Dynamics of Soil Organic Carbon and Nitrogen Fractions in Dryland Wheat Fields as Affected by Tillage Practices on the Loess Plateau of China
Abstract
1. Introduction
2. Materials and Methods
2.1. Site Description
2.2. Experimental Design and Management
2.3. Soil Sampling and Analysis
2.4. Statistical Analysis
3. Results
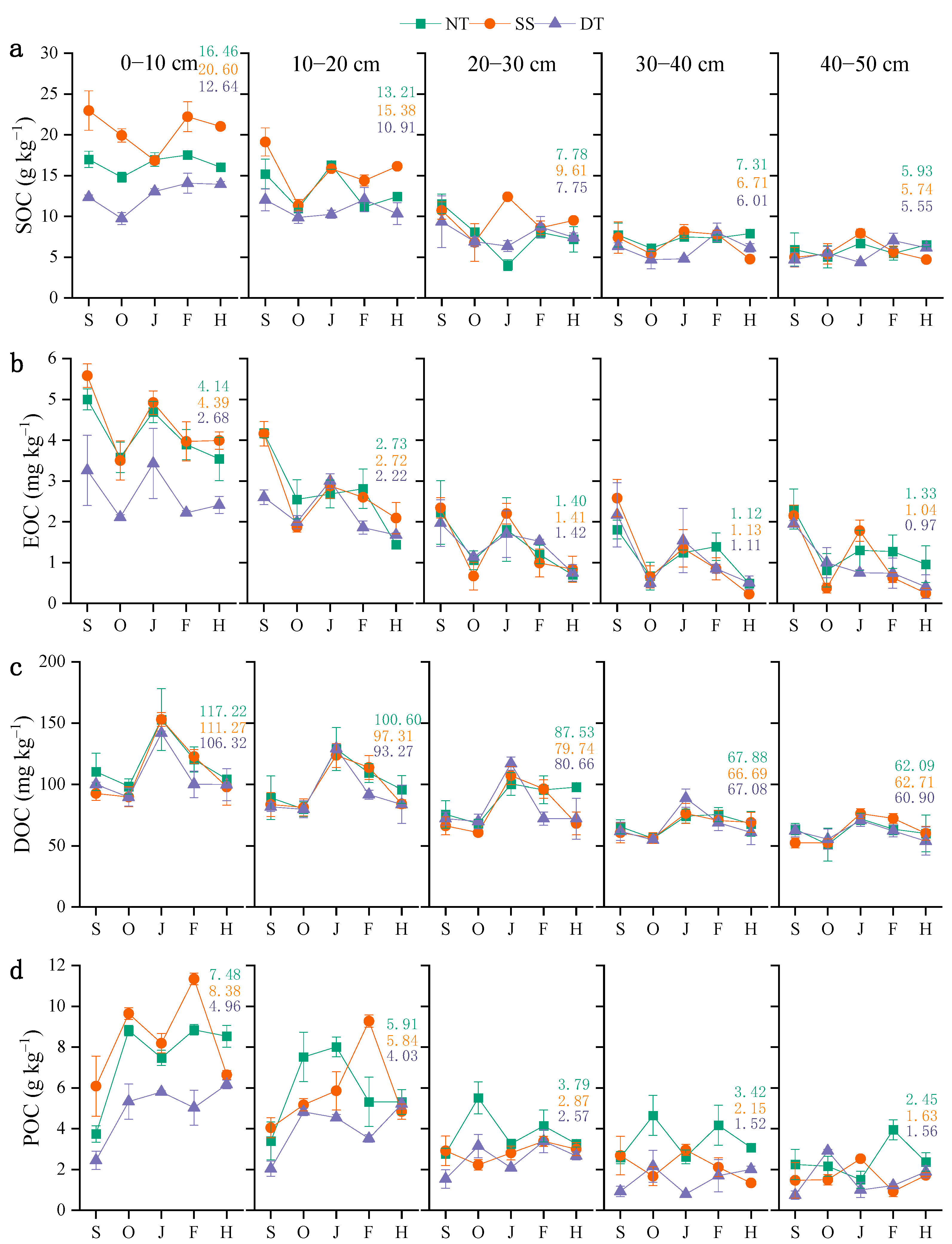
3.1. Soil Organic Carbon (SOC) and Its Labile Fractions
3.2. Total Nitrogen (TN) and Its Labile Fractions
3.3. C/N
3.4. Stocks and Contribution Rates of C and N Fractions
3.5. Correlation Between C and N Fractions
3.6. Soil Bulk Density
3.7. Soil Water Content
4. Discussion
4.1. Vertical Redistribution of Soil C and N Fractions Under Different Tillage Practices
4.2. Seasonal Dynamics of Labile C and N Fractions
4.3. Coupling Relationships Between Soil C and N Fractions Across Soil Depths
4.4. Driving Effects of Soil Physical Properties on Soil C and N Dynamics
4.5. Tillage Management Implications, Regional Applicability and Research Prospects
5. Conclusions
Author Contributions
Funding
Data Availability Statement
Acknowledgments
Conflicts of Interest
Abbreviations
| NT | no tillage |
| SS | subsoiling tillage |
| DT | deep tillage |
| SOC | soil organic carbon |
| EOC | easily oxidizable organic carbon |
| DOC | dissolved organic carbon |
| POC | particulate organic carbon |
| TN | soil total nitrogen |
| NO3−-N | nitrate nitrogen |
| NH4+-N | ammonium nitrogen |
| DON | dissolved organic nitrogen |
| BD | soil bulk density |
| SWC | soil water content |
| ANOVA | analysis of variance |
| LSD | least significant difference |
| PCA | principal component analysis |
References
- Abbott, L.K.; Murphy, D.V. Soil Biological Fertility—A Key to Sustainable Land Use in Agriculture; Springer: Dordrecht, The Netherlands, 2003. [Google Scholar]
- Sainju, U.M.; Lenssen, A.W.; Caesar-TonThat, T.; Jabro, J.D.; Lartey, R.T.; Evans, R.G.; Allen, B.L. Dryland residue and soil organic matter as influenced by tillage, crop rotation, and cultural practice. Plant Soil 2011, 338, 27–41. [Google Scholar] [CrossRef]
- Page, K.L.; Dang, Y.P.; Dalal, R.C. The ability of conservation agriculture to conserve soil organic carbon and the subsequent impact on soil physical, chemical, and biological properties and yield. Front. Sustain. Food Syst. 2020, 4, 31. [Google Scholar] [CrossRef]
- Stavi, I.; Bel, G.; Zaady, E. Soil functions and ecosystem services in conventional, conservation, and integrated agricultural systems: A review. Agron. Sustain. Dev. 2016, 36, 32. [Google Scholar] [CrossRef]
- Ghaly, A.E.; Ramakrishnan, V.V. Nitrogen sources and cycling in the ecosystem and its role in air, water and soil pollution: A critical review. J. Pollut. Eff. Control 2015, 3, 136. [Google Scholar]
- Lehmann, J.; Bossio, D.A.; Kögel-Knabner, I.; Rillig, M.C. The concept and future prospects of soil health. Nat. Rev. Earth Environ. 2020, 1, 544–557. [Google Scholar] [CrossRef] [PubMed]
- Lal, R. Soil health and carbon management. Food Energy Secur. 2016, 5, 212–222. [Google Scholar] [CrossRef]
- Kopittke, P.M.; Menzies, N.W.; Wang, P.; McKenna, B.A.; Lombi, E. Soil and the intensification of agriculture for global food security. Environ. Int. 2019, 132, 105078. [Google Scholar] [CrossRef]
- Xu, T.; Yang, X.; Li, H.; Wang, L.; Dong, F.; Yan, S.; Yan, Q.; Zhang, J. Evaluating tillage optimization, soil thresholds, and drivers for maize yield and WUE in China’s semiarid loess Plateau: A meta-analysis. J. Agric. Food Res. 2026, 25, 102608. [Google Scholar] [CrossRef]
- Wang, X.; Yang, Q.; Ji, Z.; Li, W.; Feng, W.; Zhang, P.; Zhao, X.; Liu, T.; Liu, E.; Siddique, K.H.; et al. Biennial subsoiling with ridge-furrow planting enhances soil quality, ecosystem multifunctionality and maize yield on the Loess Plateau. Soil Tillage Res. 2026, 256, 106871. [Google Scholar] [CrossRef]
- Jiang, R.; Liu, S.; Jiang, F.; Guo, Z.; Adingo, S.; Chen, Z.; Gao, L.; Peng, X. Soil organic carbon trade-offs under conservation tillage: Carbon stock versus stability mediated by particulate and mineral-associated fractions. Soil Tillage Res. 2025, 254, 106704. [Google Scholar] [CrossRef]
- Gautam, A.; Anuo, C.O.; Kladivko, E.; Vyn, T.J.; Armstrong, S. Does 46 years of conservation tillage and crop rotations change soil carbon and nitrogen distribution and storage? Soil Tillage Res. 2025, 254, 106702. [Google Scholar] [CrossRef]
- Blanco-Canqui, H. No-till technology has limited potential to store carbon: How can we enhance such potential? Agric. Ecosyst. Environ. 2021, 313, 107352. [Google Scholar] [CrossRef]
- Gal, A.; Vyn, T.J.; Micheli, E.; Kladivko, E.J.; McFee, W.W. Soil carbon and nitrogen accumulation with long-term no-till versus moldboard plowing overestimated with tilled-zone sampling depths. Soil Tillage Res. 2007, 96, 42–51. [Google Scholar] [CrossRef]
- Olson, K.R.; Al-Kaisi, M.M. The importance of soil sampling depth for accurate account of soil organic carbon sequestration, storage, retention and loss. Catena 2015, 125, 33–37. [Google Scholar] [CrossRef]
- Blanco-Canqui, H.; Shapiro, C.; Jasa, P.; Iqbal, J. No-till and carbon stocks: Is deep soil sampling necessary? Insights from long-term experiments. Soil Tillage Res. 2021, 206, 104840. [Google Scholar] [CrossRef]
- Li, J.W.; Chen, L.; Zhang, C.Z.; Ma, D.H.; Zhou, G.X.; Ning, Q.; Zhang, J.B. Combining rotary and deep tillage increases crop yields by improving the soil physical structure and accumulating organic carbon of subsoil. Soil Tillage Res. 2024, 244, 106–252. [Google Scholar] [CrossRef]
- Li, H.; Zhang, Y.; Zhang, Q.; Ahmad, N.; Liu, P.; Wang, R.; Li, J.; Wang, X. Converting continuous cropping to rotation including subsoiling improves crop yield and prevents soil water deficit: A 12-yr in-situ study in the Loess Plateau, China. Agric. Water Manag. 2021, 256, 107062. [Google Scholar] [CrossRef]
- Wang, X.Y.; Xu, X.P.; Qiu, S.J.; Zhao, S.C.; He, P. Deep tillage enhanced soil organic carbon sequestration in China: A meta-analysis. J. Clean. Prod. 2023, 399, 136686. [Google Scholar] [CrossRef]
- Meng, X.C.; Meng, F.X.; Chen, P.; Hou, D.M.; Zheng, E.N.; Xu, T.Y. A meta-analysis of conservation tillage management effects on soil organic carbon sequestration and soil greenhouse gas flux. Sci. Total Environ. 2024, 954, 176315. [Google Scholar] [CrossRef]
- Kravchenko, Y.; Yarosh, A.; Chen, Y. Profile soil carbon and nitrogen dynamics in typical chernozem under long-term tillage use. Land 2022, 11, 1165. [Google Scholar] [CrossRef]
- He, L.; Lu, S.; Wang, C.; Mu, J.; Zhang, Y.; Wang, X. Changes in soil organic carbon fractions and enzyme activities in response to tillage practices in the Loess Plateau of China. Soil Tillage Res. 2021, 209, 104940. [Google Scholar] [CrossRef]
- Bao, S.D. Soil Agro-Chemical Analysis, 3rd ed.; China Agricultural Press: Beijing, China, 2000. (In Chinese) [Google Scholar]
- Zhao, H.; Jiang, Y.; Ning, P.; Liu, J.; Zheng, W.; Tian, X.; Shi, J.; Xu, M.; Liang, Z.; Shar, A. Effect of different straw return modes on soil bacterial community, enzyme activities and organic carbon fractions. Soil Sci. Soc. Am. J. 2019, 83, 638–648. [Google Scholar] [CrossRef]
- Pu, C.; Kan, Z.R.; Liu, P.; Ma, S.T.; Qi, J.Y.; Zhao, X.; Zhang, H.L. Residue management induced changes in soil organic carbon and total nitrogen under different tillage practices in the North China Plain. J. Integr. Agric. 2019, 18, 1337–1347. [Google Scholar] [CrossRef]
- Zulu, S.G.; Motsa, N.M.; Magwaza, L.S.; Ncama, K.; Sithole, N.J. Effects of Different tillage Practices and Nitrogen Fertiliser Application Rates on Soil-Available Nitrogen. Agronomy 2023, 13, 785. [Google Scholar] [CrossRef]
- Liu, C.; He, C.H.; Chang, S.X.; Chen, X.L.; An, S.S.; Wang, D.; Yan, J.; Zhang, Y.C.; Li, P. Fertilization and tillage influence on soil organic carbon fractions: A global meta-analysis. Catena 2024, 246, 108404. [Google Scholar] [CrossRef]
- Utzig, D.L.; Minella, J.P.G.; Schneider, F.J.A.; Londero, A.L.; Dambroz, A.B.P.; Barros, C.A.P.; Tiecher, T.; Kaiser, D.R. Nutrient transport in surface runoff and sediment yield on macroplots and zero-order catchments under no-tillage. Catena 2023, 231, 107333. [Google Scholar] [CrossRef]
- Gonzalez-Maldonado, N.; Deiss, L.; Ali, F.; Culman, S.W. In-season temporal variability of soil carbon and nitrogen pools after half a century of a tillage and crop rotation gradient. Soil Tillage Res. 2025, 252, 106566. [Google Scholar] [CrossRef]
- Liu, W.S.; Wei, Y.X.; Chen, J.H.; Han, S.W.; Liu, W.X.; Lal, R.; Zhao, X. Coupling effects of soil carbon and nitrogen mineralization on crop growth in response to tillage practices. Land Degrad. Dev. 2025, 36, 5341–5352. [Google Scholar] [CrossRef]
- Hao, X.; Xie, J.H.; Ouyang, W.; Tang, J.; Tang, W.Y.; Zhang, H. Seasonal rainfall variation disrupted the balance of carbon and nitrogen coupling loss in subtropical acidified watershed. Agric. For. Meteorol. 2025, 375, 110861. [Google Scholar] [CrossRef]
- Di Gerónimo, P.F.; Wyngaard, N.; Videla, C.D.C. Do residue quality and tillage systems modify nitrogen partitioning into different soil organic matter fractions? Soil Tillage Res. 2026, 257, 106944. [Google Scholar] [CrossRef]
- Mühlbachová, G.; Růžek, P.; Kusá, H.; Vavera, R.; Kaš, M. Nutrient distribution in the soil profile under different tillage practices during a long-term field trial. Agronomy 2024, 14, 3017. [Google Scholar] [CrossRef]
- Yan, Q.Y.; Wu, L.J.; Dong, F.; Zhang, Q.; Yang, F.; Yan, S.D.; Dong, J.L. Continuous tillage practices improve soil water storage and yields of dryland winter wheat grown for three consecutive years in North China. Arch. Agron. Soil Sci. 2023, 69, 446–460. [Google Scholar] [CrossRef]
- Dikgwatlhe, S.B.; Chen, Z.D.; Lal, R.; Zhang, H.L.; Chen, F. Changes in soil organic carbon and nitrogen as affected by tillage and residue management under wheat–maize cropping system in the North China Plain. Soil Tillage Res. 2014, 144, 110–118. [Google Scholar] [CrossRef]
- Ramadhan, M.N. Significance of tillage techniques of SOCe soil properties and maize production: A review. Int. J. Agric. Stat. Sci. 2023, 19, 1251–1265. [Google Scholar]
- Yan, Q.Y.; Wu, L.J.; Dong, F.; Yan, S.D.; Li, F.; Jia, Y.Q.; Zhang, J.C.; Zhang, R.F.; Huang, X. Subsoil tillage enhances wheat productivity, soil organic carbon and available nutrient status in dryland fields. J. Integr. Agric. 2024, 23, 251–266. [Google Scholar] [CrossRef]
- Dimassi, B.; Mary, B.; Fontaine, S.; Perveen, N.; Revaillot, S.; Cohan, J.P. Effect of nutrients availability and long-term tillage on priming effect and soil C mineralization. Soil Biol. Biochem. 2014, 78, 332–339. [Google Scholar] [CrossRef]






| Tillage | Depth (cm) | Stock (t ha−1) | Contribution Rate (%) | ||
|---|---|---|---|---|---|
| SOC | TN | SOC | TN | ||
| NT | 0–10 | 41.46 | 3.66 | 27.67 | 29.59 |
| 10–20 | 43.00 | 3.35 | 28.70 | 27.02 | |
| 20–30 | 25.32 | 2.27 | 16.90 | 18.31 | |
| 30–40 | 22.64 | 1.64 | 15.11 | 13.26 | |
| 40–50 | 17.41 | 1.46 | 11.62 | 11.81 | |
| SS | 0–10 | 51.50 | 3.65 | 30.98 | 30.13 |
| 10–20 | 44.90 | 3.40 | 27.01 | 28.05 | |
| 20–30 | 31.72 | 2.22 | 19.08 | 18.34 | |
| 30–40 | 21.46 | 1.48 | 12.91 | 12.19 | |
| 40–50 | 16.63 | 1.37 | 10.01 | 11.34 | |
| DT | 0–10 | 29.57 | 2.79 | 24.23 | 22.87 |
| 10–20 | 29.66 | 2.99 | 24.30 | 24.56 | |
| 20–30 | 25.72 | 2.44 | 21.08 | 20.04 | |
| 30–40 | 19.70 | 2.15 | 16.14 | 17.66 | |
| 40–50 | 17.39 | 1.81 | 14.25 | 14.89 | |
Disclaimer/Publisher’s Note: The statements, opinions and data contained in all publications are solely those of the individual author(s) and contributor(s) and not of MDPI and/or the editor(s). MDPI and/or the editor(s) disclaim responsibility for any injury to people or property resulting from any ideas, methods, instructions or products referred to in the content. |
© 2026 by the authors. Licensee MDPI, Basel, Switzerland. This article is an open access article distributed under the terms and conditions of the Creative Commons Attribution (CC BY) license.
Share and Cite
Wang, L.; Li, H.; Xu, T.; Yang, X.; Dong, F.; Yan, S.; Yan, Q. Dynamics of Soil Organic Carbon and Nitrogen Fractions in Dryland Wheat Fields as Affected by Tillage Practices on the Loess Plateau of China. Agronomy 2026, 16, 660. https://doi.org/10.3390/agronomy16060660
Wang L, Li H, Xu T, Yang X, Dong F, Yan S, Yan Q. Dynamics of Soil Organic Carbon and Nitrogen Fractions in Dryland Wheat Fields as Affected by Tillage Practices on the Loess Plateau of China. Agronomy. 2026; 16(6):660. https://doi.org/10.3390/agronomy16060660
Chicago/Turabian StyleWang, Longxing, Hao Li, Tianjing Xu, Xinfang Yang, Fei Dong, Shuangdui Yan, and Qiuyan Yan. 2026. "Dynamics of Soil Organic Carbon and Nitrogen Fractions in Dryland Wheat Fields as Affected by Tillage Practices on the Loess Plateau of China" Agronomy 16, no. 6: 660. https://doi.org/10.3390/agronomy16060660
APA StyleWang, L., Li, H., Xu, T., Yang, X., Dong, F., Yan, S., & Yan, Q. (2026). Dynamics of Soil Organic Carbon and Nitrogen Fractions in Dryland Wheat Fields as Affected by Tillage Practices on the Loess Plateau of China. Agronomy, 16(6), 660. https://doi.org/10.3390/agronomy16060660
