Impact of Tillage and Straw Management on Soil Properties and Rice Yield in a Rice-Ratoon Rice System
Abstract
1. Introduction
2. Materials and Methods
2.1. Experimental Site and Description
2.2. Experimental Design
2.3. Sampling and Data Collection
2.3.1. Soil Sampling and Analyses
2.3.2. Grain Yield and Straw Biomass
2.4. Statistical Analyses
3. Results
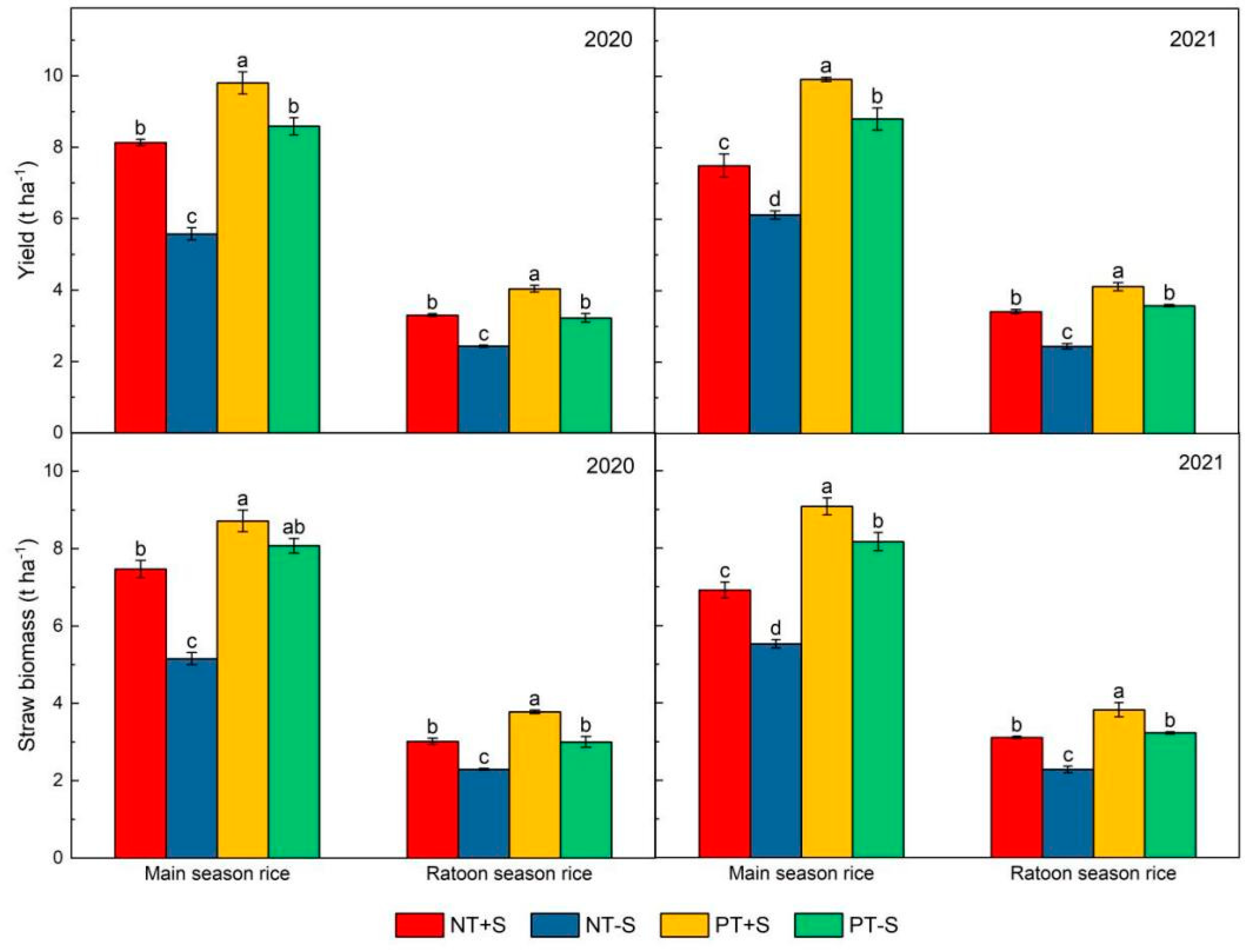
3.1. Rice Yield and Straw Biomass
3.2. Soil Bulk Density (BD) and Soil Total Porosity (TP)
3.3. Soil Organic Carbon (SOC)
3.4. Activities of Soil β-glucosidase (BG) and Urease (UR)
3.5. Relationships between Grain Yield and Bulk Density, Total Porosity, Main Season Rice β-glucosidase, and Soil Organic Carbon under NT and PT
3.6. Relationships between Grain Yield and Bulk Density, Total Porosity, Main Season Rice β-glucosidase, and Soil Organic Carbon under Different Tillage and Straw Residue Management Measures
4. Discussion
4.1. Impact of Tillage and Straw Returning on Yield and Straw Biomass of Rice
4.2. Impact of Tillage and Straw Returning on Soil Properties
5. Conclusions
Supplementary Materials
Author Contributions
Funding
Data Availability Statement
Acknowledgments
Conflicts of Interest
References
- Wang, W.; He, A.; Jiang, G.; Sun, H.; Jiang, M.; Man, J.; Ling, X.; Cui, K.; Huang, J.; Peng, S.; et al. Ratoon rice technology: A green and resource-efficient way for rice production. Adv. Agron. 2020, 159, 135–167. [Google Scholar]
- Maclean, J.; Hardy, B.; Hettel, G. Rice Almanac: Source Book for One of the Most Important Economic Activities on Earth; IRRI: Los Baños, Philippines, 2013. [Google Scholar]
- Dong, H.; Chen, Q.; Wang, W.; Peng, S.; Huang, J.; Cui, K.; Nie, L. The growth and yield of a wet-seeded rice-ratoon rice system in central China. Field Crops Res. 2017, 208, 55–59. [Google Scholar] [CrossRef]
- Asenso, E.; Zhang, L.; Tang, L.; Issaka, F.; Tian, K.; Li, J.; Hu, L. Moldboard plowing with direct seeding improves soil properties and sustainable productivity in ratoon rice farmland in Southern China. Sustainability 2019, 11, 6499. [Google Scholar] [CrossRef]
- Liu, K.; Harrison, M.T.; Yan, H.; Liu, K.; Harrison, M.T.; Yan, H.; Liu, D.; Meinke, H.; Hoogenboom, G.; Wang, B.; et al. Silver lining to a climate crisis in multiple prospects for alleviating crop waterlogging under future climates. Nat. Commun. 2023, 14, 765. [Google Scholar] [CrossRef]
- Li, S.; Zhang, Y.; Guo, L.; Li, X. Impact of Tillage and Straw Treatment Methods on Rice Growth and Yields in a Rice–Ratoon Rice Cropping System. Sustainability 2022, 14, 9290. [Google Scholar] [CrossRef]
- Li, G.; Li, G.; Tang, J.; Zheng, J.; Chu, C. Exploration of rice yield potential: Decoding agronomic and physiological traits. Crop. J. 2021, 9, 577–589. [Google Scholar] [CrossRef]
- Wang, Y.X.; Chen, S.P.; Zhang, D.X.; Yang, L.; Cui, T.; Jing, H.R.; Li, Y.H. Effects of subsoiling depth, period interval and combined tillage practice on soil properties and yield in the Huang-Huai-Hai Plain, China. J. Integr. Agric. 2020, 19, 1596–1608. [Google Scholar] [CrossRef]
- Timsina, J. Can organic sources of nutrients increase crop yields to meet global food demand? Agronomy 2018, 8, 214. [Google Scholar] [CrossRef]
- Choudhury, S.G.; Srivastava, S.; Singh, R.; Chaudhari, S.K.; Sharma, D.K.; Singh, S.K.; Sarkar, D. Tillage and residue management effects on soil aggregation, organic carbon dynamics and yield attribute in rice–wheat cropping system under reclaimed sodic soil. Soil Tillage Res. 2014, 136, 76–83. [Google Scholar] [CrossRef]
- Su, Y.; Gabrielle, B.; Makowski, D. A global dataset for crop production under conventional tillage and no tillage systems. J. Sci. Data 2021, 8, 33. [Google Scholar] [CrossRef]
- Yu, Q.; Liu, R.; Li, K.; Ma, R. A review of crop straw pretreatment methods for biogas production by anaerobic digestion in China. Renew. Sustain. Energy Rev. 2019, 107, 51–58. [Google Scholar] [CrossRef]
- Zhang, L.; Liu, Y.; Hao, L. Contributions of open crop straw burning emissions to PM2. 5 concentrations in China. Environ. Res. Lett. 2016, 11, 014014. [Google Scholar] [CrossRef]
- Wang, J.; Wang, X.; Xu, M.; Feng, G.; Zhang, W.; Lu, C. Crop yield and soil organic matter after long-term straw return to soil in China. Nutr. Cycl. Agroecosystems 2015, 102, 371–381. [Google Scholar] [CrossRef]
- Siedt, M.; Schäffer, A.; Smith, K.E.C.; Nabel, M.; Roß-Nickoll, M.; van Dongen, J.T. Comparing straw, compost, and biochar regarding their suitability as agricultural soil amendments to affect soil structure, nutrient leaching, microbial communities, and the fate of pesticides. J. Sci. Total. Environ. 2021, 751, 141607. [Google Scholar] [CrossRef] [PubMed]
- Seglah, P.A.; Wang, Y.; Wang, H.; Bi, Y.; Zhou, K.; Wang, Y.; Wang, H.; Feng, X. Crop straw utilization and field burning in Northern region of Ghana. J. Clean. Prod. 2020, 261, 121191. [Google Scholar] [CrossRef]
- Goodman, B.A. Utilization of waste straw and husks from rice production: A review. J. Bioresour. Bioprod. 2020, 5, 143–162. [Google Scholar] [CrossRef]
- Kalkhajeh, Y.K.; He, Z.; Yang, X.; Lu, Y.; Zhou, J.; Gao, H.; Ma, C. Co-application of nitrogen and straw-decomposing microbial inoculant enhanced wheat straw decomposition and rice yield in a paddy soil. J. Agric. Food Res. 2021, 4, 100134. [Google Scholar] [CrossRef]
- Maneepitak, S.; Ullah, H.; Paothong, K.; Kachenchart, B.; Datta, A.; Shrestha, R.P. Effect of water and rice straw management practices on yield and water productivity of irrigated lowland rice in the Central Plain of Thailand. Agric. Water Manag. 2019, 211, 89–97. [Google Scholar] [CrossRef]
- Liu, C.; Lu, M.; Cui, J.; Li, B.; Fang, C. Effects of straw carbon input on carbon dynamics in agricultural soils: A meta-analysis. Glob. Change Biol. 2014, 20, 1366–1381. [Google Scholar] [CrossRef]
- Zhu, L.; Hu, N.; Zhang, Z.; Xu, J.; Tao, B.; Meng, Y. Short-term responses of soil organic carbon and carbon pool management index to different annual straw return rates in a rice–wheat cropping system. Catena 2015, 135, 283–289. [Google Scholar] [CrossRef]
- Brar, B.S.; Singh, J.; Singh, G.; Kaur, G. Effects of long term application of inorganic and organic fertilizers on soil organic carbon and physical properties in maize–wheat rotation. Agronomy 2015, 5, 220–238. [Google Scholar] [CrossRef]
- Wang, X.; Qi, J.; Liu, B.; Kan, Z.; Zhao, X.; Xiao, X.; Zhang, H. Strategic tillage effects on soil properties and agricultural productivity in the paddies of Southern China. Land. Degrad. Dev. 2020, 31, 1277–1286. [Google Scholar] [CrossRef]
- Nelson, D.A.; Sommers, L.E. Total carbon, organic carbon, and organic matter. Methods of soil analysis: Part 2 chemical and microbiological properties. Sci. Res. J. 1983, 9, 539–579. [Google Scholar]
- Jagadamma, S.; Lal, R. Distribution of organic carbon in physical fractions of soils as affected by agricultural management. Biol. Fertil. Soils 2010, 46, 543–554. [Google Scholar] [CrossRef]
- Allison, S.D.; Jastrow, J.D. Activities of extracellular enzymes in physically isolated fractions of restored grassland soils. Soil Biol. Biochem. 2006, 38, 3245–3256. [Google Scholar] [CrossRef]
- Kandeler, E.; Gerber, H. Short-term assay of soil urease activity using colorimetric determination of ammonium. Biol. Fertil. Soils 1988, 6, 68–72. [Google Scholar] [CrossRef]
- Pandey, D.; Agrawal, M.; Bohra, J.S. Effects of conventional tillage and no tillage permutations on extracellular soil enzyme activities and microbial biomass under rice cultivation. Soil Tillage Res. 2014, 136, 51–60. [Google Scholar] [CrossRef]
- Denardin, L.G.D.O.; Carmona, F.D.C.; Veloso, M.G.; Martins, A.P.; de Freitas, T.F.S.; Carlos, F.S.; Marcolin, É.; Camargo, F.A.D.O.; Anghinoni, I. No-tillage increases irrigated rice yield through soil quality improvement along time. Soil Tillage Res. 2019, 186, 64–69. [Google Scholar] [CrossRef]
- Huang, Y.; Huang, Y.; Ren, W.; Wang, L.; Hui, D.; Grove, J.H.; Yang, X.; Tao, B.; Goff, B. Greenhouse gas emissions and crop yield in no-tillage systems: A meta-analysis. Agric. Ecosyst. Environ. 2018, 268, 144–153. [Google Scholar] [CrossRef]
- Das, A.; Lal, R.; Patel, D.P.; Idapuganti, R.G.; Layek, J.; Ngachan, S.V.; Ghosh, P.K.; Bordoloi, J.; Kumar, M. Effects of tillage and biomass on soil quality and productivity of lowland rice cultivation by small scale farmers in North Eastern India. Soil Tillage Res. 2014, 143, 50–58. [Google Scholar] [CrossRef]
- Whitmore, A.P.; Cadisch, G.; Toomsan, B.; Limpinuntana, V.; Van Noordwijk, M.; Purnomosidhi, P. An analysis of the economic values of novel cropping systems in NE Thailand and S. Sumatra. NJAS Wagening. J. Life Sci. 2000, 48, 105–114. [Google Scholar] [CrossRef]
- Ding, Z.; Hu, R.; Styles, D.; Wang, X.; Tian, Y.; Cao, Y.; Hou, J. Optimized ratoon rice system to sustain cleaner food production in Jianghan Plain, China: A comprehensive emergy assessment. Environ. Sci. Pollut. Res. 2022, 29, 24639–24650. [Google Scholar] [CrossRef] [PubMed]
- Wang, H.; Xu, J.; Liu, X.; Zhang, D.; Li, L.; Li, W.; Sheng, L. Effects of long-term application of organic fertilizer on improving organic matter content and retarding acidity in red soil from China. Soil Tillage Res. 2019, 195, 104382. [Google Scholar] [CrossRef]
- Yadav, G.S.; Lal, R.; Meena, R.S.; Babu, S.; Das, A.; Bhowmik, S.N.; Datta, M.; Layak, J.; Saha, P. Conservation tillage and nutrient management effects on productivity and soil carbon sequestration under double cropping of rice in north eastern region of India. Ecol. Indic. 2019, 105, 303–315. [Google Scholar] [CrossRef]
- Huang, S.; Zeng, Y.; Wu, J.; Shi, Q.; Pan, X. Effect of crop residue retention on rice yield in China: A meta-analysis. Field Crops Res. 2013, 154, 188–194. [Google Scholar] [CrossRef]
- Yang, L.; Zhou, X.; Liao, Y.; Lu, Y.; Nie, J.; Cao, W. Co-incorporation of rice straw and green manure benefits rice yield and nutrient uptake. Crop. Sci. 2019, 59, 749–759. [Google Scholar] [CrossRef]
- Shridhar, B.S. Nitrogen fixing microorganisms. Int. J. Microbiol. Res. 2012, 3, 46–52. [Google Scholar]
- Peng, S.; Buresh, R.J.; Huang, J.; Zhong, X.; Zou, Y.; Yang, J.; Wang, G.; Liu, Y.; Hu, R.; Tang, Q. Improving nitrogen fertilization in rice by sitespecific N management. A review. Agron. Sustain. Dev. 2010, 30, 649–656. [Google Scholar] [CrossRef]
- Salahin, N.; Jahiruddin, M.; Islam, M.R.; Alam, M.K.; Haque, M.E.; Ahmed, S.; Baazeem, A.; Hadifa, A.; El Sabagh, A.; Bell, R.W. Establishment of crops under minimal soil disturbance and crop residue retention in rice-based cropping system: Yield advantage, soil health improvement, and economic benefit. Land 2021, 10, 581. [Google Scholar] [CrossRef]
- Tyagi, S.; Naresh, R.K.; Prakash, S.; Tyagi, K.; Jaat, L.; Mahajan, N.C. Dynamic of new generation tillage and crop establishment techniques on crop-water productivity and soil health in rice-wheat rotation in North-Western IGP: A review. IJCS 2019, 7, 3047–3065. [Google Scholar]
- Álvaro-Fuentes, J.; López, M.V.; Cantero-Martínez, C.; Arrúe, J.L. Tillage effects on soil organic carbon fractions in Mediterranean dryland agroecosystems. Soil Sci. Soc. Am. J. 2008, 72, 541–547. [Google Scholar] [CrossRef]
- Wang, X.; Qi, J.; Zhang, X.; Li, S.; Virk, A.L.; Zhao, X.; Xiao, X.; Zhang, H. Effects of tillage and residue management on soil aggregates and associated carbon storage in a double paddy cropping system. Soil Tillage Res. 2019, 194, 104339. [Google Scholar] [CrossRef]
- Rimski-Korsakov, H.; Rubio, G.; Lavado, R.S. Fate of the nitrogen from fertilizers in field-grown maize. Nutr. Cycl. Agroecosystems 2012, 93, 253–263. [Google Scholar] [CrossRef]
- Dai, W.; Gao, H.; Sha, Z.; Penttinen, P.; Fang, K.; Wang, J.; Cao, L. Changes in soil organic carbon fractions in response to wheat straw incorporation in a subtropical paddy field in China. J. Plant Nutr. Soil Sci. 2021, 184, 198–207. [Google Scholar] [CrossRef]
- Powlson, D.S.; Poulton, P.R.; Glendining, M.J.; Macdonald, A.J.; Goulding, K.W. It possible to attain the same soil organic matter content in arable agricultural soils as under natural vegetation? Outlook Agric. 2022, 51, 91–104. [Google Scholar] [CrossRef]
- Zuber, S.M.; Villamil, M.B. Meta-analysis approach to assess effect of tillage on microbial biomass and enzyme activities. Soil Biol. Biochem. 2016, 97, 176–187. [Google Scholar] [CrossRef]
- Jiang, S.; Du, B.; Hu, F.; Zhang, H.; Kong, P.; Wu, Q.; Zhu, J. A seven-year study on the effects of four tillage modes on soil physicochemical properties, microbial biomass, enzymatic activities, and grain yield in a rice–ratoon rice cropping system. Food Energy Secur. 2023, 12, e437. [Google Scholar] [CrossRef]
- Tang, H.; Li, C.; Cheng, K.; Shi, L.; Wen, L.; Li, W.; Xiao, X. Effects of different tillage management on rhizosphere soil nitrogen mineralization and its extracellular enzyme activity in a double-cropping rice paddy field of southern China. Land Degrad. Dev. 2021, 32, 4933–4943. [Google Scholar] [CrossRef]
- Zheng, Y.; Han, X.; Li, Y.; Yang, J.; Li, N.; An, N. Effects of biochar and straw application on the physicochemical and biological properties of paddy soils in northeast China. Sci. Rep. 2019, 9, 1–11. [Google Scholar] [CrossRef]
- Nevins, C.J.; Lacey, C.; Armstrong, S. The synchrony of cover crop decomposition, enzyme activity, and nitrogen availability in a corn agroecosystem in the Midwest United States. Soil Tillage Res. 2020, 197, 104518. [Google Scholar] [CrossRef]
- Mariscal-Sancho, I.; Ball, B.; McKenzie, B. Influence of tillage practices, organic manures and extrinsic factors on β-glucosidase activity: The final step of cellulose hydrolysis. Soil Syst. 2018, 2, 21. [Google Scholar] [CrossRef]
- Singh, J.; Kumar, S. Seasonal changes of soil carbon fractions and enzyme activities in response to winter cover crops under long-term rotation and tillage systems. Eur. J. Soil Sci. 2021, 72, 886–899. [Google Scholar] [CrossRef]







| Main Season Rice | Ratoon Rice | ||||
|---|---|---|---|---|---|
| Sowing Data | Transplanting Data | Harvesting Data | Seedling Data | Harvesting Data | |
| 2021 | 3/24 | 4/21 | 8/13 | 8/13 | 11/1 |
| 2022 | 3/22 | 4/20 | 8/14 | 8/12 | 11/3 |
| ANOVA | Yield (t ha−1) | TDW (t ha−1) | ||
|---|---|---|---|---|
| Main Season | Ratoon Season | Main Season | Ratoon Season | |
| Year (Y) | ns | ns | ns | ns |
| Tillage management (T) | 234.97 ** | 231.65 ** | 233 ** | 137.71 ** |
| Straw residue management (S) | 96.08 ** | 206.73 ** | 80.02 ** | 119.07 ** |
| Y × T | ns | ns | ns | ns |
| Y × S | ns | ns | ns | ns |
| T × S | 6.37 * | 4.82 * | 13.3 ** | ns |
| Y × T × S | ns | ns | ns | ns |
Disclaimer/Publisher’s Note: The statements, opinions and data contained in all publications are solely those of the individual author(s) and contributor(s) and not of MDPI and/or the editor(s). MDPI and/or the editor(s) disclaim responsibility for any injury to people or property resulting from any ideas, methods, instructions or products referred to in the content. |
© 2023 by the authors. Licensee MDPI, Basel, Switzerland. This article is an open access article distributed under the terms and conditions of the Creative Commons Attribution (CC BY) license (https://creativecommons.org/licenses/by/4.0/).
Share and Cite
Yang, D.; Wang, Y.; Wu, Q. Impact of Tillage and Straw Management on Soil Properties and Rice Yield in a Rice-Ratoon Rice System. Agronomy 2023, 13, 1762. https://doi.org/10.3390/agronomy13071762
Yang D, Wang Y, Wu Q. Impact of Tillage and Straw Management on Soil Properties and Rice Yield in a Rice-Ratoon Rice System. Agronomy. 2023; 13(7):1762. https://doi.org/10.3390/agronomy13071762
Chicago/Turabian StyleYang, Di, Youning Wang, and Qixia Wu. 2023. "Impact of Tillage and Straw Management on Soil Properties and Rice Yield in a Rice-Ratoon Rice System" Agronomy 13, no. 7: 1762. https://doi.org/10.3390/agronomy13071762
APA StyleYang, D., Wang, Y., & Wu, Q. (2023). Impact of Tillage and Straw Management on Soil Properties and Rice Yield in a Rice-Ratoon Rice System. Agronomy, 13(7), 1762. https://doi.org/10.3390/agronomy13071762

