Sign in to use this feature.

Years

Between: -

Subjects

remove_circle_outline
remove_circle_outline
remove_circle_outline
remove_circle_outline
remove_circle_outline
remove_circle_outline

Journals

Article Types

Countries / Regions

Search Results (34)

Search Parameters:
Keywords = multiblock polymers

Order results
Result details
Results per page
Select all
Export citation of selected articles as:
18 pages, 5925 KB  
Article
Linear Radical Additions-Coupling Polymerization (LRAsCP): Model, Experiment and Application
by Yudian Jiang, Kun Cao and Qi Wang
Polymers 2025, 17(6), 741; https://doi.org/10.3390/polym17060741 - 12 Mar 2025
Cited by 1 | Viewed by 1081
Abstract
Exploring new polymerization strategies for currently available monomers is a challenge in polymer science. Herein, a bifunctional initiator (BFI) is introduced for the conventional radical polymerization of a vinyl monomer, resulting in linear radical additions-coupling polymerization (LRAsCP). In LRAsCP, the coupling reaction alongside [...] Read more.
Exploring new polymerization strategies for currently available monomers is a challenge in polymer science. Herein, a bifunctional initiator (BFI) is introduced for the conventional radical polymerization of a vinyl monomer, resulting in linear radical additions-coupling polymerization (LRAsCP). In LRAsCP, the coupling reaction alongside the addition reaction of the radicals contributes to the construction of polymer chains, which leads to stepwise growth of the multiblock structure. Theoretical analysis of LRAsCP predicted variation of some structural parameters of the resulting multiblock polymer (MBP) with the extent of initiation of the BFI and the termination factor of the radicals. Simultaneous and cascade initiations of the BFI were compared. LRAsCP of styrene was conducted, and a kinetics study was carried out. The increment in Mn with polymerization time demonstrated the stepwise mechanism of the formation of the MBP. The variation of the structural parameters of MBP fitted well with the theoretical prediction. Two-step LRAsCP was conducted and multiblock copolymers (MBcP) were obtained either by in situ copolymerization of styrene and MMA or by a second copolymerization of styrene and BMA. The current results demonstrate that the introduction of a BFI to conventional radical polymerization generates a new polymerization strategy, leading to a new chain architecture, which can be extended to other radical polymerizable monomers. Full article
(This article belongs to the Section Polymer Physics and Theory)
Show Figures

Graphical abstract

55 pages, 49774 KB  
Review
Structural Rheology in the Development and Study of Complex Polymer Materials
by Sergey O. Ilyin
Polymers 2024, 16(17), 2458; https://doi.org/10.3390/polym16172458 - 29 Aug 2024
Cited by 41 | Viewed by 6057
Abstract
The progress in polymer science and nanotechnology yields new colloidal and macromolecular objects and their combinations, which can be defined as complex polymer materials. The complexity may include a complicated composition and architecture of macromolecular chains, specific intermolecular interactions, an unusual phase behavior, [...] Read more.
The progress in polymer science and nanotechnology yields new colloidal and macromolecular objects and their combinations, which can be defined as complex polymer materials. The complexity may include a complicated composition and architecture of macromolecular chains, specific intermolecular interactions, an unusual phase behavior, and a structure of a multi-component polymer-containing material. Determination of a relation between the structure of a complex material, the structure and properties of its constituent elements, and the rheological properties of the material as a whole is the subject of structural rheology—a valuable tool for the development and study of novel materials. This work summarizes the author’s structural–rheological studies of complex polymer materials for determining the conditions and rheo-manifestations of their micro- and nanostructuring. The complicated chemical composition of macromolecular chains and its role in polymer structuring via block segregation and cooperative hydrogen bonds in melt and solutions is considered using tri- and multiblock styrene/isoprene and vinyl acetate/vinyl alcohol copolymers. Specific molecular interactions are analyzed in solutions of cellulose; its acetate butyrate; a gelatin/carrageenan combination; and different acrylonitrile, oxadiazole, and benzimidazole copolymers. A homogeneous structuring may result from a conformational transition, a mesophase formation, or a macromolecular association caused by a complex chain composition or specific inter- and supramolecular interactions, which, however, may be masked by macromolecular entanglements when determining a rheological behavior. A heterogeneous structure formation implies a microscopic phase separation upon non-solvent addition, temperature change, or intense shear up to a macroscopic decomposition. Specific polymer/particle interactions have been examined using polyethylene oxide solutions, polyisobutylene melts, and cellulose gels containing solid particles of different nature, demonstrating the competition of macromolecular entanglements, interparticle interactions, and adsorption polymer/particle bonds in governing the rheological properties. Complex chain architecture has been considered using long-chain branched polybutylene-adipate-terephthalate and polyethylene melts, cross-linked sodium hyaluronate hydrogels, asphaltene solutions, and linear/highly-branched polydimethylsiloxane blends, showing that branching raises the viscosity and elasticity and can result in limited miscibility with linear isomonomer chains. Finally, some examples of composite adhesives, membranes, and greases as structured polymeric functional materials have been presented with the demonstration of the relation between their rheological and performance properties. Full article
(This article belongs to the Special Issue Rheology and Processing of Polymer Materials)
Show Figures

Figure 1

10 pages, 2553 KB  
Article
Development of Ring-Expansion RAFT Polymerization of tert-Butyl Acrylate with a Cyclic Trithiocarbonate Derivative toward the Facile Synthesis of Cyclic Polymers
by Jin Motoyanagi, Hiroki Fujii and Masahiko Minoda
Molecules 2024, 29(8), 1839; https://doi.org/10.3390/molecules29081839 - 18 Apr 2024
Cited by 3 | Viewed by 2384
Abstract
Polymers with cyclic topology have no terminal structure and, therefore, exhibit various unique physical and functional properties compared to those of linear analogs. In this paper, we report an innovative methodology for the synthesis of cyclic polymers via ring-expansion RAFT (RE-RAFT) polymerization of [...] Read more.
Polymers with cyclic topology have no terminal structure and, therefore, exhibit various unique physical and functional properties compared to those of linear analogs. In this paper, we report an innovative methodology for the synthesis of cyclic polymers via ring-expansion RAFT (RE-RAFT) polymerization of vinyl monomers using a cyclic trithiocarbonate derivative (CTTC) as a RAFT agent. RE-RAFT of tert-butyl acrylate (TBA) was performed to yield a mixture of polymers exhibiting a bimodal size exclusion chromatography (SEC) trace. Both the peak top molecular weights shifted to higher-molecular-weight regions as the monomer conversion increased. The structure of the resulting polymer mixture was examined by 1H NMR and MALDI-TOF-MS. Detailed studies indicated that the obtained polymer of higher molecular weight was one of the large-sized cyclic polymers generated by the fusion of smaller-sized cyclic polymers during the RE-RAFT polymerization process. This approach opens the door to the simple synthesis of well-controlled cyclic polymers with complex structures, such as alternating and multi-block repeat unit sequences. Full article
(This article belongs to the Special Issue Exclusive Feature Papers in Macromolecular Chemistry)
Show Figures

Graphical abstract

19 pages, 5261 KB  
Article
An Amphiphilic Multiblock Polymer as a High-Temperature Gelling Agent for Oil-Based Drilling Fluids and Its Mechanism of Action
by Yinbo He, Mingliang Du, Jing He, Haiyang Liu, Yanhua Lv, Lei Guo, Peng Zhang and Yunhai Bai
Gels 2023, 9(12), 966; https://doi.org/10.3390/gels9120966 - 9 Dec 2023
Cited by 8 | Viewed by 3030
Abstract
Oil-based drilling fluids are widely used in challenging wells such as those with large displacements, deepwater and ultra-deepwater wells, deep wells, and ultra-deep wells due to their excellent temperature resistance, inhibition properties, and lubrication. However, there is a challenging issue of rheological deterioration [...] Read more.
Oil-based drilling fluids are widely used in challenging wells such as those with large displacements, deepwater and ultra-deepwater wells, deep wells, and ultra-deep wells due to their excellent temperature resistance, inhibition properties, and lubrication. However, there is a challenging issue of rheological deterioration of drilling fluids under high-temperature conditions. In this study, a dual-amphiphilic segmented high-temperature-resistant gelling agent (HTR-GA) was synthesized using poly fatty acids and polyether amines as raw materials. Experimental results showed that the initial decomposition temperature of HTR-GA was 374 °C, indicating good thermal stability. After adding HTR-GA, the emulsion coalescence voltage increased for emulsions with different oil-to-water ratios. HTR-GA could construct a weak gel structure in oil-based drilling fluids, significantly enhancing the shear-thinning and thixotropic properties of oil-based drilling fluids under high-temperature conditions. Using HTR-GA as the core, a set of oil-based drilling fluid systems with good rheological properties, a density of 2.2 g/cm3, and temperature resistance up to 220 °C were constructed. After aging for 24 h at 220 °C, the dynamic shear force exceeded 10 Pa, and G′ exceeded 7 Pa, while after aging for 96 h at 220 °C, the dynamic shear force exceeded 4 Pa, and G″ reached 7 Pa. The synthesized compound HTR-GA has been empirically validated to significantly augment the rheological properties of oil-based drilling fluids, particularly under high-temperature conditions, showcasing impressive thermal stability with a resistance threshold of up to 220 °C. This notable enhancement provides critical technical reinforcement for progressive exploration endeavors in deep and ultra-deep well formations, specifically employing oil-based drilling fluids. Full article
(This article belongs to the Special Issue Gel for Oil-Based Drilling Fluid)
Show Figures

Figure 1

19 pages, 4858 KB  
Article
Polyhydroxyurethane and Poly(ethylene oxide) Multiblock Copolymer Networks: Crosslinking with Polysilsesquioxane, Reprocessing and Solid Polyelectrolyte Properties
by Lei Li, Bingjie Zhao, Guohua Hang, Yuan Gao, Jiawei Hu, Tao Zhang and Sixun Zheng
Polymers 2023, 15(24), 4634; https://doi.org/10.3390/polym15244634 - 7 Dec 2023
Cited by 3 | Viewed by 2897
Abstract
This contribution reports the synthesis of polyhydroxyurethane (PHU)-poly(ethylene oxide) (PEO) multiblock copolymer networks crosslinked with polysilsesquioxane (PSSQ). First, the linear PHU-PEO multiblock copolymers were synthesized via the step-growth polymerization of bis(6-membered cyclic carbonate) (B6CC) with α,ω-diamino-terminated PEOs with variable molecular weights. Thereafter, the [...] Read more.
This contribution reports the synthesis of polyhydroxyurethane (PHU)-poly(ethylene oxide) (PEO) multiblock copolymer networks crosslinked with polysilsesquioxane (PSSQ). First, the linear PHU-PEO multiblock copolymers were synthesized via the step-growth polymerization of bis(6-membered cyclic carbonate) (B6CC) with α,ω-diamino-terminated PEOs with variable molecular weights. Thereafter, the PHU-PEO copolymers were allowed to react with 3-isocyanatopropyltriethoxysilane (IPTS) to afford the derivatives bearing triethoxysilane moieties, the hydrolysis and condensation of which afforded the PHU-PEO networks crosslinked with PSSQ. It was found that the PHU-PEO networks displayed excellent reprocessing properties in the presence of trifluoromethanesulfonate [Zn(OTf)2]. Compared to the PHU networks crosslinked via the reaction of difunctional cyclic carbonate with multifunctional amines, the organic–inorganic PHU networks displayed the decreased reprocessing temperature. The metathesis of silyl ether bonds is responsible for the improved reprocessing behavior. By adding lithium trifluoromethanesulfonate (LiOTf), the PHU-PEO networks were further transformed into the solid polymer electrolytes. It was found that the crystallization of PEO chains in the crosslinked networks was significantly suppressed. The solid polymer electrolytes had the ionic conductivity as high as 7.64 × 10−5 S × cm−1 at 300 K. More importantly, the solid polymer electrolytes were recyclable; the reprocessing did not affect the ionic conductivity. Full article
(This article belongs to the Section Smart and Functional Polymers)
Show Figures

Graphical abstract

18 pages, 2038 KB  
Article
Effect of Chain Structure on the Various Properties of the Copolymers of Fluorinated Norbornenes with Cyclooctene
by Olga A. Adzhieva, Maria L. Gringolts, Yulia I. Denisova, Georgiy A. Shandryuk, Ekaterina A. Litmanovich, Roman Yu. Nikiforov, Nikolay A. Belov and Yaroslav V. Kudryavtsev
Polymers 2023, 15(9), 2157; https://doi.org/10.3390/polym15092157 - 30 Apr 2023
Cited by 9 | Viewed by 3609
Abstract
Fluorinated polymers are attractive due to their special thermal, surface, gas separation, and other properties. In this study, new diblock, multiblock, and random copolymers of cyclooctene with two fluorinated norbornenes, 5-perfluorobutyl-2-norbornene and N-pentafluorophenyl-exo-endo-norbornene-5,6-dicarboximide, are synthesized by ring-opening metathesis copolymerization and macromolecular cross-metathesis in [...] Read more.
Fluorinated polymers are attractive due to their special thermal, surface, gas separation, and other properties. In this study, new diblock, multiblock, and random copolymers of cyclooctene with two fluorinated norbornenes, 5-perfluorobutyl-2-norbornene and N-pentafluorophenyl-exo-endo-norbornene-5,6-dicarboximide, are synthesized by ring-opening metathesis copolymerization and macromolecular cross-metathesis in the presence of the first- to third-generation Grubbs’ Ru-catalysts. Their thermal, surface, bulk, and solution characteristics are investigated and compared using differential scanning calorimetry, water contact angle measurements, gas permeation, and light scattering, respectively. It is demonstrated that they are correlated with the chain structure of the copolymers. The properties of multiblock copolymers are generally closer to those of diblock copolymers than of random ones, which can be explained by the presence of long blocks capable of self-organization. In particular, diblock and multiblock fluorine-imide-containing copolymers show a tendency to form micelles in chloroform solutions well below the overlap concentration. The results obtained may be of interest to a wide range of researchers involved in the design of functional copolymers. Full article
(This article belongs to the Special Issue Recent Developments in Ring-Opening Polymerization)
Show Figures

Graphical abstract

18 pages, 3314 KB  
Article
Nanocarbon-Based Mixed Matrix Pebax-1657 Flat Sheet Membranes for CO2/CH4 Separation
by Athanasios N. Vasileiou, George V. Theodorakopoulos, Dionysios S. Karousos, Mirtat Bouroushian, Andreas A. Sapalidis and Evangelos P. Favvas
Membranes 2023, 13(5), 470; https://doi.org/10.3390/membranes13050470 - 28 Apr 2023
Cited by 20 | Viewed by 4616
Abstract
In the present work, Pebax-1657, a commercial multiblock copolymer (poly(ether-block-amide)), consisting of 40% rigid amide (PA6) groups and 60% flexible ether (PEO) linkages, was selected as the base polymer for preparing dense flat sheet mixed matrix membranes (MMMs) using the solution casting method. [...] Read more.
In the present work, Pebax-1657, a commercial multiblock copolymer (poly(ether-block-amide)), consisting of 40% rigid amide (PA6) groups and 60% flexible ether (PEO) linkages, was selected as the base polymer for preparing dense flat sheet mixed matrix membranes (MMMs) using the solution casting method. Carbon nanofillers, specifically, raw and treated (plasma and oxidized) multi-walled carbon nanotubes (MWCNTs) and graphene nanoplatelets (GNPs) were incorporated into the polymeric matrix in order to improve the gas-separation performance and polymer’s structural properties. The developed membranes were characterized by means of SEM and FTIR, and their mechanical properties were also evaluated. Well-established models were employed in order to compare the experimental data with theoretical calculations concerning the tensile properties of MMMs. Most remarkably, the tensile strength of the mixed matrix membrane with oxidized GNPs was enhanced by 55.3% compared to the pure polymeric membrane, and its tensile modulus increased 3.2 times compared to the neat one. In addition, the effect of nanofiller type, structure and amount to real binary CO2/CH4 (10/90 vol.%) mixture separation performance was evaluated under elevated pressure conditions. A maximum CO2/CH4 separation factor of 21.9 was reached with CO2 permeability of 384 Barrer. Overall, MMMs exhibited enhanced gas permeabilities (up to fivefold values) without sacrificing gas selectivity compared to the corresponding pure polymeric membrane. Full article
(This article belongs to the Special Issue Structure and Performance of Porous Polymer Membranes)
Show Figures

Figure 1

13 pages, 2641 KB  
Article
Reversible Thermo-Optical Response Nanocomposites Based on RAFT Symmetric Triblock Copolymers (ABA) of Acrylamide and N-Isopropylacrylamide and Gold Nanoparticles
by Nery M. Aguilar, Jose Manuel Perez-Aguilar, Valeria J. González-Coronel, Hugo Martínez-Gutiérrez, Teresa Zayas Pérez, Enrique González-Vergara, Brenda L. Sanchez-Gaytan and Guillermo Soriano-Moro
Polymers 2023, 15(8), 1963; https://doi.org/10.3390/polym15081963 - 21 Apr 2023
Cited by 1 | Viewed by 3188
Abstract
The development of composite materials with thermo-optical properties based on smart polymeric systems and nanostructures have been extensively studied. Due to the fact of its ability to self-assemble into a structure that generates a significant change in the refractive index, one of most [...] Read more.
The development of composite materials with thermo-optical properties based on smart polymeric systems and nanostructures have been extensively studied. Due to the fact of its ability to self-assemble into a structure that generates a significant change in the refractive index, one of most attractive thermo-responsive polymers is poly(N-isopropylacrylamide) (PNIPAM), as well as its derivatives such as multiblock copolymers. In this work, symmetric triblock copolymers of polyacrylamide (PAM) and PNIPAM (PAMx-b-PNIPAMy-b-PAMx) with different block lengths were prepared by reversible addition−fragmentation chain-transfer polymerization (RAFT). The ABA sequence of these triblock copolymers was obtained in only two steps using a symmetrical trithiocarbonate as a transfer agent. The copolymers were combined with gold nanoparticles (AuNPs) to prepare nanocomposite materials with tunable optical properties. The results show that copolymers behave differently in solution due to the fact of variations in their composition. Therefore, they have a different impact on the nanoparticle formation process. Likewise, as expected, an increase in the length of the PNIPAM block promotes a better thermo-optical response. Full article
(This article belongs to the Special Issue Block Copolymers: Self-Assembly and Applications)
Show Figures

Figure 1

15 pages, 3027 KB  
Article
Multi-Block Copolymer Membranes Consisting of Sulfonated Poly(p-phenylene) and Naphthalene Containing Poly(arylene Ether Ketone) for Proton Exchange Membrane Water Electrolysis
by Eui Jin Ko, Eunju Lee, Jang Yong Lee, Duk Man Yu, Sang Jun Yoon, Keun-Hwan Oh, Young Taik Hong and Soonyong So
Polymers 2023, 15(7), 1748; https://doi.org/10.3390/polym15071748 - 31 Mar 2023
Cited by 20 | Viewed by 4620
Abstract
Glassy hydrocarbon-based membranes are being researched as a replacement for perfluorosulfonic acid (PFSA) membranes in proton exchange membrane water electrolysis (PEMWE). Here, naphthalene containing Poly(arylene Ether Ketone) was introduced into the Poly(p-phenylene)-based multi-block copolymers through Ni(0)-catalyzed coupling reaction to enhance π-π [...] Read more.
Glassy hydrocarbon-based membranes are being researched as a replacement for perfluorosulfonic acid (PFSA) membranes in proton exchange membrane water electrolysis (PEMWE). Here, naphthalene containing Poly(arylene Ether Ketone) was introduced into the Poly(p-phenylene)-based multi-block copolymers through Ni(0)-catalyzed coupling reaction to enhance π-π interactions of the naphthalene units. It is discovered that there is an optimum input ratio of the hydrophilic monomer and NBP oligomer for the multi-block copolymers with high ion exchange capacity (IEC) and polymerization yield. With the optimum input ratio, the naphthalene containing copolymer exhibits good hydrogen gas barrier property, chemical stability, and mechanical toughness, even with its high IEC value over 2.4 meq g−1. The membrane shows 3.6 times higher proton selectivity to hydrogen gas than Nafion 212. The PEMWE single cells using the membrane performed better (5.5 A cm−2) than Nafion 212 (4.75 A cm−2) at 1.9 V and 80 °C. These findings suggest that naphthalene containing copolymer membranes are a promising replacement for PFSA membranes in PEMWE. Full article
(This article belongs to the Topic Membranes for Electrochemical Energy Conversion)
Show Figures

Graphical abstract

23 pages, 3616 KB  
Article
A Single Injection with Sustained-Release Microspheres and a Prime-Boost Injection of Bovine Serum Albumin Elicit the Same IgG Antibody Response in Mice
by Renée S. van der Kooij, Martin Beukema, Anke L. W. Huckriede, Johan Zuidema, Rob Steendam, Henderik W. Frijlink and Wouter L. J. Hinrichs
Pharmaceutics 2023, 15(2), 676; https://doi.org/10.3390/pharmaceutics15020676 - 16 Feb 2023
Cited by 3 | Viewed by 3755
Abstract
Although vaccination is still considered to be the cornerstone of public health care, the increase in vaccination coverage has stagnated for many diseases. Most of these vaccines require two or three doses to be administered across several months or years. Single-injection vaccine formulations [...] Read more.
Although vaccination is still considered to be the cornerstone of public health care, the increase in vaccination coverage has stagnated for many diseases. Most of these vaccines require two or three doses to be administered across several months or years. Single-injection vaccine formulations are an effective method to overcome the logistical barrier to immunization that is posed by these multiple-injection schedules. Here, we developed subcutaneously (s.c.) injectable microspheres with a sustained release of the model antigen bovine serum albumin (BSA). The microspheres were composed of blends of two novel biodegradable multi-block copolymers consisting of amorphous, hydrophilic poly(ε-caprolactone)-poly(ethylene glycol)-poly(ε-caprolactone) (PCL-PEG-PCL) blocks and semi-crystalline poly(dioxanone) (PDO) blocks of different block sizes. In vitro studies demonstrated that the release of BSA could be tailored over a period of approximately four to nine weeks by changing the blend ratio of both polymers. Moreover, it was found that BSA remained structurally intact during release. Microspheres exhibiting sustained release of BSA for six weeks were selected for the in vivo study in mice. The induced BSA-specific IgG antibody titers increased up to four weeks after administration and were of the same magnitude as found in mice that received a priming and a booster dose of BSA in phosphate-buffered saline (PBS). Determination of the BSA concentration in plasma showed that in vivo release probably took place up to at least four weeks, although plasma concentrations peaked already one week after administration. The sustained-release microspheres might be a viable alternative to the conventional prime-boost immunization schedule, but a clinically relevant antigen should be incorporated to assess the full potential of these microspheres in practice. Full article
Show Figures

Figure 1

15 pages, 4698 KB  
Article
Functionalization of Polylactide with Multiple Tetraphenyethane Inifer Groups to Form PLA Block Copolymers with Vinyl Monomers
by Mateusz Grabowski, Bartłomiej Kost, Agnieszka Bodzioch and Melania Bednarek
Int. J. Mol. Sci. 2023, 24(1), 19; https://doi.org/10.3390/ijms24010019 - 20 Dec 2022
Cited by 6 | Viewed by 2393
Abstract
In the present contribution, a new strategy for preparing block copolymers of polylactide (PLA), a bio-derived polymer of increasing importance, is described. The method should lead to multiblock copolymers of lactide with vinyl monomers (VM), i.e., monomers that polymerize according to different mechanisms, [...] Read more.
In the present contribution, a new strategy for preparing block copolymers of polylactide (PLA), a bio-derived polymer of increasing importance, is described. The method should lead to multiblock copolymers of lactide with vinyl monomers (VM), i.e., monomers that polymerize according to different mechanisms, and is based on the introduction of multiple “inifer” (INItiator/transFER agent) groups into PLA’s structure. As an “inifer” group, tetraphenylethane (TPE, known to easily thermally dissociate to radicals) was incorporated into PLA chains using diisocyanate. PLA that contained TPE groups (PLA-PU) was characterized, and its ability to form initiating radicals was demonstrated by ESR measurements. PLA-PU was used as a “macroinifer” for the polymerization of acrylonitrile and styrene upon moderate heating (85 °C) of the PLA-PU in the presence of monomers. The formation of block copolymers PLA/PVM was confirmed by 1H NMR, DOSY NMR, and FTIR spectroscopies and the SEC method. The prepared copolymers showed only one glass transition in DSC curves with Tg values higher than those of PLA-PU. Full article
(This article belongs to the Special Issue Biopolymer Composites 2022)
Show Figures

Graphical abstract

20 pages, 5273 KB  
Article
Optically Transparent Polydimethylsiloxane-Ethylene Oxide-Propylene Oxide Multiblock Copolymers Crosslinked with Isocyanurates as Organic Compound Sorbents
by Ilsiya M. Davletbaeva, Oleg O. Sazonov, Ilgiz M. Dzhabbarov, Ilnaz I. Zaripov, Ruslan S. Davletbaev and Alla V. Mikhailova
Polymers 2022, 14(13), 2678; https://doi.org/10.3390/polym14132678 - 30 Jun 2022
Cited by 2 | Viewed by 2869
Abstract
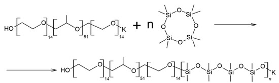
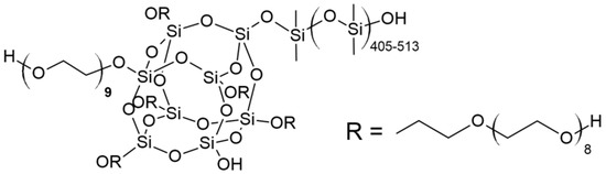
New crosslinked (polydimethylsiloxane-ethylene-propylene oxide)-polyisocyanurate multiblock copolymers (MBCs) were synthesized, and their supramolecular structure and sorption characteristics were studied. It was found that the interaction of PPEG and D4 leads to polyaddition of D4 initiated by potassium-alcoholate groups. The use of the [...] Read more.
New crosslinked (polydimethylsiloxane-ethylene-propylene oxide)-polyisocyanurate multiblock copolymers (MBCs) were synthesized, and their supramolecular structure and sorption characteristics were studied. It was found that the interaction of PPEG and D4 leads to polyaddition of D4 initiated by potassium-alcoholate groups. The use of the amphiphilic silica derivatives associated in an oligomeric medium (ASiPs) leads to structuring of the MBC due to the transetherification reaction of the terminal silanol groups of the MBC with ASiPs. It was established that the supramolecular structure of an MBC is built according to the “core-shell” structure. The obtained polymers were tested as sorbents for the development of new methods for the concentration and determination of inorganic compounds. The efficiency of sorption of reagents increased with an increase in the “thickness” of the polydimethylsiloxane component of the “shell” and with a decrease in the size of the polyisocyanurate “core”. The use of the obtained polymers as adsorbents of organic reagents is promising for increasing the efficiency of field methods of chemical testing and inorganic analysis, including the determination of the elemental composition and the detection of traces of contamination. Full article
(This article belongs to the Section Polymer Membranes and Films)
Show Figures

Graphical abstract

24 pages, 5343 KB  
Article
Semi-Crystalline Polyoxymethylene-co-Polyoxyalkylene Multi-Block Telechels as Building Blocks for Polyurethane Applications
by Matthias Hoffmann, Matthias Hermesmann, Matthias Leven, Walter Leitner and Thomas Ernst Müller
Polymers 2022, 14(5), 882; https://doi.org/10.3390/polym14050882 - 23 Feb 2022
Cited by 4 | Viewed by 5200
Abstract
Hydroxy-terminated polyoxymethylene-co-polyoxyalkylene multi-block telechels were obtained by a new methodology that allows for the formal substituting of ether units in polyether polyols with oxymethylene moieties. An interesting feature is that, unlike carbonate groups in polycarbonate and polyethercarbonate polyols, homopolymer blocks of [...] Read more.
Hydroxy-terminated polyoxymethylene-co-polyoxyalkylene multi-block telechels were obtained by a new methodology that allows for the formal substituting of ether units in polyether polyols with oxymethylene moieties. An interesting feature is that, unlike carbonate groups in polycarbonate and polyethercarbonate polyols, homopolymer blocks of polyoxymethylene moieties can be formed. The regular nature of polyoxymethylene blocks imparts a certain crystallinity to the polymer that can give rise to new properties of polyurethanes derived from such telechels. The synthesis, reaction sequence and kinetics of the formation of oligomeric hydroxy-terminated multi-block telechel polyoxymethylene moieties are discussed in this paper and the preparation of a polyurethane material is demonstrated. Full article
(This article belongs to the Special Issue Polymer Dynamics: Bulk and Nanoconfined Polymers)
Show Figures

Graphical abstract

15 pages, 3244 KB  
Article
A Multiblock Approach to Fuse Process and Near-Infrared Sensors for On-Line Prediction of Polymer Properties
by Lorenzo Strani, Raffaele Vitale, Daniele Tanzilli, Francesco Bonacini, Andrea Perolo, Erik Mantovani, Angelo Ferrando and Marina Cocchi
Sensors 2022, 22(4), 1436; https://doi.org/10.3390/s22041436 - 13 Feb 2022
Cited by 12 | Viewed by 3364
Abstract
Petrochemical companies aim at assessing final product quality in real time, in order to rapidly deal with possible plant faults and to reduce chemical wastes and staff effort resulting from the many laboratory analyses performed every day. In order to answer these needs, [...] Read more.
Petrochemical companies aim at assessing final product quality in real time, in order to rapidly deal with possible plant faults and to reduce chemical wastes and staff effort resulting from the many laboratory analyses performed every day. In order to answer these needs, the main purpose of the current work is to explore the feasibility of multiblock regression methods to build real-time monitoring models for the prediction of two quality properties of Acrylonitrile-Butadiene-Styrene (ABS) by fusing near-infrared (NIR) and process sensors data. Data come from a production plant, which operates continuously, and where four NIR probes are installed on-line, in addition to standard process sensors. Multiblock-PLS (MB-PLS) and Response-Oriented Sequential Alternation (ROSA) methods were here utilized to assess which of such sensors and plant areas were the most relevant for the quality parameters prediction. Several prediction models were constructed exploiting measurements provided by sensors active at different ABS production process stages. Both methods provided good prediction performances and permitted identification of the most relevant data blocks for the quality parameters’ prediction. Moreover, models built without considering recordings from the final stage of the process yielded prediction errors comparable to those involving all available data blocks. Thus, in principle, allowing final ABS quality to be estimated in real-time before the end of the process itself. Full article
(This article belongs to the Special Issue Sensor Data Fusion Analysis for Broad Applications)
Show Figures

Graphical abstract

18 pages, 2458 KB  
Article
Olefin-Metathesis-Derived Norbornene–Ethylene–Vinyl Acetate/Vinyl Alcohol Multiblock Copolymers: Impact of the Copolymer Structure on the Gas Permeation Properties
by Alexey V. Roenko, Roman Y. Nikiforov, Maria L. Gringolts, Nikolay A. Belov, Yulia I. Denisova, Georgiy A. Shandryuk, Galina N. Bondarenko, Yaroslav V. Kudryavtsev and Eugene S. Finkelshtein
Polymers 2022, 14(3), 444; https://doi.org/10.3390/polym14030444 - 22 Jan 2022
Cited by 7 | Viewed by 4189
Abstract
Commercial metathesis polynorbornene is used for the fabrication of high-damping coatings and bulk materials that dissipate vibration and impact energies. Functionalization of this non-polar polymer can improve its adhesive, gas barrier, and other properties, thereby potentially expanding its application area. With this aim, [...] Read more.
Commercial metathesis polynorbornene is used for the fabrication of high-damping coatings and bulk materials that dissipate vibration and impact energies. Functionalization of this non-polar polymer can improve its adhesive, gas barrier, and other properties, thereby potentially expanding its application area. With this aim, the post-modification of polynorbornene was carried out by inserting ethylene–vinyl acetate–vinyl alcohol blocks into its backbone via the cross-metathesis of polynorbornene with poly(5-acetoxy-1-octenylene) and subsequent deacetylation and hydrogenation of the obtained multiblock copolymers. For the first time, epoxy groups were introduced into the main chains of these copolymers, followed by the oxirane ring opening reaction. The influence of post-modification on the thermal, gas separation, and mechanical properties of the new copolymers was studied. It was shown that the gas permeability of the copolymer significantly depends on its composition, as well as on the amounts of hydroxyl and epoxy groups. The developed methods efficiently improve the barrier properties, reducing the oxygen permeability by 15–33 times in comparison with polynorbornene. The obtained results are promising for various applications and can be extended to a broader family of polydienes and other polymers containing backbone double bonds. Full article
(This article belongs to the Special Issue Polymer Modification as a Route to Functional Copolymers)
Show Figures

Graphical abstract

Back to TopTop