Sign in to use this feature.

Years

Between: -

Subjects

remove_circle_outline
remove_circle_outline
remove_circle_outline
remove_circle_outline
remove_circle_outline
remove_circle_outline
remove_circle_outline
remove_circle_outline
remove_circle_outline

Journals

remove_circle_outline
remove_circle_outline
remove_circle_outline
remove_circle_outline
remove_circle_outline
remove_circle_outline
remove_circle_outline
remove_circle_outline
remove_circle_outline
remove_circle_outline
remove_circle_outline
remove_circle_outline
remove_circle_outline

Article Types

Countries / Regions

remove_circle_outline
remove_circle_outline
remove_circle_outline
remove_circle_outline
remove_circle_outline
remove_circle_outline

Search Results (1,230)

Search Parameters:
Keywords = moisture absorption

Order results
Result details
Results per page
Select all
Export citation of selected articles as:
34 pages, 6308 KB  
Article
Hybrid Resins Derived from Abies alba Exudate as Matrices for Composite Materials
by Cosmin Mihai Mirițoiu, Paula Adriana Pădeanu and Nicoleta Cioateră
Polymers 2026, 18(6), 722; https://doi.org/10.3390/polym18060722 (registering DOI) - 17 Mar 2026
Abstract
This study investigates the utilization of Abies alba exudate resin for the development of hybrid resins intended as matrices for composite materials. The novelty of this work lies in demonstrating that physically hybridized, bio-derived resin systems based on Abies alba exudate can exhibit [...] Read more.
This study investigates the utilization of Abies alba exudate resin for the development of hybrid resins intended as matrices for composite materials. The novelty of this work lies in demonstrating that physically hybridized, bio-derived resin systems based on Abies alba exudate can exhibit distinct mechanical and dynamic behaviors solely by adjusting the solvent-assisted formulation route, without intentional chemical modification and without spectroscopic evidence of co-network formation within the limits of ATR-FTIR analysis, although limited interfacial interactions cannot be excluded. Two formulation routes were explored: (i) dilution of Abies alba exudate in turpentine derived from pine buds, (ii) dilution in ethanol (96%). The diluted resins were subsequently blended with a commercial epoxy system, which was cured with its amine hardener to form solid matrices in which the Abies alba component was physically incorporated. The resulting hybrid resins were characterized by multiple testing methods and further applied in the fabrication of cotton fiber-reinforced composites. The turpentine-based hybrid resin (HR1) showed a rigid mechanical response, with tensile strengths of approximately 13.2–13.5 MPa, compressive strengths of about 30 MPa, Shore D hardness values of 56–58.5, and a low damping ratio (≈0.026). In contrast, the ethanol-based hybrid resin (HR2) exhibited a highly deformable mechanical response, characterized by low tensile strength (≈0.5 MPa), very high elastic recovery, low hardness (<10 Shore D), and a significantly higher damping ratio (≈0.139). To demonstrate their applicability in composite manufacturing, the HR1 matrix was reinforced with cotton fabric, leading to a substantial improvement in tensile strength (25–26 MPa) and flexural strength (35–36 MPa), together with an increased natural frequency. Water absorption tests revealed limited moisture uptake for the neat hybrid resins (≤0.04 g), while the cotton-reinforced composite exhibited higher but largely reversible water absorption (≈21.5%), associated with the hydrophilic nature of the reinforcement. Full article
(This article belongs to the Section Polymer Analysis and Characterization)
Show Figures

Figure 1

18 pages, 3618 KB  
Article
Improved Methodology for Simulation-Driven Environmental Sensitivity Assessment of Host Rock in Huashan Art Paintings
by Jinhua Wang, Yi Wang and Junxia Wang
Appl. Sci. 2026, 16(6), 2746; https://doi.org/10.3390/app16062746 - 13 Mar 2026
Viewed by 74
Abstract
This study presents an improved methodology for assessing the environmental sensitivity of the host rock in Huashan art paintings. A hygroscopic experiment was first designed to determine the moisture diffusion coefficient of the rock mass preserving the Huashan rock paintings, as verified by [...] Read more.
This study presents an improved methodology for assessing the environmental sensitivity of the host rock in Huashan art paintings. A hygroscopic experiment was first designed to determine the moisture diffusion coefficient of the rock mass preserving the Huashan rock paintings, as verified by hygroscopic kinetics. Additionally, variations in color difference values were simultaneously used to quantitatively evaluate moisture absorption characteristics. Subsequently, a finite element (FE) simulation was conducted to assess potential damage to the rock art system with respect to varying environmental conditions. Regarding the correlated functions with consideration of the influencing factors, the environmental sensitivity of the host rock in Huashan art paintings was clarified to illustrate the deterioration process resulting from the combined effects of temperature and humidity. It is found that the deformation gradient (F) and maximum tensile stress (σmax) exhibit a linear relationship with ambient temperature (Ta), and an exponential relationship with heat transfer coefficient (h). The ambient humidity (Hen) and surface humidity exchange coefficient (f) primarily influence the water content of the rock mass. This insight into the host rock in Huashan art paintings provides a valuable approach to highlight the active role of environmental conditions and offers an additional methodology to understand the detachment of large superficial rock flakes and the granular disintegration of the rock. Full article
Show Figures

Figure 1

31 pages, 13978 KB  
Article
Hygrothermal Ageing of Glass and Carbon Fibre Composites Manufactured Using Different Resin Systems
by Zaneta Senselova, Allan Manalo, Abdullah Iftikhar, Omar Alajarmeh, Saya Ramakrishnan, Hiroki Sakuraba, Kate Nguyen and Brahim Benmokrane
Polymers 2026, 18(6), 696; https://doi.org/10.3390/polym18060696 - 12 Mar 2026
Viewed by 175
Abstract
This study investigates the degradation mechanisms of glass-fibre- and carbon-fibre-reinforced polymer (GFRP and CFRP, respectively) composites fabricated either with epoxy, vinyl-ester, or bio-epoxy resins under a hygrothermal environment. Composite laminates were manufactured using the vacuum-assisted resin infusion technique and exposed to high moisture [...] Read more.
This study investigates the degradation mechanisms of glass-fibre- and carbon-fibre-reinforced polymer (GFRP and CFRP, respectively) composites fabricated either with epoxy, vinyl-ester, or bio-epoxy resins under a hygrothermal environment. Composite laminates were manufactured using the vacuum-assisted resin infusion technique and exposed to high moisture and elevated in-service temperatures of 23 °C (room temperature), 40 °C and 60 °C for up to 125 days. Changes in the physical, microstructural, chemical and mechanical properties were then assessed. CFRP and GFRP composites showed distinct differences in their hygrothermal ageing depending on the resin system used in the manufacturing. CFRP composites consistently demonstrated higher stability than GFRP composites. Epoxy resin exhibited high resistance to water absorption and hydrolysis under hygrothermal exposure. After 125 days at 60 °C, glass/epoxy (GE) and carbon/epoxy (CE) composites retained 79.0% and 72.1% of their tensile strength and 46.9% and 72.6% of their interlaminar shear strength (ILSS), respectively. Vinyl-ester composites showed high mechanical retention, with glass/vinyl-ester (GV) and carbon/vinyl-ester (CV) retaining 70.8% and 83.1% of tensile strength and 67.5% and 80.3% of ILSS, respectively. Despite this mechanical stability, evidence of hydrolysis indicated ongoing chemical degradation of the vinyl-ester resin under prolonged hygrothermal exposure. In contrast, bio-epoxy composites exhibited relatively low overall durability. Glass/bio-epoxy (GB) retained 126.5% tensile strength and 68.8% ILSS, whereas carbon/bio-epoxy retained 61.0% tensile strength and 44.3% ILSS after 125 days at 60 °C. Overall, fibre and resin types were found to have a significant effect on the hygrothermal ageing of polymer composites. Full article
(This article belongs to the Special Issue Degradation Mechanisms of Polymer Composites Under Extreme Weather)
Show Figures

Figure 1

19 pages, 4725 KB  
Article
Cold-Pressed Insulation Boards from Recycled Cotton Fibers Using a Water-Borne PVAc–Starch Binder: Processing, Structure and Properties
by Tadeáš Zachara, Přemysl Šedivka, Vlastimil Borůvka, Kryštof Kubista, Tomáš Holeček, Martin Lexa, Lukáš Sahula and Adam Sikora
Materials 2026, 19(6), 1097; https://doi.org/10.3390/ma19061097 - 12 Mar 2026
Viewed by 94
Abstract
This study investigates the valorization of post-consumer and post-industrial recycled cotton fibers from textile waste into porous fiber-based insulation composites using a low-temperature cold-pressing process and a water-borne hybrid binder based on polyvinyl acetate (PVAc) and modified cornstarch. Insulation boards were produced with [...] Read more.
This study investigates the valorization of post-consumer and post-industrial recycled cotton fibers from textile waste into porous fiber-based insulation composites using a low-temperature cold-pressing process and a water-borne hybrid binder based on polyvinyl acetate (PVAc) and modified cornstarch. Insulation boards were produced with target densities ranging from 300 to 340 kg·m−3, achieved by systematically adjusting the percentage weight fractions of recycled cotton fibers and binder components. The influence of board density on microstructure, inter-fiber bonding, and structure–property relationships was evaluated. The resulting boards exhibited thermal conductivity values between 0.0710 and 0.0739 W·m−1·K−1. Compressive strength measured at 10% relative deformation of the specimen thickness ranged from 46 to 162 kPa, while internal bond strength varied between 2 and 6 kPa. Water absorption decreased by approximately 18% with increasing density, indicating improved binder distribution and reduced open porosity. The PVAc–starch binder system enabled effective inter-fiber bonding without formaldehyde-based resins or energy-intensive curing, supporting a low-temperature and circular processing concept for textile waste valorization. Overall, the results demonstrate that recycled cotton fibers represent a viable feedstock for porous insulation composites combining balanced thermal, mechanical, and moisture-related performance with potentially reduced environmental impact. Full article
Show Figures

Graphical abstract

19 pages, 812 KB  
Proceeding Paper
Recent Advances in Fiber-Reinforced Biopolymers Derived from Rice Husk Waste for Sustainable Construction Materials
by Pabina Rani Boro, Partha Protim Borthakur, Madhurjya Saikia, Saroj Yadav and Rupam Deka
Mater. Proc. 2025, 26(1), 16; https://doi.org/10.3390/materproc2025026016 - 9 Mar 2026
Abstract
The increasing demand for sustainable and environmentally friendly construction materials has spurred interest in biopolymer composites reinforced with agricultural waste. Rice husk (RH), a byproduct of rice milling, is abundant and rich in lignocellulosic fibers and silica, making it excellent for use in [...] Read more.
The increasing demand for sustainable and environmentally friendly construction materials has spurred interest in biopolymer composites reinforced with agricultural waste. Rice husk (RH), a byproduct of rice milling, is abundant and rich in lignocellulosic fibers and silica, making it excellent for use in fiber-reinforced biopolymers. The novelty of this study lies in its integrated and construction-oriented evaluation of rice husk (RH)-reinforced biopolymers, combining mechanical, thermal, environmental, and economic perspectives within a single framework. The study introduces a novel comparative approach by benchmarking multiple polymer matrices-including PP, recycled HDPE, epoxy, PLA, and bio-binders-under unified quantitative performance criteria. Another key novelty is the identification of the dual functional role of silica-rich RH in simultaneously enhancing structural strength and flame retardancy while contributing to carbon emission reduction. With a high silica content (15–20%) and lignocellulosic structure, RH serves as a natural filler that enhances the performance of polymer matrices such as polypropylene (PP), epoxy, polylactic acid (PLA), and recycled polyethylene. Mechanically, RH-reinforced composites demonstrate significant improvements in tensile, flexural, and impact strength. For example, PP composites with NaOH-treated RH and coffee husks achieved tensile strengths between 27.4 MPa and 37.4 MPa, with corresponding Young’s modulus values ranging from 1656 MPa to 2247.8 MPa. Recycled HDPE-RH blends reached tensile strengths up to 74 MPa and flexural values of 39 MPa, validating their structural applicability. Epoxy matrices embedded with 0.45 wt.% RH nanofibers showed degradation thresholds of 411 °C and 678 °C, reflecting substantial thermal resistance. Flame retardancy is further improved by the presence of RH biochar, which leads to reduced peak heat release rate (PHRR) and enhanced char formation. In building insulation applications, RH-based composites exhibit low thermal conductivity values between 0.08 and 0.14 W/m·K, contributing to energy efficiency. Economically, RH reduces material costs by 30–40%, while environmentally, its integration lowers carbon emissions in PP composites by up to 10%, and promotes biodegradability. Despite challenges such as moisture absorption and interfacial adhesion, these can be mitigated through alkali treatment, compatibilizers (e.g., MAPP), or hybrid reinforcement strategies. Full article
(This article belongs to the Proceedings of The 4th International Online Conference on Materials)
Show Figures

Figure 1

24 pages, 1686 KB  
Article
Obtention and Characterization of Bio-Based Composite PBAT/PLA Active Trays for Fresh Food Packaging
by Tatiana Jiménez-Ariza, Sofía Castellanos-González, Johanna Garavito and Diego A. Castellanos
Polymers 2026, 18(5), 665; https://doi.org/10.3390/polym18050665 - 9 Mar 2026
Viewed by 423
Abstract
Currently, the packaging sector must continue developing more sustainable systems to reduce the high quantities of single-use plastic waste generated. This study evaluated the production and characterization of bio-based composite trays with antimicrobial activity. Different formulations of polybutylene adipate co-terephthalate (PBAT) and polylactic [...] Read more.
Currently, the packaging sector must continue developing more sustainable systems to reduce the high quantities of single-use plastic waste generated. This study evaluated the production and characterization of bio-based composite trays with antimicrobial activity. Different formulations of polybutylene adipate co-terephthalate (PBAT) and polylactic acid (PLA) with polyethylene glycol (PEG) as plasticizer and citric acid as a compatibilizer/crosslinker were evaluated, in addition to the inclusion of plantain microfibers (PFs), TiO2, and menthol as reinforcing and antimicrobial agents, respectively. The mixtures were subjected to pellet extrusion (165/175/185/190 °C and 60 rpm) and then to flat sheet extrusion (at 185/190/195/205 °C and 60 rpm), besides calendering (at 3.5–6.0 rpm). A single-screw extruder was used in both cases. The obtained sheets (0.317 ± 0.040 mm thick and 17 cm wide) were molded into 12.5 × 11.0 × 3.5 cm trays in a thermoforming machine (at 325 °C and vacuum pressure). For the resulting composite sheets and trays, measurements of mechanical strength, moisture absorption, barrier (WVTR), transmittance, and color were performed. FT-IR, DSC, TGA, SEM, and in vitro antimicrobial tests were also conducted. Based on these tests, an initial formulation with an 85/15 (w/w) PLA/PBAT ratio was defined, which was then reinforced with 3% (w/w) PF. Furthermore, the inclusion of 5% (w/w) menthol in the composite led to fungistatic activity against Botrytis cinerea, also resulting in homogeneous sheets (tensile strength 24.137 ± 1.439 MPa) and trays (compressive strength 0.113 ± 0.010 MPa). These findings can be applied to the packaging and preservation of perishable produce. Full article
(This article belongs to the Special Issue Biodegradable and Functional Polymers for Food Packaging)
Show Figures

Graphical abstract

32 pages, 2405 KB  
Article
Optimization of Nutrient-Enriched Ravioli Incorporating Elephant Foot Yam Flour and Encapsulated Okra–Moringa Pearls
by Sangeetha Arunachalam, Baskar Rajoo, Harish Karthikeyan Ravi and Sowmiya Murugesan
Appl. Sci. 2026, 16(5), 2435; https://doi.org/10.3390/app16052435 - 3 Mar 2026
Viewed by 182
Abstract
The growing demand for functional and value-added foods has prompted interest in integrating nutrient-rich ingredients and novel encapsulated systems into traditional pasta products. This study aimed to develop and optimize a ravioli dough formulated with elephant foot yam flour (EFYF), wheat flour (WF) [...] Read more.
The growing demand for functional and value-added foods has prompted interest in integrating nutrient-rich ingredients and novel encapsulated systems into traditional pasta products. This study aimed to develop and optimize a ravioli dough formulated with elephant foot yam flour (EFYF), wheat flour (WF) and amaranth flour (AF) using mixture design in response surface methodology and to create an innovative filling using encapsulated edible pearls produced from okra mucilage and moringa leaf powder through ionotropic gelation. The pearls and ravioli dough were analyzed for physicochemical, textural, color and nutritional characteristics. Cooked ravioli was investigated for cooking quality and sensory attributes. The optimized dough formulation (46.67 g EFYF, 43.32 g WF, 10 g AF) exhibited desirable hardness (4.64 ± 0.28 N), chewiness (0.40 ± 0.02 N), nutritional, physicochemical and color attributes. The edible pearls demonstrated moderate moisture content (21.18 ± 0.26%), high protein (26.25 ± 0.02%), crude fiber (2.60 ± 0.01%), dietary fiber (8.60 ± 0.52%), high ash content (14 ± 0.62%) and soft gel-like texture. The cooked ravioli showed a cooking time of 8 ± 1 min, high water absorption capacity (209.9 ± 0.34%), minimal solid loss (1.30 ± 0.21%) and favorable sensory scores across appearance, taste, texture and overall acceptability. The study concludes that incorporating encapsulated pearls and nutrient-dense flours can produce a functional, nutritionally enriched ravioli with good technological performance and consumer appeal. Full article
(This article belongs to the Section Food Science and Technology)
Show Figures

Figure 1

45 pages, 5824 KB  
Review
Role of Mineral Processing in Enhancing Recycled Concrete Aggregate Quality—A Critical Review
by Priscila Thalita Barros de Lima, Rafael dos Santos Macedo, Maurício Guimarães Bergerman, Anette Müller and Carina Ulsen
Recycling 2026, 11(3), 49; https://doi.org/10.3390/recycling11030049 - 3 Mar 2026
Viewed by 546
Abstract
Mineral processing may decisively influence recycled aggregate (RA) production, yet it is systematically underreported. This critical review screened 338 Scopus-indexed publications (2004–2024) and retained 204 studies after eligibility assessment. Reporting on comminution was limited: ~52% (105 studies) of studies did not explicitly mention [...] Read more.
Mineral processing may decisively influence recycled aggregate (RA) production, yet it is systematically underreported. This critical review screened 338 Scopus-indexed publications (2004–2024) and retained 204 studies after eligibility assessment. Reporting on comminution was limited: ~52% (105 studies) of studies did not explicitly mention crushing, while ~26% (53 studies) identified the crusher type, and only about 1% (two articles) reported operating conditions, which undermines reproducibility and cross-study comparability. RA quality is application-/market-dependent. The literature was classified into cement-based materials (46.1%), pavement applications (44.6%), and fundamental studies without application (9.3%). For cement-based materials, water absorption and compressive strength were the most frequently reported primary and secondary properties, respectively. For pavement applications, particle-size distribution and optimum moisture content predominated. Overall, mineral processing directly governs the primary attributes of recycled aggregates (RAs) and indirectly influences their secondary performance outcomes. The main gap identified in the literature is the lack of clear recommendations for processing procedures, which limits the reproducibility and comparability of reported results. To address this limitation, this article proposes a mineral-processing framework intended to standardize both RA processing and reporting practices, thereby improving crosslink study comparability, experimental reproducibility, and evidence-based specification according to end-use requirements. Full article
(This article belongs to the Special Issue Recycled Materials in Sustainable Pavement Innovation)
Show Figures

Graphical abstract

55 pages, 14077 KB  
Review
Polymeric Powders for Powder Bed Fusion: From Chemistry and Powder Characteristics to Process Parameters, Defects and Applications
by Sina Zinatlou Ajabshir, Helia Mohammadkamal, Zahra Zinatlou Ajabshir, Diego Barletta, Fabrizia Caiazzo and Massimo Poletto
Polymers 2026, 18(5), 622; https://doi.org/10.3390/polym18050622 - 2 Mar 2026
Viewed by 625
Abstract
Polymer powder bed fusion (PBF) is strongly influenced by powder chemistry and powder state, yet many studies discuss the materials and processing conditions in isolation. This review synthesises the literature using a powder-centred framework that connects polymer chemistry and powder production history to [...] Read more.
Polymer powder bed fusion (PBF) is strongly influenced by powder chemistry and powder state, yet many studies discuss the materials and processing conditions in isolation. This review synthesises the literature using a powder-centred framework that connects polymer chemistry and powder production history to measurable powder descriptors, and then links these descriptors to processing windows, defect mechanisms, and application outcomes. Key descriptors include crystallinity and thermal transitions, additive packages, particle size distribution, morphology, and surface texture. Environmental sensitivities are also considered, including moisture uptake, temperature effects, and optical response. These factors are related to powder spreading, energy absorption, and melt solidification or sintering to explain how flowability, packing density, and melt dynamics govern porosity, lack of fusion, distortion, and degradation. Powder qualification is discussed together with lot-to-lot variability and lifecycle effects, including ageing, reuse, and refresh, using the indicators commonly reported in laboratory and production settings and supported by emerging in situ monitoring. Application case studies are consolidated to illustrate how powder state and process control translate into repeatable qualification targets as polymer PBF moves toward a predictable and transferable manufacturing practice. Full article
(This article belongs to the Special Issue 3D Printing of Polymer Composites, 2nd Edition)
Show Figures

Graphical abstract

37 pages, 29995 KB  
Article
Durability Enhancement of Coal-Fired Biomass Ash Concrete Using Bio-Inspired Self-Healing Coatings
by Nisal Dananjana Rajapaksha, Mehrdad Ameri Vamkani, Zarina Yahya, Rahul V. Ralegaonkar, Michaela Gkantou, Francesca Giuntini and Ana Bras
Appl. Sci. 2026, 16(5), 2383; https://doi.org/10.3390/app16052383 - 28 Feb 2026
Viewed by 321
Abstract
Premature deterioration of reinforced concrete is driven largely by moisture and chloride ingress, which accelerate steel corrosion and shorten service life. This study investigates a dual strategy to enhance durability while supporting circular-economy goals: (i) incorporating coal-fired biomass ash (CBA) as a fine-aggregate [...] Read more.
Premature deterioration of reinforced concrete is driven largely by moisture and chloride ingress, which accelerate steel corrosion and shorten service life. This study investigates a dual strategy to enhance durability while supporting circular-economy goals: (i) incorporating coal-fired biomass ash (CBA) as a fine-aggregate replacement (0%, 20%, and 50%) and (ii) applying bio-inspired surface treatments to reduce transport pathways. To capture variability in CBA performance across different environmental and material contexts, two concrete systems—produced in India and the UK—were evaluated, each subjected to a distinct coating approach: a bacterial self-healing treatment or a cinnamaldehyde (CNM) organic barrier. Mechanical, transport, and multi-scale characterization was performed, including compressive strength, capillary absorption, chloride migration (NT Build 492), SEM/EDS, XRF, and XRD. The 20% CBA mixes maintained or slightly improved strength, while higher CBA contents increased porosity but reduced chloride transport in the UK mix. The bacterial coating reduced long-term water absorption by over 80% through CaCO3 mineralization, offering strong moisture resistance. The CNM coating decreased chloride migration by up to 68% via hydrophobic and ionic-blocking effects. Overall, moderate CBA with self-healing treatment enhances moisture control, whereas higher CBA with CNM provides effective chloride protection, extending the service life of CBA-based concrete. Full article
(This article belongs to the Special Issue Innovative Building Materials: Design, Properties and Applications)
Show Figures

Figure 1

24 pages, 23823 KB  
Article
Multiphysical Characterization of a Tissue-Mimicking Phantom: Composition, Thermal Behavior, and Broadband Electromagnetic Properties from Visible to Terahertz and Microwave Frequencies
by Erick Reyes-Vera, Carlos Furnieles, Camilo Zapata Hernandez, Jorge Montoya-Cardona, Paula Ortiz-Santana, Juan Botero-Valencia and Javier Araque
Materials 2026, 19(5), 931; https://doi.org/10.3390/ma19050931 - 28 Feb 2026
Viewed by 184
Abstract
A water-rich muscle-equivalent tissue-mimicking phantom within a polymeric matrix was experimentally evaluated through a multimodal characterization methodology to determine whether it reproduces the coupled dielectric–thermal behavior of hydrated biological tissue under exposure to electromagnetic waves. The material was analyzed using thermogravimetric analysis, microwave [...] Read more.
A water-rich muscle-equivalent tissue-mimicking phantom within a polymeric matrix was experimentally evaluated through a multimodal characterization methodology to determine whether it reproduces the coupled dielectric–thermal behavior of hydrated biological tissue under exposure to electromagnetic waves. The material was analyzed using thermogravimetric analysis, microwave dielectric spectroscopy from 1.5 to 4.0 GHz, VIS–NIR spectroscopy between 350 and 1200 nm, and terahertz time-domain reflection. The thermogravimetric results confirmed dominant water content, with primary mass loss below 200 °C, establishing hydration as the governing factor of its thermal response. Next, the microwave dielectric measurements show that the phantom exhibits a relative permittivity of 37.4 and an electrical conductivity of 2.4 S/m. On the other hand, the VIS–NIR spectra show smooth broadband absorption with limited spatial variability, and principal component analysis reveals macroscopic optical homogeneity without structural spectral distortion. In the THz regime, strong broadband attenuation characteristic of water-rich matrices is observed, and reflection-mode measurements enable robust assessment of temporal stability through time- and frequency-domain signatures. Finally, a microwave thermal validation demonstrates stable behavior under low-power excitation, whereas under hyperthermia-level irradiation, a significant thermal drift of −3.985 °C/h was reached under non-adiabatic conditions, identifying hydration-mediated moisture redistribution as the principal limitation during prolonged high-power exposure. Collectively, these results demonstrate cross-regime dielectric–thermal consistency while explicitly defining the hydration-driven constraints governing long-term stability, providing a validated reference material for broadband electromagnetic and thermal biomedical experimentation. Full article
Show Figures

Figure 1

33 pages, 3628 KB  
Article
Stone Matrix Asphalt with Fischer–Tropsch Wax and Recycled Rubber: A Multi-Scale Evaluation of Mechanical and Functional Performance
by Roman Pacholak, Biruh Alemayehu Seyoum and Mohamed Eladly
Materials 2026, 19(5), 928; https://doi.org/10.3390/ma19050928 - 28 Feb 2026
Viewed by 265
Abstract
This study investigates the synergistic use of Fischer–Tropsch wax (FTW) and recycled rubber powder (RP) as dual modifiers in stone mastic asphalt (SMA11) to improve its mechanical and functional performance. Rheological analysis demonstrated that an FTW content of 4% achieves the optimal balance [...] Read more.
This study investigates the synergistic use of Fischer–Tropsch wax (FTW) and recycled rubber powder (RP) as dual modifiers in stone mastic asphalt (SMA11) to improve its mechanical and functional performance. Rheological analysis demonstrated that an FTW content of 4% achieves the optimal balance of high-temperature rutting resistance, aging resistance, and workability, with a binder viscosity of 1.6 Pa·s at 135 °C. When incorporated into SMA11 mixtures at 15%, RP yielded the best overall mechanical performance, including a reduction in rut depth to 1.22 mm and a 25% decrease in wheel tracking slope (WTS). The 15% RP mixtures also exhibited superior long-term skid resistance (μm = 0.329 after 180,000 polishing cycles, corresponding to a 13% reduction in braking distance) and enhanced thermal cracking resistance (failure temperature improved by 8.0 °C to −32.7 °C). An RP content of 5% maximized moisture resistance (ITSR = 100%), while 10% RP produced the highest mid-frequency sound absorption coefficient (α = 0.050). The hybrid modification system enables a 20 °C reduction in production temperature, consistent with published data on wax-based warm-mix technologies, and is associated with reduced energy consumption and lower emissions. The approach simultaneously supports sustainable pavement design through the high-value reuse of waste tire rubber. Full article
Show Figures

Graphical abstract

26 pages, 5109 KB  
Article
Circular Valorization of Post-Industrial Textile Waste in Thermal-Insulating Cementitious Ceiling Sheets
by Kavini Vindya Fernando, Charith Akalanka Dodangodage, Vinalee Maleeshi Seneviratne, Sanduni Maleesha Jayasinghe, Dhammika Dharmaratne, Geethaka Nethsara Gamage, Ranoda Hasandee Halwatura, U. S. W. Gunasekera and Rangika Umesh Halwatura
Textiles 2026, 6(1), 27; https://doi.org/10.3390/textiles6010027 - 27 Feb 2026
Viewed by 261
Abstract
The construction sector faces increasing pressure to reduce the embodied energy of building materials while valorizing industrial waste streams. This study evaluates the direct incorporation of post-industrial textile waste (100% cotton and cotton–polyester blends) in its native form to develop high-performance cementitious ceiling [...] Read more.
The construction sector faces increasing pressure to reduce the embodied energy of building materials while valorizing industrial waste streams. This study evaluates the direct incorporation of post-industrial textile waste (100% cotton and cotton–polyester blends) in its native form to develop high-performance cementitious ceiling sheets. Composites were fabricated under a controlled hydraulic compaction pressure of 2.0 MPa, optimized to achieve matrix densification while preserving the integrity of the fibrous network. Viscoelastic recovery of the compressed fibers induced a hierarchical double-porosity architecture characterized by macro-voids and hollow fiber lumens. This microstructural evolution reduced thermal conductivity to 0.091 W/m·K, approximately 50% lower than commercial cement–fiber benchmarks—without compromising mechanical compliance. Scanning Electron Microscopy (SEM) revealed a mechanistic decoupling between water absorption and dimensional stability. Although the CP15 formulation (15 wt.% cotton–polyester) exhibited high moisture uptake (~21%), thickness swelling remained limited to 1.35%. This dimensional stability is attributed to the hydrophobic polyester framework, which bridges microcracks and constrains hygroscopic expansion within the cellulosic phase. The optimized CP15 composite achieved a Modulus of Rupture (MOR) of 8.75 MPa, exceeding ISO 8336 Category C, Class 2 requirements. Despite increased thickness, the areal density (10.84 kg/m2) remains compatible with standard gypsum-grade suspension systems, eliminating the need for structural modification. These findings establish a scalable, direct-valorization strategy for circular construction materials delivering enhanced thermal insulation and robust performance under tropical climatic conditions. Full article
(This article belongs to the Special Issue Textile Recycling and Sustainability)
Show Figures

Figure 1

11 pages, 1323 KB  
Article
Textile Transformation: Unveiling the Impact of a Functional Polymer Treatment on Sports Clothing Fabrics
by Isaiah Di Domenico, Paul K. Collins and Samantha M. Hoffmann
Textiles 2026, 6(1), 26; https://doi.org/10.3390/textiles6010026 - 26 Feb 2026
Viewed by 225
Abstract
Functional polymers are designed to enhance the evaporative cooling capacity of sports clothing ensembles, though little is known about how they alter the material properties of commonly used fabrics. The aim of this study was to quantify the impact of a commercially available [...] Read more.
Functional polymers are designed to enhance the evaporative cooling capacity of sports clothing ensembles, though little is known about how they alter the material properties of commonly used fabrics. The aim of this study was to quantify the impact of a commercially available textile finish treatment (HeiQ Smart Temp TM) on the structural, thermal, and moisture management properties of synthetic (SYN; 100% polyester) and blended (BLEND; 47% lyocell, 46% cotton, 7% elastane) fabrics. Structural (fabric mass, thickness, bulk density, relative porosity), thermal (air permeability, water vapour permeability, water vapour resistance) and moisture management properties (wetting time, spreading speed, wetting radius, absorption, vertical wicking rate) were assessed and compared between treated and untreated samples. Significant improvements (p < 0.05) in air permeability (SYN: Δ 26.0 mm.s−1; BLEND: Δ 61.6 mm·s−1), wetting time (SYN: Δ 0.3 s; BLEND: Δ 0.3 s), and spreading speed (BLEND: Δ 1.1 mm·s−1; SYN: no change) were recorded following treatment. Non-significant changes in water vapour permeability (SYN: Δ 0.1; BLEND: Δ 0.1), water vapour resistance (SYN: Δ 0.7 Pa·m2W−1; BLEND: Δ 0.4 Pa·m2W−1) and vertical wicking (BLEND: Δ 6.1 mm·s−1; SYN: no change) were also observed following treatment. Though not all material properties improved, this study provides evidence that the functional polymer treatment can enhance the evaporative cooling capacity of sports clothing fabrics. Future research is needed to understand how these results translate to physiological, perceptual, and performance-based effects in wearer trials during exercise. Full article
Show Figures

Figure 1

14 pages, 6267 KB  
Article
Thermal Stability and Barrier Properties of Polyamide 6 Reinforced by Carbazole Based Copolymerization
by Yong Yi, Jianlin Li, Wenzhi Wang, Chunhua Wang and Yuejun Liu
Polymers 2026, 18(5), 559; https://doi.org/10.3390/polym18050559 - 25 Feb 2026
Viewed by 280
Abstract
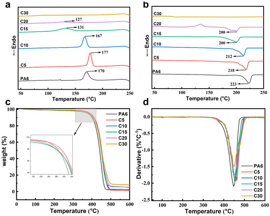
Polyamide 6 (PA6) is limited in its application in precision and high-temperature fields due to its high moisture absorption, low heat resistance, and poor barrier properties. To overcome these intrinsic deficiencies, a rigid 9-(carboxyphenyl)carbazole-based diacid monomer (CzIPA) was incorporated into the PA6 backbone [...] Read more.
Polyamide 6 (PA6) is limited in its application in precision and high-temperature fields due to its high moisture absorption, low heat resistance, and poor barrier properties. To overcome these intrinsic deficiencies, a rigid 9-(carboxyphenyl)carbazole-based diacid monomer (CzIPA) was incorporated into the PA6 backbone via one-step melt polycondensation. Structural analyses confirmed successful copolymer formation and effective modulation of hydrogen-bonding interactions and chain rigidity. The introduction of the bulky carbazole units markedly enhanced the thermal and physical properties of PA6. The glass transition temperature increased by up to 35.5 °C, while the maximum decomposition temperature rose by 23.8 °C, reflecting the reduced chain mobility and strengthened thermal resistance. The decreased amide-group density led to a 15% reduction in water absorption, improving dimensional stability. The Young’s modulus, flexural strength, and flexural modulus of the prepared copolymers were significantly improved compared to PA6, while the toughness was slightly reduced. Furthermore, oxygen and water-vapor permeabilities were simultaneously reduced by 30–35%, attributed to restricted diffusion pathways in the modified microstructure. Despite the increased rigidity, the copolymers maintained good melt processability with clear shear-thinning behavior. This study demonstrates CzIPA copolymerization as an efficient structural design strategy for producing high-performance PA6 materials with enhanced thermal stability, lower hygroscopicity, and superior barrier properties. Full article
(This article belongs to the Section Polymer Analysis and Characterization)
Show Figures

Figure 1

Back to TopTop