff. Keys to Soil Taxonomy, 12th ed.; U.S. Department of Agriculture, Natural Resources Conservation Service: Washington, DC, USA, 2014.
- Bonciarelli, U.; Onofri, A.; Benincasa, P.; Farneselli, M.; Guiducci, M.; Pannacci, E.; Tosti, G.; Tei, F. Long-Term Evaluation of Productivity, Stability and Sustainability for Cropping Systems in Mediterranean Rainfed Conditions. Eur. J. Agron. 2016, 77, 146–155. [Google Scholar] [CrossRef]
- Guiducci, M.; Tosti, G.; Falcinelli, B.; Benincasa, P. Sustainable management of nitrogen nutrition in winter wheat through temporary intercropping with legumes. Agron. Sustain. Dev. 2018, 38, 31. [Google Scholar] [CrossRef]
- van Genuchten, M.T. A closed-form equation for predicting the hydraulic conductivity of unsaturated soils. Soil Sci. Soc. Am. J. 1980, 44, 892–898. [Google Scholar] [CrossRef]
- Burdine, N.T. Relative permeability calculation from pore size distribution data. Petr. Trans. Am. Inst. Min. Metall. Eng. 1953, 198, 71–77. [Google Scholar] [CrossRef]
- Brooks, R.H.; Corey, T. Hydraulic Properties of Porous Media. In Hydrology Paper 3; Colorado State University: Fort Collins, CO, USA, 1964. [Google Scholar]
- Haverkamp, R.; Ross, P.J.; Smettem, K.R.J.; Parlange, J.Y. Threedimensional analysis of infiltration from the disc infiltrometer: 2. Physically based infiltration equation. Water Resour. Res. 1994, 30, 2931–2935. [Google Scholar] [CrossRef]
- Yilmaz, D.; Lassabatere, L.; Angulo-Jaramillo, R.; Deneele, D.; Legret, M. Hydrodynamic Characterization of Basic Oxygen Furnace Slag through an Adapted BEST Method. Vadose Zone J. 2010, 9, 107. [Google Scholar] [CrossRef]
- Bagarello, V.; Di Prima, S.; Giordano, G.; Iovino, M. A Test of the Beerkan Estimation of Soil Transfer Parameters (BEST) Procedure. Geoderma 2014, 221–222, 20–27. [Google Scholar]
- Haverkamp, R.; Debionne, S.; Viallet, P.; Angulo-Jaramillo, R.; de Condappa, D. Soil properties and moisture movement in the unsaturated zone. In The Handbook of Groundwater Engineering; Delleur, J.W., Ed.; CRC Press: Boca Raton, FL, USA, 2006; pp. 1–59. [Google Scholar]
- Mubarak, I.; Mailhol, J.C.; Angulo-Jaramillo, R.; Ruelle, P.; Boivin, P.; Khaledian, M. Temporal variability in soil hydraulic properties under drip irrigation. Geoderma 2009, 150, 158–165. [Google Scholar] [CrossRef]
- Watson, K.; Luxmoore, R. Estimating macroporosity in a forest watershed by use of a tension infiltrometer. Soil Sci. Soc. Am. J. 1986, 50, 578–582. [Google Scholar] [CrossRef]
- Reynolds, W.D.; Drury, C.F.; Tan, C.S.; Fox, C.A.; Yang, X.M. Use of indicators and pore volume-function characteristics to quantify soil physical quality. Geoderma 2009, 152, 252–263. [Google Scholar] [CrossRef]
- White, R.E. Principles and Practice of Soil Science, 4th ed.; Blackwell Publishing: Oxford, UK, 2006. [Google Scholar]
- Day, P.R. Particle Fractionation and Particle-Size Analysis. In Methods of Soil Analysis: Part 1. Physical and Minerological Properties, Including Statistics of Measurement and Sampling; Agronomy Monographs; Black, C.A., Evans, D.D., Ensminger, L.E., White, J.L., Clark, F.E., Eds.; American Society of Agronomy: Madison, WI, USA, 1965; pp. 545–567. [Google Scholar] [CrossRef]
- Di Prima, S.; Concialdi, P.; Lassabatere, L.; Angulo-Jaramillo, R.; Pirastru, M.; Cerdà, A.; Keesstra, S. Laboratory testing of Beerkan infiltration experiments for assessing the role of soil sealing on water infiltration. Catena 2018, 167, 373–384. [Google Scholar] [CrossRef]
- Lipiec, J.; Kus´, J.; Słowin´ ska-Jurkirwicz, A.; Nosalewicz, A. Soil porosity and water infiltration as influenced by tillage methods. Soil Tillage Res. 2006, 89, 210–220. [Google Scholar] [CrossRef]
- Villarreal, R.; Soracco, C.G.; Lozano, L.A.; Melani, E.M.; Sarli, G.O. Temporal variation of soil sorptivity under conventional and no-till systems determined by a simple laboratory method. Soil Tillage Res. 2017, 168, 92–98. [Google Scholar] [CrossRef]
- Joshi, D.R.; Sieverding, H.L.; Xu, H.; Kwon, H.; Wang, M.; Clay, S.A.; Johnson, J.M.; Thapa, R.; Westhoff, S.; Clay, D.E. A global meta-analysis of cover crop response on soil carbon storage within a corn production system. Agron. J. 2023, 115, 1543–1556. [Google Scholar] [CrossRef]
- Weidhuner, A.; Hanauer, A.; Krausz, R.; Crittenden, S.J.; Gage, K.; Sadeghpour, A. Tillage Impacts on Soil Aggregation and Aggregate-Associated Carbon and Nitrogen after 49 Years. Soil Tillage Res. 2021, 208, 104878. [Google Scholar] [CrossRef]
- Piccoli, I.; Chiarini, F.; Carletti, P.; Furlan, L.; Lazzaro, B.; Nardi, S.; Berti, A.; Sartori, L.; Dalconi, M.C.; Morari, F. Disentangling the Effects of Conservation Agriculture Practices on the Vertical Distribution of Soil Organic Carbon. Evidence of Poor Carbon Sequestration in North- Eastern Italy. Agric. Ecosyst. Environ. 2016, 230, 68–78. [Google Scholar] [CrossRef]
- Concialdi, P.; Di Prima, S.; Bhanderi, H.M.; Stewart, R.D.; Abou Najm, M.R.; Lal Gaur, M.; Angulo-Jaramillo, R.; Lassabatere, L. An Open-Source Instrumentation Package for Intensive Soil Hydraulic Characterization. J. Hydrol. 2020, 582, 124492. [Google Scholar] [CrossRef]






| LTAE | Treatment | SOC (Mean) (%) | SOC (sd) (%) |
|---|---|---|---|
| NewSmoca | INT+ | 2.09 | 0.38 |
| NewSmoca | INT | 0.74 | 0.01 |
| NewSmoca | ORG | 0.80 | 0.03 |
| Rotation | BiFV_R | 0.84 | 0.08 |
| Rotation | BiFM_R | 0.77 | 0.06 |
| Rotation | MoF_R | 0.95 | 0.12 |
| Rotation | BiFV_B | 0.98 | 0.03 |
| Rotation | BiFM_B | 0.81 | 0.14 |
| Rotation | MoF_B | 0.98 | 0.07 |
| LTAE | Treatment | KS (mm/s) | S (mm/s0.5) | hg (mm) | λm (mm) | N0 | PMAC | AC | RFC | AWC |
|---|---|---|---|---|---|---|---|---|---|---|
| NewSmoca | INT+ | 0.02 a | 0.93 a | −138.6 a | 0.06 a | 4.5 × 105 a | 2% a | 13% a | 69% a | 17% a |
| NewSmoca | INT | 0.04 a | 1.31 a | −57.7 b | 0.13 b | 4.2 × 104 ab | 5% b | 17% b | 64% b | 17% a |
| NewSmoca | ORG | 0.10 b | 2.34 b | −66.8 b | 0.11 b | 1.4 × 105 b | 5% b | 19% b | 64% b | 19% b |
| Rotation | BiFV_R | 0.05 a | 1.59 a | −68.7 a | 0.12 a | 1.4 × 105 a | 4% a | 15% a | 67% a | 16% a |
| Rotation | BiFM_R | 0.05 a | 1.49 a | −58.5 a | 0.13 a | 5.3 × 104 a | 5% a | 16% a | 65% ab | 16% b |
| Rotation | MoF_R | 0.05 a | 1.50 a | −60.9 a | 0.15 a | 1.2 × 105 a | 5% a | 15% a | 66% abc | 15% b |
| Rotation | BiFV_B | 0.05 a | 1.54 a | −72.8 a | 0.11 a | 1.8 × 105 a | 4% a | 17% ab | 65% abc | 17% bc |
| Rotation | BiFM_B | 0.04 a | 1.39 a | −55.8 a | 0.14 a | 4.3 × 104 a | 6% a | 19% b | 61% bc | 17% cd |
| Rotation | MoF_B | 0.06 a | 1.78 a | −69.8 a | 0.11 a | 1.1 × 105 a | 5% a | 19% b | 62% c | 18% d |
Disclaimer/Publisher’s Note: The statements, opinions and data contained in all publications are solely those of the individual author(s) and contributor(s) and not of MDPI and/or the editor(s). MDPI and/or the editor(s) disclaim responsibility for any injury to people or property resulting from any ideas, methods, instructions or products referred to in the content. |
© 2024 by the authors. Licensee MDPI, Basel, Switzerland. This article is an open access article distributed under the terms and conditions of the Creative Commons Attribution (CC BY) license (https://creativecommons.org/licenses/by/4.0/).
Share and Cite
Vergni, L.; Tosi, G.; Bertuzzi, J.; Rossi, G.; Farneselli, M.; Tosti, G.; Tei, F.; Agnelli, A.; Todisco, F. Using Beerkan Procedure to Estimate Hydraulic Soil Properties under Long Term Agroecosystems Experiments. Appl. Sci. 2024, 14, 3817. https://doi.org/10.3390/app14093817
Vergni L, Tosi G, Bertuzzi J, Rossi G, Farneselli M, Tosti G, Tei F, Agnelli A, Todisco F. Using Beerkan Procedure to Estimate Hydraulic Soil Properties under Long Term Agroecosystems Experiments. Applied Sciences. 2024; 14(9):3817. https://doi.org/10.3390/app14093817
Chicago/Turabian StyleVergni, Lorenzo, Grazia Tosi, Jennifer Bertuzzi, Giulia Rossi, Michela Farneselli, Giacomo Tosti, Francesco Tei, Alberto Agnelli, and Francesca Todisco. 2024. "Using Beerkan Procedure to Estimate Hydraulic Soil Properties under Long Term Agroecosystems Experiments" Applied Sciences 14, no. 9: 3817. https://doi.org/10.3390/app14093817
APA StyleVergni, L., Tosi, G., Bertuzzi, J., Rossi, G., Farneselli, M., Tosti, G., Tei, F., Agnelli, A., & Todisco, F. (2024). Using Beerkan Procedure to Estimate Hydraulic Soil Properties under Long Term Agroecosystems Experiments. Applied Sciences, 14(9), 3817. https://doi.org/10.3390/app14093817

