Thermal Stability and Barrier Properties of Polyamide 6 Reinforced by Carbazole Based Copolymerization
Abstract
1. Introduction
2. Experimental
2.1. Materials
2.2. Preparation of Carbazolylic Acid
2.3. Preparation of Nylon Salts
2.4. Synthesis of PA6/CzIPA Copolymer
2.5. Measurements
3. Results and Discussion
3.1. Chemical Structure Analysis
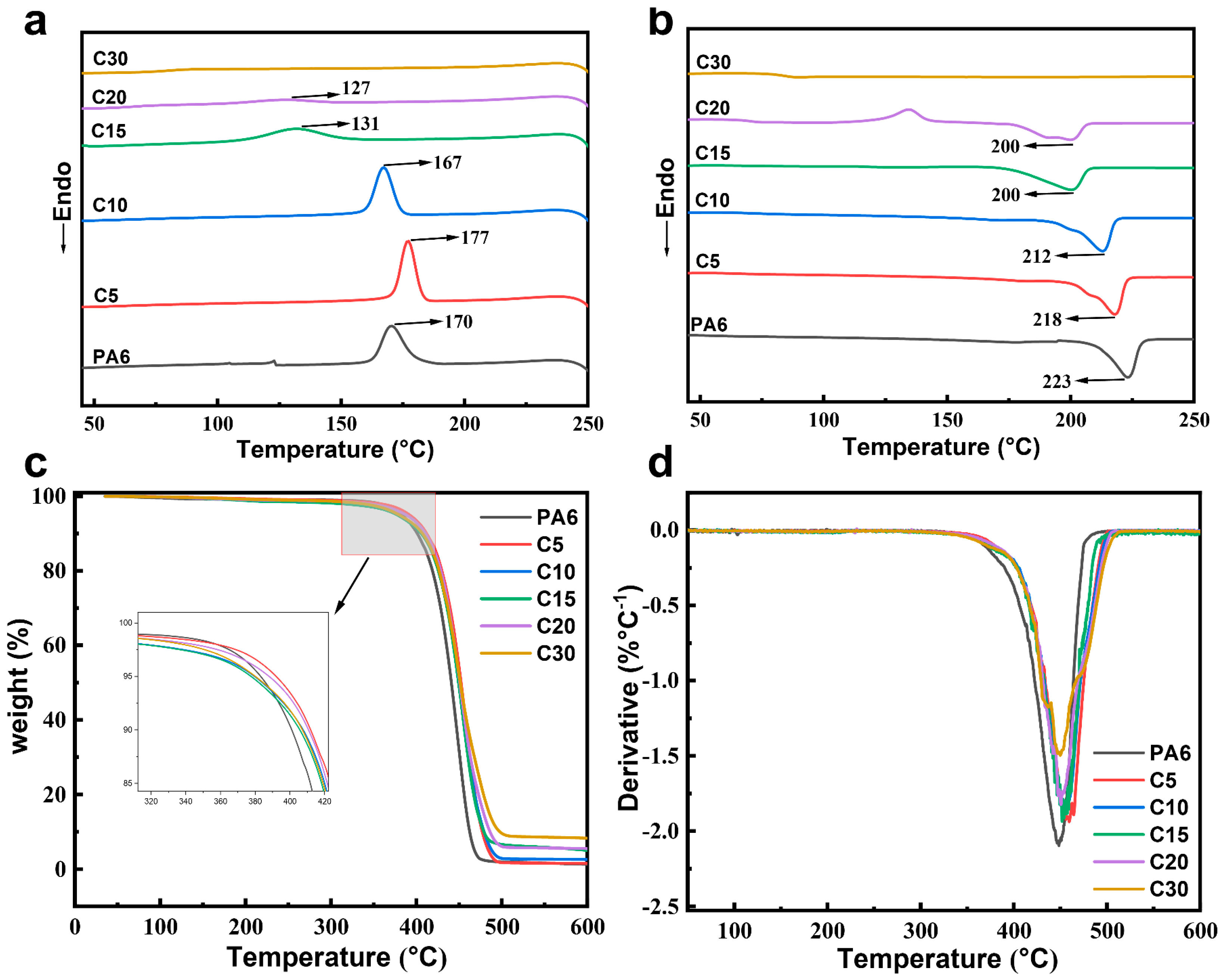
3.2. Thermal Properties Analysis
3.3. Crystallization Behavior Analysis
3.4. Rheological Property Analysis
3.5. Mechanical Property Analysis
3.6. Dimensional Stability and Barrier Performance Analysis
4. Conclusions
Supplementary Materials
Author Contributions
Funding
Institutional Review Board Statement
Data Availability Statement
Conflicts of Interest
References
- Mushtaq, R.T.; Wang, Y.; Rehman, M.; Khan, A.M.; Bao, C.; Sharma, S.; Eldin, S.M.; Abbas, M. Investigation of the mechanical properties, surface quality, and energy efficiency of a fused filament fabrication for PA6. Rev. Adv. Mater. Sci. 2023, 62, 20220332. [Google Scholar] [CrossRef]
- Kohutiar, M.; Kakošová, L.; Krbata, M.; Janík, R.; Fekiač, J.J.; Breznická, A.; Eckert, M.; Mikuš, P.; Timárová, Ľ. Comprehensive review: Technological approaches, properties, and applications of pure and reinforced polyamide 6 (PA6) and polyamide 12 (PA12) composite materials. Polymers 2025, 17, 442. [Google Scholar] [CrossRef]
- Liu, X.; Wang, Y.; Wang, Z.; Cavallo, D.; Müller, A.J.; Zhu, P.; Zhao, Y.; Dong, X.; Wang, D. The origin of memory effects in the crystallization of polyamides: Role of hydrogen bonding. Polymer 2020, 188, 122117. [Google Scholar] [CrossRef]
- Reimschuessel, H. Relationships on the effect of water on glass transition temperature and young’s modulus of nylon 6. J. Polym. Sci. Polym. Chem. Ed. 1978, 16, 1229–1236. [Google Scholar] [CrossRef]
- Guo, X.; Liu, L.; Feng, H.; Li, D.; Xia, Z.; Yang, R. Flame retardancy of nylon 6 fibers: A review. Polymers 2023, 15, 2161. [Google Scholar] [CrossRef]
- Li, Y.; Goddard, W.A. Nylon 6 Crystal Structures, Folds, and Lamellae from Theory. Macromolecules 2002, 35, 8440–8455. [Google Scholar] [CrossRef]
- Gao, J.; Liao, S.; Wang, X.; Qin, S.; Song, P. A facile method to improve thermal stability and flame retardancy of polyamide 6. Compos. Commun. 2019, 13, 143–150. [Google Scholar] [CrossRef]
- Zhang, X.; Yang, H.; Guo, Y.; Zhou, J.; Liu, H.; He, S.; Huang, M.; Xu, W.; Zhu, C.; Liu, W. Pyrolysis kinetics and flame retardant enhancement of bio-based polyamide 56/6. Thermochimica Acta 2024, 741, 179869. [Google Scholar] [CrossRef]
- Lei, Y.; Zhang, T.; Zhang, J.; Zhang, B. Dimensional stability and mechanical performance evolution of continuous carbon fiber reinforced polyamide 6 composites under hygrothermal environment. J. Mater. Res. Technol. 2021, 13, 2126–2137. [Google Scholar] [CrossRef]
- Rayjadhav, S.B.; Kubade, P.R. Development of polyamide based blend and their nanocomposites—A review. In Proceedings of the International Conference on Applications of Machine Intelligence and Data Analytics (ICAMIDA 2022), Aurangabad, India, 22–24 December 2023; pp. 340–354. [Google Scholar]
- Marais, S.; Lozay, Q.; Follain, N.; Soulestin, J.; Couvrat, N.; Dargent, E. Multinanolayered PA6/Cloisite and PE/PA6/Cloisite composites: Structure, mechanical and barrier properties. Compos. Part B Eng. 2024, 271, 111167. [Google Scholar] [CrossRef]
- Safari, M.; Torres, J.; Pérez-Camargo, R.A.; Martiínez de Ilarduya, A.; Mugica, A.; Zubitur, M.; Sardon, H.; Liu, G.; Wang, D.; Muller, A.J. How the aliphatic glycol chain length determines the pseudoeutectic composition in biodegradable isodimorphic poly (alkylene succinate-ran-caprolactone) random copolyesters. Biomacromolecules 2024, 25, 7392–7409. [Google Scholar] [CrossRef]
- Nasser, J.; Zhang, L.; Lin, J.; Sodano, H. Aramid nanofiber reinforced polymer nanocomposites via amide–amide hydrogen bonding. ACS Appl. Polym. Mater. 2020, 2, 2934–2945. [Google Scholar] [CrossRef]
- Guo, L.; Xu, Y.; Zhang, X.; Hu, G.-H. In-situ compatibilization of polyamide 6/polycarbonate blends through interfacial localization of silica nanoparticles. Polymer 2023, 274, 125898. [Google Scholar] [CrossRef]
- Lin, J.-H.; Pan, Y.-J.; Hsieh, C.-T.; Huang, C.-H.; Lin, Z.-I.; Chen, Y.-S.; Su, K.-H.; Lou, C.-W. Using multiple melt blending to improve the dispersion of montmorillonite in polyamide 6 nanocomposites. Polym. Test. 2016, 56, 74–82. [Google Scholar] [CrossRef]
- Li, X.; He, J.; Hu, Z.; Ye, X.; Wang, S.; Zhao, Y.; Wang, B.; Ou, Y.; Zhang, J. High strength carbon-fiber reinforced polyamide 6 composites additively manufactured by screw-based extrusion. Compos. Sci. Technol. 2022, 229, 109707. [Google Scholar] [CrossRef]
- O’Neill, A.; Bakirtzis, D.; Dixon, D. Polyamide 6/Graphene composites: The effect of in situ polymerisation on the structure and properties of graphene oxide and reduced graphene oxide. Eur. Polym. J. 2014, 59, 353–362. [Google Scholar] [CrossRef]
- He, F.-M.; Xiao, Y.-F.; Zhang, Q.; Jiang, M.; Li, X.; Guo, D.-M.; Chen, L.; Liu, B.-W.; Wang, Y.-Z. Functional design of caprolactam for aliphatic polyamide with enhanced flame retardancy, mechanical robustness, and chemical recyclability. Chem. Eng. J. 2025, 505, 159551. [Google Scholar] [CrossRef]
- Mahmud, M.B.; Anstey, A.; Shaayegan, V.; Lee, P.C.; Park, C.B. Enhancing the mechanical performance of PA6 based composites by altering their crystallization and rheological behavior via in-situ generated PPS nanofibrils. Compos. Part B Eng. 2020, 195, 108067. [Google Scholar] [CrossRef]
- Yang, K.; Liu, Y.; Zheng, Z.; Lu, G.; Tang, Z.; Chen, X. Synthesis and thermal degradation mechanism of a semi-aromatic copolyamide from renewable sources. Polym. Degrad. Stab. 2022, 203, 110089. [Google Scholar] [CrossRef]
- Chen, Y.-H.; Chang, Y.-C.; Rwei, S.-P. High-value copolyamide 6 materials with colorless transparent and low water absorption upgraded from upcycled and biomass comonomers. Polymer 2022, 257, 125269. [Google Scholar] [CrossRef]
- Wang, Z.; Song, M.; Li, X.; Chen, J.; Liang, T.; Chen, X.; Yan, Y. Copolymerization-regulated hydrogen bonds: A new routine for high-strength copolyamide 6/66 fibers. Polymers 2022, 14, 3517. [Google Scholar] [CrossRef]
- Haoyu, Y.; Xiaoqi, Z.; Yiming, L.; Lu, M.; Suqin, H.; Miaoming, H.; Hao, L.; Wanlin, X.; Wentao, L. Synthesis and comprehensive characterization of bio-based polyamide 56/6 Copolymer: Mechanical, Thermal, and processing properties. Eur. Polym. J. 2024, 202, 112593. [Google Scholar] [CrossRef]
- Xia, J.; Ni, L.; Sun, C.; Zheng, Y.; Liu, J.; Yu, C.; Li, W.; Wang, J.; Pan, P. Crystal Polymorphism and Phase Transition of Isodimorphic Copolyamides Based on Even–Even and Odd–Even Comonomer Units: Synergistic Effects of Copolymer Composition and Crystallization Temperature. Macromolecules 2024, 57, 2835–2847. [Google Scholar] [CrossRef]
- Li, J.; Yi, Y.; Wang, C.; Lu, W.; Liao, M.; Jing, X.; Wang, W. An intrinsically transparent polyamide film with superior toughness and great optical performance. Polymers 2024, 16, 599. [Google Scholar] [CrossRef] [PubMed]
- Zhang, Y.; Wang, C.; Yi, Y.; Wang, W.; Yang, J. Synthesis and properties of polyamide 6 random copolymers containing an aromatic imide structure. Polymers 2023, 15, 2812. [Google Scholar] [CrossRef]
- Wang, H.; Qiu, N.; Kong, X.; Hu, Z.; Zhong, F.; Li, Y.; Tan, H. Novel carbazole-based porous organic polymer for efficient iodine capture and rhodamine B adsorption. ACS Appl. Mater. Interfaces 2023, 15, 14846–14853. [Google Scholar] [CrossRef] [PubMed]
- Gao, L.; Schloemer, T.H.; Zhang, F.; Chen, X.; Xiao, C.; Zhu, K.; Sellinger, A. Carbazole-based hole-transport materials for high-efficiency and stable perovskite solar cells. ACS Appl. Energy Mater. 2020, 3, 4492–4498. [Google Scholar] [CrossRef]
- Li, J.; Grimsdale, A.C. Carbazole-based polymers for organic photovoltaic devices. Chem. Soc. Rev. 2010, 39, 2399–2410. [Google Scholar] [CrossRef]
- Han, P.; Zhang, Y. Recent Advances in Carbazole-Based Self-Assembled Monolayer for Solution-Processed Optoelectronic Devices. Adv. Mater. 2024, 36, 2405630. [Google Scholar] [CrossRef]
- Xu, Z.; Wu, D.; Fang, C.; Li, Y. Mini-review on the novel synthesis and potential applications of carbazole and its derivatives. Des. Monomers Polym. 2023, 26, 90–105. [Google Scholar] [CrossRef]
- Tang, C.; Zhu, Y.; Jin, J.; Zhang, S.; Zhou, K.; He, Z. Synthesis and Structural Characterization of Carbazole-Tailored Luminescent Triarylmethyl Radical and its Stable Cation. Angew. Chem. 2025, 137, e202414406. [Google Scholar] [CrossRef]
- Sicard, L.; Quinton, C.; Lucas, F.; Jeannin, O.; Rault-Berthelot, J.; Poriel, C. 1-Carbazolyl spirobifluorene: Synthesis, structural, electrochemical, and photophysical properties. J. Phys. Chem. C 2019, 123, 19094–19104. [Google Scholar] [CrossRef]
- Liu, Y.; Liu, L.; Ren, B.; Zhu, X.; Zhou, W.; Li, W. Novel low color poly(ester imides) with triphenylamine and carbazole substituents for electrochromic applications. Dye. Pigment. 2019, 162, 232–242. [Google Scholar] [CrossRef]
- Yang, J.; Zhao, J.; Li, N.; Lei, Y.; Wu, J.; Gao, J.; Sun, S.; Feng, K.; Wang, Y.; Wang, Z. Carbazole-Based branched Poly(Aryl Piperidinium) membranes for Ultra-Stable anion exchange membrane fuel cells. Chem. Eng. J. 2024, 489, 151446. [Google Scholar] [CrossRef]
- Jonathan, B.; Michal, S. Recent Advances in Acyl Suzuki Cross-Coupling. Catalysts 2019, 9, 53. [Google Scholar] [CrossRef]
- Zhou, C.; Qi, S.; Zhu, P.; Zhao, Y.; Xu, Y.; Dong, X.; Wang, D. The methylene infrared vibration and dielectric behavior monitored by amide group arrangement for long chain polyamides. Polymer 2020, 190, 12223. [Google Scholar] [CrossRef]
- Xu, Y.; Yang, K.; Chen, W.; Wu, M.; Xu, Y.; Yuan, Z.; Zheng, Z.; Wang, C.; Chen, X. Melt Memory Effect on Biaxially Oriented Random Copolyamides: Direct Evidence for Stretch-Induced Crystal Retention above the Equilibrium Melting Point. Macromolecules 2025, 58, 12702–12715. [Google Scholar] [CrossRef]
- Nazari, A.; Alimardani, M.; Tavakol, M. A mechanistic approach toward understanding the mechanical and rheological properties of polyamide/reclaimed rubber blend containing silane-treated silica. Mater. Today Sustain. 2024, 25, 100681. [Google Scholar] [CrossRef]








Disclaimer/Publisher’s Note: The statements, opinions and data contained in all publications are solely those of the individual author(s) and contributor(s) and not of MDPI and/or the editor(s). MDPI and/or the editor(s) disclaim responsibility for any injury to people or property resulting from any ideas, methods, instructions or products referred to in the content. |
© 2026 by the authors. Licensee MDPI, Basel, Switzerland. This article is an open access article distributed under the terms and conditions of the Creative Commons Attribution (CC BY) license.
Share and Cite
Yi, Y.; Li, J.; Wang, W.; Wang, C.; Liu, Y. Thermal Stability and Barrier Properties of Polyamide 6 Reinforced by Carbazole Based Copolymerization. Polymers 2026, 18, 559. https://doi.org/10.3390/polym18050559
Yi Y, Li J, Wang W, Wang C, Liu Y. Thermal Stability and Barrier Properties of Polyamide 6 Reinforced by Carbazole Based Copolymerization. Polymers. 2026; 18(5):559. https://doi.org/10.3390/polym18050559
Chicago/Turabian StyleYi, Yong, Jianlin Li, Wenzhi Wang, Chunhua Wang, and Yuejun Liu. 2026. "Thermal Stability and Barrier Properties of Polyamide 6 Reinforced by Carbazole Based Copolymerization" Polymers 18, no. 5: 559. https://doi.org/10.3390/polym18050559
APA StyleYi, Y., Li, J., Wang, W., Wang, C., & Liu, Y. (2026). Thermal Stability and Barrier Properties of Polyamide 6 Reinforced by Carbazole Based Copolymerization. Polymers, 18(5), 559. https://doi.org/10.3390/polym18050559

