Sign in to use this feature.

Years

Between: -

Subjects

remove_circle_outline
remove_circle_outline
remove_circle_outline
remove_circle_outline
remove_circle_outline
remove_circle_outline
remove_circle_outline

Journals

Article Types

Countries / Regions

Search Results (13)

Search Parameters:
Keywords = neurofeedback (NFT)

Order results
Result details
Results per page
Select all
Export citation of selected articles as:
29 pages, 2127 KB  
Article
Optimal Inter-Session Intervals in Neurofeedback Training: A Randomized Trial of Retention and Individual Response Patterns in Elite Judo Athletes
by Alicja Markiel, Dariusz Skalski, Jarosław Markowski, Jan Pilch, Adam Maszczyk and Adam Zajac
Appl. Sci. 2026, 16(1), 142; https://doi.org/10.3390/app16010142 - 23 Dec 2025
Viewed by 337
Abstract
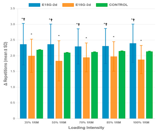
Background: Neurofeedback training (NFT) enhances athletic performance through alpha modulation, but optimal inter-session intervals and individual response variability remain poorly understood. Objective: This is the first randomized controlled trial to systematically compare neurofeedback periodization (2-day vs. 3-day inter-session intervals) on neurophysiological adaptations, strength [...] Read more.
Background: Neurofeedback training (NFT) enhances athletic performance through alpha modulation, but optimal inter-session intervals and individual response variability remain poorly understood. Objective: This is the first randomized controlled trial to systematically compare neurofeedback periodization (2-day vs. 3-day inter-session intervals) on neurophysiological adaptations, strength performance, and retention in elite judo athletes. Methods: Thirty-one national-level judokas completed 15 alpha enhancement sessions in 2-day (n = 12), 3-day (n = 12), or control (n = 7) groups, receiving pseudo-neurofeedback with randomized, non-contingent feedback. Primary outcomes included Frontal Alpha Index changes (ΔFAI; frontal alpha power modulation ratio) and squat performance (35–100% 1RM), with secondary assessment of 48/72 h retention and response phenotypes. Results: Mean ΔFAI was modest (E15G-2d: 0.005 ± 0.205; E15G-3d: 0.052 ± 0.202), with early peak responses followed by stabilization. E15G-3d demonstrated superior retention (90.2 ± 3.4% at 72 h vs. 76.8 ± 4.1% at 48 h; p < 0.001) despite similar peaks. Both training groups showed significant strength improvements versus controls (E15G-2d: 2.37 ± 0.66 reps; E15G-3d: 2.00 ± 0.53 reps), yet neurophysiological-performance correlations were non-significant (p > 0.072), indicating strength adaptations via mechanisms independent of alpha modulation. Three response phenotypes emerged (high: 29.0%, moderate: 51.6%, low: 19.4%), representing the first empirical classification of neurofeedback responsiveness in athletes. Conclusions: Three-day intervals uniquely optimize retention through enhanced consolidation, establishing evidence-based periodization guidelines for elite athletes. The dissociation between neural and performance adaptations challenges traditional neurofeedback theory, while individual heterogeneity necessitates personalized protocols for optimal NFT periodization. Full article
Show Figures

Figure 1

18 pages, 4154 KB  
Article
Neurofeedback Training Modulates Brain Functional Networks and Improves Cognition in Amnestic Mild Cognitive Impairment Patients Aged 60–70 Years
by Rui Su, Xin Li, Ping Xie and Yi Yuan
Brain Sci. 2025, 15(11), 1243; https://doi.org/10.3390/brainsci15111243 - 19 Nov 2025
Viewed by 909
Abstract
Background/Objectives: Amnestic mild cognitive impairment (aMCI) represents a transitional stage between normal aging and dementia, constituting a critical intervention window for Alzheimer’s disease (AD). As a non-invasive intervention, neurofeedback training (NFT) has demonstrated potential in ameliorating cognitive deficits and clinical symptoms in [...] Read more.
Background/Objectives: Amnestic mild cognitive impairment (aMCI) represents a transitional stage between normal aging and dementia, constituting a critical intervention window for Alzheimer’s disease (AD). As a non-invasive intervention, neurofeedback training (NFT) has demonstrated potential in ameliorating cognitive deficits and clinical symptoms in aMCI patients; however, its mechanistic effects on functional brain connectivity remain inadequately elucidated. Methods: This study employed low- and high-order functional analytical approaches to comprehensively investigate the effects of NFT on dynamic brain functional networks in aMCI. Results: Our findings revealed that following NFT, aMCI patients exhibited enhanced connectivity strength, global efficiency, and nodal characteristics within the delta band, whereas connectivity was generally attenuated in the theta, alpha, and beta bands. Dynamic network analysis indicated increased entropy in short-time windows. Cognitive assessments showed a significant short-term improvement in MoCA scores among 92.9% of participants. Conclusions: These results suggest that NFT effectively remodels brain network activity patterns in aMCI patients, thereby facilitating cognitive improvement. These findings provide preliminary insights into the brain network mechanisms underlying NFT-mediated cognitive enhancement in aMCI. Full article
Show Figures

Figure 1

12 pages, 251 KB  
Article
Evaluating the Efficacy of Neurofeedback in Post-Bariatric Surgery Patients: A Pilot Study
by Claudia Scaramuzzino, Clara Lombardo, Giulia Esposito, Maria Rosaria Anna Muscatello, Antonio Bruno, Marco Populin, Giuseppe Navarra, Fabio Guccione and Carmela Mento
J. Pers. Med. 2025, 15(10), 454; https://doi.org/10.3390/jpm15100454 - 29 Sep 2025
Viewed by 681
Abstract
Background: Obesity remains a major global health challenge, and a significant proportion of bariatric surgery patients continue to experience dysfunctional emotional eating and body image concerns after surgery. Neurofeedback training (NFT) has been investigated as a potential intervention for maladaptive eating behaviours, [...] Read more.
Background: Obesity remains a major global health challenge, and a significant proportion of bariatric surgery patients continue to experience dysfunctional emotional eating and body image concerns after surgery. Neurofeedback training (NFT) has been investigated as a potential intervention for maladaptive eating behaviours, but evidence in post-bariatric populations is still limited. Methods: Thirty-six patients who underwent sleeve gastrectomy were included, divided into an NFT group (N = 18) and a control group (N = 18). Assessments were performed at baseline and after 10 NFT sessions, using the Eating Disorder Inventory (EDI) and the Body Uneasiness Test (BUT). The intervention aimed to enhance alpha and theta waves with real-time feedback. Results: Compared with the control group, the NFT group showed significant improvements; specifically, reductions were observed in EDI subscales such as Drive for Thinness (p = 0.023, d = 0.51), Bulimia (p = 0.008, d = 0.92), Body Dissatisfaction (p = 0.015, d = 0.52), Ineffectiveness (p = 0.002, d = 0.89), Perfectionism (p = 0.006, d = 0.70), Interpersonal Distrust (p = 0.008, d = 0.82), and Interoceptive Awareness (p = 0.001, d = 0.91). Significant reductions were also found in BUT subscales including Weight Phobia (p = 0.041, d = 0.84), Body Image Concern (p = 0.039, d = 0.90), Avoidance (p = 0.027, d = 0.83), Compulsive Self-Monitoring (p = 0.013, d = 0.83), and Depersonalisation (p = 0.033, d = 0.85). Conclusions: The data indicate that NFT may help reduce emotional eating and related psychological factors in post-bariatric patients in the short term. However, studies with larger samples and longer follow-ups are needed to confirm its effectiveness and assess its clinical applicability. Full article
(This article belongs to the Special Issue Recent Advances in Bariatric Surgery)
19 pages, 2022 KB  
Article
A Novel PNDA-MMNet Model for Evaluating Dynamic Changes in the Brain State of Patients with PTSD During Neurofeedback Training
by Peng Ding, Lei Zhao, Anmin Gong, Wenya Nan and Yunfa Fu
Sensors 2025, 25(11), 3522; https://doi.org/10.3390/s25113522 - 3 Jun 2025
Viewed by 1014
Abstract
Background: Monitoring and evaluating dynamic changes in brain states during electroencephalography (EEG) neurofeedback training (NFT) for post-traumatic stress disorder (PTSD) patients remains challenging when using traditional methods. Method: This study proposes a novel Process Noise Dynamic Adaptation-Mesoscale Mesonetwork Network (PNDA-MMNet) model, which improves [...] Read more.
Background: Monitoring and evaluating dynamic changes in brain states during electroencephalography (EEG) neurofeedback training (NFT) for post-traumatic stress disorder (PTSD) patients remains challenging when using traditional methods. Method: This study proposes a novel Process Noise Dynamic Adaptation-Mesoscale Mesonetwork Network (PNDA-MMNet) model, which improves upon conventional techniques by establishing a discrete linear dynamic model of the NFT process. The model utilizes a mesoscale intermediate network architecture to create a brain state observation matrix, computes the brain state transition matrix, and applies fuzzy rules for dynamic adaptive noise processing. This maximizes the separability between brain state transitions during NFT and resting states. Results: The proposed model achieves a brain state identification accuracy of 0.7428 ± 0.12 (area under the curve, AUC = 0.84), significantly outperforming conventional algorithms. Interpretations of the model indicate that continuous NFT reduces functional connectivity within the motor cortex, with stronger suppression in the right hemisphere compared to the left. Additionally, it reveals decreased activity in the occipital cortex, particularly in the left occipital region, where inhibition increases radially from the midline. Notably, the connectivity between the motor and occipital cortices remains stable throughout the training process. These connectivity changes reflect NFT-induced modulation of cortical activity and are consistent with known neurophysiological patterns in PTSD, highlighting their potential relevance to therapeutic mechanisms. Conclusion: This research introduces a more effective approach for real-time monitoring and evaluation of PTSD patients’ brain states during NFT, offering a quantitative method for assessing treatment efficacy and guiding therapeutic interventions. Full article
(This article belongs to the Special Issue Brain Computer Interface for Biomedical Applications)
Show Figures

Figure 1

30 pages, 2046 KB  
Systematic Review
Non-Invasive BCI-VR Applied Protocols as Intervention Paradigms on School-Aged Subjects with ASD: A Systematic Review
by Archondoula Alexopoulou, Pantelis Pergantis, Constantinos Koutsojannis, Vassilios Triantafillou and Athanasios Drigas
Sensors 2025, 25(5), 1342; https://doi.org/10.3390/s25051342 - 22 Feb 2025
Cited by 1 | Viewed by 6600
Abstract
This paper aims to highlight non-invasive BCI-VR applied protocols as intervention paradigms on school-aged subjects with ASD. Computer-based interventions are considered appropriate for users with ASD as concentration on a screen reduces other stimuli from the environment that are likely to be distracting [...] Read more.
This paper aims to highlight non-invasive BCI-VR applied protocols as intervention paradigms on school-aged subjects with ASD. Computer-based interventions are considered appropriate for users with ASD as concentration on a screen reduces other stimuli from the environment that are likely to be distracting or disruptive. Since there are no social conditions for engagement in such processes and the responses of computing systems do not hold surprises for users, as the outputs are fully controlled, they are ideal for ASD subjects. Children and adolescents with ASD, when supported by BCI interventions through virtual reality applications, especially appear to show significant improvements in core symptoms, such as cognitive and social deficits, regardless of their age or IQ. We examined nine protocols applied from 2016 to 2023, focusing on the BCI paradigms, the procedure, and the outcomes. Our study is non-exhaustive but representative of the state of the art in the field. As concluded by the research, BCI-VR applied protocols have no side effects and are rather easy to handle and maintain, and despite the fact that there are research limitations, they hold promise as a tool for improving social and cognitive skills in school-aged individuals with ASD. Full article
Show Figures

Figure 1

24 pages, 1988 KB  
Article
Enhancing Working Memory and Reducing Anxiety in University Students: A Neurofeedback Approach
by Pierluigi Diotaiuti, Giuseppe Valente, Stefano Corrado, Beatrice Tosti, Chiara Carissimo, Tommaso Di Libero, Gianni Cerro, Angelo Rodio and Stefania Mancone
Brain Sci. 2024, 14(6), 578; https://doi.org/10.3390/brainsci14060578 - 5 Jun 2024
Cited by 11 | Viewed by 6439
Abstract
(1) Background: Neurofeedback training (NFT) has emerged as a promising approach for enhancing cognitive functions and reducing anxiety, yet its specific impact on university student populations requires further investigation. This study aims to examine the effects of NFT on working memory improvement and [...] Read more.
(1) Background: Neurofeedback training (NFT) has emerged as a promising approach for enhancing cognitive functions and reducing anxiety, yet its specific impact on university student populations requires further investigation. This study aims to examine the effects of NFT on working memory improvement and anxiety reduction within this demographic. (2) Methods: A total of forty healthy university student volunteers were randomized into two groups: an experimental group that received NFT and a control group. The NFT protocol was administered using a 14-channel Emotiv Epoc X headset (EMOTIV, Inc., San Francisco, CA 94102, USA) and BrainViz software version Brain Visualizer 1.1 (EMOTIV, Inc., San Francisco, CA 94102, USA), focusing on the alpha frequency band to target improvements in working memory and reductions in anxiety. Assessment tools, including the Corsi Block and Memory Span tests for working memory and the State-Trait Anxiety Inventory-2 (STAI-2) for anxiety, were applied pre- and post-intervention. (3) Results: The findings indicated an increase in alpha wave amplitude in the experimental group from the second day of NFT, with statistically significant differences observed on days 2 (p < 0.05) and 8 (p < 0.01). Contrary to expectations based on the previous literature, the study did not observe a concurrent positive impact on working memory. Nonetheless, a significant reduction in state anxiety levels was recorded in the experimental group (p < 0.001), corroborating NFT’s potential for anxiety management. (4) Conclusions: While these results suggest some potential of the technique in enhancing neural efficiency, the variability across different days highlights the need for further investigation to fully ascertain its effectiveness. The study confirms the beneficial impact of NFT on reducing state anxiety among university students, underscoring its value in psychological and cognitive performance enhancement. Despite the lack of observed improvements in working memory, these results highlight the need for continued exploration of NFT applications across different populations and settings, emphasizing its potential utility in educational and therapeutic contexts. Full article
(This article belongs to the Section Cognitive, Social and Affective Neuroscience)
Show Figures

Figure 1

23 pages, 366 KB  
Review
Improving Mental Skills in Precision Sports by Using Neurofeedback Training: A Narrative Review
by Stefano Corrado, Beatrice Tosti, Stefania Mancone, Tommaso Di Libero, Angelo Rodio, Alexandro Andrade and Pierluigi Diotaiuti
Sports 2024, 12(3), 70; https://doi.org/10.3390/sports12030070 - 29 Feb 2024
Cited by 27 | Viewed by 16789
Abstract
Primary objectives of neurofeedback training (NFT) are to improve concentration, stress and anxiety management, and performance optimisation. This narrative review examines the role of NFT as a tool to improve mental and cognitive skills of target shooting and archery athletes. Current research discusses [...] Read more.
Primary objectives of neurofeedback training (NFT) are to improve concentration, stress and anxiety management, and performance optimisation. This narrative review examines the role of NFT as a tool to improve mental and cognitive skills of target shooting and archery athletes. Current research discusses how neurofeedback training can act on brain waves by influencing specific EEG frequency bands in order to improve cognitive flexibility. This contribution reports studies that have applied neurofeedback protocols in precision disciplines such as archery and shooting. The results of the studies considered showed that neurofeedback can lead to faster reaction times, more sustained attention, and better emotion management, contributing significantly to athletes’ performance. Furthermore, it is emphasised that neurofeedback could be combined with other techniques such as motor imagination to maximise effectiveness in precision sports training. This review emphasises the importance of future studies that focus on the integration of neurofeedback with biofeedback in neuromodulation protocols. Current perspectives and limitations of research in this area are also indicated. Neuromodulation by means of neurofeedback represents a promising strategy to improve the overall mental and cognitive abilities of target shooting and archery athletes with an interesting potential for high-level performance. Future research should focus on integrated approaches and customised protocols to optimise the use of neurofeedback in a precision sports context. Full article
Show Figures

Figure 1

22 pages, 4830 KB  
Article
Exploring the Effects of EEG-Based Alpha Neurofeedback on Working Memory Capacity in Healthy Participants
by Rab Nawaz, Guilherme Wood, Humaira Nisar and Vooi Voon Yap
Bioengineering 2023, 10(2), 200; https://doi.org/10.3390/bioengineering10020200 - 3 Feb 2023
Cited by 20 | Viewed by 6950
Abstract
Neurofeedback, an operant conditioning neuromodulation technique, uses information from brain activities in real-time via brain–computer interface (BCI) technology. This technique has been utilized to enhance the cognitive abilities, including working memory performance, of human beings. The aims of this study are to investigate [...] Read more.
Neurofeedback, an operant conditioning neuromodulation technique, uses information from brain activities in real-time via brain–computer interface (BCI) technology. This technique has been utilized to enhance the cognitive abilities, including working memory performance, of human beings. The aims of this study are to investigate how alpha neurofeedback can improve working memory performance in healthy participants and to explore the underlying neural mechanisms in a working memory task before and after neurofeedback. Thirty-six participants divided into the NFT group and the control group participated in this study. This study was not blinded, and both the participants and the researcher were aware of their group assignments. Increasing power in the alpha EEG band was used as a neurofeedback in the eyes-open condition only in the NFT group. The data were collected before and after neurofeedback while they were performing the N-back memory task (N = 1 and N = 2). Both groups showed improvement in their working memory performance. There was an enhancement in the power of their frontal alpha and beta activities with increased working memory load (i.e., 2-back). The experimental group showed improvements in their functional connections between different brain regions at the theta level. This effect was absent in the control group. Furthermore, brain hemispheric lateralization was found during the N-back task, and there were more intra-hemisphere connections than inter-hemisphere connections of the brain. These results suggest that healthy participants can benefit from neurofeedback and from having their brain networks changed after the training. Full article
(This article belongs to the Section Biosignal Processing)
Show Figures

Figure 1

13 pages, 4079 KB  
Review
Efficacy of Neuro-Feedback Training for PTSD Symptoms: A Systematic Review and Meta-Analysis
by Jian Hong and Jin-Hyuck Park
Int. J. Environ. Res. Public Health 2022, 19(20), 13096; https://doi.org/10.3390/ijerph192013096 - 12 Oct 2022
Cited by 23 | Viewed by 9255
Abstract
If the negative emotions experienced in life become trauma, they affect daily life. Neuro-feedback technology has recently been introduced as a treatment, but many different neuro-feedback protocols and methods exits. This study conducted a meta-analysis of neuro-feedback training for post-traumatic stress disorder (PTSD) [...] Read more.
If the negative emotions experienced in life become trauma, they affect daily life. Neuro-feedback technology has recently been introduced as a treatment, but many different neuro-feedback protocols and methods exits. This study conducted a meta-analysis of neuro-feedback training for post-traumatic stress disorder (PTSD) symptoms to evaluate the effects of functional magnetic resonance imaging (fMRI) and electroencephalogram (EEG)-based neuro-feedback training. A search of PubMed, the Cochrane Library, Web of Science, Science Direct, and ClinicalTrials.gov was conducted from January 2011 to December 2021. The studies’ quality was assessed using the Cochrane risk of bias tool and publication bias was assessed by Egger’s regression test. Seven studies that met the inclusion criteria were used for the systematic review and meta-analysis. EEG was more effective than fMRI for PTSD symptoms, and the effect on PTSD symptoms was higher than on anxiety and depression. There was no difference in the effectiveness of the training sessions. Our findings showed that EEG-based neuro-feedback training was more helpful for training PTSD symptoms. Additionally, the methods were also shown to be valid for evaluating clinical PTSD diagnoses. Further research is needed to establish a gold standard protocol for the EEG-based neuro-feedback training (EEG-NFT) method for PTSD symptoms. Full article
Show Figures

Figure 1

14 pages, 1419 KB  
Systematic Review
Systematic Review and Meta-Analysis on the Effects of Neurofeedback Training of Theta Activity on Working Memory and Episodic Memory in Healthy Population
by Wen-Hsiu Yeh, Ya-Ju Ju, Yu-Ting Liu and Ting-Yi Wang
Int. J. Environ. Res. Public Health 2022, 19(17), 11037; https://doi.org/10.3390/ijerph191711037 - 3 Sep 2022
Cited by 11 | Viewed by 5582
Abstract
The main purpose of this study was to investigate the effects of neurofeedback training (NFT) of theta activity on working memory (WM) and episodic memory (EM) in healthy participants via a systematic review and meta-analysis. A total of 337 articles obtained from electronic [...] Read more.
The main purpose of this study was to investigate the effects of neurofeedback training (NFT) of theta activity on working memory (WM) and episodic memory (EM) in healthy participants via a systematic review and meta-analysis. A total of 337 articles obtained from electronic databases were assessed; however, only 11 articles met the criteria for meta-analysis after manually screening and eliminating unnecessary studies. A meta-analysis calculating the Hedges’ g effect size metric with 95% confidence intervals using random effects models was employed. Heterogeneity was estimated using I2 statistics. Theta NFT is effective in improving memory outcomes, including WM with a Hedges’ g of 0.56 [0.10; 1.02] (I2 = 62.9% and p = 0.02), and EM with a Hedges’ g of 0.62 [0.13; 1.10] (I2 = 42.04% and p = 0.01). Overall, the results suggest that theta NFT seems to be useful as nonpharmacological/adjunct training to improve WM and EM in healthy participants. Full article
(This article belongs to the Section Health Behavior, Chronic Disease and Health Promotion)
Show Figures

Figure 1

16 pages, 3082 KB  
Article
The Effect of Alpha Neurofeedback Training on Cognitive Performance in Healthy Adults
by Rab Nawaz, Humaira Nisar, Vooi Voon Yap and Chi-Yi Tsai
Mathematics 2022, 10(7), 1095; https://doi.org/10.3390/math10071095 - 29 Mar 2022
Cited by 20 | Viewed by 6985
Abstract
This study investigates the effect of long-term alpha neurofeedback training (NFT) in healthy adults using music stimuli. The optimal protocol for future research is presented in this study. The data from 40 healthy participants, divided into two groups (NFT group and Control group), [...] Read more.
This study investigates the effect of long-term alpha neurofeedback training (NFT) in healthy adults using music stimuli. The optimal protocol for future research is presented in this study. The data from 40 healthy participants, divided into two groups (NFT group and Control group), were analyzed in the current study. We found a significantly enhanced alpha rhythm after training in the NFT group which was not observed in the control group. The immediate subsequent effects were greater in more than 80% of the sessions from the initial recordings. Stroop task and behavioral questionnaires, mini-mental state exam (MMSE), and perceived stress scale (PSS) did not reveal any training-specific changes. Within-training session effects were significant from the baseline and were more pronounced at the beginning of the session as compared to the end of the session. It is also observed that a shorter session length with multiple sessions may be more effective than a long and continuous run of a single session. Full article
(This article belongs to the Special Issue From Brain Science to Artificial Intelligence)
Show Figures

Figure 1

19 pages, 9014 KB  
Article
Neurofeedback Training Based on Motor Imagery Strategies Increases EEG Complexity in Elderly Population
by Diego Marcos-Martínez, Víctor Martínez-Cagigal, Eduardo Santamaría-Vázquez, Sergio Pérez-Velasco and Roberto Hornero
Entropy 2021, 23(12), 1574; https://doi.org/10.3390/e23121574 - 25 Nov 2021
Cited by 15 | Viewed by 5327
Abstract
Neurofeedback training (NFT) has shown promising results in recent years as a tool to address the effects of age-related cognitive decline in the elderly. Since previous studies have linked reduced complexity of electroencephalography (EEG) signal to the process of cognitive decline, we propose [...] Read more.
Neurofeedback training (NFT) has shown promising results in recent years as a tool to address the effects of age-related cognitive decline in the elderly. Since previous studies have linked reduced complexity of electroencephalography (EEG) signal to the process of cognitive decline, we propose the use of non-linear methods to characterise changes in EEG complexity induced by NFT. In this study, we analyse the pre- and post-training EEG from 11 elderly subjects who performed an NFT based on motor imagery (MI–NFT). Spectral changes were studied using relative power (RP) from classical frequency bands (delta, theta, alpha, and beta), whilst multiscale entropy (MSE) was applied to assess EEG-induced complexity changes. Furthermore, we analysed the subject’s scores from Luria tests performed before and after MI–NFT. We found that MI–NFT induced a power shift towards rapid frequencies, as well as an increase of EEG complexity in all channels, except for C3. These improvements were most evident in frontal channels. Moreover, results from cognitive tests showed significant enhancement in intellectual and memory functions. Therefore, our findings suggest the usefulness of MI–NFT to improve cognitive functions in the elderly and encourage future studies to use MSE as a metric to characterise EEG changes induced by MI–NFT. Full article
(This article belongs to the Section Signal and Data Analysis)
Show Figures

Figure 1

24 pages, 2718 KB  
Article
A Multivariate Randomized Controlled Experiment about the Effects of Mindfulness Priming on EEG Neurofeedback Self-Regulation Serious Games
by Nuno M. C. da Costa, Estela Bicho, Flora Ferreira, Estela Vilhena and Nuno S. Dias
Appl. Sci. 2021, 11(16), 7725; https://doi.org/10.3390/app11167725 - 22 Aug 2021
Cited by 5 | Viewed by 4925
Abstract
Neurofeedback training (NFT) is a technique often proposed to train brain activity SR with promising results. However, some criticism has been raised due to the lack of evaluation, reliability, and validation of its learning effects. The current work evaluates the hypothesis that SR [...] Read more.
Neurofeedback training (NFT) is a technique often proposed to train brain activity SR with promising results. However, some criticism has been raised due to the lack of evaluation, reliability, and validation of its learning effects. The current work evaluates the hypothesis that SR learning may be improved by priming the subject before NFT with guided mindfulness meditation (MM). The proposed framework was tested in a two-way parallel-group randomized controlled intervention with a single session alpha NFT, in a simplistic serious game design. Sixty-two healthy naïve subjects, aged between 18 and 43 years, were divided into MM priming and no-priming groups. Although both the EG and CG successfully attained the up-regulation of alpha rhythms (F(1,59) = 20.67, p < 0.001, ηp2 = 0.26), the EG showed a significantly enhanced ability (t(29) = 4.38, p < 0.001) to control brain activity, compared to the CG (t(29) = 1.18, p > 0.1). Furthermore, EG superior performance on NFT seems to be explained by the subject’s lack of awareness at pre-intervention, less vigour at post-intervention, increased task engagement, and a relaxed non-judgemental attitude towards the NFT tasks. This study is a preliminary validation of the proposed assisted priming framework, advancing some implicit and explicit metrics about its efficacy on NFT performance, and a promising tool for improving naïve “users” self-regulation ability. Full article
(This article belongs to the Special Issue Serious Games and Mixed Reality Applications for Healthcare)
Show Figures

Figure 1

Back to TopTop