Sign in to use this feature.

Years

Between: -

Subjects

remove_circle_outline
remove_circle_outline
remove_circle_outline
remove_circle_outline
remove_circle_outline
remove_circle_outline

Journals

Article Types

Countries / Regions

Search Results (30)

Search Parameters:
Keywords = nest-predation rates

Order results
Result details
Results per page
Select all
Export citation of selected articles as:
22 pages, 2937 KB  
Article
Between the Atolls: Sea Turtle Nesting in the Maldives from 2018 to 2024
by Isha Afeef, Jane R. Lloyd, Ibrahim Inan, Emily Mundy, Martin Stelfox and Stephanie Köhnk
Animals 2026, 16(2), 307; https://doi.org/10.3390/ani16020307 - 19 Jan 2026
Viewed by 217
Abstract
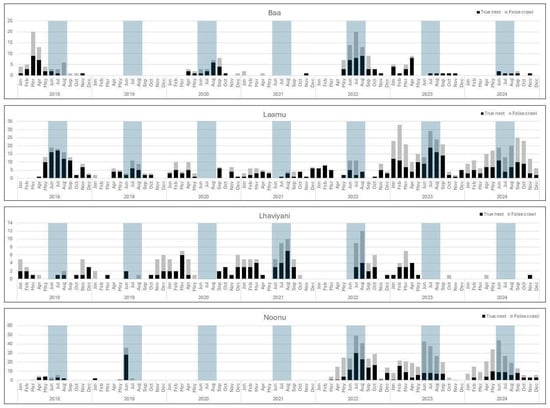
Sea turtles are a vital part of the marine ecosystem in the Maldives. While five species have been recorded in-water in the country, only two have been historically known to nest here: hawksbills and greens. In this study, we present cumulative data from [...] Read more.
Sea turtles are a vital part of the marine ecosystem in the Maldives. While five species have been recorded in-water in the country, only two have been historically known to nest here: hawksbills and greens. In this study, we present cumulative data from targeted nest monitoring in combination with ad hoc reports from citizen scientists and marine biologists from 2018 to 2024, with the aim of providing the first comprehensive multi-year dataset on sea turtle nesting activity in the Maldives. Sea turtle nests were recorded from nearly all atolls. The majority were laid by green turtles (n = 1086), in addition to a small number of hawksbill (n = 47), olive ridley (n = 14) and unknown species (n = 65) nests. Nesting occurs year-round, with a peak during the southwest monsoon season from June to September. Median hatching success rate was 90.91% (SD = 15.87) and incubation lasted a median of 59 days (SD = 4.79). Nest inundation and illegal take were identified as the main threats to sea turtle nests, while incidences of egg predation were an exception. The findings of this study will help to clarify conservation priorities and management strategies for sea turtles in the Maldives. Full article
(This article belongs to the Special Issue Sea Turtle Nesting Behavior and Habitat Conservation)
Show Figures

Figure 1

18 pages, 4522 KB  
Article
New Breeding Information on the Endangered Pinto’s Spinetail Synallaxis infuscata in the Atlantic Rainforest of Northeastern Brazil
by Anita Studer and Leïla Perroulaz
Birds 2026, 7(1), 4; https://doi.org/10.3390/birds7010004 - 9 Jan 2026
Viewed by 287
Abstract
Information on the breeding of the Pinto’s Spinetail (Synallaxis infuscata), an endangered Brazilian Furnariid, is scarce. This study aims to complement it, by looking at nest and clutch parameters, breeding period, and nest success. Once nests were found, they were closely [...] Read more.
Information on the breeding of the Pinto’s Spinetail (Synallaxis infuscata), an endangered Brazilian Furnariid, is scarce. This study aims to complement it, by looking at nest and clutch parameters, breeding period, and nest success. Once nests were found, they were closely monitored from a hide. Between 1986 and 2018, 33 nests were found in the Pedra Talhada Forest near Quebrangulo. Nests were found year-round, except in middle of the dry season. Nests were of the closed/retort type, weighing 552.1 g, and measuring 37.6 × 28.8 cm, with a side arm of 30.6 × 4.9 cm, on average. The clutch size averaged 2.10 eggs, which measured 22.3 × 17.2 mm and weighed 3.2 g. They were white and had an oval to pointed-oval shape. Mean incubation period was 21.5 days and mean nestling period 14.71 days. The apparent nest success was 27.3%, while Mayfield’s was 21.8%. Predation was the main cause of nest failure, accounting for 81% of cases. The breeding data we collected on S. infuscata falls within the range of observations of a comprehensive analysis on other Synallaxis species. This breeding information is important for conservation, as rates of nest loss are a key factor in evaluating population viability. Full article
Show Figures

Figure 1

16 pages, 4813 KB  
Article
Bird Community, Forest Structure and Landscape Affects the Susceptibility to Open-Cup Nest Predation in Austral Forests
by Julieta Benitez, Pablo Luis Peri, Marcelo Daniel Barrera, Guillermo José Martínez Pastur and María Vanessa Lencinas
Forests 2025, 16(11), 1741; https://doi.org/10.3390/f16111741 - 18 Nov 2025
Viewed by 944
Abstract
Nest predation is a major factor limiting avian reproductive success. It depends on factors such as bird community, land use, vegetation structure and landscape. Anthropogenic disturbances in native forests, such as logging and livestock grazing, alter forest structure and understory, potentially affecting nest [...] Read more.
Nest predation is a major factor limiting avian reproductive success. It depends on factors such as bird community, land use, vegetation structure and landscape. Anthropogenic disturbances in native forests, such as logging and livestock grazing, alter forest structure and understory, potentially affecting nest predation rates. In this study, we analysed the susceptibility of open-cup nests to predation in Nothofagus antarctica forests in Tierra del Fuego (Argentina), comparing 15–50 years ago thinned—T and unthinned forests, the latter classified as open—O, closed—C or very closed—VC. We also identified nest predators through camera traps and the main variables influencing predation using a Generalized Lineal Model. Data were collected from 32 sites representing the four studied categories of canopy cover across two years (256 artificial nests per year). Artificial nest predation rates varied between year (9.4% in 2018 and 40.2% in 2022) and among forest types. In 2018, the O forests had the highest predation rate (50%, 12 in total), whereas in 2022, VC forests showed the greatest predation (38%, 39 in total). Camera traps identified three nest predators: Milvago chimango, Campephilus magellanicus and Xolmis pyrope. In 2018, canopy cover was the only variable that influenced artificial nest predation, while in 2022, tree sapling cover, patch shape, open-cup nester density and tree basal area were the most influential (in that order). We found annual variations driven by different ecological factors in N. antarctica forest of southern Patagonia. Although thinning showed no significant long-term effects on artificial nest predation on this study, more research is needed to understand the influence of low impact forest management in austral bird communities. Full article
Show Figures

Figure 1

14 pages, 823 KB  
Article
Density-Dependent and Predator-Specific Nest Defense Strategies in Colonially Breeding Saunders’s Gulls
by Seon-Ju Lee, Bo-Yeon Hwang and Jongmin Yoon
Birds 2025, 6(4), 61; https://doi.org/10.3390/birds6040061 - 11 Nov 2025
Viewed by 885
Abstract
Nest defense is a key component of avian reproductive success, yet its intensity and expression often depend on ecological and social contexts. We investigated the nest defense behaviors of Saunders’s Gulls (Saundersilarus saundersi) breeding in Incheon Bay of South Korea in [...] Read more.
Nest defense is a key component of avian reproductive success, yet its intensity and expression often depend on ecological and social contexts. We investigated the nest defense behaviors of Saunders’s Gulls (Saundersilarus saundersi) breeding in Incheon Bay of South Korea in 2022 in relation to nest density and perceived threats. Using decoy presentations of three heterospecifics, Oriental Magpie (Pica serica; diurnal avian nest predator), common raccoon dog (Nyctereutes procyonoides; nocturnal mammalian nest predator), and Little Tern (Sternula albifrons; neutral co-nester), we quantified latency to respond, bombing attack rate, and the number of mobbing individuals at high- and low-density nesting sites within a breeding colony. Mixed models revealed that latency to respond and attack rates varied strongly with stimulus type, with diurnal predator magpies eliciting the fastest and most intense responses, followed by nocturnal predator raccoon dogs and co-nester terns. Nest density influenced the number of mobbing individuals, which was significantly greater at high-density sites. Principal Component Analysis reduced the three behavioral metrics into a composite score, which correlated negatively with latency and positively with bombing attack rate and mobbing intensity. This score varied with both nest density and stimulus type. Our findings demonstrate that Saunders’s Gulls adjust their nest defense strategies according to both the social context and predator type, highlighting the importance of density-dependent collective nest defense in colonial breeders. Full article
Show Figures

Figure 1

19 pages, 12964 KB  
Article
Nest Predators and Reproductive Success in the Chinese Francolin (Francolinus pintadeanus) Across Two Nature Reserves of Tropical Hainan Island, China
by Qingling Zeng, Yuhan Zhang, Yishuo Ding, He Yang, Yuxin Xu, Guanmian Wu and Xiaodong Rao
Animals 2025, 15(17), 2489; https://doi.org/10.3390/ani15172489 - 25 Aug 2025
Viewed by 1258
Abstract
Understanding the reproductive ecology of birds and the factors influencing nest predation is essential for developing scientifically sound and effective bird conservation strategies. Certain pheasant species sensitive to environmental changes are vulnerable to threats and face survival pressures such as habitat destruction and [...] Read more.
Understanding the reproductive ecology of birds and the factors influencing nest predation is essential for developing scientifically sound and effective bird conservation strategies. Certain pheasant species sensitive to environmental changes are vulnerable to threats and face survival pressures such as habitat destruction and human activities. However, research related to their reproductive ecology is lacking. Here for the first time we reported information on breeding biology of the Chinese francolin (Francolinus pintadeanus). This study was conducted during the breeding seasons of the Chinese francolin in 2021, 2023, 2024, and 2025, combining traditional survey and infrared camera technology to monitor its reproductive ecology and nest predators in the Datian and Bangxi Reserves and to identify its potential predators through artificial nest experiments. All nests were open-ground nests located at the roots of dwarf shrubs and grasses. Our findings revealed that the breeding season of the Chinese francolin was mainly in March–September, peaking in May; its clutch size was 4.09 ± 1.27 (N = 22), reproductive success was 27.27%, and 16 nests were failed; and all failed nests were predated, with abandoned nests accounting for 93.75% of the failed nests. In artificial nest experiments, the predation rates of Datian Reserve and Bangxi Reserve were 70.91% (N = 55) and 60.00% (N = 30), respectively, with no significant difference in predation rates between the fully covered and exposed groups (Datian: χ2 = 0.258, p = 0.612; Bangxi: p = 0.710). Natural nest monitoring and artificial nest experiments on the Chinese francolin identified snakes and the small Indian civet (Viverricula indica) as the main predators in Datian Reserve, as well as the greater coucal (Centropus sinensis) and wild boar (Sus scrofa) as potential predators. In contrast, the main predators in Bangxi Reserve were snakes and rodents. These findings indicate differences in nest predator taxa between the two reserves. We recommend prioritizing the restoration of dwarf scrub vegetation and optimizing the habitat management strategy in these reserves to better protect the breeding habitats of pheasants while promoting long-term stability and continuation of their populations. Full article
(This article belongs to the Special Issue Unveiling the Breeding Biology and Life History Evolution in Birds)
Show Figures

Figure 1

21 pages, 5741 KB  
Article
Post-Fledging Survival, Movement, and Habitat Use of Wood Thrushes in a Suburbanized Landscape
by Melanie L. Klein, Scott Schlossberg, Paige S. Warren, Katherine Straley and David I. King
Diversity 2025, 17(8), 589; https://doi.org/10.3390/d17080589 - 21 Aug 2025
Viewed by 823
Abstract
Suburban forest patches can have important conservation value for birds. This is a hopeful trend because the extent of urbanization is increasing, many avian populations are declining, and urban areas are where most people interact with wildlife. There is evidence that, despite an [...] Read more.
Suburban forest patches can have important conservation value for birds. This is a hopeful trend because the extent of urbanization is increasing, many avian populations are declining, and urban areas are where most people interact with wildlife. There is evidence that, despite an increased density of potential predators, the breeding success of birds in urban or suburban forest patches is comparable to that in rural areas. However, extremely limited data exists on the fledgling life stage of birds in urban or suburban areas, even though it is known that the fledgling stage strongly influences population growth rates. We used radio telemetry to look at the survival, movement, and habitat use of fledgling Wood Thrushes (Hylocichla mustelina) originating from nests in suburban forest patches and in larger swaths of rural, undeveloped forests in western Massachusetts. We tracked 168 fledglings over four field seasons and found that survival was similar for rural and suburban fledglings. Fledglings had lower mortality as they aged. Force-fledging and being left outside the nest after radio-tagging had a negative effect on survival, and we developed techniques to minimize its occurrence. We also found that rural fledglings moved farther from their natal nests, at any given age, than suburban fledglings. Fledglings in both suburban and rural sites selected denser understory growth, and the use of non-forested land cover increased as they aged. Full article
(This article belongs to the Special Issue Biodiversity Conservation in Urbanized Ecosystems)
Show Figures

Figure 1

13 pages, 1130 KB  
Article
Factors Affecting Survival of Common Sandpiper (Actitis hypoleucos) Nests along the Semi-Natural Vistula River in Poland
by Marek Elas, Marta Witkowska and Włodzimierz Meissner
Animals 2024, 14(14), 2055; https://doi.org/10.3390/ani14142055 - 13 Jul 2024
Cited by 2 | Viewed by 1564
Abstract
Predation is an important factor limiting bird populations and is usually the main factor influencing nest survival. In riverine habitats, flooding poses an additional significant challenge. Our study aimed to elucidate the influence of nest location and incubation timing on the survival of [...] Read more.
Predation is an important factor limiting bird populations and is usually the main factor influencing nest survival. In riverine habitats, flooding poses an additional significant challenge. Our study aimed to elucidate the influence of nest location and incubation timing on the survival of common sandpiper nests in a large, semi-natural, lowland river. The survey was carried out in central Poland on the Vistula River, in 2014–2015, 2021, and 2023, along two river sections 2 km and 10 km in length. The nest survival rate was 27%, which is twice as low as that reported on small upland rivers, with flooding being an additional factor causing losses on the Vistula River. Our research showed that mammalian and avian predation accounted for 51% of losses and flooding for 49% of losses. The negative impact of floods on nest survival decreased as the breeding season progressed between May and July, while the chances of being depredated increased during the same period. Nests placed under shrubs were less likely predated than nests located in grass. Moreover, locating the nest in proximity to water increased nesting survival and in fact, more nests found in our study were situated close to the water’s edge. Full article
(This article belongs to the Section Birds)
Show Figures

Figure 1

16 pages, 881 KB  
Article
Experiments Reveal That Search Image Might Be Responsible for Seasonal Variation in Nest-Predation Rates
by Magne Husby and Turid Verdal
Diversity 2024, 16(6), 356; https://doi.org/10.3390/d16060356 - 20 Jun 2024
Cited by 2 | Viewed by 2540
Abstract
Investigations of seasonal variations in nest predation rates yield highly variable results. Some investigations argue that search image is responsible for some of the nest-predation patterns, but as far as we know, this study is the first in which search image in connection [...] Read more.
Investigations of seasonal variations in nest predation rates yield highly variable results. Some investigations argue that search image is responsible for some of the nest-predation patterns, but as far as we know, this study is the first in which search image in connection with seasonal variation in nest-predation rate has been experimentally tested. We used 1457 artificial nests placed in an identical way during the months of March to August, either in the two months consecutively or early and late within one of the two months, between the years 2000 and 2023. In addition, we compared the change in nest-predation rates at 113 artificial and 460 natural nests between the same two months. We estimated the seasonal variation in the abundance of breeding birds in the study area with 140 point counts to find the abundance of different species at the times when they normally breed. We found a strong and consistent seasonal variation in the nest-predation rate, with the highest predation rate in the middle of the breeding season. There was a similar change in the predation rate on natural and artificial nests between May and June. From July to August, the predation rate on artificial nests decreased significantly, while the search-image experiment revealed a significant increase between the same two months. A generalized linear mixed-effect model analysis found that the variation in nest-predation rates on artificial nests was significantly affected by seasonal variation in the estimated number of natural nests, that nests in trees were predated more often than nests on the ground, and that nests in the open landscape and on forest edges suffered higher predation rates than nests inside a forest. Mammals were nest predators significantly more often inside forests and on forest edges than in the open landscape, but birds were much more common nest predators than mammals independent of placement and habitat. Our experiment shows that search image explains the seasonal variation in nest-predation rates. However, more investigations are needed to find the reasons for the variation in published results on seasonal variation. Further, experimental testing on search image to find its contribution to the seasonal variation in nest-predation rates in other areas is also needed. Full article
(This article belongs to the Collection Feature Papers in Animal Diversity)
Show Figures

Figure 1

16 pages, 3473 KB  
Article
Effects of Great Gerbil Disturbance on Photosynthetic Characteristics and Nutrient Status of Haloxylon ammodendron
by Jinshun Shi, Xingming Hao, Zhongke Wang, Meng Jiang, Mengwen Peng, Jiaqi Bai and Li Zhuang
Plants 2024, 13(11), 1457; https://doi.org/10.3390/plants13111457 - 24 May 2024
Cited by 2 | Viewed by 1294
Abstract
Rodents, such as those that feed on plants and nest in plant roots, can significantly affect the growth and development of desert plants. The aim of this study was to investigate the effects of Rhombomys opimus disturbance on the photosynthetic characteristics and nutrient [...] Read more.
Rodents, such as those that feed on plants and nest in plant roots, can significantly affect the growth and development of desert plants. The aim of this study was to investigate the effects of Rhombomys opimus disturbance on the photosynthetic characteristics and nutrient status of Haloxylon ammodendron at different growth stages in the Gurbantunggut Desert. The effects of great gerbil disturbance on the photosynthetic characteristics of H. ammodendron at different growth stages were investigated by measuring the gas exchange parameters, instantaneous water use efficiency, and chlorophyll fluorescence parameters of H. ammodendron at different ages (young, middle, and adult) under the disturbance of great gerbils. The soil nutrients in the assimilated branches and rhizosphere of H. ammodendron at different growth stages were tracked to reveal the relationship between the H. ammodendron nutrient content and gerbil disturbance. The results showed that great gerbil disturbance decreased the organic carbon content in the rhizosphere soil of adult H. ammodendron and increased the total nitrogen content in the rhizosphere soil and the nitrogen and potassium contents in the assimilated branches at each growth stage. The net photosynthetic rate and instantaneous water use efficiency of H. ammodendron decreased at each growth stage, and the maximum photochemical efficiency and non-photochemical quenching parameters of the young H. ammodendron decreased. However, the actual photochemical efficiency and photochemical parameters of the middle H. ammodendron increased. It was concluded that the disturbance of great gerbils decreased the photosynthetic capacity of H. ammodendron and increased the content of total nitrogen in the soil and nitrogen and potassium in the plant. This study revealed that the Gurbantunggut Desert great gerbil and H. ammodendron do not have a simple predation relationship. It laid a foundation for the study of the moderate disturbance threshold and better use of the mutually beneficial relationship between the two. Full article
(This article belongs to the Section Plant Ecology)
Show Figures

Figure 1

21 pages, 5129 KB  
Article
Fragmentation and Connectivity in dehesa Ecosystems Associated with Cerambyx spp. Dispersion and Control: A Graph-Theory Approach
by Adrián Cidre-González, Carlos A. Rivas and Rafael M. Navarro-Cerrillo
Forests 2024, 15(4), 648; https://doi.org/10.3390/f15040648 - 2 Apr 2024
Cited by 4 | Viewed by 1997
Abstract
Xylophagous insects play a crucial role in forest ecosystems, contributing to population dynamics. The “Cerambyx complex” (CC) constitutes an emerging pest in Mediterranean oak woodlands. We studied the fragmentation and connectivity of holm and cork oak stands in Andalusia (Spain), and [...] Read more.
Xylophagous insects play a crucial role in forest ecosystems, contributing to population dynamics. The “Cerambyx complex” (CC) constitutes an emerging pest in Mediterranean oak woodlands. We studied the fragmentation and connectivity of holm and cork oak stands in Andalusia (Spain), and the relationships with the current dispersion of CC, as well as the effect on the connectivity and dispersion patterns with the implementation of nests of a predator bird (Garrulus glandarius) to reduce insect populations in highly connected areas. The Kernel Density Estimation (KDE) was used to assess the spatial distribution of CC. Connectivity was assessed using graphs theory (Graphab 2.6) to characterize the importance of patches and linkages for contributing to dispersal. We selected the Eurasian jay (G. glandarius) as a reference bird species to generate “barriers” to the dispersion of the CC. We used the probability of connectivity (PC) and the flux (F) to compare the effect of the introduction of Eurasian jay nets. Results showed an increasing trend in the distribution and incidence of CC during the period 2001–2016, resulting in 7.3% and 13.1% mortality rates for Q. ilex and Q. suber, respectively. The connectivity model using only Q. ilex and Q. suber forests as reference habitats was not enough to explain the distribution of CC. The value of PC and F metrics decreased by 38.09% and 20.59% by introducing 300 nests of Eurasian jay. Our methodology provides a pest management tool using connectivity metrics, which can be integrated with other variables to control pest outbreaks and pest dispersion. Full article
(This article belongs to the Special Issue Impact of Pests, Climate and Other Factors on Forest Health)
Show Figures

Figure 1

16 pages, 6603 KB  
Article
Aspects of Breeding Performance of Scopoli’s Shearwater (Calonectris diomedea): The Case of the Largest Colony in Greece
by Georgios Karris, Stavros Xirouchakis, Konstantinos Poirazidis, Marios-Dimitrios Voulgaris, Anastasia Tsouroupi, Spyros Sfenthourakis and Sinos Giokas
Diversity 2024, 16(3), 150; https://doi.org/10.3390/d16030150 - 27 Feb 2024
Cited by 1 | Viewed by 3328
Abstract
Here we report, for the first time, aspects of the breeding performance of Scopoli’s Shearwater (Calonectris diomedea) in one of its largest colonies in Europe, i.e., in the Strofades island group. We describe the chronology of the main events in the [...] Read more.
Here we report, for the first time, aspects of the breeding performance of Scopoli’s Shearwater (Calonectris diomedea) in one of its largest colonies in Europe, i.e., in the Strofades island group. We describe the chronology of the main events in the breeding cycle of this species on Stamfani Island, the largest island of this island group, including the evaluation of breeding performance and the influence of ecological factors (nesting habitat, nest type, nest-entrance orientation, and occupation rate per nest) on breeding success. The Scopoli’s Shearwater colony of Stamfani Island exhibited a high degree of breeding synchrony and nest site tenacity. The data obtained by monitoring 472 nests during five consecutive years (2008–2012), showed a breeding success (fledging per occupied nest per year) of up to 66.6%. In addition, hatching success (chick hatched successfully per egg laid) was 76.9%, and fledging success (fledging young per chick hatched successfully) was 86.8%. We also observed annual variations in breeding performance during that period. These results seemed to be influenced positively by the breeding experience of the pair. Furthermore, the type of nest site and the nest-entrance orientation were found to have an effect on breeding success rates, whereas the nesting habitat did not, indicating low predation risk by rats. Full article
(This article belongs to the Special Issue Ecology, Diversity and Conservation of Seabirds)
Show Figures

Graphical abstract

23 pages, 3259 KB  
Review
Predator-Proofing Avian Nestboxes: A Review of Interventions, Opportunities, and Challenges
by Joseph M. Marcus, Adam G. Hart and Anne E. Goodenough
Birds 2024, 5(1), 1-23; https://doi.org/10.3390/birds5010001 - 25 Dec 2023
Cited by 5 | Viewed by 4978
Abstract
Nestboxes are commonly used to increase the number and quality of nest sites available to birds that usually use tree cavities and are considered an important conservation intervention. Although usually safer than natural cavities, birds nesting in simple, unmodified wooden nestboxes remain at [...] Read more.
Nestboxes are commonly used to increase the number and quality of nest sites available to birds that usually use tree cavities and are considered an important conservation intervention. Although usually safer than natural cavities, birds nesting in simple, unmodified wooden nestboxes remain at risk of depredation. Accordingly, numerous design and placement modifications have been developed to ‘predator-proof’ nestboxes. These include: (1) adding metal plates around entrance holes to prevent enlargement; (2) affixing wire mesh to side panels; (3) deepening boxes to increase distance to nest cup; (4) creating external entrance ‘tunnels’ or internal wooden ledges; (5) using more robust construction materials; (6) developing photosensitive shutters to exclude nocturnal predators; (7) using baffles to block climbing mammals; and (8) regular replacement and relocation. However, the benefits and costs of these modifications are not always well understood. In this global review, we collate information on predator-proofing avian nestboxes designed for tree cavity-nesting birds to assess the efficacy of techniques for different predators (mammalian, avian, and reptilian) in different contexts. We critique the potential for modifications to have unintended consequences—including increasing nest building effort, altering microclimate, reducing provisioning rate, and elevating ectoparasite and microbial loads—to identify hidden costs. We conclude by highlighting remaining gaps in knowledge and providing guidance on optimal modifications in different contexts. Full article
Show Figures

Figure 1

14 pages, 3982 KB  
Article
Ranging Behavior of Non-Breeding and Breeding Adult White-Tailed Eagles
by Paweł Mirski and Dariusz Anderwald
Diversity 2023, 15(12), 1208; https://doi.org/10.3390/d15121208 - 8 Dec 2023
Cited by 8 | Viewed by 2869
Abstract
Space utilization by animals is vital for species ecology but also a valuable predictor of habitat conditions and environment capacity for a given species. We investigated the ranging behavior of the white-tailed eagle, an apex predator experiencing a significant population increase and saturation. [...] Read more.
Space utilization by animals is vital for species ecology but also a valuable predictor of habitat conditions and environment capacity for a given species. We investigated the ranging behavior of the white-tailed eagle, an apex predator experiencing a significant population increase and saturation. Comparing five adult floaters and two breeding males tracked with GPS loggers in Poland for 1–5 years, we observed substantial differences in space utilization. Breeding males occupied approximately 63 to 122 km2 (using 90% kernel density), while floaters ranged over roughly 6000 to 60,000 km2. Breeding males expanded their home ranges during successful breeding, with one male frequently flying 29 km to a foraging site when raising chicks but hardly doing so in other seasons. Both breeding males revisited nests more frequently in April and May (up to seven times daily, typically two to four), exhibiting distinct seasonal daily movement patterns. Floaters had slightly higher daily movement rates with a weak seasonal pattern. We conclude that breeding males’ ranging behavior depended on proximity to optimal foraging sites, while adult floaters engaged in prolonged wandering. Full article
(This article belongs to the Special Issue Ecology and Conservation of the White-Tailed Eagle and Golden Eagle)
Show Figures

Figure 1

11 pages, 747 KB  
Article
Life-History and Ecological Correlates of Egg and Clutch Mass Variation in Sympatric Bird Species at High Altitude
by Yuxin Liu, Xiaolong Du, Guopan Li, Yingbao Liu and Shaobin Li
Biology 2023, 12(10), 1303; https://doi.org/10.3390/biology12101303 - 2 Oct 2023
Cited by 1 | Viewed by 2653
Abstract
The variation in egg and clutch mass in sympatric species at high altitudes is poorly understood, and the potential causes of variation are rarely investigated. This study aimed to describe the interspecific variation in avian egg and clutch mass among 22 sympatric bird [...] Read more.
The variation in egg and clutch mass in sympatric species at high altitudes is poorly understood, and the potential causes of variation are rarely investigated. This study aimed to describe the interspecific variation in avian egg and clutch mass among 22 sympatric bird species at an altitude of 3430 m. Our objective was to reduce potential confounding effects of biotic/abiotic factors and investigated hypotheses concerning allometry, clutch size, parental care, nest predation, and lifespan as possible correlates and explanations for the observed variation. Our findings indicated that both egg and clutch mass evolve with body mass across species. We found that egg mass variation was not explained by clutch size when controlling for allometric effects, which contrasts the “egg mass vs. clutch size trade-off” hypothesis. Additionally, we found that clutch mass was positively associated with parental care (reflected by development period) but negatively associated with predation rate. By substituting egg mass and clutch size into the models, we found that clutch size was significantly correlated with parental care, predation rate, and lifespan, while egg mass was only significantly associated with development period. Overall, these findings support life-history theories suggesting that reduced clutch size or mass is associated with a higher risk of predation, reduced parental care, but longer adult lifespan. Interestingly, our results indicate that clutch size has a greater influence on these factors compared to egg mass. This could be attributed to the fact that smaller clutch sizes result in a more notable decrease in energetic allocation, as they require a reduced effort in terms of offspring production, incubation, and feeding, as opposed to solely reducing egg size. These findings contribute to the growing evidence that life-history and ecological traits correlate with egg and clutch mass variation in sympatric species. However, further research is needed to explore the potential evolutionary causes underlying these patterns. Full article
Show Figures

Figure 1

14 pages, 1649 KB  
Article
Alien vs. Predator: Impacts of Invasive Species and Native Predators on Urban Nest Box Use by Native Birds
by Andrew M. Rogers, Françoise Lermite, Andrea S. Griffin, Berndt J. van Rensburg and Salit Kark
Animals 2023, 13(11), 1807; https://doi.org/10.3390/ani13111807 - 30 May 2023
Cited by 4 | Viewed by 3382
Abstract
Many bird species in Australia require tree hollows for breeding. However, assessing the benefits of urban nest boxes to native birds requires frequent monitoring that allows to assess nesting success. To better understand the benefits of nest boxes for native birds, we examined [...] Read more.
Many bird species in Australia require tree hollows for breeding. However, assessing the benefits of urban nest boxes to native birds requires frequent monitoring that allows to assess nesting success. To better understand the benefits of nest boxes for native birds, we examined the impact of local habitat characteristics, invasive species (common myna, Acridotheres tristis), and native mammalian predators on urban nest box use and nesting success of native birds. We installed 216 nest boxes across nine locations in southeastern Australia (S.E. Queensland and northern New South Wales) in both long-invaded sites (invaded before 1970) and more recently invaded sites (after 1990). We monitored all boxes weekly over two breeding seasons. We recorded seven bird species and three mammal species using the nest boxes. Weekly box occupancy by all species averaged 8% of all boxes, with the species most frequently recorded in the nest boxes being the common brushtail possum (Trichosurus vulpecula), a native cavity user and nest predator. We recorded 137 nesting attempts in the boxes across all bird species. The most frequent nesting species were the invasive alien common mynas (72 nesting attempts). We recorded an average nesting failure rate of 53.3% for all bird species. We did not record any common mynas evicting other nesting birds, and found that several native species used the same box after the common myna completed its nesting. We recorded native possums in 92% of the boxes, and possum occupancy of boxes per site was negatively correlated with bird nesting success (p = 0.021). These results suggest that when boxes are accessible to invasive species and native predators, they are unlikely to significantly improve nesting opportunities for native birds. To ensure efficient use of limited conservation resources, nest boxes should be designed to target species of high conservation importance and limit other species of both predators and competitors. Full article
(This article belongs to the Special Issue Invasive Birds: New Advances and Perspectives)
Show Figures

Figure 1

Back to TopTop