Sign in to use this feature.

Years

Between: -

Subjects

remove_circle_outline
remove_circle_outline
remove_circle_outline
remove_circle_outline
remove_circle_outline
remove_circle_outline
remove_circle_outline
remove_circle_outline
remove_circle_outline

Journals

remove_circle_outline
remove_circle_outline
remove_circle_outline
remove_circle_outline
remove_circle_outline
remove_circle_outline
remove_circle_outline
remove_circle_outline
remove_circle_outline
remove_circle_outline
remove_circle_outline
remove_circle_outline
remove_circle_outline
remove_circle_outline
remove_circle_outline
remove_circle_outline
remove_circle_outline
remove_circle_outline
remove_circle_outline
remove_circle_outline
remove_circle_outline
remove_circle_outline
remove_circle_outline
remove_circle_outline
remove_circle_outline
remove_circle_outline
remove_circle_outline
remove_circle_outline

Article Types

Countries / Regions

remove_circle_outline
remove_circle_outline
remove_circle_outline
remove_circle_outline
remove_circle_outline
remove_circle_outline
remove_circle_outline
remove_circle_outline
remove_circle_outline
remove_circle_outline

Search Results (8,709)

Search Parameters:
Keywords = moisture effects

Order results
Result details
Results per page
Select all
Export citation of selected articles as:
23 pages, 5672 KB  
Article
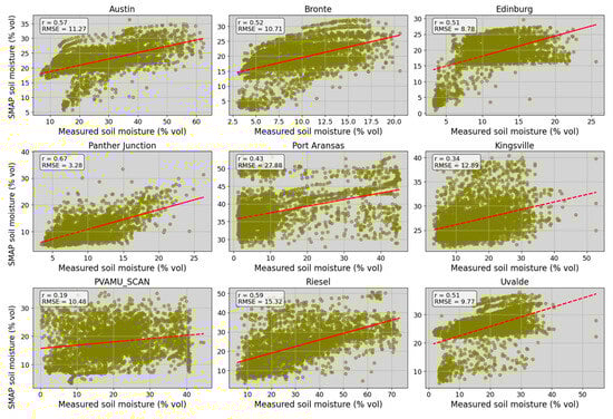
Validation of SMAP Surface Soil Moisture Using In Situ Measurements in Diverse Agroecosystems Across Texas, US
by Sanjita Gurau, Gebrekidan W. Tefera and Ram L. Ray
Remote Sens. 2026, 18(7), 994; https://doi.org/10.3390/rs18070994 (registering DOI) - 25 Mar 2026
Abstract
Accurate soil moisture assessment is essential for effective agricultural management in the southern US, where water availability has a significant impact on crop productivity. This study evaluates the Soil Moisture Active Passive (SMAP) Level-4 daily soil moisture product using in situ measurements from [...] Read more.
Accurate soil moisture assessment is essential for effective agricultural management in the southern US, where water availability has a significant impact on crop productivity. This study evaluates the Soil Moisture Active Passive (SMAP) Level-4 daily soil moisture product using in situ measurements from Natural Resources Conservation Service (NRCS) Soil Climate Analysis Network (SCAN) stations and the US. Climate Reference Network (USCRN) across diverse agroecosystems in Texas from 2016 to 2024. SMAP’s performance was examined across ten climate zones and six major land cover types, including urban regions, pastureland, grassland, rangeland, shrubland, and deciduous forests. Statistical metrics, including the coefficient of determination (R2), Root Mean Square Error (RMSE), Bias, and unbiased RMSE (ubRMSE) were used to evaluate the agreement between SMAP-derived and in situ soil moisture measurements. Results show that SMAP effectively captures seasonal soil moisture dynamics but exhibits spatially variable accuracy. The highest agreement was observed at Panther Junction (R2 = 0.57, RMSE = 2.29%), followed by Austin (R2 = 0.57, RMSE = 9.95%). While a weaker coefficient of determination was observed at PVAMU (R2 = 0.28, RMSE = 11.28%) and Kingsville (R2 = 0.11, RMSE = 7.33%), likely due to heterogeneity in land cover, and urbanized landscapes in these stations. Applying the quantile mapping bias correction methods significantly reduced RMSE and improved the accuracy of SMAP soil moisture data at some in situ measurement stations. The results highlight the importance of station-specific calibration and the integration of satellite and ground-based measurements to improve soil moisture monitoring for agriculture and drought management in Texas and similar regions. Full article
(This article belongs to the Special Issue Remote Sensing for Hydrological Management)
Show Figures

Figure 1

18 pages, 4459 KB  
Article
Wollastonite in Acrylic Paint to Protect Normal and Heat-Treated Spruce Wood Against Coniophora puteana
by Hamid R. Taghiyari, Elham Nadali, Antonio Pizzi, Afshin Rahmati, Olaf Schmidt and Antonios N. Papadopoulos
Polymers 2026, 18(7), 788; https://doi.org/10.3390/polym18070788 - 25 Mar 2026
Abstract
This study investigates the efficacy of wollastonite-enriched acrylic paint in protecting spruce wood (Picea abies) against the brown-rot fungus Coniophora puteana. Unheated and heat-treated wood samples (185 °C for 4 h) were coated with either plain acrylic paint or wollastonite-enriched [...] Read more.
This study investigates the efficacy of wollastonite-enriched acrylic paint in protecting spruce wood (Picea abies) against the brown-rot fungus Coniophora puteana. Unheated and heat-treated wood samples (185 °C for 4 h) were coated with either plain acrylic paint or wollastonite-enriched acrylic paint and exposed to the fungus. Fungal resistance was evaluated by measuring mass loss (ML) and compression strength parallel to the grain. While conventional acrylic coatings provide a physical barrier against moisture and limited microbial attack, their effectiveness against C. puteana is often insufficient. Our results show that untreated controls lost 23.8% of their mass, whereas plain acrylic paint reduced mass loss only slightly. In contrast, wollastonite-enriched paint significantly decreased ML in both unheated and heat-treated specimens, demonstrating superior antifungal performance. These findings indicate that incorporating wollastonite into acrylic paint enhances fungal resistance, offering a simple, environmentally friendly, and effective surface treatment for spruce wood. This study fills a research gap in the use of mineral additives in acrylic coatings and highlights a practical approach for improving wood durability against fungal decay. Full article
(This article belongs to the Special Issue Wood Polymer Composites: Progress and Prospects)
Show Figures

Figure 1

18 pages, 1725 KB  
Article
Improving Texture and Protein Content in 3D-Printed Plant-Based Foods for Dysphagia: A Study of Pea-Protein and Curcumin-Enriched Oleogel Formulations
by Heremans Camille, Baugier Benjamin, De Rijdt Mathieu, Bradfer Roxane, Potvin Nelly, Ayadi Mohamed, Haubruge Eric and Goffin Dorothée
Foods 2026, 15(7), 1125; https://doi.org/10.3390/foods15071125 - 25 Mar 2026
Abstract
Texture-modified foods (TMFs) are essential for individuals with dysphagia, yet conventional formulations often lack structural consistency, nutritional density, and sensory appeal. Three-dimensional (3D) food printing offers new opportunities to tailor texture and composition. This study developed 3D-printed TMFs based on a lentil-carrot matrix [...] Read more.
Texture-modified foods (TMFs) are essential for individuals with dysphagia, yet conventional formulations often lack structural consistency, nutritional density, and sensory appeal. Three-dimensional (3D) food printing offers new opportunities to tailor texture and composition. This study developed 3D-printed TMFs based on a lentil-carrot matrix and formulated with pea protein isolate (PPI), a curcumin-enriched oleogel (O), or their combination (PPI–O), and compared them with a commercial dysphagia thickener reference. Printability was assessed through extrusion force measurements and dimensional deviation analysis. Texture profile analysis (TPA), International Dysphagia Diet Standardisation Initiative (IDDSI) tests, moisture and protein content determination, color measurements, and preliminary sensory evaluation were conducted. PPI-containing formulations required higher extrusion forces but showed improved dimensional stability, hardness, cohesiveness, and gumminess compared with the oleogel-only sample, likely due to the formation of a stronger protein network. In contrast, the oleogel-only formulation exhibited lower mechanical resistance and a more pronounced melting perception, reflecting the lubricating effect of the lipid-based matrix. Protein content significantly increased with PPI incorporation, and curcumin-enriched oleogel also markedly influenced color parameters. All samples were classified as compatible with IDDSI Level 5. The hybrid PPI–O formulation provided a balanced combination of printability, structural fidelity, enhanced protein content, and suitable textural properties. These findings suggest that extrusion-based 3D printing may represent a promising approach for designing plant-based TMFs for dysphagia-oriented foods. Full article
(This article belongs to the Special Issue 3D Food Printing: Future Outlooks and Applications in Food Processing)
Show Figures

Figure 1

22 pages, 2761 KB  
Article
Pea Within Pea: Microencapsulation of Pea Pod Extract Using Pea Grain Powder as a Sustainable Carrier
by Nada Ćujić Nikolić, Zorana Mutavski, Jelena Mudrić, Milica Radan, Jelena Vulić, Smilja Marković and Katarina Šavikin
Plants 2026, 15(7), 996; https://doi.org/10.3390/plants15070996 - 24 Mar 2026
Abstract
The pods of pea (Pisum sativum L.), an abundant agroindustry by-product, represents a sustainable source of bioactive compounds. To harness these compounds effectively, this study aimed to optimize the ultrasound-assisted extraction (UAE) of polyphenols and plant pigments (chlorophylls and carotenoids) from pea [...] Read more.
The pods of pea (Pisum sativum L.), an abundant agroindustry by-product, represents a sustainable source of bioactive compounds. To harness these compounds effectively, this study aimed to optimize the ultrasound-assisted extraction (UAE) of polyphenols and plant pigments (chlorophylls and carotenoids) from pea pod waste using response surface methodology, and to evaluate the encapsulation of the resulting extract with a novel pea-based carrier derived from whole pea grain powder. The optimal conditions for the extraction were a time of 45 min, a solid-to-solvent ratio of 1:48 (w/v), and an ethanol concentration of 58.51% (v/v). The extract obtained under these conditions was encapsulated using pea grain powder and compared with a conventional whey protein carrier. The resulting microencapsulates were characterized in terms of process yield, moisture content, particle size distribution, thermal properties, and phenolic composition. Pea grain powder as a carrier provided higher powder yield, lower moisture content, and improved thermal stability, whereas whey protein allowed slightly higher retention of most bioactive compounds, except for coumaric acid and kaempferol. Overall, these findings highlight pea grain powder as a promising plant-based carrier that supports the valorization of pea pod waste, contributing to the development of sustainable ingredients and a circular economy for legume processing by-products. Full article
Show Figures

Figure 1

20 pages, 2636 KB  
Article
Inferring Wildfire Ignition Causes in Spain Using Machine Learning and Explainable AI
by Clara Ochoa, Magí Franquesa, Marcos Rodrigues and Emilio Chuvieco
Fire 2026, 9(4), 138; https://doi.org/10.3390/fire9040138 - 24 Mar 2026
Abstract
A substantial proportion of wildfires in Mediterranean regions continue to be recorded without information about the cause or source of ignition, limiting our ability to understand ignition drivers and design effective prevention strategies. In this study, we develop a spatially harmonised wildfire database [...] Read more.
A substantial proportion of wildfires in Mediterranean regions continue to be recorded without information about the cause or source of ignition, limiting our ability to understand ignition drivers and design effective prevention strategies. In this study, we develop a spatially harmonised wildfire database for mainland Spain by integrating ignition records from the Spanish General Fire Statistics (EGIF) with fire perimeters generated from satellite images. We then apply a Random Forest classifier to infer ignition causes for events lacking cause attribution. To interpret model behaviour, we use Shapley Additive Explanation (SHAP) values at both global and local scales. Results indicate that human-caused ignitions are dominant, with intentional and negligence-related fires accounting for 52.13% of all known events, although they are associated with contrasting climatic and land-use settings. Negligence-related fires tend to occur under hot, dry and windy conditions, often in agricultural interfaces, whereas intentional fires are more frequent under cooler and wetter conditions and in areas with higher population density and land-use change. Lightning-caused fires represent a small fraction of total ignitions (3%) but exhibit a distinct climatic signature, occurring primarily in sparsely populated areas, under intermediate moisture conditions, and often leading to larger burned areas. Despite strong overall model performance (F1-score = 0.82), minority classes (e.g., lightning and fire rekindling, 0.17%) remain challenging to classify, reflecting both data imbalance and uncertainty in causal attribution. Overall, the combined use of machine learning and explainable AI provides a coherent spatial characterisation of wildfire ignition drivers across mainland Spain, highlights systematic differences among ignition causes, and identifies key limitations in existing fire cause records. This framework represents a practical step towards improving fire cause information by integrating remote sensing products with field-based fire reports, thereby supporting more targeted and evidence-based fire risk management. Full article
Show Figures

Figure 1

12 pages, 2310 KB  
Article
Does Drought Regulate DMPP Effectiveness in Alleviating Maize Manganese and Phosphorus Deficiencies in High-pH Soils?
by Mathew Edung Etabo, Pablo Lacerda Ribeiro, Britta Pitann and Karl Hermann Mühling
Nitrogen 2026, 7(2), 34; https://doi.org/10.3390/nitrogen7020034 - 24 Mar 2026
Abstract
Drought will likely become more frequent and intense in Europe due to climate change, which may worsen Mn2+ and P deficiencies found in high pH soils. In this context, research investigating the effectiveness of ammonium-based nitrogen fertilizers treated with nitrification inhibitors (NIs) [...] Read more.
Drought will likely become more frequent and intense in Europe due to climate change, which may worsen Mn2+ and P deficiencies found in high pH soils. In this context, research investigating the effectiveness of ammonium-based nitrogen fertilizers treated with nitrification inhibitors (NIs) in alleviating Mn2+ and P deficiencies in such soils has been done. However, studies considering the impact of drought periods and soil texture on this topic are lacking. Therefore, we carried out a study addressing this research gap. Maize plants were grown in a greenhouse experiment, and the experimental setup comprised three factors consisting of soil texture (sand and silt loam), soil moisture (sufficient and drought), and DMPP application (with and without DMPP). The measured variables were bulk and rhizosphere soil pH, Mn2+ availability, maize biomass yield, and shoot concentration of selected macro- and micronutrients. DMPP increased shoot biomass production by 60% in silt loam under drought but not in sand soil texture. In addition, DMPP increased Mn2+ and P shoot concentrations by 38% and 21%, respectively, in the silt loam soil texture under drought. In contrast, DMPP did not alleviate the negative impact of drought on plant biomass production, Mn2+ and P shoot concentration in the sand soil texture. In conclusion, DMPP application is effective in alleviating Mn2+ and P deprivation in high pH soil subjected to drought. However, this effect was soil texture-dependent and observed in the silt loam rather than in the sand soil texture. Full article
Show Figures

Figure 1

14 pages, 6694 KB  
Article
Cracking Mechanism and Life-Cycle Performance Evaluation of Early-Age Concrete Based on Environment-Damage Coupling
by Min Yuan, Zhiqiang Xie, Jiazheng Li, Yun Dong and Sheng Qiang
Materials 2026, 19(6), 1256; https://doi.org/10.3390/ma19061256 - 22 Mar 2026
Viewed by 129
Abstract
Concrete is accelerating its transition towards green and low-carbon development, but its performance throughout its entire life cycle is significantly influenced by environmental changes, which remains a key technical challenge currently faced. The effects of early-age concrete tensile damage on thermal conductivity and [...] Read more.
Concrete is accelerating its transition towards green and low-carbon development, but its performance throughout its entire life cycle is significantly influenced by environmental changes, which remains a key technical challenge currently faced. The effects of early-age concrete tensile damage on thermal conductivity and moisture transport properties, as well as their coupling mechanism, remain unclear, leading to severe cracking. To explore the cracking mechanism of early-age concrete under the coupled conditions of environment and damage and to evaluate its performance throughout its lifecycle, this article conducts comparative experiments on the performance of concrete under high temperature, varying humidity, and damage conditions in the early age stage. The variation law of temperature, humidity, and strain of concrete is studied, and the evolution of microstructure and composition of concrete is explored. The response of porosity to ambient humidity exhibits opposite trends between restrained and unrestrained specimens, with rates of change of +0.0353%/RH and −0.0245%/RH, respectively. Furthermore, the study identified a critical turning point in ambient relative humidity (50% RH), which significantly alters the degree of hydration (Ca/Si ratio) of the concrete. The research results may provide theoretical and technical support for cracking risk assessment and crack control throughout the entire life cycle of concrete thin-walled structures. Full article
Show Figures

Figure 1

18 pages, 2202 KB  
Article
The Microbial Network Stability in Cyanobacterial and Moss Biocrusts Respond Differently to Climate Warming
by Chang Tian, Chongfeng Bu, Shufang Wu, Xinhao Li and Kadambot H. M. Siddique
Microorganisms 2026, 14(3), 713; https://doi.org/10.3390/microorganisms14030713 - 22 Mar 2026
Viewed by 170
Abstract
Climate warming—a key driver of global change—significantly affects soil microbial communities and network stability. Biological soil crusts (biocrusts) help mitigate these impacts while maintaining soil ecological functions and biodiversity. However, how microbial networks and community dynamics respond to warming remains poorly understood between [...] Read more.
Climate warming—a key driver of global change—significantly affects soil microbial communities and network stability. Biological soil crusts (biocrusts) help mitigate these impacts while maintaining soil ecological functions and biodiversity. However, how microbial networks and community dynamics respond to warming remains poorly understood between biocrust types, namely cyanobacterial and moss biocrust. In this study, we investigated the effect of warming on microbial communities and network stability in these biocrusts within the Mu Us Sandland, China. Using structural equation modeling (SEM), we found that warming altered microbial network properties: compared to the control, warming increased network vulnerability and decreased robustness specifically in cyanobacterial biocrusts. Warming and decreased soil moisture acted as strong filtering factors, resulting in lower microbial network stability. Although overall network complexity remained unchanged, warming reduced connectivity in cyanobacterial biocrusts, thus undermining network stability. Moreover, under both warming and control conditions, moss biocrusts exhibited lower robustness but higher vulnerability than cyanobacterial biocrusts, indicating cyanobacterial biocrusts displayed greater microbial network stability in comparison. Additionally, warming reduced the number of module hubs and keystone phyla in both biocrust types, decreasing key taxa abundance and weakening direct microbial interactions. We concluded that warming impaired microbial network stability by reducing connectivity in cyanobacterial biocrusts. These findings highlight the superior capacity of cyanobacterial biocrusts to sustain soil microbial network stability under climate warming and identify shifts in network connectivity as a central mechanism driving biocrust responses to environmental stress. Full article
(This article belongs to the Section Environmental Microbiology)
Show Figures

Figure 1

28 pages, 5551 KB  
Article
Nonmonotonic Elevational Patterns of Soil CO2 Flux Driven by Temperature Dominance and Moisture Thresholds in the Sejila Mountains, Tibetan Plateau
by Qiang Meng, Jingxia Liu, Peng Chen, Junzeng Xu, Qiang He, Yangzong Cidan, Ying Huang and Yi Huang
Forests 2026, 17(3), 390; https://doi.org/10.3390/f17030390 - 21 Mar 2026
Viewed by 125
Abstract
Understanding spatiotemporal variation in soil CO2 flux (FCO2) along elevational gradients is essential for predicting carbon–climate feedback in alpine ecosystems. However, how temperature- and moisture-related factors jointly regulate daily-scale FCO2 and how their contributions vary with elevation remain unclear, [...] Read more.
Understanding spatiotemporal variation in soil CO2 flux (FCO2) along elevational gradients is essential for predicting carbon–climate feedback in alpine ecosystems. However, how temperature- and moisture-related factors jointly regulate daily-scale FCO2 and how their contributions vary with elevation remain unclear, particularly in the Sejila Mountains (Southeastern Tibetan Plateau). We conducted continuous in situ measurements of daily-scale FCO2, air temperature (Ta), relative humidity (RH), soil temperature (ST, 0–10 cm), and volumetric soil water content (SW) across five elevational bands (3000–4200 m) in 2024–2025. Across both years, FCO2 showed a unimodal seasonal cycle and a robust nonmonotonic spatial pattern, with the highest efflux at 3000 and 4200 m and peak rates exceeding 5.0 µmol CO2 m−2 s−1. Cumulative carbon loss at 4200 m (909.90 g C m−2) exceeded that at mid-elevation sites. Linear mixed-effects models identified Ta as the most consistent positive predictor; the ST × SW interaction was not significant, indicating that temperature and moisture effects are largely additive at the daily scale. Piecewise regression revealed nonlinear SW thresholds (θ) in the FCO2 response, with θ varying nonmonotonically with elevation. Multiple linear regression further showed that thermal predictors (Ta, ST) explained substantially more variance than moisture predictors (RH, SW), and the relative importance of thermal drivers increased with elevation. These results challenge the common expectation of a monotonic decline in soil respiration with elevation and suggest that, when SW remains above critical thresholds, warming may amplify soil carbon losses at high elevations on the Tibetan Plateau. Full article
(This article belongs to the Section Forest Soil)
Show Figures

Figure 1

22 pages, 11546 KB  
Article
Expanded Polystyrene for Building Insulation: Effect of Graphite and Moisture on Thermophysical Properties
by Sereno Sacchet, Giovanni Paolo Lolato, Francesco Valentini, Maurizio Grigiante and Luca Fambri
Energies 2026, 19(6), 1558; https://doi.org/10.3390/en19061558 - 21 Mar 2026
Viewed by 110
Abstract
Improving the energy efficiency of the building envelope is critical for global decarbonization, yet a gap remains in the comprehensive thermophysical characterization of carbon-enhanced Expanded Polystyrene (EPS). This study evaluates the impact of expansion ratios and moisture content on the thermal behavior of [...] Read more.
Improving the energy efficiency of the building envelope is critical for global decarbonization, yet a gap remains in the comprehensive thermophysical characterization of carbon-enhanced Expanded Polystyrene (EPS). This study evaluates the impact of expansion ratios and moisture content on the thermal behavior of two commercial EPS grades, EPS-A (12.7 ± 0.5 kg/m3) and EPS-B (16.0 ± 1.1 kg/m3), investigating the counterintuitive role of graphite (1.4–1.8 wt.%) in enhancing the thermal insulation properties. Thermal conductivity and diffusivity were independently determined via Transient Plane Source (TPS) and Heat Flow Meter (HFM) methods across a 10–50 °C range, while specific heat capacity (cp) was analyzed using HFM and Differential Scanning Calorimetry (DSC) through the sapphire comparison method and Temperature-Modulated DSC (TOPEM®). Methodologically, it was found that standard HFM protocols are unsuitable for cp determination in low-density foams, yielding an average relative error of ±29%; conversely, the sapphire comparison method provided the most reliable results in agreement with theoretical expectations. Results indicate that the efficacy of graphite as a radiative shield is closely coupled with cellular morphology, proving significantly more effective in the higher expansion grade (EPS-A, 70 wt.% open porosity) than in the denser EPS-B. Furthermore, 30-day water immersion tests revealed that the higher open porosity of EPS-A facilitates increased water uptake of 144 ± 17 wt.% (compared to 97 ± 7 wt.% for EPS-B), causing the geometric densities of the two grades to converge and fundamentally altering thermal transport mechanisms. The study concludes that accurate thermal modeling of carbon-enhanced insulation requires careful selection of testing parameters, particularly when accounting for moisture-induced degradation in high-porosity systems. Full article
Show Figures

Figure 1

18 pages, 2273 KB  
Article
Physicochemical Characterization of Biochar Sorbents Produced at Different Temperatures from Malt Spent Rootlets
by Andreas Tzachristas, Panagiota D. Natsi, Panagiota E. Politi, Nikolaos Mourgkogiannis, Ioannis D. Manariotis and Hrissi K. Karapanagioti
Processes 2026, 14(6), 1012; https://doi.org/10.3390/pr14061012 - 21 Mar 2026
Viewed by 201
Abstract
Biochars are currently proposed as soil amendments or sorbent materials. There is an extensive scientific literature that deals with biochars originating from different raw materials. However, a holistic physicochemical characterization with simple analytical techniques is needed to provide insights on the characteristics of [...] Read more.
Biochars are currently proposed as soil amendments or sorbent materials. There is an extensive scientific literature that deals with biochars originating from different raw materials. However, a holistic physicochemical characterization with simple analytical techniques is needed to provide insights on the characteristics of the biochars produced from malt spent rootlets (MSRs) and how they vary using different pyrolysis temperatures. This way, their properties can be fully understood, and they can be used for commercial purposes more effectively. Initially, the texture of the biochars were visualized by SEM and was quantified by the adsorption/desorption of nitrogen and the Brunauer, Emmett, and Teller (BET) equation. Additionally, the moisture content, the ash content and the pH of each sample were measured. Furthermore, the electrical conductivity of each sample was measured. Different techniques were used to determine the properties of carbon and of the surface functional groups (Total Carbon, XRD, ATR-FTIR) and leachable organic matter. Also, sorption of the methylene blue dye solution has been studied, which is an indication of mesopores for each biochar. Molasses number was also determined, as this is an indicator of macropores. Finally, the chlorine removal rate was determined for each type of biochar. The experiments marked that the change in mass of biochars has stopped after three hours at 50 °C in the drying oven. The measured moisture content ranged from 6 to 11%. The specific surface area of our materials, calculated through the BET equation, for low temperature biochars (e.g., 28 m2/g, at 350 °C), is much lower than that of high temperature pyrolyzed biochar (e.g., 286 m2/g, at 850 °C). The pH value ranged from 7 to 10. The electrical conductivity values of samples ranged from 800 μS/cm to 2.55 mS/cm, and these decreased during the measurement after the second wash with deionized water. Crystallinity increased with increasing pyrolysis temperature whereas the number of functional groups decreased. MSR biochars produced at temperatures equal or higher than 750 °C demonstrate different characteristics to the ones produced at lower temperatures. Full article
(This article belongs to the Special Issue Biomass Pyrolysis Characterization and Energy Utilization)
Show Figures

Figure 1

33 pages, 5528 KB  
Article
Multisensor Monitoring of Soil–Plant–Atmosphere Interactions During Reproductive Development in Wheat
by Sandra Skendžić, Darija Lemić, Hrvoje Novak, Marko Reljić, Marko Maričević, Vinko Lešić, Ivana Pajač Živković and Monika Zovko
AgriEngineering 2026, 8(3), 119; https://doi.org/10.3390/agriengineering8030119 - 20 Mar 2026
Viewed by 156
Abstract
Assessing crop water status during the reproductive development of winter wheat is challenging because soil–plant–atmosphere interactions are strongly influenced by soil physical conditions, and measured soil water content (SWC) does not necessarily reflect plant-accessible water. This study applied an integrated, process-based multisensor approach [...] Read more.
Assessing crop water status during the reproductive development of winter wheat is challenging because soil–plant–atmosphere interactions are strongly influenced by soil physical conditions, and measured soil water content (SWC) does not necessarily reflect plant-accessible water. This study applied an integrated, process-based multisensor approach to evaluate functional crop water status and its relationship to grain yield, combining hyperspectral canopy reflectance, atmospheric observations, in situ SWC, and pedological characterization. Five winter wheat cultivars were monitored at two contrasting pedoclimatic sites in continental Croatia during the 2022/2023 growing season. Hyperspectral canopy reflectance (350–2500 nm) was measured at reproductive stages (BBCH 61–83), and seventeen vegetation indices describing canopy water status, structure, pigments, and senescence were derived. Principal component analysis (PCA) identified location as the dominant source of spectral variability, while cultivar effects were secondary. Although atmospheric conditions were broadly comparable, the sites differed markedly in soil physical properties, resulting in contrasting soil water–air regimes. Despite consistently higher volumetric SWC at one site, hyperspectral indicators revealed lower canopy water status, reduced canopy structure, earlier senescence, and lower grain yield across all cultivars. Water-sensitive indices exploiting near-infrared (700–1300 nm) and shortwave infrared (1300–2400 nm) bands (NDWI, NDMI, NMDI, MSI) consistently indicated greater physiological stress. Conversely, the site with lower SWC but more favorable soil physical conditions exhibited higher values of water- and structure-related indices and achieved higher grain yield, with a mean increase of 669 kg ha−1. The results demonstrate that hyperspectral canopy reflectance captures yield-relevant water stress that cannot be inferred from soil moisture alone, highlighting the importance of multisensor integration for interpreting soil–plant–atmosphere interactions under heterogeneous soil conditions. Full article
Show Figures

Figure 1

30 pages, 12770 KB  
Article
Coupling Bionic White Grub Structure and Material for Reducing Adhesion and Resistance of Potato Digging Shovel
by Changrong Liu, Hucun Wang, Wuyun Zhao, Lu Li and Ruijie Shi
Agriculture 2026, 16(6), 698; https://doi.org/10.3390/agriculture16060698 - 20 Mar 2026
Viewed by 163
Abstract
To address the problems of high digging resistance, elevated energy consumption, and severe soil adhesion encountered during mechanized potato harvesting, a bionic potato digging shovel inspired by the corrugated dorsal structure of the white grub was developed. Based on reverse-engineered geometric curves, two [...] Read more.
To address the problems of high digging resistance, elevated energy consumption, and severe soil adhesion encountered during mechanized potato harvesting, a bionic potato digging shovel inspired by the corrugated dorsal structure of the white grub was developed. Based on reverse-engineered geometric curves, two longitudinally corrugated shovel models (L-S-1 and L-S-2) were constructed, and a coupled soil–potato–shovel model was established using the Discrete Element Method (DEM) to evaluate soil disturbance characteristics and digging resistance at a forward speed of 0.5 m/s and an entry angle of 35°. The simulation results indicated that the longitudinally corrugated shovel L-S-2 exhibited the best overall performance, reducing digging resistance by 13.87% and increasing the soil fragmentation rate by 20.67% compared with a conventional flat shovel (P-S). Using L-S-2 as the baseline design, additional DEM simulations were conducted at forward speeds ranging from 0.4 to 0.6 m/s to systematically investigate the influence of operating speed on digging performance. To further enhance anti-adhesion performance, a composite bionic shovel (H-L-S-2) was developed by embedding polytetrafluoroethylene (PTFE) hydrophobic material into the surface of L-S-2 and reinforcing the shovel tip using laser cladding. Soil-bin experiments were then performed under controlled conditions with forward speeds of 0.4–0.6 m/s and soil moisture contents of 15–20% at an entry angle of 35°, and the results showed an average resistance reduction rate of 17.46%, with a maximum reduction of 18.02%. Both DEM simulations and soil-bin tests confirmed the effectiveness of the composite bionic shovel in reducing soil adhesion, with the number of adhered soil particles decreasing by 41.2% in simulations and the mass of adhered soil reduced by 37.5% in physical tests. These results demonstrate that coupling a bionic corrugated structure with surface material modification can effectively reduce digging resistance, enhance soil fragmentation, and mitigate soil adhesion, providing a practical approach for optimizing the design of potato digging shovels. Full article
(This article belongs to the Section Agricultural Technology)
Show Figures

Figure 1

11 pages, 1879 KB  
Article
Impact of Fertilizer Restriction Period on Bermudagrass Traffic Tolerance and Recovery
by Alex J. Lindsey, Jaspal Singh, Natasha Restuccia and Victor Abarca
Agronomy 2026, 16(6), 655; https://doi.org/10.3390/agronomy16060655 - 20 Mar 2026
Viewed by 140
Abstract
Seasonal fertilizer restriction periods (blackouts) are commonly implemented in Florida to reduce potential nutrient losses during the summer rainy season; however, their effects on sports turf performance under traffic stress are not well documented. A two-year field study (2022–2023) was conducted in Citra, [...] Read more.
Seasonal fertilizer restriction periods (blackouts) are commonly implemented in Florida to reduce potential nutrient losses during the summer rainy season; however, their effects on sports turf performance under traffic stress are not well documented. A two-year field study (2022–2023) was conducted in Citra, FL, to evaluate the influence of nitrogen (N) fertilization timing and frequency on ‘Bimini’ bermudagrass (Cynodon dactylon L. Pers.) traffic tolerance and post-traffic recovery. Treatments included bi-weekly (24.4 kg N ha−1) and monthly (48.8 kg N ha−1) N applications, a pre-blackout (97.6 kg N ha−1) N application, and a non-treated control. Simulated traffic was applied using a modified Baldree traffic simulator for a total of 60 traffic events each year. Turfgrass performance during traffic and recovery was assessed using percent green cover (PGC), dark green color index (DGCI), soil moisture, surface hardness, and rotational resistance. In both years, bi-weekly and monthly N applications consistently resulted in greater PGC and DGCI during traffic and recovery compared to the pre-blackout and non-treated treatments. The pre-blackout treatment provided limited and inconsistent benefits, particularly under prolonged traffic stress. Fertilizer effects on soil moisture and surface hardness varied between years, while rotational resistance was unaffected by treatment. These results indicate that reliance on pre-blackout fertilization alone may be insufficient to maintain bermudagrass traffic tolerance and recovery during periods of sustained traffic stress. Under sustained traffic pressure, applying a single fertilizer treatment just before the restriction period was less effective and produced inconsistent improvements in turfgrass coverage and color compared with staged fertilization during the growing season, reinforcing that routine N fertilization is necessary when turfgrass experiences sustained traffic. Full article
(This article belongs to the Section Grassland and Pasture Science)
Show Figures

Figure 1

21 pages, 1036 KB  
Article
Thin-Layer Drying Kinetics and Quality Attributes of Apple Pomace Powders from Different Varieties
by Liliana Ceclu, Alexandru Radu Corbu, Iurie Rumeus, Alexandra Cicanci, Ana-Maria Blejan, Irina Vîșcu and Violeta Nour
Foods 2026, 15(6), 1090; https://doi.org/10.3390/foods15061090 - 20 Mar 2026
Viewed by 119
Abstract
Apple pomace, a major by-product of juice processing, requires effective drying for valorization and preservation. This study investigated the thin-layer drying kinetics of apple pomace from three varieties (Starkrimson, Idared, and Jonagold) under forced convection at 57 °C, 63 °C, and 68 °C. [...] Read more.
Apple pomace, a major by-product of juice processing, requires effective drying for valorization and preservation. This study investigated the thin-layer drying kinetics of apple pomace from three varieties (Starkrimson, Idared, and Jonagold) under forced convection at 57 °C, 63 °C, and 68 °C. Seven mathematical models were used to fit the experimental moisture ratio data and evaluated using statistical indicators (R2, RMSE, χ2, and MBE). In addition, the proximate composition, titratable acidity, water activity, color parameters, rehydration capacity, total phenolic content, antioxidant activity, and phenolic and organic acid profiles of the resulting apple pomace powders were assessed. Of the models tested, the Midilli–Kucuk model demonstrated superior performance with the highest R2 (>0.99) and lowest RMSE and χ2 values across all varieties and temperatures. The Page and Logarithmic models also showed good predictive capability. Significant differences in phenolic content and antioxidant activity were observed between powders from different apple varieties, with Starkrimson showing the highest values, followed by Jonagold and Idared. These findings provide essential kinetic parameters for optimizing apple pomace drying processes and support the development of value-added products from this abundant agro-industrial by-product. Full article
(This article belongs to the Section Nutraceuticals, Functional Foods, and Novel Foods)
Show Figures

Figure 1

Back to TopTop