Olive Tree (Olea europaea) Biochar Differentially Affects N2O and CO2 Emissions in Neutral and Alkaline Olive Orchard Soils
Abstract
1. Introduction
2. Materials and Methods
2.1. Sampling Location and Soil Properties
2.2. Biochar Preparation and Properties
2.3. Soil Mesocosms and Analytical Techniques
2.4. Statistical Analyses
3. Results and Discussion
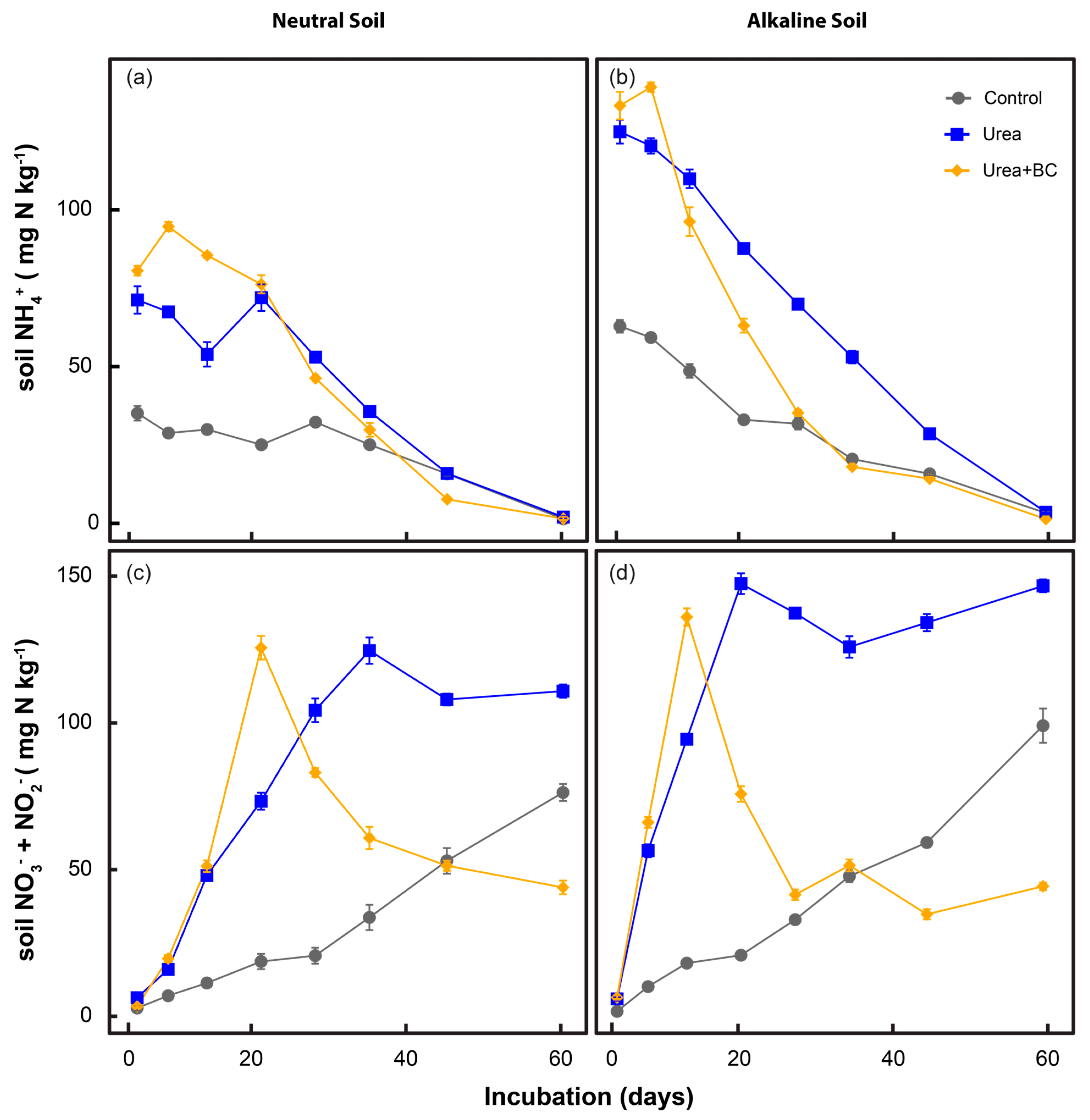
3.1. Temporal Nitrogen Kinetics and Soil Nitrogen Availability
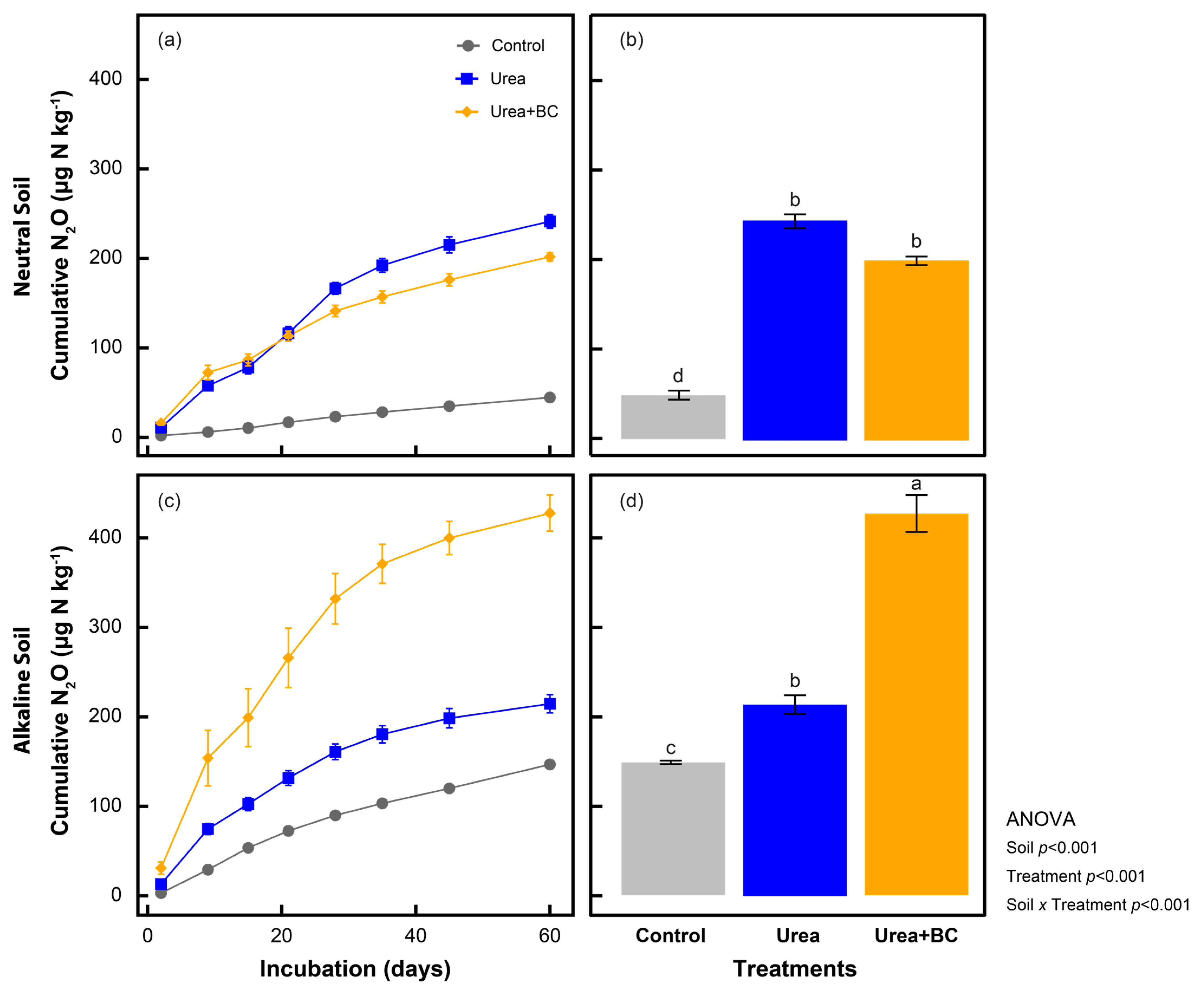
3.2. Temporal Patterns of Soil CO2 and N2O Flux Emissions
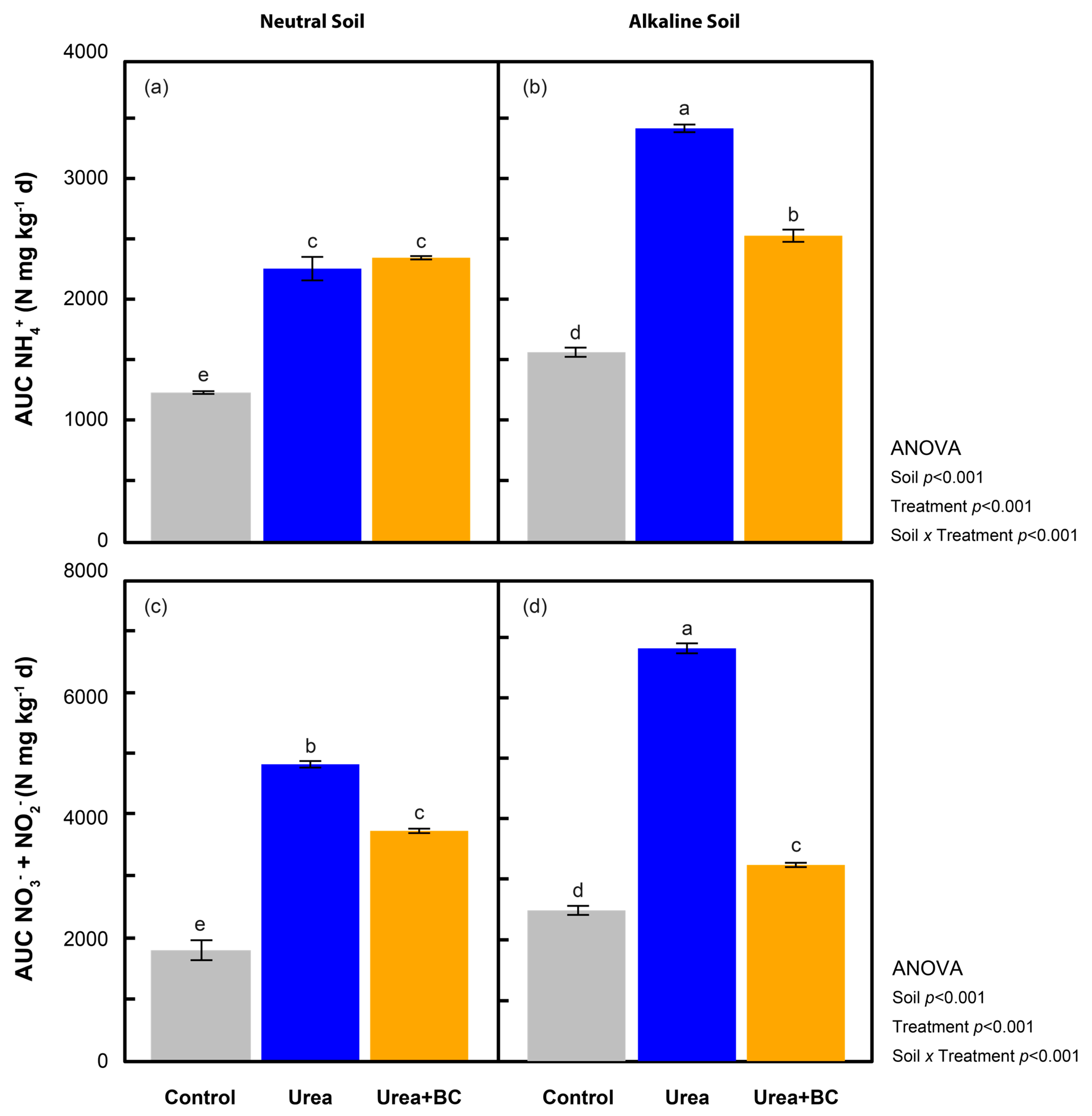
3.3. Complex Effects on Cumulative CO2 and N2O Soil Emissions
3.4. Synthesis: Soil pH as a Critical Modulator
3.5. Challenges and Implications for Wider Adoption in Olive Orchard Agroecosystems
4. Conclusions
Supplementary Materials
Author Contributions
Funding
Data Availability Statement
Acknowledgments
Conflicts of Interest
References
- Palli, J.; Fiolna, S.; Bini, M.; Cappella, F.; Izdebski, A.; Masi, A.; Mensing, S.; Nigro, L.; Piovesan, G.; Sadori, L.; et al. The human-driven ecological success of olive trees over the last 3700 years in the Central Mediterranean. Quat. Sci. Rev. 2025, 356, 109313. [Google Scholar] [CrossRef]
- Russo, C.; Cappelletti, G.M.; Nicoletti, G.M.; Di Noia, A.E.; Michalopoulos, G. Comparison of European Olive Production Systems. Sustainability 2016, 8, 825. [Google Scholar] [CrossRef]
- Connor, D.J.; Gómez-del-Campo, M.; Rousseaux, M.C.; Searles, P.S. Structure, management and productivity of hedgerow olive orchards: A review. Sci. Hortic. 2014, 169, 71–93. [Google Scholar] [CrossRef]
- Haberman, A.; Dag, A.; Shtern, N.; Zipori, I.; Erel, R.; Ben-Gal, A.; Yermiyahu, U. Significance of proper nitrogen fertilization for olive productivity in intensive cultivation. Sci. Hortic. 2019, 246, 710–717. [Google Scholar] [CrossRef]
- Fernandez-Lobato, L.; Garcia-Ruiz, R.; Jurado, F.; Vera, D. Life cycle assessment, C footprint and carbon balance of virgin olive oils production from traditional and intensive olive groves in southern Spain. J. Environ. Manag. 2021, 293, 112951. [Google Scholar] [CrossRef]
- Fernández-Escobar, R.; García-Novelo, J.M.; Molina-Soria, C.; Parra, M.A. An approach to nitrogen balance in olive orchards. Sci. Hortic. 2012, 135, 219–226. [Google Scholar] [CrossRef]
- Kavvadias, V.; Papadopoulou, M.; Vavoulidou, E.; Theocharopoulos, S.; Koubouris, G.; Psarras, G.; Manolaraki, C.; Giakoumaki, G.; Vasiliadis, A. Effect of sustainable management of olive tree residues on soil fertility in irrigated and rain-fed olive orchards. J. Water Clim. Chang. 2018, 9, 764–774. [Google Scholar] [CrossRef]
- Gómez-Muñoz, B.; Valero-Valenzuela, J.D.; Hinojosa, M.B.; García-Ruiz, R. Management of tree pruning residues to improve soil organic carbon in olive groves. Eur. J. Soil. Biol. 2016, 74, 104–113. [Google Scholar] [CrossRef]
- Kostenidou, E.; Kaltsonoudis, C.; Tsiflikiotou, M.; Louvaris, E.; Russell, L.M.; Pandis, S.N. Burning of olive tree branches: A major organic aerosol source in the Mediterranean. Atmos. Chem. Phys. 2013, 13, 8797–8811. [Google Scholar] [CrossRef]
- Repullo, M.A.; Carbonell, R.; Hidalgo, J.; Rodríguez-Lizana, A.; Ordóñez, R. Using olive pruning residues to cover soil and improve fertility. Soil. Tillage Res. 2012, 124, 36–46. [Google Scholar] [CrossRef]
- Montanaro, G.; Tuzio, A.C.; Xylogiannis, E.; Kolimenakis, A.; Dichio, B. Carbon budget in a Mediterranean peach orchard under different management practices. Agric. Ecosyst. Environ. 2017, 238, 104–113. [Google Scholar] [CrossRef]
- Domouso, P.; Pareja-Sánchez, E.; Calero, J.; García-Ruiz, R. Carbon and Nitrogen mineralization of common organic amendments in olive grove soils. Agriculture 2024, 14, 1923. [Google Scholar] [CrossRef]
- Carus, M.; Dammer, L. The “Circular Bioeconomy”—Concepts, Opportunities and Limitations; NOVA-Institut GmbH: Hürth, Germany, 2018. [Google Scholar]
- Wang, D.; Jiang, P.; Zhang, H.; Yuan, W. Biochar production and applications in agro and forestry systems: A review. Sci. Total Environ. 2020, 723, 137775. [Google Scholar] [CrossRef]
- Cornelissen, G.; Pandit, N.R.; Taylor, P.; Pandit, B.H.; Sparrevik, M.; Schmidt, H.P. Emissions and char quality of flame-curtain “kon tiki” kilns for farmer-scale charcoal/biochar production. PLoS ONE 2016, 11, e0154617. [Google Scholar] [CrossRef]
- Kalderis, D.; Tsuchiya, S.; Phillipou, K.; Paschalidou, P.; Pashalidis, I.; Tashima, D.; Tsubota, T. Utilization of pine tree biochar produced by flame-curtain pyrolysis in two non-agricultural applications. Bioresour. Technol. Rep. 2020, 9, 100384. [Google Scholar] [CrossRef]
- Tsubota, T.; Tsuchiya, S.; Kusumoto, T.; Kalderis, D. Assessment of biochar produced by flame-curtain pyrolysis as a precursor for the development of an efficient electric double-layer capacitor. Energies 2021, 14, 7671. [Google Scholar]
- Fraga, H.; Moriondo, M.; Leolini, L.; Santos, J.A. Mediterranean olive orchards under climate change: A review of future impacts and adaptation strategies. Agronomy 2020, 11, 56. [Google Scholar] [CrossRef]
- Agegnehu, G.; Bass, A.M.; Nelson, P.N.; Bird, M.I. Benefits of biochar, compost and biochar–compost for soil quality, maize yield and greenhouse gas emissions in a tropical agricultural soil. Sci. Total Environ. 2016, 543, 295–306. [Google Scholar] [CrossRef]
- Jeffery, S.; Verheijen, F.G.A.; van der Velde, M.; Bastos, A.C. A quantitative review of the effects of biochar application to soils on crop productivity using meta-analysis. Agric. Ecosyst. Environ. 2011, 144, 175–187. [Google Scholar] [CrossRef]
- Zhang, Q.; Xiao, J.; Xue, J.; Zhang, L. Quantifying the effects of biochar application on greenhouse gas emissions from agricultural soils: A global meta-analysis. Sustainability 2020, 12, 3436. [Google Scholar] [CrossRef]
- Wang, S.; Zhao, H.; Liu, J.; Wang, X.; Li, J.; Shi, E.; Wang, C.; Yang, J.; Zhang, Z. A study on and adsorption mechanism of ammonium nitrogen by modified corn straw biochar. R. Soc. Open Sci. 2023, 10, 221535. [Google Scholar] [CrossRef]
- Zhang, M.; Song, G.; Gelardi, D.L.; Huang, L.; Khan, E.; Mašek, O.; Parikh, S.J.; Ok, Y.S. Evaluating biochar and its modifications for the removal of ammonium, nitrate, and phosphate in water. Water Res. 2020, 186, 116303. [Google Scholar] [CrossRef]
- Zhao, H.; Xue, Y.; Long, L.; Hu, X. Adsorption of nitrate onto biochar derived from agricultural residuals. Water Sci. Technol. 2017, 77, 548–554. [Google Scholar] [CrossRef]
- Fornes, F.; Lidón, A.; Belda, R.M.; Macan, G.P.F.; Cayuela, M.L.; Sánchez-García, M.; Sánchez-Monedero, M.A. Soil fertility and plant nutrition in an organic olive orchard after 5 years of amendment with compost, biochar or their blend. Sci. Rep. 2024, 14, 16606. [Google Scholar] [CrossRef]
- Boussadia, O.; Mariem, F.B.; Mechri, B.; Boussetta, W.; Braham, M.; Hadj, S.B.E. Response to drought of two olive tree cultivars (cv Koroneki and Meski). Sci. Hortic. 2008, 116, 388–393. [Google Scholar] [CrossRef]
- Crespo-Barreiro, A.; Mazuecos-Aguilera, I.; Anta-Fernández, F.; Cara-Jiménez, J.; González-Andrés, F. Enhancing drought resistance in olive trees: Understanding the synergistic effects of the combination of PGPR and biochar. J. Plant Growth Regul. 2025, 44, 4383–4395. [Google Scholar] [CrossRef]
- De la Rosa, J.M.; Campos, P.; Diaz-Espejo, A. Soil biochar application: Assessment of the effects on soil water properties, plant physiological status, and yield of super-intensive olive groves under controlled irrigation conditions. Agronomy 2022, 12, 2321. [Google Scholar] [CrossRef]
- Butterbach-Bahl, K.; Baggs, E.M.; Dannenmann, M.; Kiese, R.; Zechmeister-Boltenstern, S. Nitrous oxide emissions from soils: How well do we understand the processes and their controls? Philos. Trans. R. Soc. Lond. B Biol. Sci. 2013, 368, 20130122. [Google Scholar] [CrossRef]
- Vilarrasa-Nogué, M.; Teira-Esmatges, M.R.; Villar, J.M.; Rufat, J. Effect of N dose on soil GHG emissions from a drip-fertigated olive (Olea europaea L.) orchard. Sci. Total Environ. 2019, 677, 350–361. [Google Scholar] [CrossRef]
- Maris, S.C.; Teira-Esmatges, M.R.; Arbonés, A.; Rufat, J. Effect of irrigation, nitrogen application, and a nitrification inhibitor on nitrous oxide, carbon dioxide and methane emissions from an olive (Olea europaea L.) orchard. Sci. Total Environ. 2015, 538, 966–978. [Google Scholar] [CrossRef]
- Aguilera, E.; Sanz-Cobena, A.; Infante-Amate, J.; García-Ruiz, R.; Vila-Traver, J.; Guzmán, G.; de Molina, M.G.; Rodríguez, A.; Piñero, P.; Lassaletta, L. Long-term trajectories of the C footprint of N fertilization in Mediterranean agriculture (Spain, 1860–2018). Environ. Res. Lett. 2021, 16, 085010. [Google Scholar] [CrossRef]
- Xiao, Z.; Rasmann, S.; Yue, L.; Lian, F.; Zou, H.; Wang, Z. The effect of biochar amendment on N-cycling genes in soils: A meta-analysis. Sci. Total Environ. 2019, 696, 133984. [Google Scholar] [CrossRef]
- Obia, A.; Cornelissen, G.; Mulder, J.; Dörsch, P. Effect of soil pH increase by biochar on NO, N2O and N2 production during denitrification in acid soils. PLoS ONE 2015, 10, e0138781. [Google Scholar] [CrossRef]
- Baggs, E.M.; Smales, C.L.; Bateman, E.J. Changing pH shifts the microbial sourceas well as the magnitude of N2O emission from soil. Biol. Fertil. Soils 2010, 46, 793–805. [Google Scholar] [CrossRef]
- Wu, D.; Senbayram, M.; Zang, H.; Ugurlar, F.; Aydemir, S.; Brüggemann, N.; Kuzyakov, Y.; Bol, R.; Blagodatskaya, E. Effect of biochar origin and soil pH on greenhouse gas emissions from sandy and clay soils. Appl. Soil. Ecol. 2018, 129, 121–127. [Google Scholar] [CrossRef]
- Cayuela, M.L.; Spott, O.; Pascual, M.B.; Sánchez-García, M.; Sánchez-Monedero, M.A. Key biochar properties linked to denitrification products in a calcareous soil. Biochar 2024, 6, 90. [Google Scholar] [CrossRef]
- Cayuela, M.L.; Sánchez-Monedero, M.A.; Roig, A.; Hanley, K.; Enders, A.; Lehmann, J. Biochar and denitrification in soils: When, how much and why does biochar reduce N2O emissions? Sci. Rep. 2013, 3, 1732. [Google Scholar] [CrossRef]
- Cayuela, M.L.; van Zwieten, L.; Singh, B.P.; Jeffery, S.; Roig, A.; Sánchez-Monedero, M.A. Biochar’s role in mitigating soil nitrous oxide emissions: A review and meta-analysis. Agric. Ecosyst. Environ. 2014, 191, 5–16. [Google Scholar] [CrossRef]
- Chen, H.; Zhou, H.; Sun, Y.; Liu, X.; Wu, Q.; Chi, D. Nitrogen-loaded biochar for environmental management: Enhancing nitrogen utilization balance in farmland, mitigating ammonia volatilization, and improving fertilizer efficiency. Environ. Technol. Innov. 2025, 37, 104006. [Google Scholar] [CrossRef]
- Bouwman, A.F.; Boumans, L.J.M.; Batjes, N.H. Emissions of N2O and NO from fertilized fields: Summary of available measurement data. Glob. Biogeochem. Cycles 2002, 16, 1058. [Google Scholar] [CrossRef]
- Giannopoulos, G.; Elsgaard, L.; Tzanakakis, V.A.; Franklin, R.B.; Brown, B.L.; Zanakis, G.; Monokrousos, N.; Anastopoulos, I.; Awad, M.; Ipsilantis, I.; et al. Impact of nitrapyrin on urea-based fertilizers in a Mediterranean calcareous soil: Nitrogen and microbial dynamics. Eur. J. Soil. Sci. 2024, 75, e13553. [Google Scholar] [CrossRef]
- Thies, S.; Joshi, D.R.; Bruggeman, S.A.; Clay, S.A.; Mishra, U.; Morile-Miller, J.; Clay, D.E. Fertilizer timing affects nitrous oxide, carbon dioxide, and ammonia emissions from soil. Soil Sci. Soc. Am. J. 2020, 84, 115–130. [Google Scholar] [CrossRef]
- Venterea, R.T.; Rolston, D.E. Nitric and nitrous oxide emissions following fertilizer application to agricultural soil: Biotic and abiotic mechanisms and kinetics. J. Geophys. Res. Atmos. 2000, 105, 15117–15129. [Google Scholar] [CrossRef]
- Giannopoulos, G.; Tzanakakis, V.A.; Duelli, G.; Anastopoulos, I.; Aschonitis, V.G.; Arampatzis, G.; Barouchas, P.E. Municipal sewage sludge treatment and soil pH conclusively affect the nitrogen dynamics of amended soils. Environ. Adv. 2025, 19, 100618. [Google Scholar] [CrossRef]
- Teutscherova, N.; Houška, J.; Navas, M.; Masaguer, A.; Benito, M.; Vazquez, E. Leaching of ammonium and nitrate from Acrisol and Calcisol amended with holm oak biochar: A column study. Geoderma 2018, 323, 136–145. [Google Scholar] [CrossRef]
- Di, H.J.; Cameron, K.C. Nitrate leaching in temperate agroecosystems: Sources, factors and mitigating strategies. Nutr. Cycl. Agroecosystems 2002, 64, 237–256. [Google Scholar] [CrossRef]
- Davidson, E.A.; Keller, M.; Erickson, H.E.; Verchot, L.V.; Veldkamp, E. Testing a conceptual model of soil emissions of nitrous and nitric oxides: Using two functions based on soil nitrogen availability and soil water content, the hole-in-the-pipe model characterizes a large fraction of the observed variation of nitric oxide and nitrous oxide emissions from soils. BioScience 2000, 50, 667–680. [Google Scholar] [CrossRef]
- Clough, T.; Condron, L.; Kammann, C.; Müller, C. A Review of biochar and soil nitrogen dynamics. Agronomy 2013, 3, 275–293. [Google Scholar] [CrossRef]
- Kameyama, K.; Miyamoto, T.; Iwata, Y.; Shiono, T. Influences of feedstock and pyrolysis temperature on the nitrate adsorption of biochar. Soil. Sci. Plant Nutr. 2016, 62, 180–184. [Google Scholar] [CrossRef]
- Aghoghovwia, M.P.; Hardie, A.G.; Rozanov, A.B. Characterisation, adsorption and desorption of ammonium and nitrate of biochar derived from different feedstocks. Environ. Technol. 2022, 43, 774–787. [Google Scholar] [CrossRef] [PubMed]
- Lehmann, J.; Joseph, S. Biochar for Environmental Management: Science, Technology and Implementation, 2nd ed.; Routledge: London, UK, 2015. [Google Scholar]
- Zheng, H.; Wang, Z.; Deng, X.; Herbert, S.; Xing, B. Impacts of adding biochar on nitrogen retention and bioavailability in agricultural soil. Geoderma 2013, 206, 32–39. [Google Scholar] [CrossRef]
- Kaiser, K.; Wemheuer, B.; Korolkow, V.; Wemheuer, F.; Nacke, H.; Schöning, I.; Schrumpf, M.; Daniel, R. Driving forces of soil bacterial community structure, diversity, and function in temperate grasslands and forests. Sci. Rep. 2016, 6, 33696. [Google Scholar] [CrossRef]
- Glassman, S.I.; Wang, I.J.; Bruns, T.D. Environmental filtering by pH and soil nutrients drives community assembly in fungi at fine spatial scales. Mol. Ecol. 2017, 26, 6960–6973. [Google Scholar] [CrossRef]
- Teutscherova, N.; Lojka, B.; Houška, J.; Masaguer, A.; Benito, M.; Vazquez, E. Application of holm oak biochar alters dynamics of enzymatic and microbial activity in two contrasting Mediterranean soils. Eur. J. Soil. Biol. 2018, 88, 15–26. [Google Scholar] [CrossRef]
- Ventura, M.; Sorrenti, G.; Panzacchi, P.; George, E.; Tonon, G. Biochar Reduces Short-Term Nitrate Leaching from A Horizon in an Apple Orchard. J. Environ. Qual. 2013, 42, 76–82. [Google Scholar] [CrossRef]
- Martos, S.; Mattana, S.; Ribas, A.; Albanell, E.; Domene, X. Biochar application as a win-win strategy to mitigate soil nitrate pollution without compromising crop yields: A case study in a Mediterranean calcareous soil. J. Soils Sediments 2020, 20, 220–233. [Google Scholar] [CrossRef]
- Neina, D. The role of soil pH in plant nutrition and soil remediation. Appl. Environ. Soil Sci. 2019, 2019, 5794869. [Google Scholar] [CrossRef]
- Rashid, M.; Hussain, Q.; Khan, K.S.; Alvi, S.; Abro, S.A.; Akmal, M.; Ijaz, S.S.; Umer, M.; Qureshi, A.A.; Elshikh, M.S.; et al. De-ashed-biochar slow-release N fertilizer increased NUE in alkaline calcareous soils under wheat and maize crops. Sci. Rep. 2025, 15, 7748. [Google Scholar] [CrossRef]
- Zang, H.; Wang, J.; Kuzyakov, Y. N fertilization decreases soil organic matter decomposition in the rhizosphere. Appl. Soil Ecol. 2016, 108, 47–53. [Google Scholar] [CrossRef]
- Duan, T.; Zhao, J.; Zhu, L. Insights into CO2 and N2O emissions driven by applying biochar and nitrogen fertilizers in upland soil. Sci. Total Environ. 2024, 929, 172439. [Google Scholar] [CrossRef]
- Smith, K.A.; Dobbie, K.E.; Thorman, R.; Watson, C.J.; Chadwick, D.R.; Yamulki, S.; Ball, B.C. The effect of N fertilizer forms on nitrous oxide emissions from UK arable land and grassland. Nutr. Cycl. Agroecosyst. 2012, 93, 127–149. [Google Scholar] [CrossRef]
- Tzanakakis, V.A.; Apostolakis, A.; Nikolaidis, N.P.; Paranychianakis, N.V. Ammonia oxidizing archaea do not respond to ammonium or urea supply in an alkaline soil. Appl. Soil. Ecol. 2018, 132, 194–198. [Google Scholar] [CrossRef]
- Tzanakakis, V.A.; Taylor, A.E.; Bakken, L.R.; Bottomley, P.J.; Myrold, D.D.; Dörsch, P. Relative activity of ammonia oxidizing archaea and bacteria determine nitrification-dependent N2O emissions in Oregon forest soils. Soil. Biol. Biochem. 2019, 139, 107612. [Google Scholar] [CrossRef]
- Hink, L.; Nicol, G.W.; Prosser, J.I. Archaea produce lower yields of N2O than bacteria during aerobic ammonia oxidation in soil. Environ. Microbiol. 2016, 19, 4829–4837. [Google Scholar] [CrossRef] [PubMed]
- Hink, L.; Gubry-Rangin, C.; Nicol, G.W.; Prosser, J.I. The consequences of niche and physiological differentiation of archaeal and bacterial ammonia oxidisers for nitrous oxide emissions. ISME J. 2018, 12, 1084–1093. [Google Scholar] [CrossRef] [PubMed]
- Norton, J.; Ouyang, Y. Controls and adaptive management of nitrification in agricultural soils. Front. Microbiol. 2019, 10, 1931. [Google Scholar] [CrossRef]
- Schmidt, H.P.; Bucheli, T.; Kammann, C.; Glaser, B.; Abiven, S.; Leifeld, J.; Soja, G.; Hagemann, N. European Biochar Certificate—Guidelines for a Sustainable Production of Biochar; Carbon Standards International (CSI): Frick, Switzerland, 2025. [Google Scholar]




| Soil Property (Units) | Neutral Soil | Alkaline Soil |
|---|---|---|
| Region | Chania, Greece | Thessaloniki, Greece |
| Texture | Sandy Loam | Loam |
| Sand (%) | 77 ± 1.8 | 34 ± 1 |
| Silt (%) | 13 ± 1.8 | 45 ± 1 |
| Clay (%) | 10 ± 0.7 | 21 ± 1 |
| pH 1:10 | 6.4 ± 0.2 | 8.2 ± 0.2 |
| EC (μS cm−1) | 450 ± 10.0 | 965 ± 15 |
| CaCO3 (%) | 0.2 ± 0.0 | 5.2 ± 0.5 |
| Soil organic matter (SOM; %) | 5.4 ± 0.1 | 3.2 ± 0.1 |
| total N (mg kg−1) | 1.8 ± 0.1 | 0.2 ± 0.05 |
| NH4+ (mg kg−1) | 26.5 ± 2.5 | 18.3 ± 1.5 |
| NO3− (mg kg−1) | 85.7 ± 5 | 65.5 ± 4 |
| NO2− (mg kg−1) | 2.1 ± 0.5 | 1.5± 0.5 |
| P (mg kg−1) | 24.1 ± 3 | 17.5 ± 2 |
| K (mg kg−1) | 132 ± 12 | 120 ± 15 |
| Cation Exchange Capacity (CEC; cmol kg−1) | 12 ± 0.6 | 22.4 ± 0.5 |
| Biochar Property (Units) | Value |
|---|---|
| Feedstock | Olive tree pruning without leaves |
| Pyrolysis Type | flame-curtain (open-flame) pyrolysis |
| Pyrolysis Temperature (°C) | 540 ± 50 |
| C (%) | 79.2 |
| N (%) | 0.4 |
| H (%) | 1.9 |
| O (%) | 18.5 |
| pH | 9.3 |
| Ash content (%) | 36 |
| Bulk density (g cm−3) | 0.54 |
| P (mg kg−1) | 22.6 |
| K (mg kg−1) | 28.8 |
| Na (mg kg−1) | 3.7 |
| Ca (mg kg−1) | 8.9 |
| Mg (mg kg−1) | 3.4 |
| Cation Exchange Capacity (CEC; cmol kg−1) | 5 |
| Polycyclic Aromatic Hydrocarbons (PAHs; mg kg−1) | <6 |
| Soil | Treatment | Description |
|---|---|---|
| Neutral | Control | Unamended soil (400 g) |
| Urea | Soil (400 g) amended with urea-N at 55 mg N kg−1 | |
| Urea + BC | Soil (400 g) amended with urea-N at 55 mg N kg−1 and 5% biochar (20 g). | |
| Alkaline | Control | Unamended soil (400 g) |
| Urea | Soil (400 g) amended with urea-N at 55 mg N kg−1 | |
| Urea + BC | Soil (400 g) amended with urea-N at 55 mg N kg−1 and 5% biochar (20 g). |
Disclaimer/Publisher’s Note: The statements, opinions and data contained in all publications are solely those of the individual author(s) and contributor(s) and not of MDPI and/or the editor(s). MDPI and/or the editor(s) disclaim responsibility for any injury to people or property resulting from any ideas, methods, instructions or products referred to in the content. |
© 2026 by the authors. Licensee MDPI, Basel, Switzerland. This article is an open access article distributed under the terms and conditions of the Creative Commons Attribution (CC BY) license.
Share and Cite
Giannopoulos, G.; Anastopoulos, I.; Tzanakakis, V.A.; Vázquez, E.; Barouchas, P.E.; Boos, A.; Kalderis, D.; Sgouridis, F.; Aschonitis, V.; Arampatzis, G. Olive Tree (Olea europaea) Biochar Differentially Affects N2O and CO2 Emissions in Neutral and Alkaline Olive Orchard Soils. Nitrogen 2026, 7, 35. https://doi.org/10.3390/nitrogen7020035
Giannopoulos G, Anastopoulos I, Tzanakakis VA, Vázquez E, Barouchas PE, Boos A, Kalderis D, Sgouridis F, Aschonitis V, Arampatzis G. Olive Tree (Olea europaea) Biochar Differentially Affects N2O and CO2 Emissions in Neutral and Alkaline Olive Orchard Soils. Nitrogen. 2026; 7(2):35. https://doi.org/10.3390/nitrogen7020035
Chicago/Turabian StyleGiannopoulos, Georgios, Ioannis Anastopoulos, Vasileios A. Tzanakakis, Eduardo Vázquez, Pantelis E. Barouchas, Anne Boos, Dimitrios Kalderis, Fotis Sgouridis, Vassilis Aschonitis, and George Arampatzis. 2026. "Olive Tree (Olea europaea) Biochar Differentially Affects N2O and CO2 Emissions in Neutral and Alkaline Olive Orchard Soils" Nitrogen 7, no. 2: 35. https://doi.org/10.3390/nitrogen7020035
APA StyleGiannopoulos, G., Anastopoulos, I., Tzanakakis, V. A., Vázquez, E., Barouchas, P. E., Boos, A., Kalderis, D., Sgouridis, F., Aschonitis, V., & Arampatzis, G. (2026). Olive Tree (Olea europaea) Biochar Differentially Affects N2O and CO2 Emissions in Neutral and Alkaline Olive Orchard Soils. Nitrogen, 7(2), 35. https://doi.org/10.3390/nitrogen7020035

