Sign in to use this feature.

Years

Between: -

Subjects

remove_circle_outline
remove_circle_outline
remove_circle_outline
remove_circle_outline
remove_circle_outline
remove_circle_outline
remove_circle_outline
remove_circle_outline

Journals

Article Types

Countries / Regions

Search Results (161)

Search Parameters:
Keywords = neurosurgical intervention

Order results
Result details
Results per page
Select all
Export citation of selected articles as:
13 pages, 945 KB  
Article
Comparison of Effectiveness Between Cysticidal and Surgical Treatments in Patients with Intraventricular Neurocysticercosis: A Single-Center Experience
by Alex Aarón Agallo-Martínez, Rebeca Ramírez-Bustamante, Polet Juárez-Ortíz, Ximena Gutiérrez-Bonilla, Sergio Moreno Jiménez, Roger Carrillo-Mezo and Agnès Fleury
Pathogens 2026, 15(1), 108; https://doi.org/10.3390/pathogens15010108 - 19 Jan 2026
Viewed by 100
Abstract
Neurocysticercosis (NCC) remains a major public health problem in endemic countries. Clinical manifestations and therapeutic strategies vary depending on the location of the parasite. While the benefits of cysticidal treatment are well established for parenchymal and subarachnoid NCC, the optimal management of intraventricular [...] Read more.
Neurocysticercosis (NCC) remains a major public health problem in endemic countries. Clinical manifestations and therapeutic strategies vary depending on the location of the parasite. While the benefits of cysticidal treatment are well established for parenchymal and subarachnoid NCC, the optimal management of intraventricular NCC (IVNCC) remains controversial. We conducted a retrospective study of 51 patients: 37 (72.54%) received cysticidal treatment as initial therapy and 14 (27.45%) underwent neurosurgical intervention. Although six months after treatment, the proportion of patients with inactive disease was higher in the surgical group, no significant difference was observed after one year. Patients in both groups showed significant improvement in functionality as measured by the Karnofsky Index (KI), with no significant difference between groups. These results are consistent with cysticidal treatment being a valid therapeutic option for IVNCC, with the choice of management largely determined by the available medical infrastructure and the degree of specialization of healthcare personnel. Full article
(This article belongs to the Section Parasitic Pathogens)
Show Figures

Figure 1

7 pages, 1400 KB  
Case Report
The Inflammatory Side of Iatrogenic Cerebral Amyloid Angiopathy: Rethinking Therapeutic Opportunities
by Mattia Losa, Andrea Donniaquio, Ilaria Gandoglia, Federico Massa, Fabio Gotta, Luca Sofia, Lorenzo Gualco, Enrico Peira, Andrea Chincarini, Luca Roccatagliata, Fabrizio Piazza, Massimo Del Sette and Matteo Pardini
Brain Sci. 2026, 16(1), 75; https://doi.org/10.3390/brainsci16010075 - 6 Jan 2026
Viewed by 313
Abstract
Background: Iatrogenic cerebral amyloid angiopathy (iCAA) is a rare form of CAA occurring decades after neurosurgical procedures involving cadaveric dural grafts. While typically associated with recurrent lobar intracerebral hemorrhages, recent reports suggest a possible overlap with CAA-related inflammation (CAAri). We report a case [...] Read more.
Background: Iatrogenic cerebral amyloid angiopathy (iCAA) is a rare form of CAA occurring decades after neurosurgical procedures involving cadaveric dural grafts. While typically associated with recurrent lobar intracerebral hemorrhages, recent reports suggest a possible overlap with CAA-related inflammation (CAAri). We report a case of iCAA with features indicative of active neuroinflammation that demonstrated a positive response to immunosuppressive therapy. Methods: Over a 12-year natural history, the patient underwent a comprehensive work-up, including serial clinical assessments, brain MRIs, core CSF biomarker analysis, amyloid PET imaging, and next-generation sequencing panel testing. Results: Previous clinical charts confirmed the use of cadaveric graft (Lyodura) in a neurosurgical intervention thirty years before. During hospitalization for seizures, brain MRI revealed, along with a severe form of CAA, an area of vasogenic edema. Given the suspicion of an active inflammatory process, corticosteroid and subsequent methotrexate maintenance therapy were introduced, leading to clinical and radiological improvement. Over 30 months of follow-up, the patient has remained clinically and radiologically stable, with no new hemorrhagic or inflammatory events. Conclusions: This case highlights the potential interplay between iCAA and neuroinflammation. The absence of new hemorrhages following immunosuppression suggests a possible disease-modifying effect, warranting further investigation into the role of neuroinflammation in iCAA and its therapeutic implications. Full article
(This article belongs to the Special Issue Cerebral Amyloid Angiopathy: Advances in the Field)
Show Figures

Figure 1

23 pages, 1163 KB  
Article
Early Functional Recovery Trajectories After Severe Traumatic Brain Injury: A Secondary Analysis of the TBIMS National Database
by Andrea Calderone, Lilla Bonanno, Carmela Rifici and Rocco Salvatore Calabrò
Brain Sci. 2026, 16(1), 73; https://doi.org/10.3390/brainsci16010073 - 6 Jan 2026
Viewed by 337
Abstract
Background: Survivors of severe traumatic brain injury (TBI) show highly heterogeneous recovery but early functional trajectories across rehabilitation, and their relationship with 1-year outcomes remain poorly characterized. Methods: We performed a secondary analysis of the Traumatic Brain Injury Model Systems (TBIMS) National Database. [...] Read more.
Background: Survivors of severe traumatic brain injury (TBI) show highly heterogeneous recovery but early functional trajectories across rehabilitation, and their relationship with 1-year outcomes remain poorly characterized. Methods: We performed a secondary analysis of the Traumatic Brain Injury Model Systems (TBIMS) National Database. Adults with severe TBI (Glasgow Coma Scale ≤ 8, post-traumatic amnesia (PTA) > 7 days, or neurosurgical intervention) who received inpatient rehabilitation with Functional Independence Measure (FIM) admission and discharge totals and 1-year Glasgow Outcome Scale—Extended (GOS-E) were included (n = 9438). K-means clustering on FIM admission, FIM discharge, and 1-year GOS-E identified early functional recovery trajectories. Multinomial logistic regression related trajectory class to age, sex, PTA duration, rehabilitation length of stay (LOS), and total LOS. Logistic regression examined associations between trajectory class and 1-year home residence and rehospitalization, adjusted for age and sex. Results: Three trajectories emerged: low-functioning/limited improvers (28.0%), substantial improvers (33.7%), and high-functioning (38.3%). The low-functioning trajectory showed lower FIM scores at admission and discharge and worse 1-year GOS-E than the other trajectories. In adjusted models, older age, longer PTA, and longer LOS were associated with less favorable trajectories overall, particularly reducing the likelihood of belonging to the high-functioning trajectory. Substantial improvers and high-functioning patients had higher odds of living at home and lower odds of rehospitalization at 1 year than low-functioning patients. Conclusions: Simple routine measures can yield interpretable recovery trajectories after severe TBI that may support prognosis, discharge planning, and follow-up; these trajectories should be interpreted as population-level probabilities rather than deterministic predictions for individual patients. Full article
(This article belongs to the Section Neurorehabilitation)
Show Figures

Figure 1

11 pages, 1343 KB  
Article
Predictors of Survival in Patients Aged ≥70 with Glioblastoma: A Time-Dependent Multivariable Analysis
by Ahmad M. S. Ali, Viraj Parmar, Cathal J. Hannan and Jibril Osman Farah
Cancers 2026, 18(1), 178; https://doi.org/10.3390/cancers18010178 - 5 Jan 2026
Viewed by 402
Abstract
Background: Glioblastoma (GB) carries a dismal prognosis, with survival outcomes particularly poor in older patients. With the fastest-growing global demographic being those aged over 65, the incidence of GB is expected to rise. Objective: To evaluate predictors of survival in patients aged ≥70 [...] Read more.
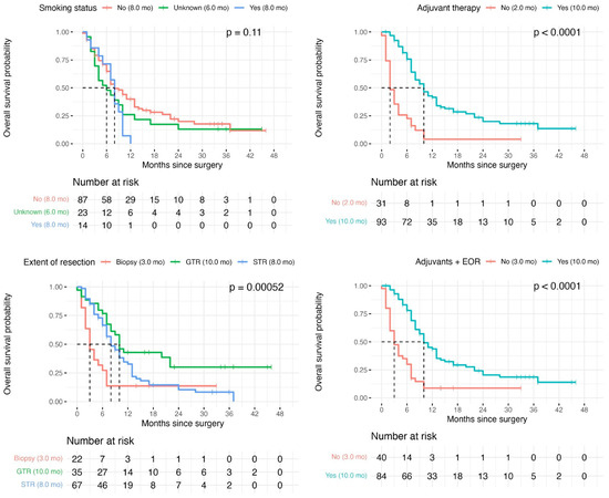
Background: Glioblastoma (GB) carries a dismal prognosis, with survival outcomes particularly poor in older patients. With the fastest-growing global demographic being those aged over 65, the incidence of GB is expected to rise. Objective: To evaluate predictors of survival in patients aged ≥70 years with histologically confirmed GB, focusing on surgical resection, adjuvant therapy, and comorbidities. Methods: A retrospective review was performed of all patients aged ≥70 undergoing index surgery for GB between January 2021 and March 2025 at a single tertiary neurosurgical centre. Demographics, pre-operative fitness scores (Karnofsky Performance Status [KPS]., Charlson Comorbidity Index [CCI].), tumour characteristics, extent of resection, adjuvant treatment, and survival were analysed. Tumour volume was estimated using the ABC/2 method. Survival outcomes were assessed using Kaplan–Meier curves and multivariable Cox proportional hazards regression. Results: A total of 124 patients aged ≥70 years (median 74 years, range 70–86) were included. Median overall survival was 8 months (IQR 4–15). On multivariable analysis, adjuvant chemoradiotherapy (HR = 0.30, 95% CI 0.17–0.52; p < 0.001) and gross total resection (GTR) (HR = 0.41, 95% CI 0.20–0.86; p = 0.019) were independently associated with improved survival. Smoking history was associated with increased hazard of death (HR = 2.02, 95% CI 1.07–3.81; p = 0.029), an effect robust to multiple sensitivity analyses. No significant associations were found for age, pre-operative KPS, comorbidity index, tumour volume, or methylation status (all p > 0.10). Tests for non-proportional hazards indicated that the survival benefit of adjuvant therapy diminished over time (interaction p = 0.0002), with early post-operative benefit (HR ≈ 0.35 at 1 month) that attenuated towards unity by 6–12 months. The effects of GTR and smoking were time-invariant. RMST analysis suggested a modest, non-significant absolute survival advantage of GTR over STR (mean difference = 2.0 months at 18 months; p = 0.11). After exclusion of early post-operative deaths (<6 weeks), adjuvant therapy (HR = 0.34; p < 0.001) and GTR (HR = 0.33; p = 0.005) remained independent predictors of improved survival. Conclusions: Among patients aged ≥70 years with glioblastoma, adjuvant therapy and extent of resection remain key independent predictors of survival, while smoking is associated with poorer outcomes. The survival benefit of adjuvant chemoradiotherapy is strongest in the early post-operative period and diminishes over time, underscoring the importance of early multidisciplinary intervention. These findings highlight that aggressive multimodal treatment may confer survival advantage even in older patients. Full article
(This article belongs to the Special Issue Combination Therapy in Geriatric Population with Cancer (2nd Edition))
Show Figures

Figure 1

9 pages, 196 KB  
Article
Critical Care After Thrombolytic Therapy in Acute Stroke: Who Really Needs the ICU?
by Katherine G. Moore, Nathaniel S. Harshaw, Samantha K. LaRosa, Daria Indeck, Danielle Cross, Nicole Chiota-McCollum and Lindsey L. Perea
J. Clin. Med. 2026, 15(1), 324; https://doi.org/10.3390/jcm15010324 - 1 Jan 2026
Viewed by 884
Abstract
Background/Objectives: Intravenous thrombolytic therapy remains the cornerstone of managing acute ischemic stroke (AIS) patients. Given the potential adverse effects of thrombolysis, patients are admitted to an intensive care unit (ICU) for close monitoring following administration. Alternative post-thrombolytic pathways may provide safe, cost-effective [...] Read more.
Background/Objectives: Intravenous thrombolytic therapy remains the cornerstone of managing acute ischemic stroke (AIS) patients. Given the potential adverse effects of thrombolysis, patients are admitted to an intensive care unit (ICU) for close monitoring following administration. Alternative post-thrombolytic pathways may provide safe, cost-effective care in certain populations. We aimed to determine the proportion of patients treated with thrombolytics who required ICU care for reasons other than frequent neurologic monitoring and to define their characteristics. Methods: We retrospectively (May 2020–August 2022) reviewed patients ≥ 18 years of age who received Tenecteplase (TNK) or tissue plasminogen activator (tPA) for AIS at our stroke center. Patients were classified as requiring ICU care if they required intubation within 24 h of admission, required neurosurgical intervention, had symptomatic hemorrhagic conversion or brain compression, required a continuous infusion for hemodynamic management, or were in status epilepticus. Univariate and multivariable statistical analyses were performed. The study protocol was deemed exempt by our Institutional Review Board. Results: 262 patients met inclusion criteria. A total of 54 (20.6%) required ICU care. Multivariable analysis showed that patients on antithrombotic therapies prior to arrival (AOR: 3.344, p = 0.002) or who presented with higher initial NIH stroke scale (AOR: 1.116, p < 0.001) had a significantly higher likelihood of requiring an ICU level of care. Conclusions: In our cohort, approximately 21% of patients required critical care. Antithrombotic therapy before admission and greater NIH stroke scale on arrival were associated with an increased likelihood of requiring ICU care. Further prospective studies are indicated to assess the efficacy of alternative settings for post-thrombolytic care in selected AIS patients; however, our findings suggest that a specific subset of patients with AIS can be safely and effectively cared for in a non-ICU setting. This may have implications for the provision of safe, effective care while optimizing healthcare resource utilization. Full article
(This article belongs to the Section Clinical Neurology)
16 pages, 11571 KB  
Case Report
Role of Patient-Specific 3D-Printed Models for Complex Pediatric Craniocervical Junction Surgery: Case Description and Systematic Literature Review
by David S. K. Mak, Yu Tung Lo, Mark B. W. Tan, Dinesh S. Kumar and Sharon Y. Y. Low
Surg. Tech. Dev. 2026, 15(1), 1; https://doi.org/10.3390/std15010001 - 30 Dec 2025
Viewed by 240
Abstract
Background: Pediatric craniocervical junction (CCJ) anomalies consist of a unique subset of anatomically complex spine conditions. The aims of intervention are to achieve long-term stability, correct existing deformity, and prevent neurological compromise. However, surgery is challenging due to critical neurovascular and musculoskeletal structures [...] Read more.
Background: Pediatric craniocervical junction (CCJ) anomalies consist of a unique subset of anatomically complex spine conditions. The aims of intervention are to achieve long-term stability, correct existing deformity, and prevent neurological compromise. However, surgery is challenging due to critical neurovascular and musculoskeletal structures in the limited operative space of a young child. Recently, the use of three-dimensional (3D) printed models has been demonstrated to be valuable neurosurgical adjuncts. We therein report the application of a 3D-printed model for a pediatric case with a complex CCJ condition. A systematic review of the related literature is concurrently performed. Case description: A 10-year-old male presented with torticollis associated with neck pain and progressive thoracic kyphosis. Neuroimaging reported an unfused os odontoideum inferior to the basion and anterior half of the C2 vertebral body and anteriorly angulated with the C1 anterior arch. Of note, there was a large vertebral vein coursing over the left C2 lamina that was predominantly draining into the CCJ venous plexus. A radiologically derived 3D model of the patient’s CCJ was printed and used for pre-operative planning, multi-disciplinary team discussion, and detailed counseling with the patient and caregivers. The patient underwent an uneventful C1–C2 posterior screw fixation and has recovered well since. Separately, we observed there is a paucity of publications specific to this topic. Conclusions: As demonstrated, a custom-made 3D model was useful for clinicians work through technical difficulties and improve the perioperative discussion process in an otherwise difficult case. Full article
Show Figures

Figure 1

13 pages, 740 KB  
Case Report
Static Visual Agnosia Following Awake Resection of a Left Frontal Low-Grade Glioma: A Case Report of Ventral Stream Network Disruption (“Astatopsia”)
by Stefano Vecchioni, Alessio Iacoangeli, Andrea De Angelis, Silvia Bonifazi, Roberto Trignani and Michele Luzi
Reports 2026, 9(1), 1; https://doi.org/10.3390/reports9010001 - 19 Dec 2025
Viewed by 217
Abstract
Background and Clinical Significance: Visual agnosia and speech production deficits are well-described sequelae of neurosurgical interventions, but their selective dissociation remains rare. This report presents an unusual combination of postoperative deficits following awake resection of a left frontal low-grade glioma. Case Presentation [...] Read more.
Background and Clinical Significance: Visual agnosia and speech production deficits are well-described sequelae of neurosurgical interventions, but their selective dissociation remains rare. This report presents an unusual combination of postoperative deficits following awake resection of a left frontal low-grade glioma. Case Presentation: We present the case of a right-handed female with left hemisphere language dominance who had a left frontal low-grade glioma. Preoperatively, she exhibited anomia and dysexecutive syndrome, including difficulty completing everyday goal-directed tasks such as sending emails and paying for parking. Following awake tumor resection, she developed two rare, dissociated deficits: (1) speech restricted to infinitive verb forms and (2) selective visual agnosia for static images, with preserved recognition of dynamic stimuli. Conclusions: This uncommon clinical constellation highlights the vulnerability of left frontal language and ventral visual processing networks during surgery and supports the dual-stream model of vision and language production. We describe a selective form of static visual agnosia affecting static images with relative preservation of dynamic and object recognition, for which we use the descriptive label “astatopsia”. This peculiar clinical condition is rarely documented in this particular combination and has not, to the best of our knowledge, previously been denominated in such a manner in the literature. Full article
Show Figures

Figure 1

9 pages, 207 KB  
Article
Impact of Different DOACs on Complications of TBI After Low-Energy Trauma
by Anna Antoni, Philipp Puhl, Lukas Wedrich, Rebecca Wagner, Matthias Millesi, Valerie Weihs, Elisabeth Schwendenwein, Silke Aldrian and Stefan Hajdu
J. Clin. Med. 2025, 14(24), 8787; https://doi.org/10.3390/jcm14248787 - 11 Dec 2025
Viewed by 382
Abstract
Background/Objectives: While direct oral anticoagulants (DOACs) are widely used, robust evidence for low-energy trauma is scarce. Studies have shown similar or better outcomes of traumatic brain injury (TBI) under DOAC therapy compared to vitamin K antagonists, but there is limited data on the [...] Read more.
Background/Objectives: While direct oral anticoagulants (DOACs) are widely used, robust evidence for low-energy trauma is scarce. Studies have shown similar or better outcomes of traumatic brain injury (TBI) under DOAC therapy compared to vitamin K antagonists, but there is limited data on the differences among DOAC types. Methods: We performed a retrospective study of TBI patients with pre-injury DOACs who presented to our level 1 trauma unit and received cranial computed tomography. Only low-energy trauma mechanisms were included. Results: We included 643 patients with an average age of 82 years. As per the Glasgow Coma Scale, 637 patients (99.1%) had a mild TBI and 34 patients (5.3%) had intracranial hematomas. No delayed intracranial bleeding occurred during in-hospital observation. Rivaroxaban was the most frequent DOAC (278, 43.2%), followed by apixaban (221, 34.4%), dabigatran (84, 13.1%), and edoxaban (60, 9.3%). Neurosurgical interventions were performed in three cases (0.5%). The head injury-related in-hospital mortality was 0.9% (six patients). Fisher’s Exact Test and regression analysis did not demonstrate statistically significant differences among the DOAC types regarding occurrence of intracranial bleeding, surgical interventions, or mortality. Conclusions: We found no statistically significant differences between DOACs regarding complications of TBI after low-energy trauma. This study shows an overall low risk of complications after low-energy trauma in a predominantly geriatric population with TBI and DOAC therapy. Full article
(This article belongs to the Special Issue Advances in Traumatic Brain Injury: Causes and Recovery)
19 pages, 842 KB  
Review
Multimodal Imaging in Epilepsy Surgery for Personalized Neurosurgical Planning
by Joaquin Fiallo Arroyo and Jose E. Leon-Rojas
J. Pers. Med. 2025, 15(12), 601; https://doi.org/10.3390/jpm15120601 - 5 Dec 2025
Viewed by 942
Abstract
Drug-resistant epilepsy affects nearly one-third of individuals with epilepsy and remains a major cause of neurological morbidity worldwide. Surgical intervention offers a potential cure, but its success critically depends on the precise identification of the epileptogenic zone and the preservation of eloquent cortical [...] Read more.
Drug-resistant epilepsy affects nearly one-third of individuals with epilepsy and remains a major cause of neurological morbidity worldwide. Surgical intervention offers a potential cure, but its success critically depends on the precise identification of the epileptogenic zone and the preservation of eloquent cortical and subcortical regions. This review aims to provide a comprehensive synthesis of current evidence on the role of multimodal neuroimaging in the personalized presurgical evaluation and planning of epilepsy surgery. We analyze how structural, functional, metabolic, and electro-physiological imaging modalities contribute synergistically to improving localization accuracy and surgical outcomes. Structural MRI remains the cornerstone of presurgical assessment, with advanced sequences, post-processing techniques, and ultra-high-field (7 T) MRI enhancing lesion detection in previously MRI-negative cases. Functional and metabolic imaging, including FDG-PET, ictal/interictal SPECT, and arterial spin labeling MRI, offer complementary insights by revealing regions of altered metabolism or perfusion associated with seizure onset. Functional MRI enables non-invasive mapping of language, memory, and motor networks, while diffusion tensor imaging and tractography delineate critical white-matter pathways to minimize postoperative deficits. Electrophysiological integration through EEG source imaging and magnetoencephalography refines localization when combined with MRI and PET data, forming the basis of multimodal image integration platforms used for surgical navigation. Our review also briefly explores emerging intraoperative applications such as augmented and virtual reality, intraoperative MRI, and laser interstitial thermal therapy, as well as advances driven by artificial intelligence, such as automated lesion detection and predictive modeling of surgical outcomes. By consolidating recent developments and clinical evidence, this review underscores how multimodal imaging transforms epilepsy surgery from a lesion-centered to a patient-centered discipline. The purpose is to highlight best practices, identify evidence gaps, and outline future directions toward precision-guided, minimally invasive, and function-preserving neurosurgical strategies for patients with drug-resistant focal epilepsy. Full article
(This article belongs to the Section Personalized Therapy in Clinical Medicine)
Show Figures

Figure 1

17 pages, 700 KB  
Systematic Review
Trochlear Nerve Palsy: A Systematic Review of Etiologies and Diagnostic Insights
by Areti Alexandrou, Nicholas Georgiou, George G. Botis, Ioannis Vezakis, George Triantafyllou, Eirini Christodoulaki, Harris Pishiaras, Alexandros Samolis, Nikiforos Christakos, Theodosis Kalamatianos, Ioannis Lamprianidis, Ioannis Kakkos, George K. Matsopoulos, George Tsakotos, Ourania Tzortzi and Maria Piagkou
Diagnostics 2025, 15(23), 3082; https://doi.org/10.3390/diagnostics15233082 - 3 Dec 2025
Viewed by 955
Abstract
Background/Objectives: Trochlear nerve palsy (TNP) is a clinically significant neuro-ophthalmic disorder with a broad and heterogeneous etiologic spectrum. Due to the trochlear nerve (TN)’s long intracranial course and its proximity to key neurosurgical corridors, it is particularly susceptible to injury. This systematic review [...] Read more.
Background/Objectives: Trochlear nerve palsy (TNP) is a clinically significant neuro-ophthalmic disorder with a broad and heterogeneous etiologic spectrum. Due to the trochlear nerve (TN)’s long intracranial course and its proximity to key neurosurgical corridors, it is particularly susceptible to injury. This systematic review aimed to synthesize contemporary evidence on TNP etiologies and highlight diagnostic considerations. Methods: Following PRISMA 2020 guidelines (PROSPERO registration: CRD420251150614), we systematically searched PubMed through July 2025 for studies reporting TNP etiologies. Given substantial heterogeneity in study populations and methodologies, a qualitative synthesis was performed examining study characteristics, patient demographics, etiological distribution, and clinical outcomes. Results: Thirty-three studies (n = 5785) met the inclusion criteria. Reported etiologies clustered into seven categories: congenital, vascular/ischemic, infectious/inflammatory, structural, traumatic, iatrogenic, and idiopathic. Congenital cases frequently demonstrated absence of the TN or superior oblique hypoplasia. Microvascular ischemia predominated in older adults with vascular risk factors and typically exhibited spontaneous recovery. Structural lesions (e.g., tumors, aneurysms) and trauma were major acquired causes, often associated with more persistent deficits. Iatrogenic palsy predominantly followed skull base and petroclival procedures; most cases resolved, although lasting dysfunction occurred after complex or radiosurgical interventions. A proportion of cases remained idiopathic, and many resolved spontaneously. Conclusions: TNP displays a broad etiologic spectrum with distinct clinical profiles and prognostic trajectories. Accurate etiologic classifications supported by targeted neuroimaging and focused clinical evaluation are essential for optimizing management and informing neurosurgical decision-making. Full article
(This article belongs to the Special Issue Imaging and Diagnosis in Neurosurgery)
Show Figures

Figure 1

13 pages, 411 KB  
Review
Complications and Ethical Challenges in Neurosurgery for Psychiatric Disorders
by Cristina V. Torres Díaz, Joaquín Luis Ayerbe Gracia, Mónica Lara Almunia, Gonzalo Olivares Granados, Marta Navas García, Paloma Pulido Rivas, Marta Del Alamo De Pedro, Rafael García De Sola and Álvaro Moleón-Ruiz
Brain Sci. 2025, 15(12), 1303; https://doi.org/10.3390/brainsci15121303 - 2 Dec 2025
Viewed by 993
Abstract
Functional neurosurgery has emerged as a potential therapeutic option for patients with severe, treatment-resistant psychiatric disorders such as obsessive–compulsive disorder (OCD) and major depressive disorder (MDD). Among the most studied interventions, deep brain stimulation (DBS) has shown promising outcomes in open-label studies, though [...] Read more.
Functional neurosurgery has emerged as a potential therapeutic option for patients with severe, treatment-resistant psychiatric disorders such as obsessive–compulsive disorder (OCD) and major depressive disorder (MDD). Among the most studied interventions, deep brain stimulation (DBS) has shown promising outcomes in open-label studies, though controlled trials have yielded more modest results. This discrepancy, along with concerns about surgical risks, neuropsychiatric side effects, and ethical challenges, has limited the broader implementation of psychiatric neurosurgery. This review explores the clinical complications of DBS—including vascular events, infections, and hardware-related issues—as well as cognitive and behavioral changes such as hypomania, apathy, and impulse control disorders. Ethical concerns are also addressed, including the difficulty of obtaining truly informed consent and the potential impact on personal identity. The article emphasizes the need for multidisciplinary teams, dynamic consent models, standardized protocols, and high-quality clinical trials to ensure safe, ethical, and effective use of neurosurgical interventions in psychiatry. Ultimately, the responsible integration of functional neurosurgery into psychiatric care requires not only technical precision but also ethical rigor and patient-centered collaboration. Full article
(This article belongs to the Section Neurosurgery and Neuroanatomy)
Show Figures

Figure 1

9 pages, 223 KB  
Brief Report
Radiotherapy with 5 × 5 Gy for Personalized Treatment of Malignant Epidural Compression of the Myelon: Long-Term Results of the PRE-MODE Trial
by Dirk Rades, Darejan Lomidze, Carlos Ferrer-Albiach, Antonio J. Conde-Moreno, Barbara Segedin, Blaz Groselj, Raquel Ciervide Jurio and Jon Cacicedo
J. Pers. Med. 2025, 15(12), 577; https://doi.org/10.3390/jpm15120577 - 28 Nov 2025
Viewed by 894
Abstract
Background/Objectives: Despite increasing use of upfront decompressive surgery for malignant epidural compression of the myelon (MESCC), a substantial number of affected patients still receive radiotherapy (RT) alone. Many of these patients would benefit from a personalized treatment approach including the most appropriate dose-fractionation [...] Read more.
Background/Objectives: Despite increasing use of upfront decompressive surgery for malignant epidural compression of the myelon (MESCC), a substantial number of affected patients still receive radiotherapy (RT) alone. Many of these patients would benefit from a personalized treatment approach including the most appropriate dose-fractionation regimen. The PRE-MODE trial (NCT03070431) compared precision RT with 5 × 5 Gy (prospective cohort, n = 40) to conventional RT with 5 × 4 Gy (historical control, n = 676)). After propensity-score matching, 5 × 5 Gy resulted in significantly increased local progression-free survival (LPFS) at 6 months than 5 × 4 Gy. The question arose whether this benefit is still present after a longer period of follow-up. Methods: For this additional study, supplementary data were retrospectively captured, resulting in prolongation of follow-up until 24 months. Results: 5 × 5 Gy resulted in LPFS of 80.9% at each investigated time point (12, 18, and 24 months) without reported radiation myelopathy. Moreover, 5 × 5 Gy showed a trend towards improved LPFS after 12 (p = 0.070), 18 (p = 0.060), and 24 (p = 0.054) months. Similarly to the original PRE-MODE trial, OS-rates were not significantly different in the dose groups of this supplementary study. Conclusion: Since 5 × 5 Gy resulted in excellent long-term LPFS and showed a trend towards better outcomes up to 24 months following RT, it appears preferable to 5 × 4 Gy and will contribute to the personalized treatment of patients with MESCC who are assigned to RT alone without upfront neurosurgical intervention. Full article
(This article belongs to the Special Issue Radiation Oncology and Precision Medicine)
20 pages, 11301 KB  
Article
Exploring the Lamina Terminalis: A Stepwise Anatomical Comparison of Pterional and Orbitozygomatic Craniotomy Approaches
by Merih C. Yilmaz and Yunus E. Durmus
Life 2025, 15(12), 1804; https://doi.org/10.3390/life15121804 - 25 Nov 2025
Viewed by 643
Abstract
Background/Objectives: The lamina terminalis is an important anatomical structure located at the anterior wall of the third ventricle and surrounded by critical neurovascular elements. Precise and safe surgical access to this region requires detailed anatomical knowledge and mastery of skull base approaches. [...] Read more.
Background/Objectives: The lamina terminalis is an important anatomical structure located at the anterior wall of the third ventricle and surrounded by critical neurovascular elements. Precise and safe surgical access to this region requires detailed anatomical knowledge and mastery of skull base approaches. This study aims to anatomically illustrate and compare the pterional, one-piece orbitozygomatic, and two-piece orbitozygomatic craniotomies as approaches to the lamina terminalis cistern. The objective is to provide a comprehensive photographic guide to support neurosurgeons and residents in learning these techniques. Methods: Two formalin-fixed, silicone-injected adult cadaveric heads were dissected under an operating microscope. Standard pterional, one-piece orbitozygomatic, and two-piece orbitozygomatic approaches were performed. Key anatomical landmarks and surgical steps were documented photographically. Osteotomies, dural openings, and basal drilling techniques were systematically applied to maximize exposure of the lamina terminalis region while preserving critical neurovascular structures. Results: The results demonstrate that all three approaches effectively expose the lamina terminalis cistern and related vascular structures. By highlighting the trajectory, osteotomies, and neurovascular anatomy, the anatomical dissections provide valuable visual guidance. These findings are intended to support neurosurgical education by illustrating the strengths of each approach in a comparative context. Conclusions: This study offers detailed anatomical visualization of three key approaches to the lamina terminalis. The stepwise dissections and high-resolution images are intended as an educational guide to assist neurosurgeons and residents in mastering these techniques. Such anatomical understanding is vital for safe, effective surgical interventions involving the anterior skull base and vascular pathologies. Full article
(This article belongs to the Special Issue Cranial Base Tumors: Pathogenesis, Diagnosis, and Treatments)
Show Figures

Figure 1

20 pages, 433 KB  
Review
History and Development of Clinical Use of Functional Stereotaxy for Radiation Oncologists: From Its Origins to Its Current State
by Merrik Goulet, Giuseppina Laura Masucci, Daniel Taussky and Marc Levivier
Curr. Oncol. 2025, 32(12), 656; https://doi.org/10.3390/curroncol32120656 - 22 Nov 2025
Viewed by 864
Abstract
Background: Stereotactic radiosurgery (SRS) was originally conceived as a noninvasive alternative to functional neurosurgery by the Swedish neurosurgeon Lars Leksell. This review traces the historical development of stereotactic methods from early mechanical frames to advanced image-guided systems and examines the pivotal innovations that [...] Read more.
Background: Stereotactic radiosurgery (SRS) was originally conceived as a noninvasive alternative to functional neurosurgery by the Swedish neurosurgeon Lars Leksell. This review traces the historical development of stereotactic methods from early mechanical frames to advanced image-guided systems and examines the pivotal innovations that enable precise intracranial targeting for SRS. Methods: Using PubMed and Google Scholar, we reviewed the literature on the general history of functional stereotactic neurosurgery and radiosurgery, its indications, and how their treatment methods evolved, focusing mainly on the early period from the end of the 18th century to the 1990s. Results: The origins of stereotaxy as a principle and technique were traced back to the early 20th century with animal studies by Horsley and Clarke, later adapted for human use by Spiegel and Wycis, and then Talairach in the 1940s. This enabled the precise targeting of deep brain structures for lesion-based interventions in movement, pain, and psychiatric disorders. Deep Brain Stimulation (DBS) emerged in the 1980s as a reversible treatment for tremor. Stereotactic radiosurgery was conceived in 1951 as a noninvasive alternative functional approach and saw limited use until the 1990s due to imaging constraints. With MRI-guided planning, its application has expanded mostly to the management of benign and malignant tumors and vascular disorders, as well as for functional approaches, particularly for trigeminal neuralgia, tremor, epilepsy, and OCD. Conclusions: This review underscores how technological progress and shifting clinical priorities have transformed SRS from a niche neurosurgical technique into a cornerstone of modern clinical practice, with functional SRS representing its latest clinical field of expansion. Full article
Show Figures

Figure 1

31 pages, 710 KB  
Review
Deep Brain Stimulation in Treatment-Resistant Psychiatric Disorders: Efficacy, Safety, and Future Directions
by Mohsen Khosravi
Brain Sci. 2025, 15(11), 1244; https://doi.org/10.3390/brainsci15111244 - 20 Nov 2025
Viewed by 2344
Abstract
Treatment-resistant psychiatric disorders represent a major clinical challenge, with a significant proportion of patients remaining refractory to conventional pharmacological and psychotherapeutic interventions. Deep brain stimulation (DBS), a neurosurgical technique delivering targeted electrical impulses to specific brain regions, has emerged as a promising intervention [...] Read more.
Treatment-resistant psychiatric disorders represent a major clinical challenge, with a significant proportion of patients remaining refractory to conventional pharmacological and psychotherapeutic interventions. Deep brain stimulation (DBS), a neurosurgical technique delivering targeted electrical impulses to specific brain regions, has emerged as a promising intervention across a spectrum of refractory psychiatric conditions. This comprehensive narrative review synthesizes current evidence on the efficacy, safety, and practical considerations of DBS for treatment-resistant major depressive disorder, obsessive–compulsive disorder, bipolar disorder, schizophrenia, addictions, Tourette’s syndrome, anorexia nervosa, post-traumatic stress disorder, and refractory aggression in autism spectrum disorder with severe intellectual disability. Across most conditions, DBS demonstrates clinically meaningful symptom reductions, with response and remission rates in depression and obsessive–compulsive disorder approaching 48% and 35%, respectively. For Tourette’s syndrome and refractory aggression in autism, over two-thirds of patients’ experience > 50% symptom reduction. Preliminary data in bipolar disorder, schizophrenia, addictions, and anorexia nervosa are encouraging but limited by small sample sizes and methodological heterogeneity. Safety profiles are generally acceptable, with the majority of adverse events being device- or procedure-related; psychiatric adverse effects and rare serious complications underscore the importance of careful patient selection and monitoring. However, the literature is constrained by inconsistent study designs, a paucity of randomized controlled trials, heterogeneity in DBS targets and stimulation parameters, and limited long-term and quality-of-life outcomes. Optimization of anatomical targeting, stimulation protocols, and patient selection criteria remains an ongoing challenge. Future directions require larger, rigorously controlled trials with standardized outcome measures, integration of neurobiological biomarkers, and multidisciplinary collaboration. In summary, while DBS offers transformative potential for select cases of refractory psychiatric illness, its application must be guided by scientific rigor, ethical prudence, and individualized patient-centered care. Full article
Show Figures

Figure 1

Back to TopTop