Sign in to use this feature.

Years

Between: -

Subjects

remove_circle_outline
remove_circle_outline
remove_circle_outline
remove_circle_outline
remove_circle_outline
remove_circle_outline

Journals

Article Types

Countries / Regions

Search Results (30)

Search Parameters:
Keywords = neutron/gamma flux

Order results
Result details
Results per page
Select all
Export citation of selected articles as:
16 pages, 3231 KB  
Article
Observation of the Large Forbush Decrease Event on 1–10 June 2025 at the Tien Shan Cosmic Ray Station
by Alexander Shepetov, Olga Kryakunova, Rustam Koichubayev, Nikolay Nikolayevskiy, Vladimir Ryabov, Botakoz Seifullina, Irina Tsepakina and Valery Zhukov
Atmosphere 2025, 16(12), 1349; https://doi.org/10.3390/atmos16121349 - 28 Nov 2025
Viewed by 554
Abstract
An intensive disturbance of the heliosphere originating from a series of solar flares at the end of May 2025 revealed itself as an extremely strong Forbush decrease in the flux of galactic cosmic rays, which was observed at the worldwide network of neutron [...] Read more.
An intensive disturbance of the heliosphere originating from a series of solar flares at the end of May 2025 revealed itself as an extremely strong Forbush decrease in the flux of galactic cosmic rays, which was observed at the worldwide network of neutron monitoring starting from 1 June 2025. Together with an effect on the intensity of cosmic rays measured at a height of 3340 m a.s.l. by a standard NM64 neutron supermonitor of the Tien Shan High-Mountain Cosmic Ray Station, the impact of this event was detected here as a synchronous depression in the counting rates of thermal neutrons and hard gamma rays, the background intensity of which is also continuously tracked in the environment of the station. This observation may be profitable for development of an alternative technique applicable for studying large disturbances in the heliosphere, besides using the traditional method of neutron monitor. An analysis of the frequency of the events of multiple-neutron generation in the Tien Shan supermonitor demonstrated that the influence of the heliosphere disturbance on the hadronic component of cosmic rays did most distinctively reveal itself in the energy range of (3–20) GeV. Full article
(This article belongs to the Section Upper Atmosphere)
Show Figures

Figure 1

13 pages, 400 KB  
Article
Energy-Dependent Neutron Emission in Medical Cyclotrons: Differences Between 18F and 11C and Implications for Radiation Protection
by Teresa Jakubowska and Michał Biegała
Appl. Sci. 2025, 15(22), 11946; https://doi.org/10.3390/app152211946 - 10 Nov 2025
Cited by 1 | Viewed by 727
Abstract
This study investigates neutron radiation sources in medical cyclotrons used for PET isotope production, focusing on differences between 18F and 11C. Neutron and gamma dose rates were measured in the bunker and operator control room during routine production with an 11 [...] Read more.
This study investigates neutron radiation sources in medical cyclotrons used for PET isotope production, focusing on differences between 18F and 11C. Neutron and gamma dose rates were measured in the bunker and operator control room during routine production with an 11 MeV Eclipse cyclotron. 18F production generated approximately 2.5 times higher neutron levels in the bunker than 11C. Shielding performance also varied: the same wall reduced neutron fluxes by factors of kF = 14,000 for 18F and kC = 86,000 for 11C, while gamma shielding was similar for both isotopes (kγ ≈ 28,000). However, the neutron shielding factor calculated from the data for 18F should be taken as kF ≥ 1.4 × 104, because several neutron readings reached the upper limit of the detector range, which indicates a partial underestimation of the dose in the bunker. Consequently, neutron levels in the control room during 18F production were about 15-fold higher than during 11C production. These differences result from distinct neutron generation mechanisms. The 18O(p,n)18F reaction produces primary neutrons with a Maxwellian spectrum (~2.5 MeV), while 11C neutrons arise solely from secondary interactions in structural materials. The findings emphasize the need for composite shielding adapted to isotope-specific spectra. Annual dose estimates (260 18F and 52 11C productions) showed neutron exposure (3.78 mSv/year, 57%) exceeded gamma exposure (2.82 mSv/year, 43%). The total dose of 6.6 mSv/year is ~33% of regulatory limits, supporting compliance but underscoring the need for dedicated neutron dosimetry. Full article
(This article belongs to the Special Issue Advances in Environmental Monitoring and Radiation Protection)
Show Figures

Figure 1

25 pages, 5935 KB  
Article
Point-Kernel Code Development for Gamma-Ray Shielding Applications
by Mario Matijević, Krešimir Trontl, Siniša Šadek and Paulina Družijanić
Appl. Sci. 2025, 15(14), 7795; https://doi.org/10.3390/app15147795 - 11 Jul 2025
Cited by 1 | Viewed by 1348
Abstract
The point-kernel (PK) technique has a long history in applied radiation shielding, originating from the early days of digital computers. The PK technique applied to gamma-ray attenuation is one of many successful applications, based on the linear superposition principle applied to distributed radiation [...] Read more.
The point-kernel (PK) technique has a long history in applied radiation shielding, originating from the early days of digital computers. The PK technique applied to gamma-ray attenuation is one of many successful applications, based on the linear superposition principle applied to distributed radiation sources. Mathematically speaking, the distributed source will produce a detector response equivalent to the numerical integration of the radiation received from an equivalent number of point sources. In this treatment, there is no interference between individual point sources, while inherent limitations of the PK method are its inability to simulate gamma scattering in shields and the usage of simple boundary conditions. The PK method generally works for gamma-ray shielding with corrective B-factor for scattering and only specifically for fast neutron attenuation in a hydrogenous medium with the definition of cross section removal. This paper presents theoretical and programming aspects of the PK program developed for a distributed source of photons (line, disc, plane, sphere, slab volume, etc.) and slab shields. The derived flux solutions go beyond classical textbooks as they include the analytical integration of Taylor B-factor, obtaining a closed form readily suitable for programming. The specific computational modules are unified with a graphical user interface (GUI), assisting users with input/output data and visualization, developed for the fast radiological characterization of simple shielding problems. Numerical results of the selected PK test cases are presented and verified with the CADIS hybrid shielding methodology of the MAVRIC/SCALE6.1.3 code package from the ORNL. Full article
Show Figures

Figure 1

22 pages, 8160 KB  
Article
Design and Characterization of the Modified Purdue Subcritical Pile for Nuclear Research Applications
by Matthew Niichel, Vasileios Theos, Riley Madden, Hannah Pike, True Miller, Brian Jowers and Stylianos Chatzidakis
Instruments 2025, 9(2), 13; https://doi.org/10.3390/instruments9020013 - 6 Jun 2025
Viewed by 2258
Abstract
First demonstrated in 1942, subcritical and zero-power critical assemblies, also known as piles, are a fundamental tool for research and education at universities. Traditionally, their role has been primarily instructional and for measuring the fundamental properties of neutron diffusion and transport. However, these [...] Read more.
First demonstrated in 1942, subcritical and zero-power critical assemblies, also known as piles, are a fundamental tool for research and education at universities. Traditionally, their role has been primarily instructional and for measuring the fundamental properties of neutron diffusion and transport. However, these assemblies could hold potential for modern applications and nuclear research. The Purdue University subcritical pile previously lacked a substantial testing volume, limiting its utility to simple neutron activation experiments for the purpose of undergraduate education. Following the design and addition of a mechanical and electrical testbed, this paper aims to provide an overview of the testbed design and characterize the neutron flux of the rearranged Purdue subcritical pile, justifying its use as a modern scientific instrument. The newly installed 1.5 × 105 cubic-centimeter volume testbed enables a systematic investigation of neutron and gamma effects on materials and the generation of a comprehensive data set with the potential for machine learning applications. The neutron flux throughout the pile is measured using gold-197 and indium-115 foil activation alongside cadmium-covered foils for two-group neutron energy classification. The neutron flux measurements are then used to benchmark a detailed geometrically and materialistically accurate Monte Carlo model using OpenMC 0.15.0 and MCNP 6.3. The experimental measurements reveal that the testbed has a neutron environment with a total neutron flux approaching 9.5 × 103 n/cm2 × s and a thermal flux of 6.5 × 103 n/cm2 × s. This work establishes that the modified Purdue subcritical pile can provide fair neutron and gamma fluxes within a large volume to enable the radiation testing of integral electronic components and can be a versatile research instrument with the potential to support material testing and limited isotope activation, while generating valuable training data sets for machine learning algorithms in nuclear applications. Full article
Show Figures

Figure 1

16 pages, 3152 KB  
Article
Determining the Minimum Detection Limit of Methane Hydrate Using Associated Alpha Particle Technique
by Josip Batur, Davorin Sudac, Ilker Meric, Vladivoj Valković, Karlo Nađ and Jasmina Obhođaš
J. Mar. Sci. Eng. 2025, 13(6), 1050; https://doi.org/10.3390/jmse13061050 - 27 May 2025
Cited by 1 | Viewed by 1292
Abstract
Methane hydrate is a crystalline compound in which methane is trapped within a water lattice under high-pressure, low-temperature conditions. Its presence in oceanic and permafrost sediments makes it a promising alternative energy source, but also a potential contributor to climate change. Accurate in [...] Read more.
Methane hydrate is a crystalline compound in which methane is trapped within a water lattice under high-pressure, low-temperature conditions. Its presence in oceanic and permafrost sediments makes it a promising alternative energy source, but also a potential contributor to climate change. Accurate in situ detection remains a major challenge due to hydrate’s dispersed occurrence and the limitations of conventional geophysical methods. This study investigates the feasibility of using the associated alpha particle (AAP) technique for the direct detection of methane hydrate. A series of laboratory measurements was conducted on sand-based samples with varying levels of methane hydrate simulant. Using a 14 MeV neutron generator and a LaBr3 gamma detector, the 4.44 MeV carbon peak was monitored and calibrated against volumetric hydrate saturation. The minimum detection limit (MDL) was experimentally determined to be (67±25)%. Although the result is subject to high uncertainty, it provides a preliminary benchmark for evaluating the method’s sensitivity and highlights the potential of AAP-based gamma spectroscopy for in situ detection, especially when supported by higher neutron flux in future applications. Full article
(This article belongs to the Special Issue Advances in Marine Gas Hydrates)
Show Figures

Figure 1

10 pages, 5511 KB  
Review
Multimessenger Studies with the Pierre Auger Observatory
by Jon Paul Lundquist and the Pierre Auger Collaboration
Particles 2025, 8(2), 45; https://doi.org/10.3390/particles8020045 - 22 Apr 2025
Viewed by 1154
Abstract
The Pierre Auger Observatory, the world’s largest ultra-high-energy (UHE) cosmic ray (CR) detector, plays a crucial role in multi-messenger astroparticle physics with its high sensitivity to UHE photons and neutrinos. Recent Auger Observatory studies have set stringent limits on the diffuse and point-like [...] Read more.
The Pierre Auger Observatory, the world’s largest ultra-high-energy (UHE) cosmic ray (CR) detector, plays a crucial role in multi-messenger astroparticle physics with its high sensitivity to UHE photons and neutrinos. Recent Auger Observatory studies have set stringent limits on the diffuse and point-like fluxes of these particles, enhancing constraints on dark-matter models and UHECR sources. Although no temporal coincidences of neutrinos or photons with LIGO/Virgo gravitational wave events have been observed, competitive limits on the energy radiated in these particles have been established, particularly from the GW170817 binary neutron star merger. Additionally, correlations between the arrival directions of UHECRs and high-energy neutrinos have been explored using data from the IceCube Neutrino Observatory, ANTARES, and the Auger Observatory, providing additional neutrino flux constraints. Efforts to correlate UHE neutron fluxes with gamma-ray sources within our galaxy continue, although no significant excesses have been found. These collaborative and multi-faceted efforts underscore the pivotal role of the Auger Observatory in advancing multi-messenger astrophysics and probing the most extreme environments of the Universe. Full article
Show Figures

Figure 1

13 pages, 2235 KB  
Article
Optimization of DD-110 Neutron Generator Output for Boron Neutron Capture Therapy Using Monte Carlo Simulation
by Hossam Donya and Muhammed Umer
Quantum Beam Sci. 2025, 9(2), 12; https://doi.org/10.3390/qubs9020012 - 15 Apr 2025
Cited by 4 | Viewed by 2694
Abstract
Boron neutron capture therapy (BNCT) is a specialized cancer treatment that leverages the high absorption cross-section of boron for thermal neutrons. When boron captures neutrons, it undergoes a nuclear reaction that produces alpha particles and lithium ions, which have high linear energy transfer [...] Read more.
Boron neutron capture therapy (BNCT) is a specialized cancer treatment that leverages the high absorption cross-section of boron for thermal neutrons. When boron captures neutrons, it undergoes a nuclear reaction that produces alpha particles and lithium ions, which have high linear energy transfer (LET) and can effectively damage nearby cancer cells while minimizing harm to surrounding healthy tissues. This targeted approach makes BNCT particularly advantageous for treating tumors situated in sensitive areas where traditional radiation therapies may pose risks to critical structures. In this study, the deuterium–deuterium (DD) neutron generator, specifically the DD-110 model (neutron yield Y = 1 × 1010 n/s), served as the neutron source for BNCT. The fast neutrons produced by this generator were thermalized to the epithermal energy range using a beam-shaping assembly (BSA). The BSA was designed with a moderator composed of 32 cm of MgF2, a reflector made of 76 cm of Pb, and filters including 3 cm of Pb and 1.52 cm of Bi. A collimator, featuring a 10 cm high Pb cone frustum with a 12 cm aperture diameter, was also employed to optimize beam characteristics. The entire system’s performance was modeled and simulated using the MCNPX code, focusing on parameters both in-air and in-phantom to evaluate its efficacy. The findings indicated that the BSA configuration yielded an optimal thermal-to-epithermal flux ratio (φther/φepth) of 0.19, a current-to-flux ratio of 0.87, and a gamma dose-to-epithermal flux ratio of 1.71 × 10−13 Gy/cm2, all aligning with IAEA recommendations. The simulated system showed acceptable ratios for φther/φepth, gamma dose to epithermal flux, and beam collimation. Notably, the advantage depth was recorded at 5.5 cm, with an advantage ratio of 2.29 and an advantage depth dose rate of 4.1 × 10−4 Gy.Eq/min. The epithermal neutron flux of D110 exceeded D109, but D110’s fast neutron contamination increased ~6.6 times. On the other hand, D110’s gamma contamination decreased by 30%. Based on these findings, optimizing neutron source characteristics is crucial for BNCT efficacy. Future research should focus on developing advanced neutron generators that balance these factors, aiming to produce optimal neutron yields for enhanced treatment outcomes and broader applicability. Full article
Show Figures

Figure 1

22 pages, 25521 KB  
Article
Contributon-Informed Approach to RPV Irradiation Study Using Hybrid Shielding Methodology
by Mario Matijević, Krešimir Trontl and Dubravko Pevec
Energies 2024, 17(23), 6174; https://doi.org/10.3390/en17236174 - 7 Dec 2024
Viewed by 1327
Abstract
An important aspect of pressurized water reactor (PWR) lifetime monitoring is supporting radiation shielding analyses which can quantify various in-core and out-core effects induced in reactor materials by varying neutron–gamma fields. A good understanding of such a radiation environment during normal and accidental [...] Read more.
An important aspect of pressurized water reactor (PWR) lifetime monitoring is supporting radiation shielding analyses which can quantify various in-core and out-core effects induced in reactor materials by varying neutron–gamma fields. A good understanding of such a radiation environment during normal and accidental operating conditions is required by plant regulators to ensure proper shielding of equipment and working personnel. The complex design of a typical PWR is posing a deep penetration shielding problem for which an elaborate simulation model is needed, not only in geometrical aspects but also in efficient computational algorithms for solving particle transport. This paper presents such a hybrid shielding approach of FW-CADIS for characterization of the reactor pressure vessel (RPV) irradiation using SCALE6.2.4 code package. A fairly detailed Monte Carlo model (MC) of typical reactor internals was developed to capture all important streaming paths of fast neutrons which will backscatter the biological shield and thus enhance RPV irradiation through the cavity region. Several spatial differencing and angular segmentation options of the discrete ordinates SN flux solution were compared in connection to a SN mesh size and were inspected by VisIt code. To optimize MC neutron transport toward the upper RPV head, which is a particularly problematic region for particle transport, a deterministic solution of discrete ordinates in forward/adjoint mode was convoluted in a so-called contributon flux, which proved to be useful for subsequent SN mesh refinement and variance reduction (VR) parameters preparation. The pseudo-particle flux of contributons comes from spatial channel theory which can locate spatial regions important for contributing to a shielding response. Full article
(This article belongs to the Section B4: Nuclear Energy)
Show Figures

Figure 1

15 pages, 4416 KB  
Article
Polymer Boron-Containing Composite for Protecting Astronauts of Manned Orbital Stations from Secondary Neutron Radiation
by Roman Nikolaevich Yastrebinsky, Anna Viktorovna Yastrebinskaya, Andrey Ivanovich Gorodov and Anastasia Vladislavovna Akimenko
J. Compos. Sci. 2024, 8(9), 372; https://doi.org/10.3390/jcs8090372 - 21 Sep 2024
Cited by 3 | Viewed by 1679
Abstract
This article considers the prospects of using heat-resistant polyimide boron-containing composites to protect astronauts of manned orbital stations from secondary neutron radiation. Variant calculations are performed regarding neutron and gamma-quanta flux distributions in a polyimide composite material with different boron content used to [...] Read more.
This article considers the prospects of using heat-resistant polyimide boron-containing composites to protect astronauts of manned orbital stations from secondary neutron radiation. Variant calculations are performed regarding neutron and gamma-quanta flux distributions in a polyimide composite material with different boron content used to reduce capture radiation. The dependences of spatial distributions of thermal neutron flux density and the gamma-quanta dose rate in a polyimide composite layer with a boron content of 0 to 5% are obtained. An experimental assessment of the energy distribution of neutron and gamma radiation behind the protective polyimide composite is carried out. The introduction of boron atoms in an amount of 3.0 wt.% shows the absence of bursts of secondary gamma radiation energy in the composite, which is due to the high cross-section of thermal neutron absorption by boron atoms. As a result, with a material layer thickness of 3–10 cm, the gamma-quanta dose rate decreases by 2–3 times. The differential thermal analysis method showed that the upper limit of the working temperature of the polyimide composite is 500 °C. The polyimide matrix filled with boron atoms can find effective application in the development of new radiation-protective polymer materials used in manned orbital stations. Full article
(This article belongs to the Section Polymer Composites)
Show Figures

Figure 1

29 pages, 1532 KB  
Article
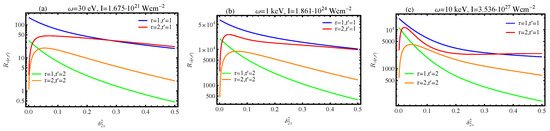
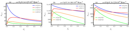
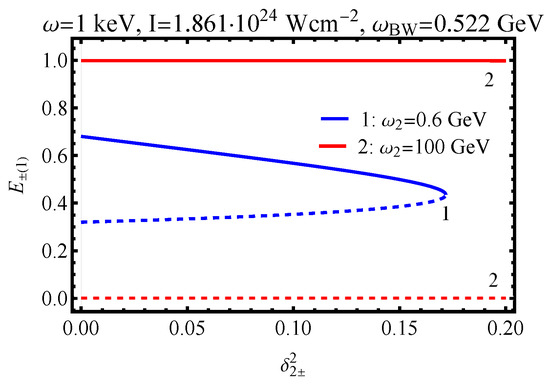
Generation of Narrow Beams of Super High-Energy Gamma Quanta in the Resonant Compton Effect in the Field of a Strong X-ray Wave
by Sergei P. Roshchupkin and Sergey B. Makarov
Photonics 2024, 11(7), 597; https://doi.org/10.3390/photonics11070597 - 26 Jun 2024
Cited by 3 | Viewed by 1858
Abstract
The article presents a theoretical study of Oleinik resonances in the process of scattering a gamma quantum by an ultrarelativistic electron in the field of a strong electromagnetic wave with intensities up to 1027Wcm2. The resonant kinematics for [...] Read more.
The article presents a theoretical study of Oleinik resonances in the process of scattering a gamma quantum by an ultrarelativistic electron in the field of a strong electromagnetic wave with intensities up to 1027Wcm2. The resonant kinematics for three possible resonant reaction channels in a strong external field have been studied in detail. It is shown that under resonant conditions, the scattering channels of the reaction effectively split into two first-order processes according to the fine structure constant, such as the external field-stimulated Compton effect. The annihilation channel of the reaction effectively decays into direct and reverse the external field-stimulated Breit–Wheeler processes. In the absence of interference from the reaction channels, a resonant differential cross-section was obtained in a strong external electromagnetic field. The cases when the energy of the initial electrons significantly exceeds the energy of the initial gamma quanta have been studied. At the same time, all particles (initial and final) fly in a narrow cone away from the direction of wave propagation. The conditions under which the energy of ultrarelativistic initial electrons is converted into the energy of a finite gamma quantum are studied. It is shown that the resonant differential cross-section of such a process significantly (by several orders of magnitude) exceeds the corresponding nonresonant cross-section. This theoretical study predicts a number of new physical effects that may explain the high-energy fluxes of gamma quanta produced near neutron stars and magnetars. Full article
(This article belongs to the Section Lasers, Light Sources and Sensors)
Show Figures

Figure 1

18 pages, 6870 KB  
Article
Gamma-ray Spectroscopy in Low-Power Nuclear Research Reactors
by Oskari V. Pakari, Andrew Lucas, Flynn B. Darby, Vincent P. Lamirand, Tessa Maurer, Matthew G. Bisbee, Lei R. Cao, Andreas Pautz and Sara A. Pozzi
J. Nucl. Eng. 2024, 5(1), 26-43; https://doi.org/10.3390/jne5010003 - 26 Jan 2024
Cited by 11 | Viewed by 6428
Abstract
Gamma-ray spectroscopy is an effective technique for radioactive material characterization, routine inventory verification, nuclear safeguards, health physics, and source search scenarios. Gamma-ray spectrometers typically cannot be operated in the immediate vicinity of nuclear reactors due to their high flux fields and their resulting [...] Read more.
Gamma-ray spectroscopy is an effective technique for radioactive material characterization, routine inventory verification, nuclear safeguards, health physics, and source search scenarios. Gamma-ray spectrometers typically cannot be operated in the immediate vicinity of nuclear reactors due to their high flux fields and their resulting inability to resolve individual pulses. Low-power reactor facilities offer the possibility to study reactor gamma-ray fields, a domain of experiments hitherto poorly explored. In this work, we present gamma-ray spectroscopy experiments performed with various detectors in two reactors: The EPFL zero-power research reactor CROCUS, and the neutron beam facility at the Ohio State University Research Reactor (OSURR). We employed inorganic scintillators (CeBr3), organic scintillators (trans-stilbene and organic glass), and high-purity germanium semiconductors (HPGe) to cover a range of typical—and new—instruments used in gamma-ray spectroscopy. The aim of this study is to provide a guideline for reactor users regarding detector performance, observed responses, and therefore available information in the reactor photon fields up to 2 MeV. The results indicate several future prospects, such as the online (at criticality) monitoring of fission products (like Xe, I, and La), dual-particle sensitive experiments, and code validation opportunities. Full article
Show Figures

Figure 1

32 pages, 5546 KB  
Article
Detection of Solar Neutrons and Solar Neutron Decay Protons
by Yasushi Muraki, Tatsumi Koi, Satoshi Masuda, Yutaka Matsubara, Pedro Miranda, Shoko Miyake, Tsuguya Naito, Ernesto Ortiz, Akitoshi Oshima, Takashi Sako, Shoichi Shibata, Hisanori Takamaru, Munetoshi Tokumaru, Jóse F. Valdés-Galicia and Kyoko Watanabe
Universe 2024, 10(1), 16; https://doi.org/10.3390/universe10010016 - 28 Dec 2023
Viewed by 2280
Abstract
Solar flares are broadly classified as impulsive or gradual. Ions accelerated in a gradual flare are thought to be accelerated through a shock acceleration mechanism, but the particle acceleration process in an impulsive flare is still largely unexplored. To understand the acceleration process, [...] Read more.
Solar flares are broadly classified as impulsive or gradual. Ions accelerated in a gradual flare are thought to be accelerated through a shock acceleration mechanism, but the particle acceleration process in an impulsive flare is still largely unexplored. To understand the acceleration process, it is necessary to measure the high-energy gamma rays and neutrons produced by the impulsive flare. Under such circumstances, on 7 November 2004, a huge X2.0 flare occurred on the solar surface, where ions were accelerated to energies greater than 10 GeV. The accelerated primary protons collided with the solar atmosphere and produced line gamma rays and neutrons. These particles were received as neutrons and line gamma rays, respectively. Neutrons of a few GeV, on the other hand, decay to produce secondary protons while traveling 0.06 au in the solar–terrestrial space. These secondary protons arrive at the magnetopause. Although the flux of secondary protons is very low, the effect of collecting secondary protons arriving in a wide region of the magnetosphere (the Funnel or Horn effect) has resulted in significant signals being received by the solar neutron telescope at Mt. Sierra Negra (4600 m). This information suggests that ions on the solar surface are accelerated to over 10 GeV with an impulsive flare. Full article
(This article belongs to the Section Solar and Stellar Physics)
Show Figures

Figure 1

14 pages, 711 KB  
Article
The Generation of High-Energy Electron–Positron Pairs during the Breit–Wheeler Resonant Process in a Strong Field of an X-ray Electromagnetic Wave
by Sergei P. Roshchupkin, Vitalii D. Serov and Victor V. Dubov
Symmetry 2023, 15(10), 1901; https://doi.org/10.3390/sym15101901 - 10 Oct 2023
Cited by 1 | Viewed by 1904
Abstract
The Breit–Wheeler resonant process was theoretically studied in a strong X-ray electromagnetic wave field under conditions when the energy of one of the initial high-energy gamma quanta passes into the energy of a positron or electron. These conditions were realized when the energy [...] Read more.
The Breit–Wheeler resonant process was theoretically studied in a strong X-ray electromagnetic wave field under conditions when the energy of one of the initial high-energy gamma quanta passes into the energy of a positron or electron. These conditions were realized when the energy of a high-energy gamma quantum significantly exceeded the characteristic Breit–Wheeler energy, which was determined using the parameters of the electromagnetic wave and the initial setup. Analytical formulas for the resonant differential cross-section were obtained. It is shown that the resonant differential cross-section significantly depends on the ratio between the energies of the initial gamma quanta and the characteristic Breit–Wheeler energy. With a decrease in the characteristic Breit–Wheeler energy, the resonant cross-section increases sharply and may exceed the corresponding non-resonant cross-section by several orders of magnitude. The results make it possible to obtain narrow beams of ultrarelativistic positrons (electrons) with energies of the order ∼102 GeV and could also be used to explain high-energy fluxes of positrons (electrons) near neutron stars, as well as to simulate QED processes in laser fusion. Full article
(This article belongs to the Section Physics)
Show Figures

Figure 1

17 pages, 18899 KB  
Article
Impact of Bulk and Nano Bismuth Oxide on the Attenuation Parameters of Bentonite Barite Composites
by Mahmoud I. Abbas, Mona M. Gouda, Sarah N. EL-Shimy, Mirvat F. Dib, Hala M. Abdellatif, Raqwana Baharoon, Mohamed Elsafi and Ahmed M. El-Khatib
Coatings 2023, 13(10), 1670; https://doi.org/10.3390/coatings13101670 - 24 Sep 2023
Cited by 3 | Viewed by 1949
Abstract
Since bentonite can absorb neutrons and gamma rays without sacrificing structural integrity, it is frequently used as the main shielding material in many nuclear installations. Recently, there has been a trend toward enhancing the shielding qualities of bentonite by adding various chemicals. However, [...] Read more.
Since bentonite can absorb neutrons and gamma rays without sacrificing structural integrity, it is frequently used as the main shielding material in many nuclear installations. Recently, there has been a trend toward enhancing the shielding qualities of bentonite by adding various chemicals. However, the majority of the added materials either require particular handling procedures or pose health risks. The availability of environmentally friendly additives would be wonderful. The addition of barite to bentonite composites greatly raises the density of the specimens. Additionally, the performance of bentonite–barite composites as radiation shielding materials is improved by adding various amounts of bulk and nano Bi2O3 as a filler (6%, 13%, and 20%). Energy dispersive X-ray analysis (EDX) was used to determine the chemical makeup of the produced specimens. The scanning electron microscopy (SEM) pictures showed the samples’ cross-sections’ porosity and homogeneity. 241Am, 133Ba, 137Cs, and 60Co are radioactive sources that emit energies of 59.53, 80.99, 356.01, 661.66, 1173.23, and 1332.5 keV, respectively, and the NaI (Tl) scintillation detector was used in this investigation. The area under the peak of the observed energy spectra was measured using the Genie 2000 program in both the specimen’s absence and presence. The coefficients for linear and mass attenuation were calculated. To determine the theoretical mass attenuation coefficients, the XCOM program was utilized and then compared to the corresponding experimental values. Various radiation shielding parameters dependent on the linear attenuation coefficient were computed for each studied composite. These parameters include the mean free path (MFP), half value layer (HVL), and tenth value layer (TVL). Also, the Zeff and the EABF were determined for each specimen. According to the findings, bismuth oxide was added to bentonite–barite composites to reduce the transmitted flux through the specimens, which increased the LAC of the bentonite–barite composites. Furthermore, adding nanosized bismuth oxide particles increased the sample’s density and improved the material’s shielding properties. At a photon energy of 0.356 keV, the relative deviation (∆%) between the experimental nano- and micro values for Bi2O3 (20 wt%) was 12.1974, confirming that the nanoparticles increase attenuation efficiency. Full article
Show Figures

Figure 1

16 pages, 4202 KB  
Article
A Novel, Rapid Response Renewable Biopolymer Neutron and Gamma Radiation Solid-State Detector for Dosimetry and Nuclear Reactor Flux-Power Mapping
by Wen Jiang, True Miller, Troy Barlow, Nathan Boyle and Rusi P. Taleyarkhan
Instruments 2023, 7(3), 26; https://doi.org/10.3390/instruments7030026 - 12 Sep 2023
Cited by 2 | Viewed by 2171
Abstract
A novel solid-state neutron and gamma radiation monitor-dosimeter based on biopolymer polylactic acid (PLA) is presented. The resulting detector (PLAD) technology takes advantage of property changes of the renewable PLA resin when subject to ionizing nuclear radiation. A simple yet rapid and accurate [...] Read more.
A novel solid-state neutron and gamma radiation monitor-dosimeter based on biopolymer polylactic acid (PLA) is presented. The resulting detector (PLAD) technology takes advantage of property changes of the renewable PLA resin when subject to ionizing nuclear radiation. A simple yet rapid and accurate (±10%) low-cost (<$0.01/detector) mass loss upon dissolution (MLD) technique was successfully developed; MLD is based on a simple mass balance for discerning neutron and/or gamma doses using small (40 mg, ~4 mm diameter) ultra-low-cost (<$0.01) resin beads via dissolution in acetone. The GammaCellTM Co-60 irradiator, and the PUR-1 12 kW fission nuclear research reactor were utilized, respectively. Irradiation absorbed doses ranged from 1 to 100 kGy. Acetone bath temperature was varied from ~40 °C to ~54 °C. Results revealed a strong dependence of MLD on acetone bath temperature between neutron and gamma photon dose components; this allowed for the unique ability of PLAD to potentially perform as both a neutron-cum-gamma or as a gamma or neutron radiation dosimeter and intensity level detector. A linear trend is found for combined neutron and gamma radiation doses from 0 to 40 kGy when dissolution is conducted above 50 °C. The important potential ability to distinguish neutron from gamma radiation fields was scoped and found to be feasible by determining MLD at 45 °C. The potential was studied for simultaneous use as an in-core neutron and gamma monitor of an operating 3 GWt light-water reactor (LWR). Scoping tests were conducted with the pre-irradiated (@ 20 °C) PLAD resin beads followed by heating to in-core LWR coolant (300 °C) conditions for ~30 s corresponding to the time to reach ~40 kGy total doses in a typical 3 GWt LWR. MLD results were unaffected, indicating the exciting and unique potential for in situ (low-cost, accurate and rapid) simultaneous mapping of neutron and gamma radiation fluxes, related dosimetry, and fission power level monitoring. Full article
Show Figures

Figure 1

Back to TopTop