Regular Black Bean Consumption Is Necessary to Sustain Improvements in Small-Artery Vascular Compliance in the Spontaneously Hypertensive Rat
Abstract
1. Introduction
2. Materials and Methods
2.1. Animals
2.2. Diet
2.3. Body Weight and Composition
2.4. Serum Biochemistry
2.5. Blood Pressure and Pulse Wave Velocity
2.6. Tissue Collection
2.7. Pressure Myography of Resistance Arteries
2.8. Aortic Morphology
2.9. Statistical Analyses
3. Results
3.1. Phase 1: Comparing the Effects of Navy and Black Beans
3.1.1. Feed Intake and Body Composition
3.1.2. Serum Lipid Analysis
3.1.3. Blood Pressure and Arterial Stiffness
3.1.4. Vascular Remodeling and Geometry
3.1.5. Vascular Compliance
3.2. Phase 2: Determining the Retention of Beneficial Effects from Black Beans During a Washout Period
3.2.1. Feed Intake and Body Composition
3.2.2. Serum Lipid Analysis
3.2.3. Blood Pressure and Arterial Stiffness
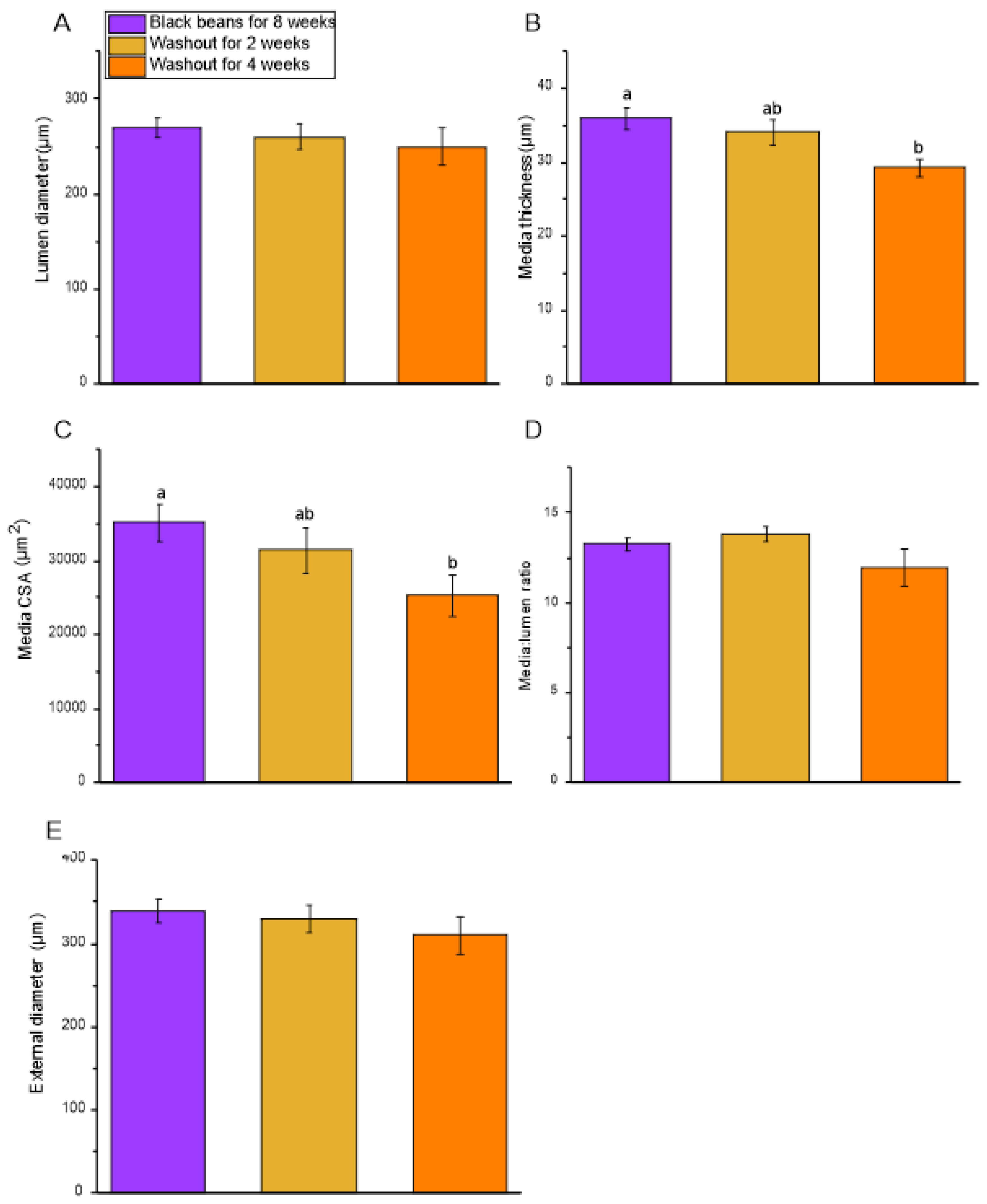
3.2.4. Vascular Geometry
3.2.5. Vascular Compliance
4. Discussion
5. Conclusions
Supplementary Materials
Author Contributions
Funding
Acknowledgments
Conflicts of Interest
References
- Carretero, O.A.; Oparil, S. Essential hypertension. Part 1: Definition and etiology. Circulation 2000, 101, 329–335. [Google Scholar] [CrossRef] [PubMed]
- Padwal, R.S.; Bienek, A.; McAlister, F.A.; Campbell, N.R. Outcomes Research Task Force of the Canadian Hypertension Education Program. Epidemiology of hypertension in Canada: An update. Can. J. Cardiol. 2016, 32, 687–694. [Google Scholar] [CrossRef] [PubMed]
- Feihl, F.; Liaudet, L.; Levy, B.I.; Waeber, B. Hypertension and microvascular remodeling. Cardiovasc. Res. 2008, 78, 274–285. [Google Scholar] [CrossRef] [PubMed]
- Hypertension Canada. What Are the Causes? Available online: https://hypertension.ca/hypertension-and-you/about-hypertension/what-are-the-causes/ (accessed on 8 August 2018).
- Jayalath, V.H.; de Souza, R.J.; Sievenpiper, J.L.; Ha, V.; Chiavaroli, L.; Mirrahimi, A.; Di Buono, M.; Bernstein, A.M.; Leiter, L.A.; Kris-Etherton, P.M.; et al. Effect of dietary pulses on blood pressure: A systematic review and meta-analysis of controlled feeding trials. Am. J. Hypertens. 2014, 27, 56–64. [Google Scholar] [CrossRef] [PubMed]
- Hanson, M.G.; Zahradka, P.; Taylor, C.G. Lentil-based diets attenuate hypertension and large-artery remodeling in spontaneously hypertensive rats. Br. J. Nutr. 2014, 111, 690–698. [Google Scholar] [CrossRef]
- Hanson, M.G.; Taylor, C.G.; Wu, Y.; Anderson, H.D.; Zahradka, P. Lentil consumption reduces resistance artery remodeling and restores arterial compliance in the spontaneously hypertensive rats. J. Nutr. Biochem. 2016, 37, 30–38. [Google Scholar] [CrossRef]
- Yao, F.; Sun, C.; Chang, S.K. Lentil polyphenol extract prevents angiotensin II-induced hypertension, vascular remodeling and perivascular fibrosis. Food. Funct. 2012, 3, 127–133. [Google Scholar] [CrossRef]
- Marinangeli, C.P.F.; Curran, J.; Barr, S.I.; Slavin, J.; Puri, S.; Swaminathan, S.; Tapsell, L.; Patterson, C.A. Enhancing nutrition with pulses: Defining a recommended serving size for adults. Nutr. Rev. 2017, 75, 990–1006. [Google Scholar] [CrossRef]
- Leonov, A.; Arlia-Ciommo, A.; Piano, A.; Svistkova, V.; Lutchman, V.; Medkour, Y.; Titorenko, V.I. Longevity extension by phytochemicals. Molecules 2015, 20, 6544–6572. [Google Scholar] [CrossRef]
- Ghosh, D.; Scheepens, A. Vascular action of polyphenols. Mol. Nutr. Food. Res. 2009, 53, 322–331. [Google Scholar] [CrossRef]
- Stanford Health Care. Nutrition Services for Cancer Patients. Available online: https://stanfordhealthcare.org/medical-clinics/cancer-nutrition-services/reducing-cancer-risk/phytochemicals.html (accessed on 26 February 2020).
- Xu, B.; Chang, S.K. Comparative study on antiproliferation properties and cellular antioxidant activities of commonly consumed food legumes against nine human cancer cell lines. Food. Chem. 2012, 134, 1287–1296. [Google Scholar] [CrossRef] [PubMed]
- Reeves, P.G.; Nielsen, F.H.; Fahey, G.C., Jr. AIN-93 purified diets for laboratory rodents: Final report of the American Institute of Nutrition Ad Hoc Writing Committee on the reformulation of the AIN-76A rodent diet. J. Nutr. 1993, 123, 1939–1951. [Google Scholar] [CrossRef] [PubMed]
- Stricker, E.M.; Bushey, M.A.; Hoffman, M.L.; McGhee, M.; Cason, A.M.; Smith, J.C. Inhibition of NaCl appetite when DOCA-treated rats drink saline. American J. Physiol. Regul. Integr. Comp. Physiol. 2007, 292, R652–R662. [Google Scholar] [CrossRef][Green Version]
- Schneider, C.A.; Rasband, W.S.; Eliceiri, K.W. NIH Image to ImageJ: 25 years of image analysis. Nat. Methods. 2012, 9, 671–675. [Google Scholar] [CrossRef] [PubMed]
- Oliveira, S.A., Jr.; Okoshi, K.; Lima-Leopoldo, A.P.; Campos, D.H.; Martinez, P.F.; Okoshi, M.P.; Padovani, C.R.; Pai-Silva, M.D.; Cicogna, A.C. Nutritional and cardiovascular profiles of normotensive and hypertensive rats kept on a high fat diet. Arg. Bras. Cardiol. 2009, 93, 526–533. [Google Scholar]
- Mikkelsen, M.F.; Björling, K.; Jensen, L.J.J. Age-dependent impact of CaV3. 2 T-type calcium channel deletion on myogenic tone and flow-mediated vasodilatation in small arteries. J. Physiol. 2016, 594, 5881–5898. [Google Scholar] [CrossRef] [PubMed]
- Intengan, H.D.; Deng, L.Y.; Li, J.S.; Schiffrin, E.L. Mechanics and composition of human subcutaneous resistance arteries in essential hypertension. Hypertension 1999, 33, 569–574. [Google Scholar] [CrossRef]
- Lee, D.I.; Acosta, C.; Anderson, C.M.; Anderson, H.D. Peripheral and cerebral resistance arteries in the spontaneously hypertensive heart failure rat: Effects of stilbenoid polyphenols. Molecules 2017, 22, 380. [Google Scholar] [CrossRef]
- Mudryj, A.N.; Yu, N.; Hartman, T.J.; Mitchell, D.C.; Lawrence, F.R.; Aukema, H.M. Pulse consumption in Canadian adults influences nutrient intakes. Br. J. Nutr. 2012, 108, S27–S36. [Google Scholar] [CrossRef]
- Kamenskiy, A.V.; Dzenis, Y.A.; MacTaggart, J.N.; Lynch, T.G.; Kazmi, S.A.J.; Pipinos, I.I. Nonlinear mechanical behavior of the human common, external and internal carotid arteries In Vivo. J. Surg. Res. 2012, 176, 329–336. [Google Scholar] [CrossRef]
- Khamdaeng, T.; Luo, J.; Vappou, J.; Terdtoon, P.; Konofagou, E.E. Arterial stiffness identification of the human carotid artery using the stress–strain relationship in vivo. Ultrasonics 2012, 52, 402–411. [Google Scholar] [CrossRef] [PubMed]
- Aziz, J.; Shezali, H.; Radzi, Z.; Yahya, N.A.; Abu Kassim, N.H.; Czernuszka, J.; Rahman, M.T. Molecular mechanisms of stress-responsive changes in collagen and elastin networks in skin. Skin. Pharmacol. Physiol. 2016, 29, 190–203. [Google Scholar] [CrossRef] [PubMed]
- Thandapilly, S.J.; LeMaistre, J.L.; Louis, X.L.; Anderson, C.M.; Netticadan, T.; Anderson, H.D. Vascular and cardiac effects of grape powder in the spontaneously hypertensive rat. Am. J. Hyperten. 2012, 25, 1070–1076. [Google Scholar] [CrossRef] [PubMed]
- Marieb, E.N.; Hoehn, K. The cardiovascular system: Blood vessels. In Human anatomy and physiology; Pearson Benjamin Cummings: San Francisco, CA, USA, 2007; pp. 714–722. [Google Scholar]
- Rekhter, M.D. Collagen synthesis in atherosclerosis: Too much and not enough. Cardiovasc. Res. 1999, 41, 376–384. [Google Scholar] [CrossRef]
- Monk, J.M.; Lepp, D.; Wu, W.; Pauls, K.P.; Robinson, L.E.; Power, K.A. Navy and black bean supplementation primes the colonic mucosal microenvironment to improve gut health. J. Nutr. Biochem. 2017, 49, 89–100. [Google Scholar] [CrossRef] [PubMed]
- Bobe, G.; Barrett, K.G.; Mentor-Marcel, R.A.; Saffiotti, U.; Young, M.R.; Colburn, N.H.; Albert, P.S.; Bennink, M.R.; Lanza, E. Dietary cooked navy beans and their fractions attenuate colon carcinogenesis in azoxymethane-induced ob/ob mice. Nutr. Cancer 2008, 60, 373–381. [Google Scholar] [CrossRef]
- Hangen, L.; Bennink, M.R. Consumption of black beans and navy beans (Phaseolus vulgaris) reduced azoxymethane-induced colon cancer in rats. Nutr. Cancer 2002, 44, 60–65. [Google Scholar]
- Luhovyy, B.L.; Mollard, R.C.; Panahi, S.; Nunez, M.F.; Cho, F.; Anderson, G.H. Canned navy bean consumption reduces metabolic risk factors associated with obesity. Can. J. Diet. Pract. Res. 2015, 76, 33–37. [Google Scholar] [CrossRef]
- Manach, C.; Scalbert, A.; Morand, C.; Rémésy, C.; Jiménez, L. Polyphenols: Food sources and bioavailability. Am. J. Clin. Nutr. 2004, 79, 727–747. [Google Scholar] [CrossRef]
- Alvim, R.O.; Santos, P.C.J.L.; Bortolotto, L.A.; Mill, J.G.; Pereira, A.C. Arterial stiffness: Pathophysiological and genetic aspects. Int. J. Cardiovasc. Sci. 2017, 30, 433–441. [Google Scholar] [CrossRef]
- Rajendran, P.; Rengarajan, T.; Thangavel, J.; Nishigaki, Y.; Sakthisekaran, D.; Sethi, G.; Nishigaki, I. The vascular endothelium and human diseases. Int. J. Biol. Sci. 2013, 9, 1057–1069. [Google Scholar] [CrossRef] [PubMed]
- Yamin, R.; Morgan, K.G. Deciphering actin cytoskeletal function in the contractile vascular smooth muscle cell. J. Physiol. 2012, 590, 4145–4154. [Google Scholar] [CrossRef] [PubMed]
- Clark, J.L.; Taylor, C.G.; Zahradka, P. Rebelling against the (insulin) resistance: A review of the proposed insulin-sensitizing actions of soybeans, chickpeas, and their bioactive compounds. Nutrients 2018, 10, 434. [Google Scholar] [CrossRef] [PubMed]
- McClean, P.E.; Bett, K.E.; Stonehouse, R.; Lee, R.; Pflieger, S.; Moghaddam, S.M.; Geffroy, V.; Miklas, P.; Mamidi, S. White seed color in common bean (Phaseolus vulgaris) results from convergent evolution in the P (pigment) gene. New. Phytol. 2018, 219, 1112–1123. [Google Scholar] [CrossRef] [PubMed]
- Pitura, K.; Arntfield, S.D. Characteristics of flavonol glycosides in bean (Phaseolus vulgaris L.) seed coats. Food. Chem. 2019, 272, 26–32. [Google Scholar] [CrossRef]
- USDA database for the isoflavone content of selected foods. Available online: https://www.ars.usda.gov/ARSUserFiles/80400525/Data/isoflav/Isoflav_R2.pdf (accessed on 23 October 2019).
- Nestel, P.J.; Yamashita, T.; Sasahara, T.; Pomeroy, S.; Dart, A.; Komesaroff, P.; Owen, A.; Abbey, M. Soy isoflavones improve systemic arterial compliance but not plasma lipids in menopausal and perimenopausal women. Arterioscler. Thromb. Vasc. Biol. 1997, 17, 3392–3398. [Google Scholar] [CrossRef]
- Churchward-Venne, T.A.; Murphy, C.H.; Longland, T.M.; Phillips, S.M. Role of protein and amino acids is promoting lean mass accretion with resistance exercise and attenuating lean mass loss during energy deficit in humans. Amino Acids 2013, 45, 231–240. [Google Scholar] [CrossRef]
- Boutari, C.; Mantzoros, C.S. Decreasing lean body mass with age: Challenges and opportunities for novel therapies. Endocrinol. Metab. (Seoul) 2017, 32, 422–425. [Google Scholar] [CrossRef]
- Demontiero, O.; Vidal, C.; Duque, G. Aging and bone loss: New insights for the clinician. Ther. Adv. Musculoskelet. Dis. 2012, 4, 61–76. [Google Scholar] [CrossRef]
- Josse, A.R.; Atkinson, S.A.; Tarnopolsky, M.A.; Phillips, S.M. Increased consumption of dairy foods and protein during diet- and exercise-induced weight loss promotes fat mass loss and lean mass gain in overweight and obese premenopausal women. J. Nutr. 2011, 141, 1626–1634. [Google Scholar] [CrossRef]
- Chen, S.; Su, J.; Wu, K.; Hu, W.; Gardner, D.G.; Chen, D. Early captopril treatment prevents hypertrophy-dependent gene expression in hearts of SHR. Am. Physiol. Soc. 1998, 274, R1511–R1517. [Google Scholar] [CrossRef] [PubMed]
- Kahan, T.; Bergfeldt, L. Left ventricular hypertrophy in hypertension: Its arrhythmogenic potential. Heart 2005, 91, 250–256. [Google Scholar] [CrossRef] [PubMed]







| Bean-Free Control Diet 1 | Navy Bean Diet | Black Bean Diet | |
|---|---|---|---|
| Ingredients 2,3 (g/kg) | |||
| Casein | 200 | 118 | 121.5 |
| Maize starch | 397 | 229.5 | 226 |
| Maltodextrin | 132 | 132 | 132 |
| Sucrose | 100 | 100 | 100 |
| Cellulose | 50 | 0 | 50 |
| L-Cystine | 3 | 3 | 3 |
| Choline bitartrate | 2.5 | 2.5 | 2.5 |
| AIN-93G-MX mineral mix | 35 | 35 | 35 |
| AIN-93-VX vitamin mix | 10 | 10 | 10 |
| Soybean oil 4 | 70 | 70 | 70 |
| Pulse powders 5 (g/kg) | |||
| Navy bean | - | 300 | - |
| Black bean | - | - | 300 |
| WKY | SHR | |||
|---|---|---|---|---|
| Control | Control | Navy Bean | Black Bean | |
| Feed intake (g/day) Week 1 Week 8 | 17.6 ± 0.6 24.8 ± 2.4 b | 20.9 ± 1.5 43.5 ± 2.7 a | 18.4 ± 1.8 34.9 ± 4.1 a | 21.3 ± 1.7 39.2 ± 4.5 a |
| Body weight (g) Baseline Week 8 | 336 ± 6 407 ± 8 a | 324± 6 370 ± 5 b | 338 ± 3 379 ± 5 b | 335 ± 4 373 ± 6 b |
| Triglycerides (mmol/L) Baseline Week 8 | 1.54 ± 0.17 a 1.41 ± 0.10 a | 0.58 ± 0.10 b 0.59 ± 0.06 b | 0.64 ± 0.05 b 0.69 ± 0.09 b | 0.60 ± 0.08 b 0.62 ± 0.07 b |
| Total cholesterol (mmol/L) Baseline Week 8 | 2.64 ± 0.09 a 3.51 ± 0.09 a | 1.63 ± 0.05 b 1.68 ± 0.08 b | 1.69 ± 0.05 b 1.58 ± 0.06 b | 1.63 ± 0.03 b 1.50 ± 0.04 b |
| HDL-cholesterol (mmol/L) Baseline Week 8 | 2.07 ± 0.08 a 2.57 ± 0.06 a | 1.34 ± 0.03 b 1.24 ± 0.06 b | 1.33 ± 0.04 b 1.40 ± 0.24 b | 1.31 ± 0.03 b 1.15 ± 0.04 b |
| LDL-cholesterol (mmol/L) Baseline Week 8 | 0.40 ±0.03 a 0.77 ± 0.05 a | 0.35 ± 0.03 a,b 0.40 ± 0.04 b | 0.30 ± 0.02 b 0.32 ± 0.04 b | 0.30 ± 0.03 b 0.32 ± 0.01 b |
| WKY | SHR | |||
|---|---|---|---|---|
| Control | Control | Navy Bean | Black Bean | |
| Hemodynamics | ||||
| SBP (mmHg) 1 | ||||
| Baseline | 153 ± 7 b | 197 ± 6 a | 181 ± 8 a | 187 ± 4 a |
| Week 4 | 153 ± 4 b | 188 ± 5 a | 194 ± 7 a | 194 ± 5 a |
| Week 8 | 142 ± 6 b | 184 ± 5 a | 199 ± 6 a | 199 ± 6 a |
| DBP (mmHg) 1 | ||||
| Baseline | 99 ± 4 b | 149 ± 7 a | 134 ± 8 a | 140 ± 5 a |
| Week 4 | 103 ± 5 b | 140 ± 4 a | 145 ± 7 a | 142 ± 7 a |
| Week 8 | 94 ± 4 b | 138 ± 4 a | 146 ± 9 a | 144 ± 7 a |
| MAP (mmHg) 1 | ||||
| Baseline | 116 ± 5 b | 165 ± 6 a | 149 ± 8 a | 155 ± 5 a |
| Week 4 | 119 ± 4 b | 156 ± 4 a | 161 ± 7 a | 159 ± 6 a |
| Week 8 | 110 ± 5 b | 153 ± 4 a | 163 ± 8 a | 162 ± 6 a |
| HR (bpm) 2 | ||||
| Baseline | 397 ± 7 | 436 ± 20 | 435 ± 20 | 375 ± 7 |
| Week 8 | 387 ± 14 | 442 ± 22 | 423 ± 22 | 423 ± 16 |
| HRV (bpm) 2 | ||||
| Baseline | 153 ± 2 | 145 ± 5 | 147 ± 4 | 162 ± 3 |
| Week 8 | 158 ± 4 | 145 ± 6 | 148 ± 5 | 147 ± 3 |
| Femoral artery stiffness | ||||
| PFV (cm/s) | ||||
| Baseline | 26.4 ± 1.8 | 28.3 ± 0.6 | 27.6 ± 1.1 | 27.6 ± 0.9 |
| Week 8 | 24.6 ± 1.3 | 27.9 ± 1.1 | 27.3 ± 1.9 | 27.7 ± 1.4 |
| MinFV (cm/s) | ||||
| Baseline | 1.60 ± 0.78 | 1.90 ± 1.10 | 3.32 ± 0.35 | 2.98 ± 0.54 |
| Week 8 | 2.74 ± 0.32 | 3.25 ± 0.73 | 2.00 ± 0.76 | 3.85 ± 0.59 |
| MFV (cm/s) | ||||
| Baseline | 6.37 ± 0.59 b | 7.44 ± 0.88 a,b | 8.55 ± 0.44 a | 8.67 ± 0.48 a |
| Week 8 | 6.85 ± 0.45 | 8.20 ± 0.79 | 7.30 ± 0.56 | 8.69 ± 0.72 |
| Pulsatility index | ||||
| Baseline | 4.2 ± 0.4 | 3.7 ± 0.6 | 2.9 ± 0.1 | 3.1 ± 0.3 |
| Week 8 | 2.7 ± 0.4 | 3.0 ± 0.3 | 3.3 ± 0.2 | 3.2 ± 0.3 |
| Resistivity index | ||||
| Baseline | 0.94 ± 0.03 | 0.92 ± 0.03 | 0.88 ± 0.01 | 0.90 ± 0.02 |
| Week 8 | 0.92 ± 0.02 | 0.88 ± 0.03 | 0.92 ± 0.03 | 0.87 ± 0.02 |
| WKY | SHR | |||
|---|---|---|---|---|
| Control | Control | Navy Bean | Black Bean | |
| Aorta | ||||
| Lumen diameter (µm) | 1680 ± 33 | 1710 ± 20 | 1680 ± 37 | 1670 ± 21 |
| Lumen CSA (µm2) | 1970 ± 90 | 2040 ± 72 | 1980 ± 86 | 1990 ± 54 |
| Media thickness (µm) | 63.1 ± 1.9 b | 93.4 ± 3.3 a | 85.9 ± 5.0 a | 84.7 ± 2.1 a |
| Media CSA (µm2) | 326 ± 12 b | 498 ± 24 a | 478 ± 27 a | 444 ± 19 a |
| Media:lumen ratio (× 100) | 3.76 ± 0.14 b | 5.48 ± 0.21 a | 5.12 ± 0.32 a | 5.08 ± 0.12 a |
| External diameter (µm) | 1810 ± 34 | 1900 ± 19 | 1860 ± 38 | 1840 ± 23 |
| Adventitia thickness (µm) | 81.4 ± 9.7 | 64.8 ± 9.3 | 62.5 ± 10.9 | 61.0 ± 4.9 |
| Adventitia CSA (µm2) | 358 ± 20 | 302 ± 49 | 337 ± 51 | 384 ± 28 |
| Mesenteric resistance arteries | ||||
| Lumen diameter (µm) | 340 ± 8 a | 250 ± 7 b | 260 ± 13 b | 270 ± 11 b |
| Media thickness (µm) | 25.5 ± 1.2 b | 34.5 ± 1.4 a | 35.5 ± 1.4 a | 35.9 ± 1.5 a |
| Media CSA (µm2) | 29380 ± 1892 | 30510 ± 2058 | 33440 ± 2603 | 35080 ± 2602 |
| Media:lumen ratio | 7.54 ± 0.28 b | 13.54 ± 0.41 a | 13.71 ± 0.63 a | 13.26 ± 0.37 a |
| External diameter (µm) | 390 ± 9 a | 320 ± 9 b | 330 ± 14 b | 340 ± 14 b |
| SHR | ||||
|---|---|---|---|---|
| Baseline | Black Beans for 8 Weeks | Washout for 2 Weeks | Washout for 4 Weeks | |
| Feed intake (g/day) | 26.8 ± 2.4 b | 38.7 ± 2.1 a | 44.0 ± 2.3 a | 46.0 ± 1.9 a |
| Body weight (g) | 301 ± 5 c | 370 ± 6 b | 389 ± 6 a,b | 403 ± 8 a |
| Triglycerides (mmol/L) | 0.77 ± 0.09 a | 0.51 ± 0.03 b | 0.54 ± 0.03 b | 0.53 ± 0.04 b |
| Total cholesterol (mmol/L) | 1.91 ± 0.10 a | 1.60 ± 0.06 b | 1.84 ± 0.08 a,b | 1.71 ± 0.08 a,b |
| HDL-cholesterol (mmol/L) | 1.29 ± 0.09 | 1.17 ± 0.04 | 1.36 ± 0.03 | 1.20 ± 0.05 |
| LDL-cholesterol (mmol/L) | 0.20 ± 0.07 b | 0.37 ± 0.03 a,b | 0.44 ± 0.02 a | 0.39 ± 0.04 a |
| SHR | ||||
|---|---|---|---|---|
| Baseline | Black Beans for 8 Weeks | Washout for 2 Weeks | Washout for 4 Weeks | |
| Hemodynamics | ||||
| DBP (mmHg) 1 | 123 ± 4 | 136 ± 6 | 141 ± 8 | 135 ± 12 |
| SBP (mmHg) 1 | 165 ± 5 | 187 ± 6 | 188 ± 10 | 187 ± 11 |
| MAP (mmHg) 1 | 137 ± 4 | 153 ± 6 | 156 ± 9 | 152 ± 12 |
| HR (bpm) 2 | 377 ± 9 b | 466 ± 14 a | 427 ± 14 a | 455 ± 34 a |
| HRV (bpm) 2 | 161 ± 3 a | 139 ± 3 b | 150 ± 3 b | 143 ± 7 b |
| Femoral artery stiffness | ||||
| PFV (cm/sec) | 31.8 ± 0.6 a | 28.9 ± 1.6 a,b | 25.2 ± 0.9 b | 27.3 ± 1.7 b |
| MinFV (cm/sec) | 3.5 ± 0.4 a | 0.2 ± 0.7 b | 1.6 ± 0.5 b | 1.5 ± 0.7 b |
| MFV (cm/sec) | 9.7 ± 0.5 a | 5.9 ± 0.5 b | 7.5 ± 0.6 b | 7.4 ± 1.2 b |
| Pulsatility index | 3.0 ± 0.1 b | 6.0 ± 1.3 a | 3.4 ± 0.3 b | 3.8 ± 0.4 b |
| Resistivity index | 0.89 ± 0.01 b | 0.99 ± 0.02 a | 0.94 ± 0.02 a,b | 0.95 ± 0.02 a,b |
| SHR | |||
|---|---|---|---|
| Black Beans for 8 Weeks | Washout for 2 Weeks | Washout for 4 Weeks | |
| Lumen diameter (µm) | 1670 ± 21 | 1847 ± 107 | 1732 ± 31 |
| Lumen CSA (µm2) | 1990 ± 54 | 2487 ± 286 | 2252 ± 119 |
| Media thickness (µm) | 84.7 ± 2.1 b | 108 ± 8 a | 122 ± 15 a |
| Media CSA (µm) | 444 ± 19 b | 670 ± 84 a | 712 ± 90 a |
| Media:lumen ratio (× 100) | 5.08 ± 0.12 b | 5.9 ± 0.3 b | 7.1 ± 0.9 a |
| External diameter (µm) | 1840 ± 23 | 2187 ± 137 | 2104 ± 54 |
| Adventitia thickness (µm) | 61.0 ± 4.9 | 62 ± 10 | 64 ± 11 |
| Adventitia CSA (µm2) | 384 ± 28 | 396 ± 74 | 353 ± 55 |
© 2020 by the authors. Licensee MDPI, Basel, Switzerland. This article is an open access article distributed under the terms and conditions of the Creative Commons Attribution (CC BY) license (http://creativecommons.org/licenses/by/4.0/).
Share and Cite
Clark, J.L.; Loader, T.B.; Anderson, H.D.; Zahradka, P.; Taylor, C.G. Regular Black Bean Consumption Is Necessary to Sustain Improvements in Small-Artery Vascular Compliance in the Spontaneously Hypertensive Rat. Nutrients 2020, 12, 685. https://doi.org/10.3390/nu12030685
Clark JL, Loader TB, Anderson HD, Zahradka P, Taylor CG. Regular Black Bean Consumption Is Necessary to Sustain Improvements in Small-Artery Vascular Compliance in the Spontaneously Hypertensive Rat. Nutrients. 2020; 12(3):685. https://doi.org/10.3390/nu12030685
Chicago/Turabian StyleClark, Jaime L., Tara B. Loader, Hope D. Anderson, Peter Zahradka, and Carla G. Taylor. 2020. "Regular Black Bean Consumption Is Necessary to Sustain Improvements in Small-Artery Vascular Compliance in the Spontaneously Hypertensive Rat" Nutrients 12, no. 3: 685. https://doi.org/10.3390/nu12030685
APA StyleClark, J. L., Loader, T. B., Anderson, H. D., Zahradka, P., & Taylor, C. G. (2020). Regular Black Bean Consumption Is Necessary to Sustain Improvements in Small-Artery Vascular Compliance in the Spontaneously Hypertensive Rat. Nutrients, 12(3), 685. https://doi.org/10.3390/nu12030685

