Sign in to use this feature.

Years

Between: -

Subjects

remove_circle_outline
remove_circle_outline
remove_circle_outline
remove_circle_outline
remove_circle_outline
remove_circle_outline
remove_circle_outline
remove_circle_outline
remove_circle_outline

Journals

remove_circle_outline
remove_circle_outline
remove_circle_outline
remove_circle_outline
remove_circle_outline
remove_circle_outline
remove_circle_outline
remove_circle_outline

Article Types

Countries / Regions

remove_circle_outline
remove_circle_outline
remove_circle_outline
remove_circle_outline

Search Results (964)

Search Parameters:
Keywords = nanomolar

Order results
Result details
Results per page
Select all
Export citation of selected articles as:
15 pages, 2679 KB  
Article
UniTope & TraCR: A Universal Tool to Tag, Enrich, and Track TCR-T Cells and Therapeutic Proteins
by Kanuj Mishra, Barbara Lösch and Dolores J. Schendel
Med. Sci. 2026, 14(1), 18; https://doi.org/10.3390/medsci14010018 - 31 Dec 2025
Abstract
Background: Adoptive cell therapy using genetically engineered recombinant T cell receptors (rTCRs) expressed in T cells (TCR-T cell therapy) provides precision targeting of cancer cells expressing tumor-associated or tumor-specific antigens recognized by the rTCRs. Standardized analytical tools are lacking to easily quantify receptor [...] Read more.
Background: Adoptive cell therapy using genetically engineered recombinant T cell receptors (rTCRs) expressed in T cells (TCR-T cell therapy) provides precision targeting of cancer cells expressing tumor-associated or tumor-specific antigens recognized by the rTCRs. Standardized analytical tools are lacking to easily quantify receptor expression. Methods: To overcome this hindrance, a universal tagging system (UniTope & TraCR) was designed consisting of a minimal peptide epitope (UniTope) inserted into the constant region of the rTCR α or β chain and a high-affinity monoclonal antibody (TraCR) specific to this tag. Detailed biophysical, biochemical, and functional assays were performed to evaluate rTCR expression, folding, pairing, and antigen recognition, as well as antibody performance, using the UniTope & TraCR System. Results: Tagged rTCRs were stably expressed in human T cells with surface densities comparable to untagged rTCRs. The TraCR antibody bound UniTope with nanomolar affinity and no detectable cross-reactivity was observed for endogenous proteins expressed by human cells of diverse origin, importantly, including T cells of the natural T cell repertoires of multiple human donors. Functional assays confirmed that UniTope-tagged rTCRs preserved their antigen-specific cytokine secretion and cytolytic activity upon antigen-specific stimulation. The UniTope & TraCR System enabled robust detection of rTCR-expressing T cells by flow cytometry, and rTCR protein expression by Western blot or immunoprecipitation, supporting the quantitative assessment of receptor copy number and structural integrity. Conclusions: The UniTope & TraCR System provides a modular, construct-agnostic platform for monitoring engineered rTCRs, integrated into TCR-T cell therapies currently in development. Full article
(This article belongs to the Section Cancer and Cancer-Related Research)
Show Figures

Figure 1

19 pages, 1176 KB  
Article
The TRPV1 Channel Modulator Imidazo[1,2-a]Indole Derivative Exhibits Pronounced and Versatile Anti-Inflammatory Activity In Vivo
by Pavel A. Galenko-Yaroshevsky, Anait V. Zelenskaya, Konstantin F. Suzdalev, Tatyana N. Popova, Aleksandra N. Kvetkina, Margarita M. Shamatova, Elena N. Chuyan, Marina Yu. Ravaeva, Roman A. Murashko, Tereza R. Glechyan, Alina V. Sergeeva, Narek N. Ishkhanyan, Olga N. Gulevskaya, Vladislav I. Chubinskiy-Nadezhdin, Evgenii D. Kryl’skii, Nadezhda A. Priymenko, Anna A. Klimovich, Elena V. Leychenko and Sergey A. Kozlov
Biomedicines 2026, 14(1), 60; https://doi.org/10.3390/biomedicines14010060 - 26 Dec 2025
Viewed by 142
Abstract
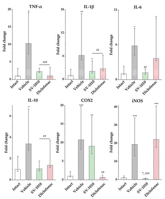
Background: Recently, data have been published about the inhibitory effect at low nanomolar concentrations on the TRPV1 ion channel for a new indole derivative named SV-1010. This molecule has also been shown to have a strong analgesic effect in mice and rats. [...] Read more.
Background: Recently, data have been published about the inhibitory effect at low nanomolar concentrations on the TRPV1 ion channel for a new indole derivative named SV-1010. This molecule has also been shown to have a strong analgesic effect in mice and rats. Since the biological target of SV-1010 is the TRPV1 ion channel, which plays an active role in inflammation, we conducted a series of animal tests to evaluate its potential as an anti-inflammatory agent. Methods: Nine different inflammatory agents were used to assess acute inflammation, and diclofenac was chosen as a positive control. Additionally SV-1010 effects in chronic proliferative and immunogenic inflammation models were also measured. Results: SV-1010 demonstrated a significant effect in most inflammatory tests, often surpassing that of diclofenac, and showed comparable efficacy to several other recognized anti-inflammatory drugs under certain conditions. The level of pro-inflammatory cytokines, TNF-α, IL-1β, and IL-6, exceeded after LPS administration was normalized to the non-LPS control group level by a dose of 0.1 mg/kg of SV-1010, and the effect was comparable to that of diclofenac at a dose of 12.5 mg/kg. The estimation by qPCR of the content of two enzymes, COX-2 and iNOS, which were increased by 10.8- and 19.4-fold, respectively, after LPS induction showed different molecular targets being utilized, manifested in the normalization of COX-2 content only after diclofenac treatment, and iNOS content only after SV-1010 treatment. Conclusions: Due to the simplicity of synthesis and low effective dose for mammal treatment, this compound can be interesting for a practice. Full article
(This article belongs to the Section Drug Discovery, Development and Delivery)
Show Figures

Figure 1

16 pages, 1534 KB  
Article
Melanotransferrin as a Potential Target for the Selective Killing of Melanoma and Triple-Negative Breast Cancer Cells In Vitro Using Novel SNAP-Tag-Based Antibody–AURIF Conjugate
by Suzanne Hippolite Magagoum, Gael Tchokomeni Siwe, Fleury Augustin Nsole Biteghe, Allan Martin Huysamen, Dirk Lang, Roger Hunter and Stefan Barth
Onco 2026, 6(1), 1; https://doi.org/10.3390/onco6010001 - 25 Dec 2025
Viewed by 190
Abstract
Background: Melanoma and triple-negative breast cancer (TNBC) are the most aggressive skin and breast cancers, often diagnosed at late stages with limited treatment options. The melanoma-associated antigen melanotransferrin (MTf) is overexpressed in these solid tumors, where it drives tumorigenesis, progression, and chemoresistance. Its [...] Read more.
Background: Melanoma and triple-negative breast cancer (TNBC) are the most aggressive skin and breast cancers, often diagnosed at late stages with limited treatment options. The melanoma-associated antigen melanotransferrin (MTf) is overexpressed in these solid tumors, where it drives tumorigenesis, progression, and chemoresistance. Its inhibition correlates with tumor regression, making MTf a promising therapeutic target. This study aimed to develop a novel, selectively targeted antibody–drug conjugate (ADC) against MTf-expressing melanoma and TNBC cancer cells using SNAP-tag fusion protein conjugation technology. Methods: We generated an L49(scFv)-SNAP-tag antibody fusion protein engineered through the genetic fusion of a humanized anti-MTf single-chain variable fragment (scFv) with a SNAP-tag fusion protein capable of site-specific self-labelling with O6-benzylguanine (BG) modified substrates in 1:1 stoichiometry. Binding and internalization of the conjugate labeled with BG-Alexa 488 (L49(scFv)-SNAP-Alexa488) were assessed by confocal microscopy and flow cytometry in MTf-overexpressing cell lines. Cytotoxicity was evaluated using the cell viability XTT assay after conjugating the SNAP-fusion protein to the potent monomethyl auristatin-F (BG-AURIF). Results: The L49(scFv)-SNAP-Alexa488 conjugate demonstrated specific binding and internalization into MTf-positive melanoma and TNBC cells. The corresponding ADC, L49(scFv)-SNAP-Linker-AURIF, exerted potent, antigen and dose-dependent cytotoxicity, with IC50 values in the nanomolar range (4.77–34.43 nM). Conclusions: We successfully generated a novel SNAP-tag-based ADC that selectively eliminates MTf-overexpressing tumor cells. This proof-of-concept highlights MTF’s value as a therapeutic target and demonstrates that a smaller-format, non-cleavable linker SNAP-tag-based ADC can achieve potent nanomolar cytotoxicity, supporting further development of MTF-targeted immunotherapies for melanoma and TNBC. Full article
Show Figures

Figure 1

16 pages, 3664 KB  
Article
LRP1 Interacts with the Rift Valley Fever Virus Glycoprotein Gn via a Calcium-Dependent Multivalent Electrostatic Mechanism
by Haonan Yang, Haojin Chen, Wanyan Jiang and Renhong Yan
Biomolecules 2026, 16(1), 14; https://doi.org/10.3390/biom16010014 - 21 Dec 2025
Viewed by 275
Abstract
The Rift Valley fever virus (RVFV) is a highly pathogenic, mosquito-borne zoonotic virus that poses a significant risk to livestock, human health, and global public health security. Although RVFV is classified by the World Health Organization (WHO) as a priority pathogen with epidemic [...] Read more.
The Rift Valley fever virus (RVFV) is a highly pathogenic, mosquito-borne zoonotic virus that poses a significant risk to livestock, human health, and global public health security. Although RVFV is classified by the World Health Organization (WHO) as a priority pathogen with epidemic potential, no licensed vaccines or effective antiviral therapies are currently available. A limited understanding of the molecular mechanisms of RVFV entry has hindered therapeutic development. Here, we elucidate the molecular basis by which the RVFV envelope glycoprotein Gn recognizes its receptor, low-density lipoprotein receptor-related protein 1 (LRP1). Bio-layer interferometry (BLI) demonstrates that full-length LRP1 directly binds the head domain of Gn with nanomolar affinity in a Ca2+-dependent manner. Both LRP1 clusters II (CL II) and IV (CL IV) independently interact with Gn, with CL IV exhibiting stronger affinity, indicating a multivalent recognition mode. Structural modeling using AlphaFold 3 reveals pronounced charge complementarity between basic residues on Gn and acidic, Ca2+-coordinated pockets within LRP1. Mutations in key acidic residues in CL IV greatly reduced Gn binding, confirming the essential roles of Ca2+ coordination and electrostatic interactions. Collectively, our findings define a Ca2+-stabilized, electrostatically driven mechanism for RVFV Gn recognition by LRP1, providing molecular insight into viral entry and a structural framework for the rational design of vaccines and antiviral therapeutics. Full article
Show Figures

Figure 1

8 pages, 950 KB  
Brief Report
Potato Elicitor Peptide StPep1 Enhances Resistance to Phytophthora infestans in Solanum tuberosum
by Alexander Skripnikov, Tatiana Suprunova, Natalia O. Kalinina and Michael Taliansky
J. Fungi 2025, 11(12), 893; https://doi.org/10.3390/jof11120893 - 18 Dec 2025
Viewed by 388
Abstract
Plant peptides represent a novel molecular tool in crop science due to their essential regulatory roles in plant growth, development, and responses to biotic and abiotic stresses. Although numerous bioactive plant peptides have been identified, a major gap remains in translating these discoveries [...] Read more.
Plant peptides represent a novel molecular tool in crop science due to their essential regulatory roles in plant growth, development, and responses to biotic and abiotic stresses. Although numerous bioactive plant peptides have been identified, a major gap remains in translating these discoveries into practical strategies for crop protection. Synthetic peptides are increasingly recognized as promising biological agents for enhancing crop productivity and protection in an environmentally sustainable manner. In this study, we demonstrate that the potato elicitor peptide StPep1, applied as a foliar spray at nanomolar concentrations (10–100 nM), strongly enhances resistance to the oomycete pathogen Phytophthora infestans in Solanum tuberosum cv. Gala under controlled climate chamber conditions. Preventive treatment 24 h prior to inoculation markedly reduced disease symptoms, with treated plants exhibiting a phenotype comparable to uninoculated controls. These findings highlight the potential of low-dose StPep1 as an environmentally friendly and cost-effective bioprotective agent, providing a foundation for future translational research and small-scale agricultural applications. Full article
(This article belongs to the Special Issue Biological Control of Fungal Plant Pathogens)
Show Figures

Figure 1

11 pages, 2100 KB  
Article
Catalytic Effect of Amyloid-β on Native Tau Aggregation at Physiologically Relevant Concentrations
by Rakhi Chowdhury, Apu Chandra Das, Ruan van Deventer, Luda S. Shlyakhtenko and Yuri L. Lyubchenko
Int. J. Mol. Sci. 2025, 26(24), 12128; https://doi.org/10.3390/ijms262412128 - 17 Dec 2025
Viewed by 213
Abstract
Alzheimer’s disease (AD) is characterized by the accumulation and aggregation of tau and amyloid-β (Aβ). The pathophysiology and progression of AD are facilitated by the neurotoxic effects of these aggregated proteins, resulting in neurodegeneration and memory loss. In this context, the interaction between [...] Read more.
Alzheimer’s disease (AD) is characterized by the accumulation and aggregation of tau and amyloid-β (Aβ). The pathophysiology and progression of AD are facilitated by the neurotoxic effects of these aggregated proteins, resulting in neurodegeneration and memory loss. In this context, the interaction between tau and Aβ42 is considered, but the mechanism underlying their pathogenic interplay remains unclear. Here, we addressed this question by studying the aggregation of full-length, unmodified tau and Aβ42 at physiologically low concentrations using atomic force microscopy (AFM). AFM imaging and data analyses demonstrate an increase in tau aggregation in the presence of Aβ42, characterized by increased sizes and number of aggregates. Importantly, tau aggregation occurs without the need for phosphorylation or any other post-translational changes. The analysis of the data demonstrates that tau and Aβ42 form co-aggregates, with no visible accumulation of Aβ42 aggregates alone. Given that the catalysis of tau aggregation by Aβ42 is observed at physiological low nanomolar concentrations of Aβ42, the finding suggests that such aggregation catalysis of tau by Aβ42 can be a molecular mechanism underlying the pathological tau aggregation process associated with the onset and development of Alzheimer’s disease. Full article
Show Figures

Figure 1

16 pages, 6098 KB  
Article
Eco-Friendly Synthesis and Paper Immobilization of AgNPs for Portable Colorimetric Detection of Hg2+ in Water
by Nevena Radivojević, Sanja Knežević, Stefan Graovac, Vladimir Rajić, Tamara Terzić, Nebojša Potkonjak, Tamara Lazarević-Pašti and Vedran Milanković
Chemosensors 2025, 13(12), 433; https://doi.org/10.3390/chemosensors13120433 - 16 Dec 2025
Viewed by 307
Abstract
Mercury’s severe toxicity and persistence demand fast, low-cost, and sustainable detection. In this work, a Juglans regia ethanolic extract is introduced as an efficient biogenic reducing and stabilizing agent for the green synthesis of silver nanoparticles (AgNPs). This plant-mediated route enables environmentally friendly [...] Read more.
Mercury’s severe toxicity and persistence demand fast, low-cost, and sustainable detection. In this work, a Juglans regia ethanolic extract is introduced as an efficient biogenic reducing and stabilizing agent for the green synthesis of silver nanoparticles (AgNPs). This plant-mediated route enables environmentally friendly nanoparticle formation with suitable optical properties for sensing applications. To overcome the poor visual selectivity observed in the colloidal AgNPs suspension, the nanoparticles were immobilized onto filter paper to produce a solid-phase colorimetric sensor. The paper-based platform exhibited a highly selective response toward Hg2+, showing complete suppression of the yellow coloration exclusively in the presence of Hg2+, even when challenged with a 200-fold excess of potentially interfering ions. Quantitative colorimetric analysis revealed a broad linear detection range from 1 × 10−8 to 1 × 10−3 mol dm−3 and an excellent limit of detection of 1.065 × 10−8 mol dm−3, with visible color changes consistent with the calculated values. The sensor’s performance was further validated using real tap water samples, with recovery values ranging from 96% to 102%, confirming minimal matrix interference and reliable quantification. Altogether, this study demonstrates that Juglans regia-mediated AgNPs, integrated into a simple paper-based format, provide a fully green, low-cost, and portable platform for sensitive and selective on-site detection of Hg2+ in environmental waters. Full article
Show Figures

Graphical abstract

14 pages, 2976 KB  
Article
A Pyrimidine-Based Tubulin Inhibitor Shows Potent Anti-Glioblastoma Activity In Vitro and In Vivo
by Satyanarayana Pochampally, Lawrence M. Pfeffer, Gustavo A. Miranda-Carboni, Macey Daniel, Jazz I. James, Allana Smith, Chuan He Yang, Hannah R. Kelso, Deanna N. Parke, Dong-Jin Hwang, Wei Li and Duane D. Miller
Pharmaceuticals 2025, 18(12), 1891; https://doi.org/10.3390/ph18121891 - 15 Dec 2025
Viewed by 281
Abstract
Background: Glioblastoma (GBM) is an aggressive and treatment-resistant brain tumor with few effective therapies. Tubulin polymers are crucial for maintaining cell–cell signaling, cell proliferation, and cell division. Therefore, tubulin has been targeted by medicinal chemists to develop novel therapeutics to treat cancer. [...] Read more.
Background: Glioblastoma (GBM) is an aggressive and treatment-resistant brain tumor with few effective therapies. Tubulin polymers are crucial for maintaining cell–cell signaling, cell proliferation, and cell division. Therefore, tubulin has been targeted by medicinal chemists to develop novel therapeutics to treat cancer. In this regard, we developed novel small-molecule tubulin inhibitors as potential therapeutics to treat GBM. Methods: We synthesized a focused library of pyrimidine-containing dihydroquinoxalinone-based analogs and tested nine compounds for cytotoxicity in GBM cell lines using the Sulforhodamine B (SRB) cell viability assay. We identified compound 8c as the most promising compound and evaluated the in vitro effects of 8c on GBM cell growth using live cell imaging and assessed apoptosis using a cell death ELISA. We then tested its anticancer activity in vivo on GBM xenografts grown in immunocompromised mice. Results: Several compounds demonstrated nanomolar IC50 values in cell viability assays and outperformed temozolomide (TMZ), the current standard treatment for GBM patients. We identified compound 8c, which is a pyrimidine analog with a secondary amine, as the lead candidate for GBM studies in vitro and in vivo. Compound 8c reduced cell viability in a dose-dependent manner and induced complete growth arrest within 48 h at 3–10 nM concentrations in GBM cell lines. ELISA confirmed that compound 8c triggered dose-dependent apoptosis, whereas TMZ failed to induce apoptosis at nM concentrations. In vivo, compound 8c significantly inhibited GBM xenograft growth in immunocompromised mice by 66%. Conclusions: The potent tubulin inhibitor compound 8c has strong anti-GBM activity in vitro and in vivo and merits further preclinical development. Full article
(This article belongs to the Section Medicinal Chemistry)
Show Figures

Graphical abstract

24 pages, 6888 KB  
Review
Molecular Hybridization of Naphthoquinones and Thiazoles: A Promising Strategy for Anticancer Drug Discovery
by Leonardo Gomes Cavalieri de Moraes, Thaís Barreto Santos and David Rodrigues da Rocha
Pharmaceuticals 2025, 18(12), 1887; https://doi.org/10.3390/ph18121887 - 13 Dec 2025
Viewed by 263
Abstract
Cancer remains one of the leading causes of morbidity and mortality worldwide, demanding the continuous search for novel and more selective chemotherapeutic agents. Quinones, particularly naphthoquinones, constitute a privileged class of redox-active compounds with well-documented antitumor activity. Likewise, thiazoles represent a heterocyclic scaffold [...] Read more.
Cancer remains one of the leading causes of morbidity and mortality worldwide, demanding the continuous search for novel and more selective chemotherapeutic agents. Quinones, particularly naphthoquinones, constitute a privileged class of redox-active compounds with well-documented antitumor activity. Likewise, thiazoles represent a heterocyclic scaffold widely explored in medicinal chemistry due to their broad pharmacophoric adaptability and diverse biological activities. In this context, this review comprehensively explores the chemical synthesis and anticancer potential of hybrid molecules combining the naphthoquinone and thiazole scaffolds. The hybridization of these pharmacophores has emerged as a powerful strategy to design multitarget antitumor agents. The review summarizes key synthetic methodologies, including Hantzsch, hetero Diels–Alder cycloaddition and multicomponent reactions, leading to structurally diverse hybrids. Particular emphasis is placed on derivatives exhibiting strong cytotoxic effects against a broad spectrum of cancer cell lines (e.g., OVCAR3, MCF-7, A549, HCT-116, HeLa, and Jurkat), low toxicity toward normal cells and well-defined mechanisms of action involving topoisomerase IIα, EGFR, STAT3, and CDK1 inhibition, as well as ROS generation and cell cycle arrest. Among these, certain hybrids displayed nanomolar potency and high selectivity indices, reinforcing their potential as promising lead compounds for anticancer drug development. Full article
(This article belongs to the Special Issue Sulfur-Containing Scaffolds in Medicinal Chemistry)
Show Figures

Graphical abstract

24 pages, 6041 KB  
Article
Formulation and Evaluation of Alginate Microcapsules Containing an Uncompetitive Nanomolar Dimeric Indenoindole Inhibitor of the Human Breast Cancer Resistance Pump ABCG2 with Different Excipients
by Krisztina Bodnár, Christelle Marminon, Florent Perret, Ádám Haimhoffer, Boglárka Papp, Pálma Fehér, Zoltán Ujhelyi, Joachim Jose, Marc Le Borgne, Ildikó Bácskay and Liza Józsa
Pharmaceutics 2025, 17(12), 1587; https://doi.org/10.3390/pharmaceutics17121587 - 9 Dec 2025
Viewed by 367
Abstract
Background/Objectives: The ABCG2 transporter actively effluxes anticancer drugs, reducing their efficacy and promoting multidrug resistance (MDR). Developing oral formulations of poorly soluble ABCG2 inhibitors remains challenging due to their low solubility and intestinal permeability. This study aimed to formulate and evaluate an [...] Read more.
Background/Objectives: The ABCG2 transporter actively effluxes anticancer drugs, reducing their efficacy and promoting multidrug resistance (MDR). Developing oral formulations of poorly soluble ABCG2 inhibitors remains challenging due to their low solubility and intestinal permeability. This study aimed to formulate and evaluate an ABCG2 inhibitor using micro- and nanoscale drug delivery systems. Methods: To address the poor solubility and bioavailability of the corresponding active ingredient, a self-nanoemulsifying drug delivery system (SNEDDS) was developed. The SNEDDS was encapsulated into microcapsules using sodium alginate crosslinked with calcium chloride. Five microcapsule formulations were developed, varying in the inclusion of polyvinylpyrrolidone (PVP), Transcutol® HP and SNEDDS. The effects of the excipients on encapsulation efficiency, swelling capacity, enzymatic stability, dissolution, cytocompatibility, and permeability were systematically evaluated. Results: The SNEDDS exhibited monodisperse particle sizes and efficient drug entrapment. Results revealed that formulations incorporating PVP and SNEDDS improved encapsulation efficiency and bioavailability. SNEDDS-containing formulations demonstrated superior enzymatic stability in simulated gastric and intestinal fluids and provided the highest cumulative drug release in vitro. Cytotoxicity studies conducted on Caco-2 and MCF-7 cells demonstrated that our formulations were well tolerated, indicating favorable biocompatibility. Conclusions: Our findings demonstrate that SNEDDS-loaded alginate microcapsules offer an efficient platform for oral delivery of dimeric ABCG2 inhibitors, combining enhanced solubility, stability, and controlled release. The optimized formulation can be regarded as a promising strategy to enhance the oral bioavailability of efflux pump inhibitors and other poorly soluble drugs. Full article
Show Figures

Figure 1

18 pages, 1354 KB  
Article
Development and In Vitro Evaluation of [64Cu]Cu-NOTA-TP-PSMA, a Novel Radiotheranostic Agent Against Prostate Cancer
by Hoda Talebian, Samia Ait-Mohand, Prenitha Mercy Ignatius Arokia Doss, Léon Sanche and Brigitte Guérin
Int. J. Mol. Sci. 2025, 26(23), 11651; https://doi.org/10.3390/ijms262311651 - 1 Dec 2025
Viewed by 306
Abstract
Prostate cancer (PCa), particularly in its metastatic form, remains a major clinical challenge due to limited diagnostic and therapeutic options. To address this, we developed a novel radiotheranostic agent, [64Cu]Cu-NOTA-TP-PSMA, by conjugating a prostate-specific membrane antigen (PSMA) ligand to a 64 [...] Read more.
Prostate cancer (PCa), particularly in its metastatic form, remains a major clinical challenge due to limited diagnostic and therapeutic options. To address this, we developed a novel radiotheranostic agent, [64Cu]Cu-NOTA-TP-PSMA, by conjugating a prostate-specific membrane antigen (PSMA) ligand to a 64Cu-radiolabeled terpyridine-platinum (TP) compound previously shown to exert selective cytotoxicity against cancer cells. In this study, the biological performance of [64Cu]Cu-NOTA-TP-PSMA was compared with the monomeric analogs [64Cu]Cu-NOTA-PSMA and [64Cu]Cu-NOTA-TP through in vitro studies in PSMA-positive LNCaP prostate cancer cells and non-malignant HEK-293 cells. [64Cu]Cu-NOTA-TP-PSMA showed high stability, PSMA binding affinity and exhibited substantially enhanced uptake, internalization, retention, and nuclear localization in LNCaP cells relative to the monomers, whereas uptake and nuclear accumulation in HEK-293 cells were negligible. Cytotoxicity assays further demonstrated potent and selective activity in LNCaP cells, with EC50 values in the low nanomolar range, and minimal toxicity in HEK-293 cells. Collectively, these results identify [64Cu]Cu-NOTA-TP-PSMA as a promising radiotheranostic agent, warranting further in vivo evaluation for prostate cancer imaging and targeted radiotherapy. Full article
Show Figures

Graphical abstract

31 pages, 4232 KB  
Systematic Review
Artificial Intelligence-Driven SELEX Design of Aptamer Panels for Urinary Multi-Biomarker Detection in Prostate Cancer: A Systematic and Bibliometric Review
by Ayoub Slalmi, Nabila Rabbah, Ilham Battas, Ikram Debbarh, Hicham Medromi and Abdelmjid Abourriche
Biomedicines 2025, 13(12), 2877; https://doi.org/10.3390/biomedicines13122877 - 25 Nov 2025
Viewed by 841
Abstract
Background/Objectives: The limited specificity of prostate-specific antigen (PSA) drives unnecessary biopsies in prostate cancer (PCa). Urinary extracellular vesicles (uEVs) provide a non-invasive reservoir of tumor-derived nucleic acids and proteins. Aptamers selected by SELEX enable highly specific capture, and artificial intelligence (AI) can accelerate [...] Read more.
Background/Objectives: The limited specificity of prostate-specific antigen (PSA) drives unnecessary biopsies in prostate cancer (PCa). Urinary extracellular vesicles (uEVs) provide a non-invasive reservoir of tumor-derived nucleic acids and proteins. Aptamers selected by SELEX enable highly specific capture, and artificial intelligence (AI) can accelerate their optimization. This systematic review evaluated AI-assisted SELEX for urine-derived and exosome-enriched aptamer panels in PCa detection. Methods: Systematic searches of PubMed, Scopus, and Web of Science (1 January 2010–24 August 2025; no language restrictions) followed PRISMA 2020 and PRISMA-S. The protocol is registered on OSF (osf.io/b2y7u). After deduplication, 1348 records were screened; 129 studies met the eligibility criteria, including 34 (26.4%) integrating AI within SELEX or downstream refinement. Inclusion required at least one quantitative metric (dissociation constant Kd, SELEX cycles, limit of detection [LoD], sensitivity, specificity, or AUC). Risk of bias was appraised with QUADAS-2 (diagnostic accuracy studies) and PROBAST (prediction/machine learning models). Results: AI-assisted SELEX workflows reduced laboratory enrichment cycles from conventional 12–15 to 5–7 (≈40–55% relative reduction) and reported Kd values spanning low picomolar to upper nanomolar ranges; heterogeneity and inconsistent comparators precluded pooled estimates. Multiplex urinary panels (e.g., PCA3, TMPRSS2:ERG, miR-21, miR-375, EN2) yielded single-study AUCs between 0.70 and 0.92 with sensitivities up to 95% and specificities up to 88%; incomplete 2 × 2 contingency reporting prevented bivariate meta-analysis. LoD reporting was sparse and non-standardized despite several ultralow claims (attomolar to low femtomolar) on nanomaterial-enhanced platforms. Pre-analytical variability and absent threshold prespecification contributed to high or unclear risk (QUADAS-2). PROBAST frequently indicated high risk in participants and analysis domains. Across the included studies, lower Kd and reduced LoD improved analytical detectability; however, clinical specificity and AUC were predominantly shaped by pre-analytical control (matrix; post-DRE vs. spontaneous urine) and prespecified thresholds, so engineering gains did not consistently translate into higher diagnostic accuracy. Conclusions: AI-assisted SELEX is a promising strategy for accelerating high-affinity aptamer discovery and assembling multiplex urinary panels for PCa, but current evidence is early phase, heterogeneous, and largely single-center. Priorities include standardized uEV processing, complete 2 × 2 diagnostic reporting, multicenter external validation, calibration and decision impact analyses, and harmonized LoD and Kd reporting frameworks. Full article
Show Figures

Figure 1

14 pages, 1586 KB  
Article
Imidazolinium-Based NHC–Metal Complexes Overcome Both Cancer Multidrug Resistance and Cisplatin Resistance In Vitro
by Márton Szlávik, Lidia Ines Haffarases, Réka Mandel, Fanni Fekecs, Ágota Apáti, Attila Paczal, András Kotschy, Gergely Szakács and Szilárd Tóth
Int. J. Mol. Sci. 2025, 26(23), 11382; https://doi.org/10.3390/ijms262311382 - 25 Nov 2025
Viewed by 321
Abstract
We report the synthesis and biological characterization of N-heterocyclic carbene (NHC) complexes with gold(I), silver(I), copper(I), and palladium(II) metal centers, and 3-(2,6-diisopropyl-phenyl) imidazolinium- and imidazolium-based ligands, including their biscarbene complexes, along with metal complexes of 4-(S)-tert-butyl-imidazolinium-derived carbenes carrying various substituents in position 1. [...] Read more.
We report the synthesis and biological characterization of N-heterocyclic carbene (NHC) complexes with gold(I), silver(I), copper(I), and palladium(II) metal centers, and 3-(2,6-diisopropyl-phenyl) imidazolinium- and imidazolium-based ligands, including their biscarbene complexes, along with metal complexes of 4-(S)-tert-butyl-imidazolinium-derived carbenes carrying various substituents in position 1. Compared to the imidazolium complexes, the corresponding imidazolinium complexes displayed superior cytotoxicity against the Mes-Sa uterine sarcoma cell line, while the biscarbene complexes exhibited greatly enhanced cytotoxicity with nanomolar activity. The ABCB1-overexpressing multidrug-resistant sublines of Mes-Sa demonstrated only marginal resistance to monocarbene imidazolinium complexes lacking a 4-(S)-tert-butyl group, whereas significant resistance was observed for all other complexes, with its extent further influenced by the nature of the metal center. Probing a subset of the complexes confirmed their strong cytotoxicity against the CST murine breast cancer cell line and its cisplatin-resistant variant, with little or no cross-resistance observed. Within a defined subset, compounds triggered apoptosis, and intracellular ROS production was consistently induced by the copper complexes. Collectively, these results indicate that imidazolinium-based metal NHCs are promising anticancer drug candidates, with copper and silver centers standing out for their potent cytotoxicity and evasion of both ABCB1-mediated and cisplatin resistance. Full article
Show Figures

Graphical abstract

19 pages, 4990 KB  
Article
Surface Acoustic Waves-Based Molecular Recognition of a Collagen Receptor on Human Erythrocytes
by Gevorg Ghukasyan, Narine Ghazaryan, Michael Torosyan, Naira Movsisyan, Ashot Meltonyan and Naira Ayvazyan
Int. J. Mol. Sci. 2025, 26(23), 11258; https://doi.org/10.3390/ijms262311258 - 21 Nov 2025
Viewed by 316
Abstract
Integrin-mediated binding is important for the metastatic dissemination of different types of cancer cells. Snake venom disintegrins obtustatin and echistatin are potent, irreversible, and selective inhibitors of α1β1 and αvβ3 integrins, respectively. Obtustatin is one of the shortest disintegrins yet described, containing 41 [...] Read more.
Integrin-mediated binding is important for the metastatic dissemination of different types of cancer cells. Snake venom disintegrins obtustatin and echistatin are potent, irreversible, and selective inhibitors of α1β1 and αvβ3 integrins, respectively. Obtustatin is one of the shortest disintegrins yet described, containing 41 amino acids. It has a similar pattern of cysteines to the other disintegrin echistatin but with a KTS motif rather than a classic RGD in its active site. A surface acoustic wave biosensor was applied to prove the molecular recognition of disintegrins by their substrates. The human erythrocyte ghost cells were immobilized at the sensors to allow for the detection of kinetic binding constants of disintegrins compared to the surface of giant unilamellar vesicles (GUVs). Obtustatin binds to the erythrocyte ghost membrane with affinity in the mid-nanomolar range (2.32 × 10–7 M), and echistatin in the low micromolar range, which indicates specific molecular recognition for both disintegrins, but the higher response for obtustatin. The data directly confirm that disintegrins bind to the erythrocyte ghost membrane, thereby supporting the previously overlooked presence of integrins in red blood cell membranes. Full article
(This article belongs to the Collection New Advances in Molecular Toxicology)
Show Figures

Graphical abstract

20 pages, 5117 KB  
Article
Evaluating the Topological Features of Monomeric and Trimeric TRAF2-C: A Multi-Disciplinary Approach
by Fulvio Erba, Daniela Russo, Velia Minicozzi, Luisa Di Paola, Sylvain Prevost, Anastasia De Luca, Giampiero Mei and Almerinda Di Venere
Biomolecules 2025, 15(11), 1626; https://doi.org/10.3390/biom15111626 - 19 Nov 2025
Viewed by 342
Abstract
This study investigates the structural dynamics of the TRAF2 C-terminal domain (TRAF2-C), a key adaptor protein in TNF receptor signaling. TRAF2 usually forms trimers, but its ability to dissociate into monomers is critical for regulating apoptosis, inflammation, and cell survival. Using Fluorescence Fluctuation [...] Read more.
This study investigates the structural dynamics of the TRAF2 C-terminal domain (TRAF2-C), a key adaptor protein in TNF receptor signaling. TRAF2 usually forms trimers, but its ability to dissociate into monomers is critical for regulating apoptosis, inflammation, and cell survival. Using Fluorescence Fluctuation Spectroscopy, dynamic light scattering, circular dichroism, and Small Angle Neutron Scattering, we analyzed TRAF2-C over a wide concentration range. At nanomolar levels, the protein dissociates easily, with trimers representing only a minor fraction, while micromolar concentrations strongly favor trimerization. Dissociation also reduces α-helical content without disrupting the overall fold. Molecular dynamics simulations and protein contact network analysis support this analysis, identifying interfacial residues and hydrogen bonds as key factors stabilizing oligomers and enabling dynamic asymmetry. Overall, these findings highlight TRAF2-C’s capacity to switch between monomeric and trimeric states as a crucial regulatory mechanism, offering insights into TRAF-mediated signaling and potential therapeutic strategies. Full article
(This article belongs to the Special Issue Role of TRAF in Regulating Inflammation and Cell Survival)
Show Figures

Figure 1

Back to TopTop