Improving Rice Root Development and Soil Health in Saline Soils: A Biochar and Microbial-Inoculated Biochar with Nitrogen Approach
Abstract
1. Introduction
- (1)
- Combined inoculation of salt-tolerant bacteria and fungi onto biochar can create a favorable microbial environment that enhances salt stress tolerance in rice.
- (2)
- Nitrogen fertilizer application further strengthens the effect of microbial-inoculated biochar by enhancing microbial activity and improving soil quality (soil organic matter, nitrate and ammonium nitrogen, available phosphorus, and soil enzyme activities CAT, ACP, POX, and β-D-glucosidase), thereby promoting root development under saline conditions.
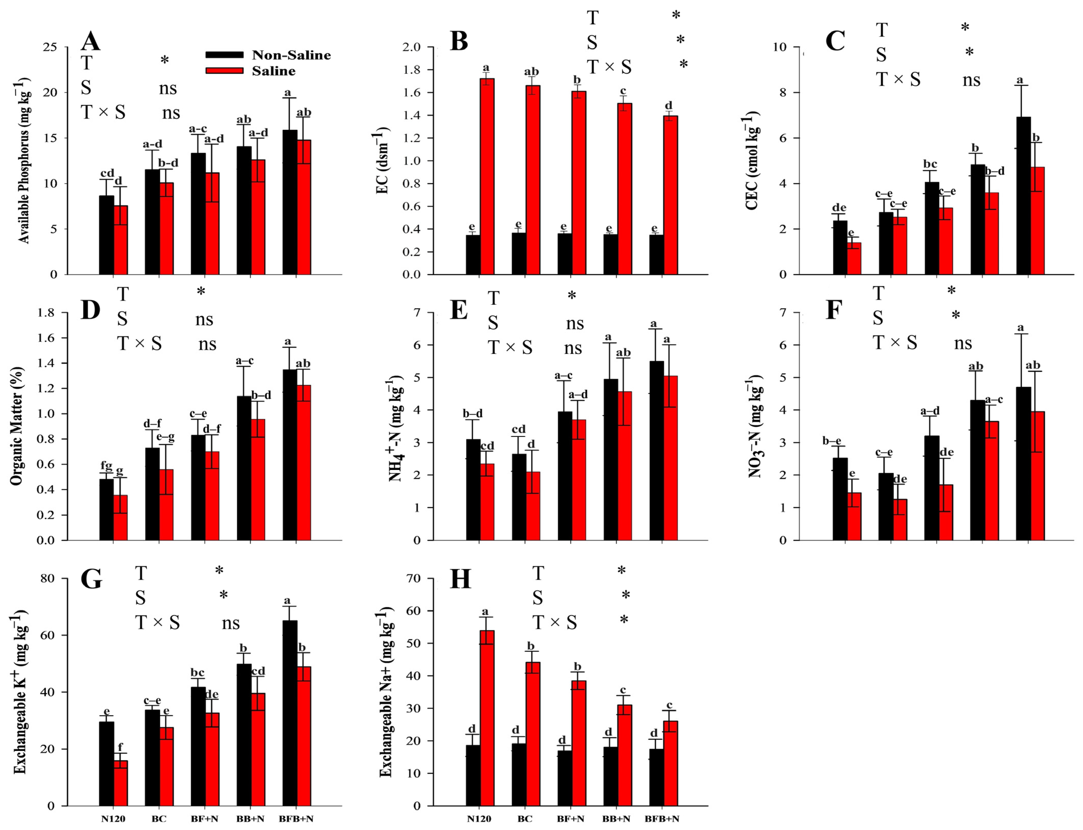
2. Results
2.1. Characterization of Biochar
2.2. Counts of Free and Biochar-Inoculated Microbes Under Saline Conditions
2.3. Chemical Properties of Post-Harvested Soil
2.4. Microbial Community Composition in Saline Soil
2.5. Effect of Microbial Biochar on Enzyme Activities in Saline Soil
2.6. K+/Na+, Morphological and Anatomical Attributes of Roots in Rice Roots Under Saline Conditions
2.7. Pearson Correlation, Cluster Heat-Map and SEM Analysis
3. Discussion
4. Materials and Methods
4.1. Microbial Biochar Preparation and Characterization
4.2. Aliveness of Free and Biochar-Inoculated Microbes Under Salt Stress Conditions
4.3. Experimental Setup, K+/Na+ in Rice Roots and Root Morphology
4.4. Physicochemical and Biological Properties of Post-Harvested Soil
4.5. Statistical Analysis
5. Conclusions
Author Contributions
Funding
Data Availability Statement
Acknowledgments
Conflicts of Interest
References
- Hussein, M.A.A.; Alqahtani, M.M.; Alwutayd, K.M.; Aloufi, A.S.; Osama, O.; Azab, E.S.; Abdelsattar, M.; Hassanin, A.A.; Okasha, S.A. Exploring Salinity Tolerance Mechanisms in Diverse Wheat Genotypes Using Physiological, Anatomical, Agronomic and Gene Expression Analyses. Plants 2023, 12, 3330. [Google Scholar] [CrossRef]
- Abbas, H.M.M.; Rais, U.; Sultan, H.; Tahir, A.; Bahadur, S.; Shah, A.; Iqbal, A.; Li, Y.; Khan, M.N.; Nie, L. Residual Effect of Microbial-Inoculated Biochar with Nitrogen on Rice Growth and Salinity Reduction in Paddy Soil. Plants 2024, 13, 2804. [Google Scholar] [CrossRef]
- Wang, X.; Li, Y.; Wang, H.; Wang, Y.; Biswas, A.; Chau, H.W.; Liang, J.; Zhang, F.; Bai, Y.; Wu, S. Targeted Biochar Application Alters Physical, Chemical, Hydrological and Thermal Properties of Salt-Affected Soils under Cotton-Sugarbeet Intercropping. Catena 2022, 216, 106414. [Google Scholar] [CrossRef]
- Abdelkader, A.; Elshorbagy, A.; Tuninetti, M.; Laio, F.; Ridolfi, L.; Fahmy, H.; Hoekstra, A.Y. National Water, Food, and Trade Modeling Framework: The Case of Egypt. Sci. Total Environ. 2018, 639, 485–496. [Google Scholar] [CrossRef]
- Saif, I.; Salama, E.-S.; Usman, M.; Lee, D.S.; Malik, K.; Liu, P.; Li, X. Improved Digestibility and Biogas Production from Lignocellulosic Biomass: Biochar Addition and Microbial Response. Ind. Crops Prod. 2021, 171, 113851. [Google Scholar] [CrossRef]
- Wang, R.; Kang, Y.; Wan, S.; Hu, W.; Liu, S.; Liu, S. Salt Distribution and the Growth of Cotton under Different Drip Irrigation Regimes in a Saline Area. Agric. Water Manag. 2011, 100, 58–69. [Google Scholar] [CrossRef]
- El-Sayed, M.E.A.; Hazman, M.; Abd El-Rady, A.G.; Almas, L.; McFarland, M.; Shams El Din, A.; Burian, S. Biochar Reduces the Adverse Effect of Saline Water on Soil Properties and Wheat Production Profitability. Agriculture 2021, 11, 1112. [Google Scholar] [CrossRef]
- Sun, Y.; Yang, J.; Yao, R.; Chen, X.; Wang, X. Biochar and Fulvic Acid Amendments Mitigate Negative Effects of Coastal Saline Soil and Improve Crop Yields in a Three Year Field Trial. Sci. Rep. 2020, 10, 8946. [Google Scholar] [CrossRef] [PubMed]
- Javed, S.A.; Arif, M.S.; Shahzad, S.M.; Ashraf, M.; Kausar, R.; Farooq, T.H.; Hussain, M.I.; Shakoor, A. Can Different Salt Formulations Revert the Depressing Effect of Salinity on Maize by Modulating Plant Biochemical Attributes and Activating Stress Regulators through Improved N Supply? Sustainability 2021, 13, 8022. [Google Scholar] [CrossRef]
- Ali, S.; Rizwan, M.; Qayyum, M.F.; Ok, Y.S.; Ibrahim, M.; Riaz, M.; Arif, M.S.; Hafeez, F.; Al-Wabel, M.I.; Shahzad, A.N. Biochar Soil Amendment on Alleviation of Drought and Salt Stress in Plants: A Critical Review. Environ. Sci. Pollut. Res. 2017, 24, 12700–12712. [Google Scholar] [CrossRef] [PubMed]
- Wu, Z.; Fan, Y.; Zhou, Z.; Hao, X.; Kang, S. Interaction between Biochar Particle Size and Soil Salinity Levels on Soil Properties and Tomato Yield. Biochar 2025, 7, 30. [Google Scholar] [CrossRef]
- Tejada, M.; Garcia, C.; Gonzalez, J.L.; Hernandez, M.T. Use of Organic Amendment as a Strategy for Saline Soil Remediation: Influence on the Physical, Chemical and Biological Properties of Soil. Soil Biol. Biochem. 2006, 38, 1413–1421. [Google Scholar] [CrossRef]
- Cui, Q.; Xia, J.; Yang, H.; Liu, J.; Shao, P. Biochar and Effective Microorganisms Promote Sesbania cannabina Growth and Soil Quality in the Coastal Saline-Alkali Soil of the Yellow River Delta, China. Sci. Total Environ. 2021, 756, 143801. [Google Scholar] [CrossRef]
- Yin, C.; Lei, W.; Wang, S.; Xie, G.; Qiu, D. Biochar and Arbuscular Mycorrhizal Fungi Promote Rapid-Cycling Brassica napus Growth under Cadmium Stress. Sci. Total Environ. 2024, 953, 176034. [Google Scholar] [CrossRef]
- Abbas, H.M.M.; Rais, U.; Altaf, M.M.; Rasul, F.; Shah, A.; Tahir, A.; Nafees-Ur-Rehman, M.; Shaukat, M.; Sultan, H.; Zou, R.; et al. Microbial-Inoculated Biochar for Remediation of Salt and Heavy Metal Contaminated Soils. Sci. Total Environ. 2024, 954, 176104. [Google Scholar] [CrossRef]
- Kayoumu, M.; Wang, H.; Duan, G. Interactions between Microbial Extracellular Polymeric Substances and Biochar, and Their Potential Applications: A Review. Biochar 2025, 7, 62. [Google Scholar] [CrossRef]
- Zhang, G.; Zhang, L.; Shi, Z.; Yang, Y.; Liu, J. Microbial Nutrient Limitation and Carbon Use Efficiency in Saline-Alkali Soil Amended with Biochar: Insights from Ecoenzymatic C:N:P Stoichiometry. Biochar 2025, 7, 68. [Google Scholar] [CrossRef]
- Khan, Z.; Nauman Khan, M.; Luo, T.; Zhang, K.; Zhu, K.; Rana, M.S.; Hu, L.; Jiang, Y. Compensation of High Nitrogen Toxicity and Nitrogen Deficiency with Biochar Amendment through Enhancement of Soil Fertility and Nitrogen Use Efficiency Promoted Rice Growth and Yield. GCB Bioenergy 2021, 13, 1765–1784. [Google Scholar] [CrossRef]
- Li, Z.; Xing, B.; Ding, Y.; Li, Y.; Wang, S. A High-Performance Biochar Produced from Bamboo Pyrolysis with in-Situ Nitrogen Doping and Activation for Adsorption of Phenol and Methylene Blue. Chin. J. Chem. Eng. 2020, 28, 2872–2880. [Google Scholar] [CrossRef]
- Ali, I.; Zhao, Q.; Wu, K.; Ullah, S.; Iqbal, A.; Liang, H.; Zhang, J.; Muhammad, I.; Amanullah; Khan, A.; et al. Biochar in Combination with Nitrogen Fertilizer Is a Technique: To Enhance Physiological and Morphological Traits of Rice (Oryza sativa L.) by Improving Soil Physio-Biochemical Properties. J. Plant Growth Regul. 2022, 41, 2406–2420. [Google Scholar] [CrossRef]
- Stevenson, F.J. Humus Chemistry: Genesis, Composition, Reactions, 2nd ed.; John Wiley & Sons: New York, NY, USA, 1994. [Google Scholar]
- Tu, C.; Wei, J.; Guan, F.; Liu, Y.; Sun, Y.; Luo, Y. Biochar and Bacteria Inoculated Biochar Enhanced Cd and Cu Immobilization and Enzymatic Activity in a Polluted Soil. Environ. Int. 2020, 137, 105576. [Google Scholar] [CrossRef] [PubMed]
- Xu, Z.; Shao, T.; Lv, Z.; Yue, Y.; Liu, A.; Long, X.; Zhou, Z.; Gao, X.; Rengel, Z. The Mechanisms of Improving Coastal Saline Soils by Planting Rice. Sci. Total Environ. 2020, 703, 135529. [Google Scholar] [CrossRef]
- Wu, R.; Long, M.; Tai, X.; Wang, J.; Lu, Y.; Sun, X.; Tang, D.; Sun, L. Microbiological Inoculation with and without Biochar Reduces the Bioavailability of Heavy Metals by Microbial Correlation in Pig Manure Composting. Ecotoxicol. Environ. Saf. 2022, 248, 114294. [Google Scholar] [CrossRef]
- Song, Q.; Kong, F.; Liu, B.-F.; Song, X.; Ren, H.-Y. Biochar-Based Composites for Removing Chlorinated Organic Pollutants: Applications, Mechanisms, and Perspectives. Environ. Sci. Ecotechnology 2024, 21, 100420. [Google Scholar] [CrossRef]
- Lv, L.; Wei, Z.; Li, W.; Chen, J.; Tian, Y.; Gao, W.; Wang, P.; Sun, L.; Ren, Z.; Zhang, G.; et al. Regulation of Extracellular Polymers Based on Quorum Sensing in Wastewater Biological Treatment from Mechanisms to Applications: A Critical Review. Water Res. 2024, 250, 121057. [Google Scholar] [CrossRef] [PubMed]
- Bolan, S.; Hou, D.; Wang, L.; Hale, L.; Egamberdieva, D.; Tammeorg, P.; Li, R.; Wang, B.; Xu, J.; Wang, T.; et al. The Potential of Biochar as a Microbial Carrier for Agricultural and Environmental Applications. Sci. Total Environ. 2023, 886, 163968. [Google Scholar] [CrossRef] [PubMed]
- Wu, P.; Wang, Z.; Bhatnagar, A.; Jeyakumar, P.; Wang, H.; Wang, Y.; Li, X. Microorganisms-Carbonaceous Materials Immobilized Complexes: Synthesis, Adaptability and Environmental Applications. J. Hazard. Mater. 2021, 416, 125915. [Google Scholar] [CrossRef]
- Dhal, B.; Thatoi, H.; Das, N.; Pandey, B.D. Reduction of Hexavalent Chromium by Bacillus Sp. Isolated from Chromite Mine Soils and Characterization of Reduced Product. J. Chem. Technol. Biotechnol. 2010, 85, 1471–1479. [Google Scholar] [CrossRef]
- Karthik, C.; Barathi, S.; Pugazhendhi, A.; Ramkumar, V.S.; Thi, N.B.D.; Arulselvi, P.I. Evaluation of Cr (VI) Reduction Mechanism and Removal by Cellulosimicrobium funkei Strain AR8, a Novel Haloalkaliphilic Bacterium. J. Hazard. Mater. 2017, 333, 42–53. [Google Scholar] [CrossRef]
- Wu, M.; Li, Y.; Li, J.; Wang, Y.; Xu, H.; Zhao, Y. Bioreduction of Hexavalent Chromium Using a Novel Strain CRB-7 Immobilized on Multiple Materials. J. Hazard. Mater. 2019, 368, 412–420. [Google Scholar] [CrossRef] [PubMed]
- Novak, J.M.; Busscher, W.J.; Watts, D.W.; Laird, D.A.; Ahmedna, M.A.; Niandou, M.A.S. Short-Term CO2 Mineralization after Additions of Biochar and Switchgrass to a Typic Kandiudult. Geoderma 2010, 154, 281–288. [Google Scholar] [CrossRef]
- Zimmerman, A.R. Abiotic and Microbial Oxidation of Laboratory-Produced Black Carbon (Biochar). Environ. Sci. Technol. 2010, 44, 1295–1301. [Google Scholar] [CrossRef]
- Liu, H.; Xie, Y.; Li, J.; Zeng, G.; Li, H.; Xu, F.; Feng, S.; Xu, H. Effect of Serratia Sp. K3 Combined with Organic Materials on Cadmium Migration in Soil-Vetiveria zizanioides L. System and Bacterial Community in Contaminated Soil. Chemosphere 2020, 242, 125164. [Google Scholar] [CrossRef]
- Wei, T.; Li, X.; Li, H.; Gao, H.; Guo, J.; Li, Y.; Ren, X.; Hua, L.; Jia, H. The Potential Effectiveness of Mixed Bacteria-Loaded Biochar/Activated Carbon to Remediate Cd, Pb Co-Contaminated Soil and Improve the Performance of Pakchoi Plants. J. Hazard. Mater. 2022, 435, 129006. [Google Scholar] [CrossRef]
- Zhu, X.; Chen, B.; Zhu, L.; Xing, B. Effects and Mechanisms of Biochar-Microbe Interactions in Soil Improvement and Pollution Remediation: A Review. Environ. Pollut. 2017, 227, 98–115. [Google Scholar] [CrossRef] [PubMed]
- El-Naggar, A.; Lee, S.S.; Rinklebe, J.; Farooq, M.; Song, H.; Sarmah, A.K.; Zimmerman, A.R.; Ahmad, M.; Shaheen, S.M.; Ok, Y.S. Biochar Application to Low Fertility Soils: A Review of Current Status, and Future Prospects. Geoderma 2019, 337, 536–554. [Google Scholar] [CrossRef]
- Qi, X.; Gou, J.; Chen, X.; Xiao, S.; Ali, I.; Shang, R.; Wang, D.; Wu, Y.; Han, M.; Luo, X. Application of Mixed Bacteria-Loaded Biochar to Enhance Uranium and Cadmium Immobilization in a Co-Contaminated Soil. J. Hazard. Mater. 2021, 401, 123823. [Google Scholar] [CrossRef]
- Zhang, Y.; Wang, J.; Feng, Y. The Effects of Biochar Addition on Soil Physicochemical Properties: A Review. CATENA 2021, 202, 105284. [Google Scholar] [CrossRef]
- He, L.; Zhong, H.; Liu, G.; Dai, Z.; Brookes, P.C.; Xu, J. Remediation of Heavy Metal Contaminated Soils by Biochar: Mechanisms, Potential Risks and Applications in China. Environ. Pollut. 2019, 252, 846–855. [Google Scholar] [CrossRef]
- Wang, N.; Wang, X.; Shi, J.; Liu, X.; Xu, Q.; Zhou, H.; Song, M.; Yan, G. Mepiquat Chloride-Priming Induced Salt Tolerance during Seed Germination of Cotton (Gossypium hirsutum L.) through Regulating Water Transport and K+/Na+ Homeostasis. Environ. Exp. Bot. 2019, 159, 168–178. [Google Scholar] [CrossRef]
- Lehmann, J.; Rillig, M.C.; Thies, J.; Masiello, C.A.; Hockaday, W.C.; Crowley, D. Biochar Effects on Soil Biota—A Review. Soil Biol. Biochem. 2011, 43, 1812–1836. [Google Scholar] [CrossRef]
- Chen, C.R.; Phillips, I.R.; Condron, L.M.; Goloran, J.; Xu, Z.H.; Chan, K.Y. Impacts of Greenwaste Biochar on Ammonia Volatilisation from Bauxite Processing Residue Sand. Plant Soil 2013, 367, 301–312. [Google Scholar] [CrossRef]
- Rath, K.M.; Fierer, N.; Murphy, D.V.; Rousk, J. Linking Bacterial Community Composition to Soil Salinity along Environmental Gradients. ISME J. 2019, 13, 836–846. [Google Scholar] [CrossRef] [PubMed]
- Xing, J.; Li, X.; Li, Z.; Wang, X.; Hou, N.; Li, D. Remediation of Soda-Saline-Alkali Soil through Soil Amendments: Microbially Mediated Carbon and Nitrogen Cycles and Remediation Mechanisms. Sci. Total Environ. 2024, 924, 171641. [Google Scholar] [CrossRef] [PubMed]
- Chowdhury, N.; Nakatani, A.S.; Setia, R.; Marschner, P. Microbial Activity and Community Composition in Saline and Non-Saline Soils Exposed to Multiple Drying and Rewetting Events. Plant Soil 2011, 348, 103–113. [Google Scholar] [CrossRef]
- Hao, T.; Zhou, Q.; Jiang, J.; Song, H.; Pan, Y.; Shi, D. Density Functional Theory Study on the Microscopic Mechanism of NO2 Adsorption and Reduction by Potassium-Doped Biochar: The Key Role of the Active Sites. Biochar 2025, 7, 67. [Google Scholar] [CrossRef]
- Haj-Amor, Z.; Hashemi, H.; Bouri, S. The Consequences of Saline Irrigation Treatments on Soil Physicochemical Characteristics. Euro-Mediterranean J. Environ. Integr. 2018, 3, 22. [Google Scholar] [CrossRef]
- Zhang, S.; Rasool, G.; Wang, S.; Zhang, Y.; Guo, X.; Wei, Z.; Zhang, X.; Yang, X.; Wang, T. Biochar and Chlorella Increase Rice Yield by Improving Saline-Alkali Soil Physicochemical Properties and Regulating Bacteria under Aquaculture Wastewater Irrigation. Chemosphere 2023, 340, 139850. [Google Scholar] [CrossRef]
- Jiang, Y.; Chen, L.; Zhu, F.; Wang, Y.; Jiang, J.; Chen, K.; Xue, S. Stable Aggregate Formation and Microbial Diversity Resilience in Soil Formation of Bauxite Residue: Roles of Extracellular Polymeric Substances Secreted by Penicillium oxalicum. ACS ES T Eng. 2023, 3, 1758–1769. [Google Scholar] [CrossRef]
- Lakhdar, A.; Rabhi, M.; Ghnaya, T.; Montemurro, F.; Jedidi, N.; Abdelly, C. Effectiveness of Compost Use in Salt-Affected Soil. J. Hazard. Mater. 2009, 171, 29–37. [Google Scholar] [CrossRef]
- Dong, X.; Li, M.; Lin, Q.; Li, G.; Zhao, X. Soil Na+ Concentration Controls Salt-Affected Soil Organic Matter Components in Hetao Region China. J. Soils Sediments 2019, 19, 1120–1129. [Google Scholar] [CrossRef]
- Gontikaki, E.; Thornton, B.; Huvenne, V.A.I.; Witte, U. Negative Priming Effect on Organic Matter Mineralisation in NE Atlantic Slope Sediments. PLoS ONE 2013, 8, e67722. [Google Scholar] [CrossRef]
- Han, F.; Ren, L.; Zhang, X.C. Effect of Biochar on the Soil Nutrients about Different Grasslands in the Loess Plateau. Catena 2016, 137, 554–562. [Google Scholar] [CrossRef]
- Zhao, Q.; Bai, J.; Gao, Y.; Zhao, H.; Zhang, G.; Cui, B. Shifts in the Soil Bacterial Community along a Salinity Gradient in the Yellow River Delta. L. Degrad. Dev. 2020, 31, 2255–2267. [Google Scholar] [CrossRef]
- Huang, L.H.; Liang, Z.W.; Suarez, D.L.; Wang, Z.C.; Wang, M.M.; Yang, H.Y.; Liu, M. Impact of Cultivation Year, Nitrogen Fertilization Rate and Irrigation Water Quality on Soil Salinity and Soil Nitrogen in Saline-Sodic Paddy Fields in Northeast China. J. Agric. Sci. 2016, 154, 632–646. [Google Scholar] [CrossRef]
- Dineshkumar, R.; Kumaravel, R.; Gopalsamy, J.; Sikder, M.N.A.; Sampathkumar, P. Microalgae as Bio-Fertilizers for Rice Growth and Seed Yield Productivity. Waste Biomass Valorization 2018, 9, 793–800. [Google Scholar] [CrossRef]
- Sabale, R.P.; Shabeer, T.P.A.; Utture, S.C.; Banerjee, K.; Oulkar, D.P.; Adsule, P.G.; Deshmukh, M.B. Kresoxim Methyl Dissipation Kinetics and Its Residue Effect on Soil Extra-Cellular and Intra-Cellular Enzymatic Activity in Four Different Soils of India. J. Environ. Sci. Health—Part B Pestic. Food Contam. Agric. Wastes 2015, 50, 90–98. [Google Scholar] [CrossRef] [PubMed]
- Palansooriya, K.N.; Wong, J.T.F.; Hashimoto, Y.; Huang, L.; Rinklebe, J.; Chang, S.X.; Bolan, N.; Wang, H.; Ok, Y.S. Response of Microbial Communities to Biochar-Amended Soils: A Critical Review. Biochar 2019, 1, 3–22. [Google Scholar] [CrossRef]
- He, Y. Microbial Electrochemistry for Bioremediation Environmental Science and Ecotechnology Microbial Electrochemistry for Bioremediation. Environ. Sci. Ecotechnology 2020, 1, 100013. [Google Scholar]
- Zheng, H.; Wang, Z.; Deng, X.; Herbert, S.; Xing, B. Impacts of Adding Biochar on Nitrogen Retention and Bioavailability in Agricultural Soil. Geoderma 2013, 206, 32–39. [Google Scholar] [CrossRef]
- Pan, Y.; Borjigin, S.; Liu, Y.; Wang, H.; Wang, Y.; Wu, Y.; Hao, G.; Gong, D.; Yang, Q.; Geng, Z. Role of Key-Stone Microbial Taxa in Algae Amended Soil for Mediating Nitrogen Transformation. Sci. Total Environ. 2022, 823, 153547. [Google Scholar] [CrossRef] [PubMed]
- Gao, L.; Zhang, L.; Hou, J.; Wei, Q.; Fu, F.; Shao, H. Decomposition of Macroalgal Blooms Influences Phosphorus Release from the Sediments and Implications for Coastal Restoration in Swan Lake, Shandong, China. Ecol. Eng. 2013, 60, 19–28. [Google Scholar] [CrossRef]
- Jin, F.; Piao, J.; Miao, S.; Che, W.; Li, X.; Li, X.; Shiraiwa, T.; Tanaka, T.; Taniyoshi, K.; Hua, S. Long-Term Effects of Biochar One-off Application on Soil Physicochemical Properties, Salt Concentration, Nutrient Availability, Enzyme Activity, and Rice Yield of Highly Saline-Alkali Paddy Soils: Based on a 6-Year Field Experiment. Biochar 2024, 6, 40. [Google Scholar] [CrossRef]
- Dahlawi, S.; Naeem, A.; Rengel, Z.; Naidu, R. Biochar Application for the Remediation of Salt-Affected Soils: Challenges and Opportunities. Sci. Total Environ. 2018, 625, 320–335. [Google Scholar]
- Duan, M.; Liu, G.; Zhou, B.; Chen, X.; Wang, Q.; Zhu, H.; Li, Z. Effects of Modified Biochar on Water and Salt Distribution and Water-Stable Macro-Aggregates in Saline-Alkaline Soil. J. Soils Sediments 2021, 21, 2192–2202. [Google Scholar] [CrossRef]
- Cai, P.; Sun, X.; Wu, Y.; Gao, C.; Mortimer, M.; Holden, P.A.; Redmile-Gordon, M.; Huang, Q. Soil Biofilms: Microbial Interactions, Challenges, and Advanced Techniques for Ex-Situ Characterization. Soil Ecol. Lett. 2019, 1, 85–93. [Google Scholar] [CrossRef]
- Khan, A.; Tan, D.K.Y.; Afridi, M.Z.; Luo, H.; Tung, S.A.; Ajab, M.; Fahad, S. Nitrogen Fertility and Abiotic Stresses Management in Cotton Crop: A Review. Environ. Sci. Pollut. Res. 2017, 24, 14551–14566. [Google Scholar] [CrossRef] [PubMed]
- Yuan, J.; Xu, R. The Amelioration Effects of Low Temperature Biochar Generated from Nine Crop Residues on an Acidic Ultisol. Soil Use Manag. 2011, 27, 110–115. [Google Scholar] [CrossRef]
- Du, Z.; Zhao, S.; She, Y.; Zhang, Y.; Yuan, J.; Rahman, S.U.; Qi, X.; Xu, Y.; Li, P. Effects of Different Wastewater Irrigation on Soil Properties and Vegetable Productivity in the North China Plain. Agriculture 2022, 12, 1106. [Google Scholar] [CrossRef]
- Serkalem, W.M. Effect of Prosopis Juliflora Biochar Amendment on Some Soil Properties: The Case of Salic Fluvisols from Melkawerer Research Station, Ethiopia. Res. Thesis. Addis Ababa Univ. Ethiop. 2015. [Google Scholar]
- Xu, H.-J.; Wang, X.-H.; Li, H.; Yao, H.-Y.; Su, J.-Q.; Zhu, Y.-G. Biochar Impacts Soil Microbial Community Composition and Nitrogen Cycling in an Acidic Soil Planted with Rape. Environ. Sci. Technol. 2014, 48, 9391–9399. [Google Scholar] [CrossRef] [PubMed]
- Van Tan, L.; Thanh, T. The Effects of Salinity on Changes in Characteristics of Soils Collected in a Saline Region of the Mekong Delta, Vietnam. Open Chem. 2021, 19, 471–480. [Google Scholar] [CrossRef]
- Yao, R.; Gao, Q.; Liu, Y.; Li, H.; Yang, J.; Bai, Y.; Zhu, H.; Wang, X.; Xie, W.; Zhang, X. Deep Vertical Rotary Tillage Mitigates Salinization Hazards and Shifts Microbial Community Structure in Salt-Affected Anthropogenic-Alluvial Soil. Soil Tillage Res. 2023, 227, 105627. [Google Scholar] [CrossRef]
- Li, G.; Niu, W.; Sun, J.; Zhang, W.; Zhang, E.; Wang, J. Soil Moisture and Nitrogen Content Influence Wheat Yield through Their Effects on the Root System and Soil Bacterial Diversity under Drip Irrigation. L. Degrad. Dev. 2021, 32, 3062–3076. [Google Scholar] [CrossRef]
- Huang, J.; Zhu, C.; Kong, Y.; Cao, X.; Zhu, L.; Zhang, Y.; Ning, Y.; Tian, W.; Zhang, H.; Yu, Y.; et al. Biochar Application Alleviated Rice Salt Stress via Modifying Soil Properties and Regulating Soil Bacterial Abundance and Community Structure. Agronomy 2022, 12, 409. [Google Scholar] [CrossRef]
- Gu, W.; Wang, Y.; Feng, Z.; Wu, D.; Zhang, H.; Yuan, H.; Sun, Y.; Xiu, L.; Chen, W.; Zhang, W. Long-Term Effects of Biochar Application with Reduced Chemical Fertilizer on Paddy Soil Properties and Japonica Rice Production System. Front. Environ. Sci. 2022, 10, 902752. [Google Scholar] [CrossRef]
- Hobbie, S.E.; Eddy, W.C.; Buyarski, C.R.; Carol Adair, E.; Ogdahl, M.L.; Weisenhorn, P. Response of Decomposing Litter and Its Microbial Community to Multiple Forms of Nitrogen Enrichment. Ecol. Monogr. 2012, 82, 389–405. [Google Scholar] [CrossRef]
- Zheng, W.; Xue, D.; Li, X.; Deng, Y.; Rui, J.; Feng, K.; Wang, Z.-L. The Responses and Adaptations of Microbial Communities to Salinity in Farmland Soils: A Molecular Ecological Network Analysis. Appl. Soil Ecol. 2017, 120, 239–246. [Google Scholar] [CrossRef]
- Dussarrat, T.; Latorre, C.; Barros Santos, M.C.; Aguado-Norese, C.; Prigent, S.; Díaz, F.P.; Rolin, D.; González, M.; Müller, C.; Gutiérrez, R.A.; et al. Rhizochemistry and Soil Bacterial Community Are Tailored to Natural Stress Gradients. Soil Biol. Biochem. 2025, 202, 109662. [Google Scholar] [CrossRef]
- Samaddar, S.; Truu, J.; Chatterjee, P.; Truu, M.; Kim, K.; Kim, S.; Seshadri, S.; Sa, T. Long-Term Silicate Fertilization Increases the Abundance of Actinobacterial Population in Paddy Soils. Biol. Fertil. Soils 2019, 55, 109–120. [Google Scholar] [CrossRef]
- Sun, T.; Sun, Y.; Pei, P.; Huang, Q.; Wang, C.; Wu, S.; Zhou, X.; Xu, Y.; Zhang, C.; Mailhot, G.; et al. Dual Roles of Crayfish Shell Biochar on the Fate of Arsenic in Acid and Alkaline Aerobic Soils: Insights from Dissolved Organic Matter and Metabolism Genes. Biochar 2025, 7, 47. [Google Scholar] [CrossRef]
- Bai, Y.; Mei, L.; Zuo, W.; Zhang, Y.; Gu, C.; Shan, Y.; Hu, J.; Dai, Q. Response of Bacterial Communities in Coastal Mudflat Saline Soil to Sewage Sludge Amendment. Appl. Soil Ecol. 2019, 144, 107–111. [Google Scholar] [CrossRef]
- Chen, J.; Sun, X.; Zheng, J.; Zhang, X.; Liu, X.; Bian, R.; Li, L.; Cheng, K.; Zheng, J.; Pan, G. Biochar Amendment Changes Temperature Sensitivity of Soil Respiration and Composition of Microbial Communities 3 Years after Incorporation in an Organic Carbon-Poor Dry Cropland Soil. Biol. Fertil. Soils 2018, 54, 175–188. [Google Scholar] [CrossRef]
- Ajibade, F.O.; Yin, W.X.; Guadie, A.; Ajibade, T.F.; Liu, Y.; Kumwimba, M.N.; Liu, W.Z.; Han, J.L.; Wang, H.C.; Wang, A.J. Impact of Biochar Amendment on Antibiotic Removal and ARGs Accumulation in Constructed Wetlands for Low C/N Wastewater Treatment. Chem. Eng. J. 2023, 459, 141541. [Google Scholar] [CrossRef]
- Huang, J.; Xiao, Y.; Chen, B. Nutrients Removal by Olivibacter Jilunii Immobilized on Activated Carbon for Aquaculture Wastewater Treatment: Ppk1 Gene and Bacterial Community Structure. Bioresour. Technol. 2023, 370, 128494. [Google Scholar] [CrossRef]
- Kruczyńska, A.; Kuźniar, A.; Podlewski, J.; Słomczewski, A.; Grządziel, J.; Marzec-Grządziel, A.; Gałązka, A.; Wolińska, A. Bacteroidota Structure in the Face of Varying Agricultural Practices as an Important Indicator of Soil Quality—A Culture Independent Approach. Agric. Ecosyst. Environ. 2023, 342, 108252. [Google Scholar] [CrossRef]
- Somenahally, A.C.; McLawrence, J.; Chaganti, V.N.; Ganjegunte, G.K.; Obayomi, O.; Brady, J.A. Response of Soil Microbial Communities, Inorganic and Organic Soil Carbon Pools in Arid Saline Soils to Alternative Land Use Practices. Ecol. Indic. 2023, 150, 110227. [Google Scholar] [CrossRef]
- Wei, W.; Guo, W.; Ngo, H.H.; Mannina, G.; Wang, D.; Chen, X.; Liu, Y.; Peng, L.; Ni, B.J. Enhanced High-Quality Biomethane Production from Anaerobic Digestion of Primary Sludge by Corn Stover Biochar. Bioresour. Technol. 2020, 306, 123159. [Google Scholar] [CrossRef]
- Yelle, D.J.; Ralph, J.; Lu, F.; Hammel, K.E. Evidence for Cleavage of Lignin by a Brown Rot Basidiomycete. Environ. Microbiol. 2008, 10, 1844–1849. [Google Scholar] [CrossRef]
- Bello, A.; Wang, B.; Zhao, Y.; Yang, W.; Ogundeji, A.; Deng, L.; Egbeagu, U.U.; Yu, S.; Zhao, L.; Li, D. Composted Biochar Affects Structural Dynamics, Function and Co-Occurrence Network Patterns of Fungi Community. Sci. Total Environ. 2021, 775, 145672. [Google Scholar] [CrossRef]
- Johnson, J.M.; Ludwig, A.; Furch, A.C.U.; Mithöfer, A.; Scholz, S.; Reichelt, M.; Oelmüller, R. The Beneficial Root-Colonizing Fungus Mortierella hyalina Promotes the Aerial Growth of Arabidopsis and Activates Calcium-Dependent Responses That Restrict Alternaria Brassicae-Induced Disease Development in Roots. Mol. Plant-Microbe Interact. 2019, 32, 351–363. [Google Scholar] [CrossRef]
- Domingues, R.R.; Trugilho, P.F.; Silva, C.A.; de Melo, I.C.N.A.; Melo, L.C.A.; Magriotis, Z.M.; Sánchez-Monedero, M.A. Properties of Biochar Derived from Wood and High-Nutrient Biomasses with the Aim of Agronomic and Environmental Benefits. PLoS ONE 2017, 12, e0176884. [Google Scholar] [CrossRef] [PubMed]
- Abbott, L.K.; Macdonald, L.M.; Wong, M.T.F.; Webb, M.J.; Jenkins, S.N.; Farrell, M. Potential Roles of Biological Amendments for Profitable Grain Production—A Review. Agric. Ecosyst. Environ. 2018, 256, 34–50. [Google Scholar] [CrossRef]
- D’Hose, T.; Molendijk, L.; Van Vooren, L.; van den Berg, W.; Hoek, H.; Runia, W.; van Evert, F.; ten Berge, H.; Spiegel, H.; Sandèn, T.; et al. Responses of Soil Biota to Non-Inversion Tillage and Organic Amendments: An Analysis on European Multiyear Field Experiments. Pedobiologia 2018, 66, 18–28. [Google Scholar] [CrossRef]
- Xian, Y.; Wang, M.; Chen, W. Quantitative Assessment on Soil Enzyme Activities of Heavy Metal Contaminated Soils with Various Soil Properties. Chemosphere 2015, 139, 604–608. [Google Scholar] [CrossRef]
- Abou Jaoude, L.; Castaldi, P.; Nassif, N.; Pinna, M.V.; Garau, G. Biochar and Compost as Gentle Remediation Options for the Recovery of Trace Elements-Contaminated Soils. Sci. Total Environ. 2020, 711, 134511. [Google Scholar] [CrossRef]
- Jia, W.; Wang, B.; Wang, C.; Sun, H. Tourmaline and Biochar for the Remediation of Acid Soil Polluted with Heavy Metals. J. Environ. Chem. Eng. 2017, 5, 2107–2114. [Google Scholar] [CrossRef]
- Song, X.; Li, H.; Song, J.; Chen, W.; Shi, L. Biochar/Vermicompost Promotes Hybrid pennisetum Plant Growth and Soil Enzyme Activity in Saline Soils. Plant Physiol. Biochem. 2022, 183, 96–110. [Google Scholar] [CrossRef]
- Subramaniyan, S.; Prema, P. Biotechnology of Microbial Xylanases: Enzymology, Molecular Biology, and Application. Crit. Rev. Biotechnol. 2002, 22, 33–64. [Google Scholar] [CrossRef] [PubMed]
- de Gonzalo, G.; Colpa, D.I.; Habib, M.H.M.; Fraaije, M.W. Bacterial Enzymes Involved in Lignin Degradation. J. Biotechnol. 2016, 236, 110–119. [Google Scholar] [CrossRef]
- Kinnunen, A.; Maijala, P.; Jarvinen, P.; Hatakka, A. Improved Efficiency in Screening for Lignin-Modifying Peroxidases and Laccases of Basidiomycetes. Curr. Biotechnol. 2017, 6, 105–115. [Google Scholar] [CrossRef]
- Qi, S.; Wang, G.; Li, W.; Zhou, S. Exploring the Competitive Dynamic Enzyme Allocation Scheme through Enzyme Cost Minimization. ISME Commun. 2023, 3, 121. [Google Scholar] [CrossRef]
- Shang, W.; Razavi, B.S.; Yao, S.; Hao, C.; Kuzyakov, Y.; Blagodatskaya, E.; Tian, J. Contrasting Mechanisms of Nutrient Mobilization in Rhizosphere Hotspots Driven by Straw and Biochar Amendment. Soil Biol. Biochem. 2023, 187, 109212. [Google Scholar] [CrossRef]
- Wang, J.; Tu, X.; Zhang, H.; Cui, J.; Ni, K.; Chen, J.; Cheng, Y.; Zhang, J.; Chang, S.X. Effects of Ammonium-Based Nitrogen Addition on Soil Nitrification and Nitrogen Gas Emissions Depend on Fertilizer-Induced Changes in PH in a Tea Plantation Soil. Sci. Total Environ. 2020, 747, 141340. [Google Scholar] [CrossRef] [PubMed]
- Delgado, A.; Gómez, J.A. The Soil: Physical, Chemical, and Biological Properties. In Principles of Agronomy for Sustainable Agriculture; Villalobos, F.J., Fereres, E., Eds.; Springer: Cham, Switzerland, 2024; pp. 15–30. [Google Scholar] [CrossRef]
- Shah, A.; Sultan, H.; Khan, M.N.; Ali, W.; Abbas, H.M.M.; Khan, M.N.; Ye, T.; Nie, L. Iron- and zinc-modified nano-biochar alleviates salinity stress in paddy soil by modulating nutrient availability and microbial communities. Front. Microbiol. 2026, 16, 1729271. [Google Scholar] [CrossRef]
- Fenta, B.A.; Beebe, S.E.; Kunert, K.J.; Burridge, J.D.; Barlow, K.M.; Lynch, J.P.; Foyer, C.H. Field Phenotyping of Soybean Roots for Drought Stress Tolerance. Agronomy 2014, 4, 418–435. [Google Scholar] [CrossRef]
- West, G.; Inzé, D.; Beemster, G.T.S. Cell Cycle Modulation in the Response of the Primary Root of Arabidopsis to Salt Stress. Plant Physiol. 2004, 135, 1050–1058. [Google Scholar] [CrossRef]
- Akhtar, S.S.; Andersen, M.N.; Liu, F. Biochar Mitigates Salinity Stress in Potato. J. Agron. Crop Sci. 2015, 201, 368–378. [Google Scholar] [CrossRef]
- Zhu, Q.H.; Peng, X.H.; Huang, T.Q.; Xie, Z.B.; Holden, N.M. Effect of Biochar Addition on Maize Growth and Nitrogen Use Efficiency in Acidic Red Soils. Pedosphere 2014, 24, 699–708. [Google Scholar] [CrossRef]
- Liang, B.; Lehmann, J.; Solomon, D.; Kinyangi, J.; Grossman, J.; O’Neill, B.; Skjemstad, J.O.; Thies, J.; Luizão, F.J.; Petersen, J.; et al. Black Carbon Increases Cation Exchange Capacity in Soils. Soil Sci. Soc. Am. J. 2006, 70, 1719–1730. [Google Scholar] [CrossRef]
- Soothar, M.K.; Hamani, A.K.M.; Sootahar, M.K.; Sun, J.; Yang, G.; Bhatti, S.M.; Traore, A. Assessment of Acidic Biochar on the Growth, Physiology and Nutrients Uptake of Maize (Zea mays L.) Seedlings under Salinity Stress. Sustainability 2021, 13, 3150. [Google Scholar] [CrossRef]
- Hessini, K.; Issaoui, K.; Ferchichi, S.; Saif, T.; Abdelly, C.; Siddique, K.H.M.; Cruz, C. Interactive Effects of Salinity and Nitrogen Forms on Plant Growth, Photosynthesis and Osmotic Adjustment in Maize. Plant Physiol. Biochem. 2019, 139, 171–178. [Google Scholar] [CrossRef]
- Rahman, M.M.; Mostofa, M.G.; Keya, S.S.; Siddiqui, M.N.; Ansary, M.M.U.; Das, A.K.; Rahman, M.A.; Tran, L.S.P. Adaptive Mechanisms of Halophytes and Their Potential in Improving Salinity Tolerance in Plants. Int. J. Mol. Sci. 2021, 22, 10733. [Google Scholar] [CrossRef]
- Zhao, X.Q.; Shen, R.F. Aluminum–Nitrogen Interactions in the Soil–Plant System. Front. Plant Sci. 2018, 9, 807. [Google Scholar] [CrossRef]
- Papan, P.; Moezzi, A.; Chorom, M.; Rahnama, A. Biochemical and Physiological Response of Quinoa to Application of Different Levels of Nitrogen and Salinity Irrigation Water. Environ. Stress. Crop Sci. 2022, 15, 501–515. [Google Scholar]
- Javed, S.A.; Shahzad, S.M.; Ashraf, M.; Kausar, R.; Arif, M.S.; Albasher, G.; Rizwana, H.; Shakoor, A. Interactive Effect of Different Salinity Sources and Their Formulations on Plant Growth, Ionic Homeostasis and Seed Quality of Maize. Chemosphere 2022, 291, 132678. [Google Scholar] [CrossRef] [PubMed]
- Zhang, M.; Li, J.; Wang, Y.; Yang, C. Impacts of Different Biochar Types on the Anaerobic Digestion of Sewage Sludge. RSC Adv. 2019, 9, 42375–42386. [Google Scholar] [CrossRef]
- Zhang, G.; Bai, J.; Jia, J.; Wang, W.; Wang, X.; Zhao, Q.; Lu, Q. Shifts of Soil Microbial Community Composition along a Short-Term Invasion Chronosequence of Spartina alterniflora in a Chinese Estuary. Sci. Total Environ. 2019, 657, 222–233. [Google Scholar] [CrossRef]
- Zhang, J.; Jin, J.; Wang, M.; Naidu, R.; Liu, Y.; Man, Y.B.; Liang, X.; Wong, M.H.; Christie, P.; Zhang, Y. Co-Pyrolysis of Sewage Sludge and Rice Husk/Bamboo Sawdust for Biochar with High Aromaticity and Low Metal Mobility. Environ. Res. 2020, 191, 110034. [Google Scholar] [CrossRef]
- Zhao, F.; Xu, C.-M.; Zhang, W.-J.; Zhang, X.-F.; Li, F.-B.; Chen, J.-P.; Wang, D.-Y. Effects of Rhizosphere Dissolved Oxygen Content and Nitrogen Form on Root Traits and Nitrogen Accumulation in Rice. Rice Sci. 2011, 18, 304–310. [Google Scholar] [CrossRef]
- Li, W.; Jin, C.; Guan, D.; Wang, Q.; Wang, A.; Yuan, F.; Wu, J. The Effects of Simulated Nitrogen Deposition on Plant Root Traits: A Meta-Analysis. Soil Biol. Biochem. 2015, 82, 112–118. [Google Scholar] [CrossRef]
- Luo, Q.; Hou, D.; Jiang, D.; Chen, W. Bioremediation of Marine Oil Spills by Immobilized Oil-Degrading Bacteria and Nutrition Emulsion. Biodegradation 2021, 32, 165–177. [Google Scholar] [CrossRef] [PubMed]
- Xue, Y.; Su, S.; Wang, X.; Lin, Z. Soil Physical and Chemical Properties of Five Subtropical Forests in Lingao of Hainan. Agric. Sci. Technol. 2017, 18, 1459–1464. [Google Scholar]
- Rathje. Jackson, M.L.: Soil Chemical Analysis. Verlag: Prentice Hall, Inc., Englewood Cliffs, NJ. 1958, 498 S. DM 39.40. Z. Für Pflanzenernährung Düngung Bodenkd 1959, 85, 251–252. [Google Scholar] [CrossRef]
- Ippolito, J.A.; Laird, D.A.; Busscher, W.J. Environmental Benefits of Biochar. J. Environ. Qual. 2012. [Google Scholar] [CrossRef] [PubMed]
- Chen, G.X.; Asada, K. Inactivation of Ascorbate Peroxidase by Thiols Requires Hydrogen Peroxide. Plant Cell Physiol. 1992, 33, 117–123. [Google Scholar] [CrossRef]
- Günal, E.; Erdem, H.; Demirbaş, A. Effects of Three Biochar Types on Activity of β-Glucosidase Enzyme in Two Agricultural Soils of Different Textures. Arch. Agron. Soil Sci. 2018, 64, 1963–1974. [Google Scholar] [CrossRef]
- FAO. The Euphrates Pilot Irrigation Project. In Methods of Soil Analysis; Gadeb Soil Laboratory (a Laboratory Manual); FAO: Rome, Italy, 1974. [Google Scholar]
- Walkley, A. A Critical Examination of a Rapid Method for Determining Organic Carbon in Soils—Effect of Variations in Digestion Conditions and of Inorganic Soil Constituents. Soil Sci. 1947, 63, 251–264. [Google Scholar] [CrossRef]
- Maynard, D.G.; Kalra, Y.P.; Crumbaugh, J.A. Nitrate and Exchangeable Ammonium Nitrogen. Soil Sampl. Methods Anal. 1993, 1, 25–38. [Google Scholar]
- Chen, G.; Taherymoosavi, S.; Cheong, S.; Yin, Y.; Akter, R.; Marjo, C.E.; Rich, A.M.; Mitchell, D.R.G.; Fan, X.; Chew, J.; et al. Advanced Characterization of Biomineralization at Plaque Layer and inside Rice Roots Amended with Iron- and Silica-Enhanced Biochar. Sci. Rep. 2021, 11, 159. [Google Scholar] [CrossRef]









| Treatment | Salt Levels | Treatment Name | Application Rates |
|---|---|---|---|
| T1 | 0% | N60 | Nitrogen (60 kg ha−1) |
| 0.40% | N60 | Nitrogen (60 kg ha−1) | |
| T2 | 0% | N120 | Nitrogen (120 kg ha−1) |
| 0.40% | N120 | Nitrogen (120 kg ha−1) | |
| T3 | 0% | BC | Simple Rice Straw Biochar (20 t/ha) |
| 0.40% | BC | Simple Rice Straw Biochar (20 t/ha) | |
| T4 | 0% | BF | Fungal-Inoculated Biochar (20 t/ha) |
| 0.40% | BF | Fungal-Inoculated Biochar (20 t/ha) | |
| T5 | 0% | BB | Bacterial-Inoculated Biochar (20 t/ha) |
| 0.40% | BB | Bacterial-Inoculated Biochar (20 t/ha) | |
| T6 | 0% | BC+N60 | Simple Rice Straw Biochar (20 t/ha) + Nitrogen (60 kg ha−1) |
| 0.40% | BC+N60 | Simple Rice Straw Biochar (20 t/ha) + Nitrogen (60 kg ha−1) | |
| T7 | 0% | BC+N120 | Simple Rice Straw Biochar (20 t/ha) + Nitrogen (120 kg ha−1) |
| 0.40% | BC+N120 | Simple Rice Straw Biochar (20 t/ha) + Nitrogen (120 kg ha−1) | |
| T8 | 0% | BF+N60 | Fungal-Inoculated Biochar (20 t/ha) + Nitrogen (60 kg ha−1) |
| 0.40% | BF+N60 | Fungal-Inoculated Biochar (20 t/ha) + Nitrogen (60 kg ha−1) | |
| T9 | 0% | BF+N120 | Fungal-Inoculated Biochar (20 t/ha) + Nitrogen (120 kg ha−1) |
| 0.40% | BF+N120 | Fungal-Inoculated Biochar (20 t/ha) + Nitrogen (120 kg ha−1) | |
| T10 | 0% | BB+N60 | Bacterial-Inoculated Biochar (20 t/ha) + Nitrogen (60 kg ha−1) |
| 0.40% | BB+N60 | Bacterial-Inoculated Biochar (20 t/ha) + Nitrogen (60 kg ha−1) | |
| T11 | 0% | BB+N120 | Bacterial-Inoculated Biochar (20 t/ha) + Nitrogen (120 kg ha−1) |
| 0.40% | BB+N120 | Bacterial-Inoculated Biochar (20 t/ha) + Nitrogen @ 120 kg ha−1 | |
| T12 | 0% | BFB+N60 | Bacterial–Fungal-Inoculated Biochar (20 t/ha) + Nitrogen (60 kg ha−1) |
| 0.40% | BFB+N60 | Bacterial–Fungal-Inoculated Biochar (20 t/ha) + Nitrogen (60 kg ha−1) | |
| T13 | 0% | BFB+N120 | Bacterial–Fungal-Inoculated Biochar (20 t/ha) + Nitrogen (120 kg ha−1) |
| 0.40% | BFB+N120 | Bacterial–Fungal-Inoculated Biochar (20 t/ha) + Nitrogen (120 kg ha−1) |
| Total Nutrient Content (g/kg) | Available Nutrient Content (mg/kg) | ||||||||||
|---|---|---|---|---|---|---|---|---|---|---|---|
| pH | OM | TN | TP | TK | Moisture Content % | CEC cmol (+)/kg | EC (µs/cm) | AP | AK | Nitrate (N) | Ammonium (N) |
| 6.51 | 1.05 | 0.13 | 0.21 | 0.65 | 2.57 | 2.14 | 267 | 4.49 | 27.35 | 0.95 | 1.87 |
| pH | 9 |
| CEC cmol (+) kg−1 | 140 |
| Total carbon | 80 |
| Nitrogen | 2.45 |
| Oxygen | 1 |
| Phosphorus | 0.09 |
| Potassium | 0.14 |
| Treatment | Salt Levels | Treatment Name | Application Rates |
|---|---|---|---|
| T2 | 0% | N120 | Nitrogen (120 kg ha−1) |
| 0.40% | N120 | Nitrogen (120 kg ha−1) | |
| T3 | 0% | BC | Simple Rice Straw Biochar (20 t/ha) |
| 0.40% | BC | Simple Rice Straw Biochar (20 t/ha) | |
| T9 | 0% | BF+N120 | Fungal-Inoculated Biochar (20 t/ha) + Nitrogen (120 kg ha−1) |
| 0.40% | BB+N120 | Bacterial-Inoculated Biochar (20 t/ha) + Nitrogen (120 kg ha−1) | |
| T11 | 0% | BB+N120 | Bacterial-Inoculated Biochar (20 t/ha) + Nitrogen (120 kg ha−1) |
| 0.40% | BF+N120 | Fungal-Inoculated Biochar (20 t/ha) + Nitrogen (120 kg ha−1) | |
| T13 | 0% | BFB+N120 | Bacterial–Fungal-Inoculated Biochar (20 t/ha) + Nitrogen (120 kg ha−1) |
| 0.40% | BFB+N120 | Bacterial–Fungal-Inoculated Biochar (20 t/ha) + Nitrogen (120 kg ha−1) |
Disclaimer/Publisher’s Note: The statements, opinions and data contained in all publications are solely those of the individual author(s) and contributor(s) and not of MDPI and/or the editor(s). MDPI and/or the editor(s) disclaim responsibility for any injury to people or property resulting from any ideas, methods, instructions or products referred to in the content. |
© 2026 by the authors. Licensee MDPI, Basel, Switzerland. This article is an open access article distributed under the terms and conditions of the Creative Commons Attribution (CC BY) license.
Share and Cite
Abbas, H.M.M.; Li, S.; Zhou, W.; Sultan, H.; Khan, M.N.; Shah, A.; Tahir, A.; Iltaf, H.; Mu, Y.; Nie, L. Improving Rice Root Development and Soil Health in Saline Soils: A Biochar and Microbial-Inoculated Biochar with Nitrogen Approach. Plants 2026, 15, 986. https://doi.org/10.3390/plants15060986
Abbas HMM, Li S, Zhou W, Sultan H, Khan MN, Shah A, Tahir A, Iltaf H, Mu Y, Nie L. Improving Rice Root Development and Soil Health in Saline Soils: A Biochar and Microbial-Inoculated Biochar with Nitrogen Approach. Plants. 2026; 15(6):986. https://doi.org/10.3390/plants15060986
Chicago/Turabian StyleAbbas, Hafiz Muhammad Mazhar, Song Li, Wentao Zhou, Haider Sultan, Mohammad Nauman Khan, Asad Shah, Ashar Tahir, Hamza Iltaf, Yixue Mu, and Lixiao Nie. 2026. "Improving Rice Root Development and Soil Health in Saline Soils: A Biochar and Microbial-Inoculated Biochar with Nitrogen Approach" Plants 15, no. 6: 986. https://doi.org/10.3390/plants15060986
APA StyleAbbas, H. M. M., Li, S., Zhou, W., Sultan, H., Khan, M. N., Shah, A., Tahir, A., Iltaf, H., Mu, Y., & Nie, L. (2026). Improving Rice Root Development and Soil Health in Saline Soils: A Biochar and Microbial-Inoculated Biochar with Nitrogen Approach. Plants, 15(6), 986. https://doi.org/10.3390/plants15060986

