Sign in to use this feature.

Years

Between: -

Subjects

remove_circle_outline
remove_circle_outline
remove_circle_outline
remove_circle_outline
remove_circle_outline
remove_circle_outline
remove_circle_outline
remove_circle_outline
remove_circle_outline

Journals

Article Types

Countries / Regions

Search Results (13)

Search Parameters:
Keywords = navy beans

Order results
Result details
Results per page
Select all
Export citation of selected articles as:
11 pages, 1705 KB  
Article
Characterization and In Vitro Digestion Kinetics of Purified Pulse Starches: Implications on Bread Formulation
by Oluwatoyin O. Sangokunle, Sarah G. Corwin and Bruce R. Hamaker
Foods 2025, 14(2), 328; https://doi.org/10.3390/foods14020328 - 20 Jan 2025
Viewed by 1808
Abstract
This study investigated the contribution of pulse starches (PSs) to the slowly digestible starch (SDS) properties observed in pulses. Purified pulse starches from 17 commonly consumed pulses were examined, focusing on their digestion kinetics using a pancreatic alpha-amylase (PAA) and rat intestinal acetone [...] Read more.
This study investigated the contribution of pulse starches (PSs) to the slowly digestible starch (SDS) properties observed in pulses. Purified pulse starches from 17 commonly consumed pulses were examined, focusing on their digestion kinetics using a pancreatic alpha-amylase (PAA) and rat intestinal acetone powder (RIAP) mixture. Chickpea starch, exhibiting a slow digestibility profile, was incorporated as an ingredient to confer slow digestibility to refined wheat flour bread. Our findings reveal that some PSs exhibited low digestibility when gelatinized (100 °C, 30 min) and retrograded (7 days, 4 °C). Rapid retrogradation was observed in starch from chickpeas, lentils, field peas, adzuki beans, navy beans, large lima beans, and great northern beans. The incorporation of chickpea starch into fortified bread significantly improved its slow digestibility properties. This study reveals the potential of pulse starch as a promising functional ingredient for baked products, related to the faster retrogradation of many pulse-sourced starches. These findings contribute valuable insights into the slow digestibility attributes of pulse starches for developing food products with enhanced nutritional profiles. Full article
Show Figures

Figure 1

28 pages, 811 KB  
Review
Pulse Consumption and Health Outcomes: A Scoping Review
by Naisi Zhao, Keyi Jiao, Yu-Hsiang Chiu and Taylor C. Wallace
Nutrients 2024, 16(10), 1435; https://doi.org/10.3390/nu16101435 - 9 May 2024
Cited by 13 | Viewed by 11992
Abstract
Pulses—comprising the dry, edible seeds of leguminous plants—have long been lauded for their culinary flexibility and substantial nutritional advantages. This scoping review aimed to map the evidence on how pulses contribute to overall human health. Four electronic databases were searched for clinical and [...] Read more.
Pulses—comprising the dry, edible seeds of leguminous plants—have long been lauded for their culinary flexibility and substantial nutritional advantages. This scoping review aimed to map the evidence on how pulses contribute to overall human health. Four electronic databases were searched for clinical and observational studies in English. We identified 30 articles (3 cross-sectional studies, 1 federated meta-analysis, 8 prospective cohort studies, 1 before-and-after study, and 17 randomized controlled trials) that met our inclusion criteria. Predominant among the pulses studied were lentils, chickpeas, common bean varieties (e.g., pinto, black, navy, red, kidney), black-eyed peas, cowpeas, and split peas. Consumption modalities varied; most studies examined mixed pulses, while five isolated individual types. In intervention studies, pulses were incorporated into diets by allotting a fixed pulse serving on top of a regular diet or by substituting red meat with pulses, offering a comparative analysis of dietary effects. The health outcomes evaluated were multifaceted, ranging from lipid profiles to blood pressure, cardiovascular disease risk and mortality, type 2 diabetes and glycemic control, metabolic syndrome indicators, inflammatory markers, oxidative stress biomarkers, and hormonal profiles. The most frequently assessed study outcomes included changes in low-density lipoprotein cholesterol, high-density lipoprotein cholesterol, systolic blood pressure, diastolic blood pressure, fasting blood sugar, hemoglobin A1c, waist circumference, and C-reactive protein or high-sensitivity C-reactive protein. This review should serve as a call to action for the scientific community to build upon the existing evidence, enriching our understanding of the nutritional and health-promoting attributes of pulses. Full article
(This article belongs to the Section Nutrition and Public Health)
Show Figures

Figure 1

25 pages, 5194 KB  
Article
Multi-Dimensional Liquid Chromatography of Pulse Triacylglycerols with Triple Parallel Mass Spectrometry
by William C. Byrdwell and Hari Kiran Kotapati
Separations 2023, 10(12), 594; https://doi.org/10.3390/separations10120594 - 5 Dec 2023
Cited by 1 | Viewed by 2965
Abstract
We analyzed ten pulses (the dried seeds of legumes), i.e., baby lima beans, black beans, black-eyed peas, butter beans, cranberry beans, garbanzo beans, green split peas, lentils, navy beans, and pinto beans, using three-dimensional liquid chromatography (3D-LC) with parallel second dimensions, LC × [...] Read more.
We analyzed ten pulses (the dried seeds of legumes), i.e., baby lima beans, black beans, black-eyed peas, butter beans, cranberry beans, garbanzo beans, green split peas, lentils, navy beans, and pinto beans, using three-dimensional liquid chromatography (3D-LC) with parallel second dimensions, LC × (LC + LC). We combined non-aqueous reversed-phase (NARP) chromatography as the first dimension separation, 1D, with argentation UHPLC for separation based on degree and location of unsaturation in the first second dimension, 2D(1), and multi-cycle NARP-UHPLC in the second second dimension, 2D(2). Pulses contained 1.9% to 2.7% lipids, except garbanzo beans, which contained 6.2% lipids. High-resolution, accurate-mass (HRAM) orbitrap mass spectrometry (MS) was used to perform lipidomic analysis of the 2D(2) and percent relative quantification, showing that the most abundant average triacylglycerol (TAG) molecular species across all pulses were PLL at 10.67% and PLLn at 10.45%. Common beans (Phaseolus vulgaris) were clustered together using principal component analysis (PCA), showing the highest levels of linolenic acid, C18:3, in molecular species such as PLnLn, LLnLn, and OLLn, with palmitic (P), C16:0, linoleic (L), 18:2, linolenic (Ln), 18:3, and oleic (O), 18:1, FAs. Calibration curves derived from interweaved sets of regioisomer standards allowed the absolute quantification of 1,2- and 1,3-regioisomers for a subset of TAGs. Full article
Show Figures

Graphical abstract

17 pages, 862 KB  
Article
Minimal Effective Dose of Beans Required to Elicit a Significantly Lower Glycemic Response Than Commonly Consumed Starchy Foods: Predictions Based on In Vitro Digestion and Carbohydrate Analysis
by D. Dan Ramdath, Simone Renwick, Aileen Hawke, Davin G. Ramdath and Thomas M. S. Wolever
Nutrients 2023, 15(21), 4495; https://doi.org/10.3390/nu15214495 - 24 Oct 2023
Cited by 5 | Viewed by 4429
Abstract
Beans elicit lower glycemic responses (GRs) than other starchy foods, but the minimum effective dose (MED) to reduce GR is unknown. We sought to determine the MED of beans compared to common starchy foods. Overnight-fasted healthy volunteers consumed ¼c (phase 1, n = [...] Read more.
Beans elicit lower glycemic responses (GRs) than other starchy foods, but the minimum effective dose (MED) to reduce GR is unknown. We sought to determine the MED of beans compared to common starchy foods. Overnight-fasted healthy volunteers consumed ¼c (phase 1, n = 24) or ½c (phase 2, n = 18) of black, cranberry, great northern, kidney, navy and pinto beans and corn, rice, pasta and potato (controls), with blood glucose measured before and for 2 h after eating. GRs (incremental areas under the curves, iAUCs) after beans were consumed were compared to those of controls by ANOVA followed by Dunnett’s test. To qualify for MED, beans had to elicit an effective reduction in GR, defined as a statistically significant reduction in iAUC of ≥20% (i.e., a relative glycemic response, RGR, ≤80). Outcomes from in vitro digestion were compared with in vivo RGR. Both doses of all six beans effectively reduced GR versus all four starchy controls, except for ¼c and ½c cranberry and pinto vs. corn, ¼c great northern and navy vs. corn and ¼c navy and pinto vs. potato. MED criteria were met for 18 comparisons of the ¼c servings, with four of the remaining six met by the ½c servings. The overall mean ± SEM RGR vs. controls was similar for the ¼c and ½c servings: 53 ± 4% and 56 ± 3%, respectively. By multiple regression analysis, RGR = 23.3 × RDS + 8.3 × SDS − 20.1 × RS + 39.5 × AS − 108.2 (rapidly digested starch, p < 0.001; slowly digested starch, p = 0.054; resistant starch, p = 0.18; available sugars, p = 0.005; model r = 0.98, p = 0.001). RGR correlated with in vitro glucose release (r = 0.92, p < 0.001). The MED of beans is ¼ cup. For n = 30 comparisons (n = 24 beans vs. controls, n = 6 controls vs. each other), an effective reduction in GR was predicted from in vitro carbohydrate analysis with 86% sensitivity and 100% specificity. Full article
(This article belongs to the Special Issue Consumption of Bean and Human Health)
Show Figures

Figure 1

16 pages, 2023 KB  
Article
Valorisation through Lactic Fermentation of Industrial Wastewaters from a Bean Blanching Treatment
by Rosa Colucci Cante, Angelica Recupero, Tommaso Prata, Federica Nigro, Francesca Passannanti, Marianna Gallo, Giulia Lentini, Roberto Nigro and Andrea Luigi Budelli
Fermentation 2023, 9(4), 350; https://doi.org/10.3390/fermentation9040350 - 1 Apr 2023
Cited by 6 | Viewed by 3371
Abstract
In recent years, scientific research and industries have been focusing on the application of biological treatments aimed at imparting functional properties to waste products from food industries according to the principles on which the circular economy model is based, namely, the recovery, valorisation, [...] Read more.
In recent years, scientific research and industries have been focusing on the application of biological treatments aimed at imparting functional properties to waste products from food industries according to the principles on which the circular economy model is based, namely, the recovery, valorisation, and reuse of wastes. This work aimed at exploring the possibility of valorising waters from the blanching process of dried navy beans through lactic acid fermentation using Lacticaseibacillus paracasei CBA L74 as a starter. Two samples at different solid concentrations (0.75 °Bx and 1.25 °Bx) were fermented, and, in both cases, a bacterial load of 8 Logs and a lactic acid concentration of approximately 1.3 g/L were reached, despite the lack of nutrients. An unusual pH trend, characterised by an initial decrease and unexpected final rise, was observed during the fermentation of both samples: simultaneously, an increase in protein content was observed, suggesting that the proteolytic action of the microorganism could be responsible for the release of pH-increasing substances. In both cases, a slight increase in total polyphenols (approximately 23.3–33.72%) and flavonoids (approximately 42.3–52%) due to fermentation was observed, with a corresponding improvement in antioxidant capacity (approximately 25.32–37.72%). A significant increase in saponin concentration was determined for the most concentrated blanching water (from 2.87 ± 0.28 to 6.68 ± 0.69 mgOAE/mL), leading to an improvement in foaming properties and an enhanced capacity to produce stable emulsions. The obtained results confirmed the possibility of reducing water consumption from blanching operations, as well as finding valorisation opportunities for this side stream through a safe and inexpensive fermentation treatment. Full article
(This article belongs to the Section Fermentation for Food and Beverages)
Show Figures

Graphical abstract

15 pages, 4689 KB  
Article
Probing the Double-Layered Cotyledon Cell Structure of Navy Beans: Barrier Effect of the Protein Matrix on In Vitro Starch Digestion
by Duc Toan Do, Jaspreet Singh, Stuart Johnson and Harjinder Singh
Nutrients 2023, 15(1), 105; https://doi.org/10.3390/nu15010105 - 26 Dec 2022
Cited by 16 | Viewed by 4270
Abstract
The microstructure of legumes plays a crucial role in regulating starch digestion and postprandial glycemic responses. Starch granules are double encapsulated within the outer cell wall and the inner protein matrix of legume cotyledon cells. Despite progress in understanding the role of cell [...] Read more.
The microstructure of legumes plays a crucial role in regulating starch digestion and postprandial glycemic responses. Starch granules are double encapsulated within the outer cell wall and the inner protein matrix of legume cotyledon cells. Despite progress in understanding the role of cell walls in delaying starch digestion, the role of the protein matrix has received little research attention. The aim of this study was to evaluate if the protein matrix and cell wall may present combined physical barriers retarding enzyme hydrolysis of intracellular starch. Intact cotyledon cells were isolated from navy beans and used to assess the barrier effect of the protein matrix on the digestion of starch under conditions simulating the upper gastrointestinal tract. The cells were pretreated with pepsin at 37 °C and pH 2.0 for 1, 4, or 24 h and without pepsin for 24 h (control) to facilitate removal of the intracellular protein matrix prior to cooking and simulated in vitro digestion. A longer pretreatment time resulted in a lower protein content of the cells and a higher initial rate and extent of starch hydrolysis. We suggest that in addition to the primary cell wall barrier, the protein matrix provides a secondary barrier restricting the accessibility of α-amylase to starch. This study provides a new fundamental understanding of the relationship between the structural organization of legume cotyledon cells and starch digestion that could inform the design of novel low glycemic index foods. Full article
(This article belongs to the Special Issue Advances in Legumes for Human Nutrition)
Show Figures

Figure 1

20 pages, 2567 KB  
Article
Navy Bean Supplementation in Established High-Fat Diet-Induced Obesity Attenuates the Severity of the Obese Inflammatory Phenotype
by Jennifer M. Monk, Wenqing Wu, Dion Lepp, K. Peter Pauls, Lindsay E. Robinson and Krista A. Power
Nutrients 2021, 13(3), 757; https://doi.org/10.3390/nu13030757 - 26 Feb 2021
Cited by 21 | Viewed by 5148
Abstract
Cooked common beans (Phaseolus vulgaris) improve intestinal health in lean mice and attenuate intestinal dysbiosis and inflammation when consumed concurrent with obesity development. We determined the effects of a high-fat (HF) bean supplemented diet in mice with established obesity (induced by [...] Read more.
Cooked common beans (Phaseolus vulgaris) improve intestinal health in lean mice and attenuate intestinal dysbiosis and inflammation when consumed concurrent with obesity development. We determined the effects of a high-fat (HF) bean supplemented diet in mice with established obesity (induced by 12 weeks of HF diet (60% fat as kcal)) compared to obese mice consuming a HF or low-fat (LF) weight loss control diet. Obese C57BL/6 male mice remained consuming HF for eight weeks or were randomly switched from HF to an isocaloric HF with 15.7% cooked navy bean powder diet (HF→HFB) or LF (11% fat as kcal; HF→LF) (n = 12/group). HF→HFB improved the obese phenotype, including (i) fecal microbiome (increased Prevotella, Akkermansia muciniphila, and short-chain fatty acid levels), (ii) intestinal health (increased ZO-1, claudin-2, Muc2, Relmβ, and Reg3γ expression), and (iii) reduced adipose tissue (AT) inflammatory proteins (NFκBp65, STAT3, IL-6, MCP-1, and MIP-1α), versus HF (p < 0.05). Conversely, HF→LF reduced body weight and circulating hormones (leptin, resistin, and PAI-1) versus HF and HF→HFB (p < 0.05); however, AT inflammation and intestinal health markers were not improved to the same degree as HF→HFB (p < 0.05). Despite remaining on a HF obesogenic diet, introducing beans in established obesity improved the obese phenotype (intestinal health and adipose inflammation) more substantially than weight loss alone. Full article
Show Figures

Figure 1

6 pages, 640 KB  
Proceeding Paper
New Insights in the Quality of Phaseolus vulgaris L.: Nutritional Value, Functional Properties and Development of Innovative Tools for Their Assessment
by Bruna Carbas, Nelson Machado, Carla Brites, Eduardo A.S. Rosa and Ana I.R.N.A. Barros
Proceedings 2021, 70(1), 25; https://doi.org/10.3390/foods_2020-07726 - 10 Nov 2020
Viewed by 2076
Abstract
Common beans (Phaseolus vulgaris L.) globally represent the most consumed and produced grain legume for direct human consumption, due to their rich nutritional and functional value. Concomitantly, innovative methodologies and approaches have been developed, which improves the quality evaluation of food products, [...] Read more.
Common beans (Phaseolus vulgaris L.) globally represent the most consumed and produced grain legume for direct human consumption, due to their rich nutritional and functional value. Concomitantly, innovative methodologies and approaches have been developed, which improves the quality evaluation of food products, in order to replace conventional analysis, reduce the use of chemicals, save time, and minimize sample handling. The main objectives of this work are the characterization of beans and the study of their uses in the enrichment of food products, with added value for the agrifood chain. Linked to this objective is also envisaged the development of new methods, for the determination of relevant compounds present in bean cultivars, using Fourier Transform Infrared Spectroscopy (FTIR), through the multivariate analysis. Navy, black, and pink eyed cultivars are the most promising protein and amino acid sources, which can be used for nutritional enrichment. Red kidney and arikara yellow cultivars offer the best functional proprieties due to their higher phytochemical composition, in vitro antioxidant activity, and individual phenolic compounds. We also found that the FTIR techniques are suitable for the evaluation of an array of relevant macro compounds, as well as compounds present in low concentrations. In conclusion, the results of this work state a progress in the knowledge of the nutrients, phytochemicals, and in vitro antioxidant activity of each cultivar and their potential for food applications, besides proofing the suitability of the innovative and eco-friendly FTIR methodology as a routine method in laboratories and food industry. Full article
Show Figures

Figure 1

20 pages, 2866 KB  
Article
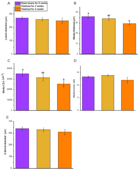
Regular Black Bean Consumption Is Necessary to Sustain Improvements in Small-Artery Vascular Compliance in the Spontaneously Hypertensive Rat
by Jaime L. Clark, Tara B. Loader, Hope D. Anderson, Peter Zahradka and Carla G. Taylor
Nutrients 2020, 12(3), 685; https://doi.org/10.3390/nu12030685 - 3 Mar 2020
Cited by 11 | Viewed by 5373
Abstract
Edible legume seeds, such as lentils, have been shown to modulate the structural and functional properties of hypertensive blood vessels, however, the effects of dried beans have not been similarly evaluated. To determine whether beans could attenuate hypertension-induced vascular changes (remodeling and stiffness) [...] Read more.
Edible legume seeds, such as lentils, have been shown to modulate the structural and functional properties of hypertensive blood vessels, however, the effects of dried beans have not been similarly evaluated. To determine whether beans could attenuate hypertension-induced vascular changes (remodeling and stiffness) in relation to their phytochemical content, spontaneously hypertensive rats (SHR) were fed diets containing black beans (BB; high phytochemical content as indicated by their dark seed coat colour) or navy (white) beans (NB; low phytochemical content) for eight weeks. An additional follow-up phase was included to determine how long the alterations in vascular properties are maintained after bean consumption is halted. Assessments included blood pressure (BP), pulse wave velocity (PWV), vessel compliance (small-artery) and morphology (large-artery), and body composition. Neither BBs nor NBs altered BP or PWV in SHR. SHR-BB demonstrated greater medial strain (which is indicative of greater elasticity) at higher intraluminal pressures (80 and 140 mmHg) compared to SHR-NB. BB consumption for 8 weeks enhanced vascular compliance compared to SHR-NB, as demonstrated by a rightward shift in the stress–strain curve, but this improvement was lost within 2 weeks after halting bean consumption. BB and NB increased lean mass after 8 weeks, but halting BB consumption increased fat mass. In conclusion, regular consumption of BBs may be appropriate as a dietary anti-hypertensive strategy via their positive actions on vascular remodeling and compliance. Full article
(This article belongs to the Section Phytochemicals and Human Health)
Show Figures

Graphical abstract

18 pages, 2565 KB  
Article
Nutrients, Antinutrients, Phenolic Composition, and Antioxidant Activity of Common Bean Cultivars and their Potential for Food Applications
by Bruna Carbas, Nelson Machado, David Oppolzer, Luís Ferreira, Marcelo Queiroz, Carla Brites, Eduardo AS Rosa and Ana IRNA Barros
Antioxidants 2020, 9(2), 186; https://doi.org/10.3390/antiox9020186 - 23 Feb 2020
Cited by 98 | Viewed by 10416
Abstract
Phaseolus vulgaris L. is the most commonly consumed legume in the world, given its high vegetable protein content, phenolic compounds, and antioxidant properties. It also represents one of the most sustainable, low-carbon and sources of food available at present to man. This study [...] Read more.
Phaseolus vulgaris L. is the most commonly consumed legume in the world, given its high vegetable protein content, phenolic compounds, and antioxidant properties. It also represents one of the most sustainable, low-carbon and sources of food available at present to man. This study aims to identify the nutrients, antinutrients, phenolic composition, and antioxidant profile of 10 common bean cultivars (Arikara yellow, butter, cranberry, red kidney, navy, pinto, black, brown eyed, pink eyed, and tarrestre) from two harvest years, thereby assessing the potential of each cultivar for specific applications in the food industry. Navy and pink eyed beans showed higher potential for enrichment of foodstuffs and gluten-free products due to their higher protein and amino acid contents. Additionally, red kidney, cranberry and Arikara yellow beans had the highest content of phenolic compounds and antioxidant properties, which can act as functional ingredients in food products, thus bringing health benefits. Our study highlights the potential of using specific bean cultivars in the development of nutrient-enriched food and as functional ingredients in diets designed for disease prevention and treatment. Full article
(This article belongs to the Section Natural and Synthetic Antioxidants)
Show Figures

Graphical abstract

19 pages, 2914 KB  
Article
Navy Beans Impact the Stool Metabolome and Metabolic Pathways for Colon Health in Cancer Survivors
by Bridget A. Baxter, Renee C. Oppel and Elizabeth P. Ryan
Nutrients 2019, 11(1), 28; https://doi.org/10.3390/nu11010028 - 22 Dec 2018
Cited by 45 | Viewed by 10629
Abstract
Colorectal cancer (CRC) is the third leading cause of cancer-related death in the United States and emerging evidence supports that increased consumption of legumes, such as navy beans, can reduce risk. Navy bean consumption was previously shown to modulate host and microbiome metabolism, [...] Read more.
Colorectal cancer (CRC) is the third leading cause of cancer-related death in the United States and emerging evidence supports that increased consumption of legumes, such as navy beans, can reduce risk. Navy bean consumption was previously shown to modulate host and microbiome metabolism, and this investigation was performed to assess the impact on the human stool metabolome, which includes the presence of navy bean metabolites. This 4-week, randomized-controlled trial with overweight and obese CRC survivors involved consumption of 1 meal and 1 snack daily. The intervention contained 35 g of cooked navy bean or macronutrient matched meals and snacks with 0 g of navy beans for the control group (n = 18). There were 30 statistically significant metabolite differences in the stool of participants that consumed navy bean at day 28 compared to the participants’ baseline (p ≤ 0.05) and 26 significantly different metabolites when compared to the control group. Of the 560 total metabolites identified from the cooked navy beans, there were 237 possible navy bean-derived metabolites that were identified in the stool of participants consuming navy beans, such as N-methylpipecolate, 2-aminoadipate, piperidine, and vanillate. The microbial metabolism of amino acids and fatty acids were also identified in stool after 4 weeks of navy bean intake including cadaverine, hydantoin-5 propionic acid, 4-hydroxyphenylacetate, and caprylate. The stool relative abundance of ophthalmate increased 5.25-fold for navy bean consumers that can indicate glutathione regulation, and involving cancer control mechanisms such as detoxification of xenobiotics, antioxidant defense, proliferation, and apoptosis. Metabolic pathways involving lysine, and phytochemicals were also modulated by navy bean intake in CRC survivors. These metabolites and metabolic pathways represent an acute response to increased navy bean intake, which merit further investigation for improving colonic health after long-term consumption. Full article
Show Figures

Figure 1

19 pages, 5574 KB  
Article
Characterization of Bioactive Compounds, Mineral Content and Antioxidant Capacity in Bean Varieties Grown in Semi-Arid Conditions in Zacatecas, Mexico
by Ibeth Marlene Herrera-Hernández, Karen Vanesa Armendáriz-Fernández, Ezequiel Muñoz-Márquez, Juan Pedro Sida-Arreola and Esteban Sánchez
Foods 2018, 7(12), 199; https://doi.org/10.3390/foods7120199 - 5 Dec 2018
Cited by 18 | Viewed by 5044
Abstract
This research describes the characterization of bioactive compounds, mineral content, and antioxidant capacity in bean varieties grown in semi-arid conditions in Zacatecas, Mexico. This will provide better progress perspectives for agriculture nationwide and will ensure that bean crops are in the condition to [...] Read more.
This research describes the characterization of bioactive compounds, mineral content, and antioxidant capacity in bean varieties grown in semi-arid conditions in Zacatecas, Mexico. This will provide better progress perspectives for agriculture nationwide and will ensure that bean crops are in the condition to satisfy the population’s nutritional needs by placing it not only as one of the foodstuffs comprising Mexico’s basic diet but also as one of the legumes having greater biofortification potential in Mexico. Eleven bean varieties were collected (flor de mayo, bayo, frijola, patola, navy beans, flor de junio, reata beans, Japanese beans, black beans, canary beans, and pinto Saltillo). The evaluation done included the physical and physico-chemical characteristics, as well as the mineral content, bioactive compounds and antioxidant capacity of these bean varieties. Data gathered were subject to a variance and mean separation analysis. The most remarkable individual results were as follows: Canary beans had the highest iron content (105.29 mg/kg), while bayo beans had the highest zinc concentration (48.18 mg/kg) and reata beans had the highest level of protein (26.88%). The varieties showing the most remarkable results with regard to zinc, iron and protein content and antioxidant capacity were as follows: Flor de junio, flor de mayo, reata beans, navy beans and pinto Saltillo; however, the most remarkable variety in comprehensive terms was flor de junio, which showed a reducing power of 0.20%, an antioxidant capacity of 80.62% inhibition, a protein content of 0.17%, in addition to Ca (0.24%), Fe (90.97 mg/kg), Zn (27.23 mg/kg), fiber (3.22%), energy (353.50 kcal), phenols (94.82 mg gallic acid (GA)/g extract) and flavonoids (1.30 mg mg Cat/g−1 dw). Finally, we came to the conclusion that beans grown in Zacatecas, Mexico, offer a huge benefit to consumers as a result of the mineral, protein, fiber, bioactive compounds, and antioxidant capacity contributions such beans provide. Thus, these beans can be used in a biofortification program using micronutrients to improve their nutritional quality. Full article
Show Figures

Figure 1

17 pages, 1305 KB  
Article
Evaluation of Soybean–Navy Bean Emulsions Using Different Processing Technologies
by Sean X. Liu, Mukti Singh, Ashley E. Wayman, Diejun Chen and James A. Kenar
Beverages 2017, 3(2), 23; https://doi.org/10.3390/beverages3020023 - 25 May 2017
Cited by 3 | Viewed by 6975
Abstract
In this study, an innovative emulsion made from soybean and navy bean blends of different proportionalities was developed. In addition, two processing methods were used: traditional cooking and jet-cooking. The physical attributes and storage stability were measured and compared. This study found that [...] Read more.
In this study, an innovative emulsion made from soybean and navy bean blends of different proportionalities was developed. In addition, two processing methods were used: traditional cooking and jet-cooking. The physical attributes and storage stability were measured and compared. This study found that the high content of starch and fiber in navy bean flour contributes to the increase in viscosity of the emulsions, at both room and refrigeration temperatures, as the proportion of navy bean flour in the blends increased. The steam jet-cooked emulsions with higher soybean content has better shelf life stability, smaller particle size, higher fat, lower starch, and lower viscosity, whereas the traditional kettle cooking method is better in reducing anti-nutritional components. No significant difference was found between the two cooking methods in terms of nutritional contents in the emulsions, such as protein, crude fat, and total starch. The traditional kettle cooking, with its longer cooking time, seems to reduce more trypsin inhibitor in the emulsions than those prepared with the steam jet-cooking. This exploratory study is the first to report soybean–navy bean beverage prototypes having desirable nutritional value and the potential for functional beverage market. Full article
(This article belongs to the Special Issue Beverage Emulsions)
Show Figures

Figure 1

Back to TopTop