Hygrothermal Ageing of Glass and Carbon Fibre Composites Manufactured Using Different Resin Systems
Abstract
1. Introduction
2. Methodology
2.1. Materials
2.2. Test Specimens
2.3. Hygrothermal Conditioning
2.4. Test Methods and Procedures
3. Results and Discussion
3.1. Effect on the Degree of Cure
3.2. Physical Degradation
3.2.1. Change of Colour
Fibre Type Effect on Change of Colour
Resin Type Effect on Change of Colour
3.2.2. Effect on Water Absorption
Fibre Type Effect on Water Absorption
Resin Type Effect on Water Absorption
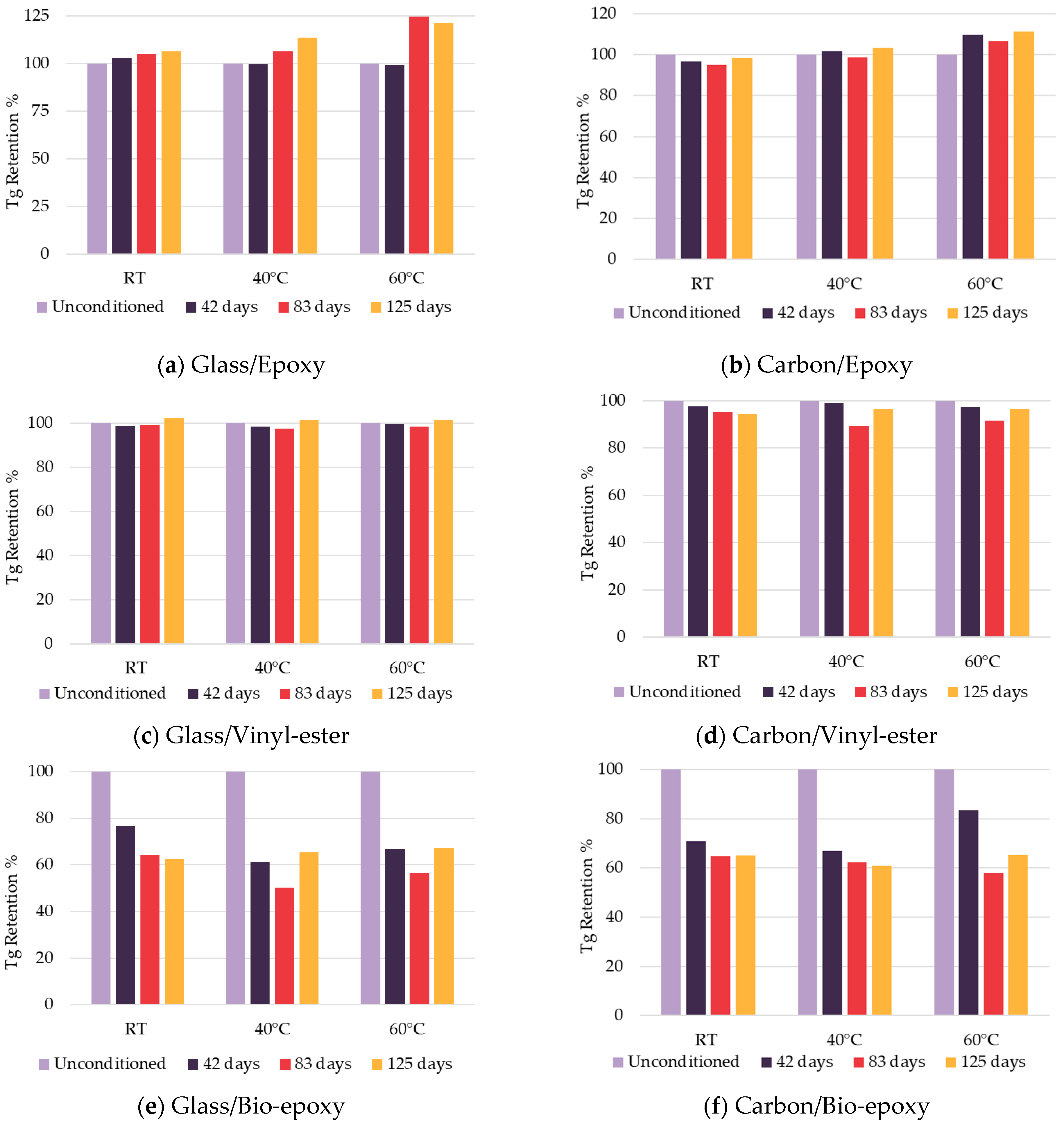
3.2.3. Effect on Glass Transition Temperature (Tg)
Fibre Type Effect on Tg
Resin Type Effect on Tg
3.3. Mechanical Degradation
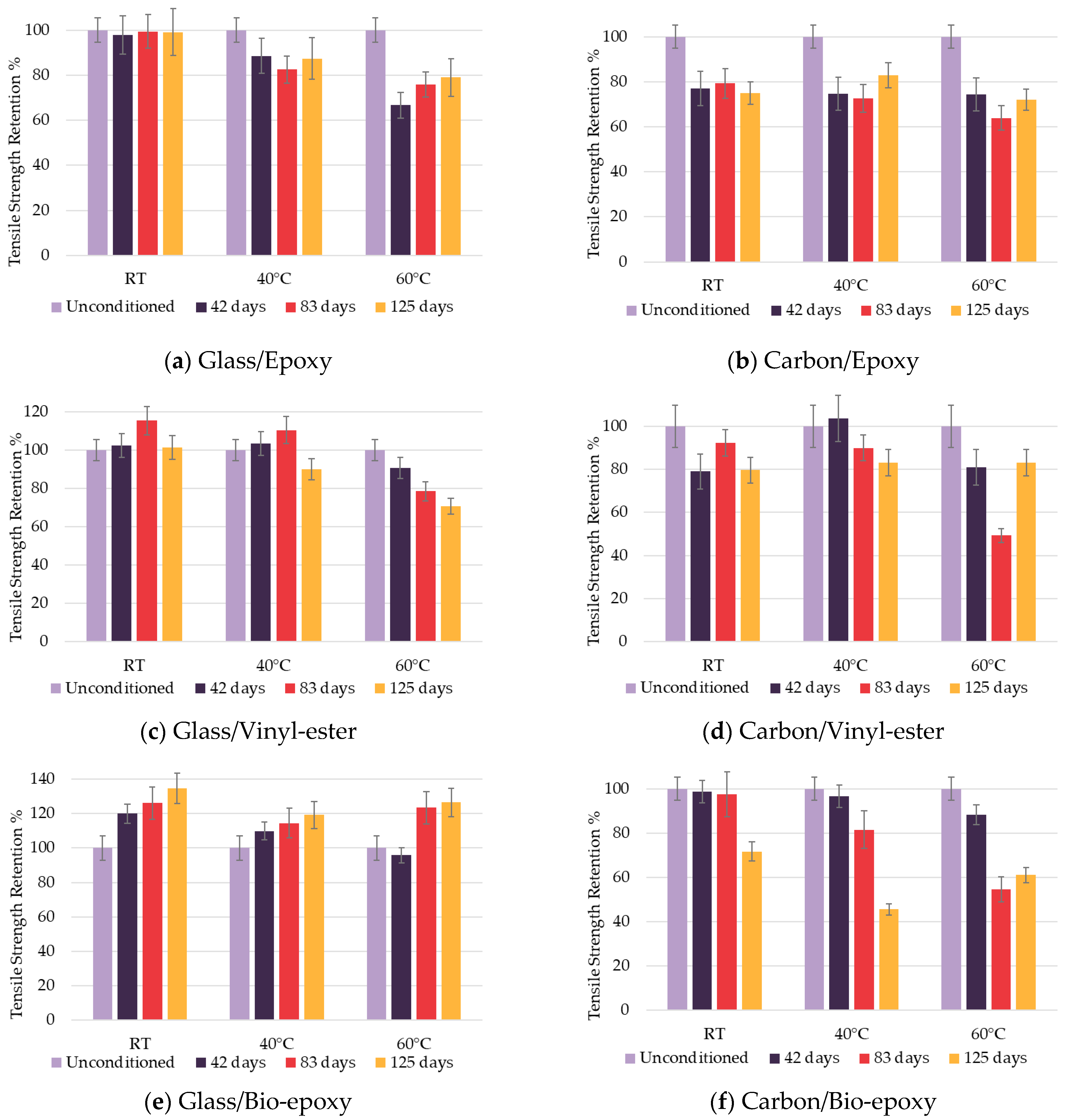
3.3.1. Effect on Tensile Properties
Fibre Type Effect on Tensile Properties
Resin Type Effect on Tensile Properties
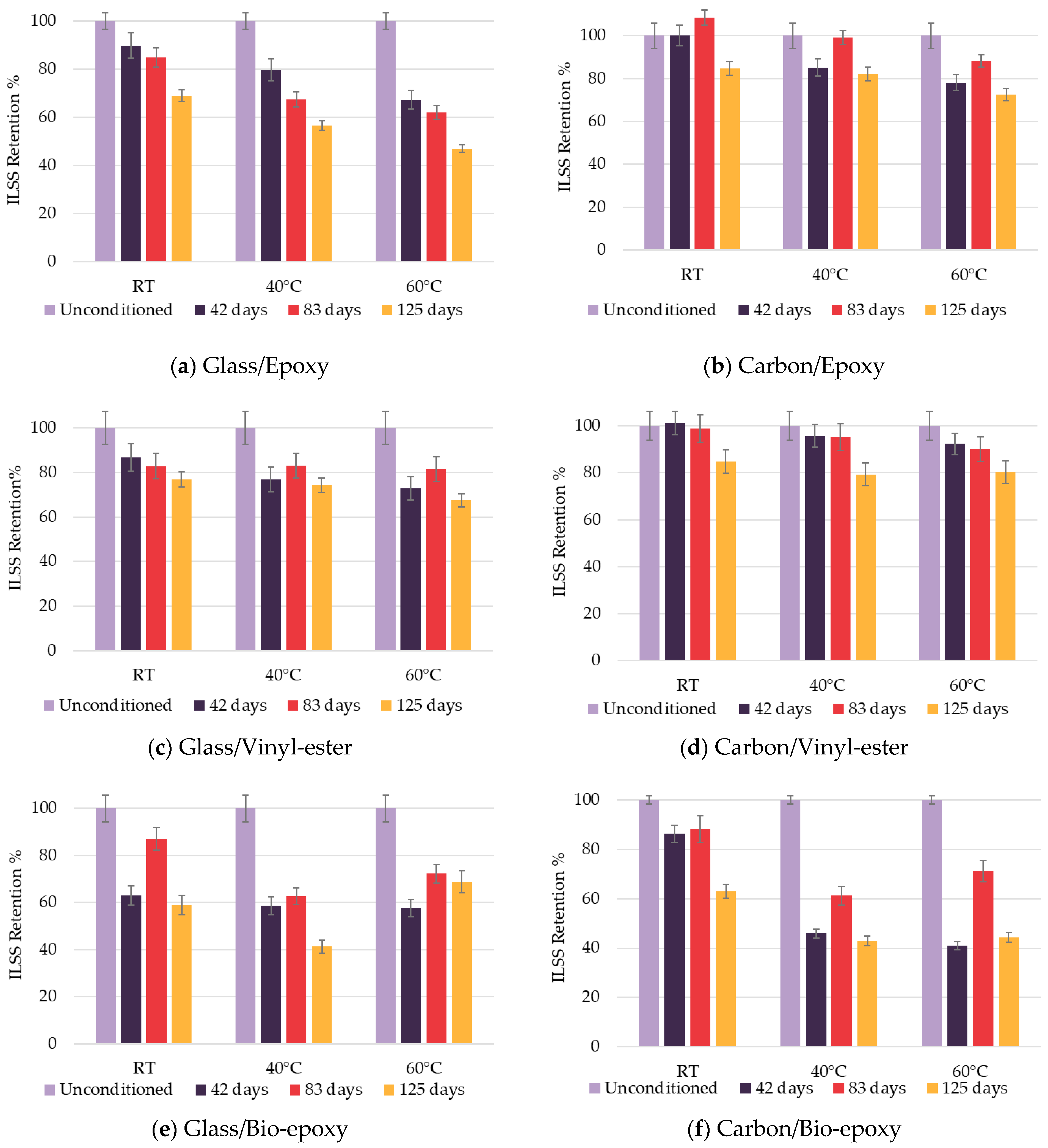
3.3.2. Effect on Interlaminar Shear Strength (ILSS)
Fibre Type Effect on ILSS
Resin Type Effect on ILSS
3.4. Chemical Degradation
3.5. Microstructural Observations
3.5.1. Fibre Type Effect on Microstructural Degradation
3.5.2. Resin Type Effect on Microstructural Degradation
4. Statistical Analysis of the Influence of Fibre and Resin Types
5. Conclusions
- Water absorption in FRP composites is strongly affected by fibre and resin types. Bio-epoxy composites have the highest uptake due to hydrophilic functional groups, while vinyl-ester composites absorbed the least (because of their more hydrophobic structure). Carbon fibre composites absorbed more water than glass composites, likely because of their higher fibre content, which led to the formation of increased voids and promoted moisture uptake along fibre–matrix interfaces. Glass/vinyl-ester composites reached clear saturation within approximately 120 h, while carbon/vinyl-ester composites required around 400 h to reach saturation.
- Accelerated ageing induced changes in the visual appearance of the FRP composites, dependent on both the resin and fibre type. Carbon fibre composites did not show any clear observable discolouration under any exposure condition. Glass fibre composites exhibited noticeable discolouration, with the extent strongly dependent on the resin system. Glass/bio-epoxy composites showed the most pronounced colour change, followed by glass/epoxy composites, while glass/vinyl-ester composites demonstrated the highest resistance to decolouration.
- The thermal stability of FRP composites under hygrothermal ageing is significantly influenced by the resin type, with fibre type having minimal influence. Vinyl-ester composites exhibited the highest Tg and maintained a stable Tg over the exposure time. Epoxy composites have a moderate thermal stability, while bio-epoxy composites have the lowest Tg retention.
- Fibre and resin types have a variable effect on the tensile strength properties of FRP composites in a hygrothermal environment. Carbon fibre composites generally exhibited higher initial tensile strength than glass fibre composites, but their strength retention was lower after exposure. Glass fibre composites maintained or even increased strength over time, particularly with bio-epoxy resin. Resin type affected strength retention after exposure, with epoxy being the most stable, followed by vinyl-ester. Bio-epoxy composites exhibited unusual behaviour, with glass/bio-epoxy exhibiting an increase in tensile strength after 125 days while carbon/bio-epoxy decreased to 61%.
- Fibre and resin types have a significant effect on the long-term interlaminar shear strength of FRP composites in a hygrothermal environment. Epoxy composites with glass fibres and carbon fibres retained 47% and 72%, respectively, of its ILSS, while bio-epoxy composites retained 68% and 44% for glass and carbon after 125 days, respectively. The ILSS of vinyl-ester composites is the most stable under hygrothermal ageing.
- The chemical degradation in FRP composites under hygrothermal ageing is strongly influenced by resin type, while fibre type has minimal effect. The presence of hydroxyl groups for all resin types increased matrix hydrophilicity and facilitated moisture-related degradation. Vinyl-ester and bio-epoxy composites showed an increase in the O-H/C-H ratio after exposure, whereas epoxy composites remained largely unchanged, demonstrating higher chemical stability in a hygrothermal environment.
- Fibre type governed the dominant failure mechanisms of FRP composites while resin type controlled the extent and severity of microstructural degradation. CFRP composites exhibited pronounced surface resin recession and fibre exposure, whereas GFRP composites exhibited more localised interfacial microcracking with limited surface degradation under a hygrothermal environment. Both epoxy and vinyl-ester composites exhibited comparatively more stable matrix integrity than bio-epoxy composites.
- ANOVA results indicate that epoxy resin and carbon fibres are the most suitable for FRP composites in a hygrothermal environment. Resin type has a very strong effect on Tg retention, while fibre type predominantly controls tensile strength retention, and both fibre and resin types significantly influence ILSS. The carbon/epoxy combination demonstrates the highest overall mechanical and thermal stability under a hygrothermal environment.
Author Contributions
Funding
Institutional Review Board Statement
Data Availability Statement
Acknowledgments
Conflicts of Interest
Abbreviations
| ANOVA | Analysis of Variance |
| ATR | Attenuated Total Reflectance |
| ASTM | American Society for Testing and Materials |
| CFRP | Carbon-Fibre-Reinforced Polymer |
| DMA | Dynamic Mechanical Analysis |
| DoC | Degree of Cure |
| DSC | Differential Scanning Calorimetry |
| FTIR | Fourier Transform Infrared Spectroscopy |
| FRP | Fibre-Reinforced Polymer |
| GFRP | Glass-Fibre-Reinforced Polymer |
| ILSS | Interlaminar Shear Strength |
| Tg | Glass Transition Temperature |
| VARI | Vacuum-Assisted Resin Infusion |
| ΔHt | Total Heat of Reaction |
| ΔHr | Residual Heat of Reaction |
References
- Hao, Z.-H.; Zhang, S.; Feng, P.; Zhai, Y. Physics-guided machine learning with an early-age durability fingerprint for GFRP long-term evaluation. Compos. B Eng. 2026, 315, 113435. [Google Scholar] [CrossRef]
- Liu, T.Q.; Tang, J.-T.; Zhang, S.; Dong, L.; Meng, X.; Zhao, Y.; Feng, P. Carbon emissions of durable FRP composite structures in civil engineering. Eng. Struct. 2024, 315, 118482. [Google Scholar] [CrossRef]
- You, Z.; Cao, Z.; Yhou, Z.; Liu, W.W. A State-of-the-Art Review on Hybrid GFRP-Concrete Bridge Deck Systems. Adv. Mater. Sci. Eng. 2021, 2021, 5548396. [Google Scholar]
- Andre, A.; Juntikka, M.; Mattsson, C.; Hammar, T.; Haghani, R. Sustainable Repurpose of End-of-Life Fibre Reinforced Polymer Composites: A New Circular Pedestrian Bridge Concept. J. Environ. Manag. 2024, 367, 122015. [Google Scholar] [CrossRef] [PubMed]
- Mraih, M.; Hashemi, J.; Kalfat, R.; Al-Mahaidi, R.; Lu, G. Comparative Assessment of FRPComposite Materials in Structural Applications under Low-Velocity Impact Loads: A Review. Procedia Struct. Integr. 2024, 64, 1402–1410. [Google Scholar] [CrossRef]
- Ferdous, W.; Manalo, A.; Van Erp, G.; Aravinthan, T.; Ghabraie, K. Evaluation of an Innovative composite Railway Sleeper for a Narrow-Gauge Track under Static Load. J. Compos. Constr. 2018, 22, 04017050. [Google Scholar] [CrossRef]
- Ferdous, W.; Manalo, A.; Salih, C.; Yu, P.; Abousnina, R.; Heyer, T.; Schubel, P. Behaviour of Polymer Filled Composites for Novel Polymer Railway Sleepers. Polymers 2021, 13, 1324. [Google Scholar] [CrossRef]
- Yin, K.; Zhu, G.; Shi, Y.; Zhang, H.; Da Silva, F.M.F.; Bak, C.L.; Chen, Y. Feasibility of Cable through a Hollow Cross-Arm as Down-Lead for a 400 kV Y-shaped composite Pylon. Electr. Power Syst. Res. 2023, 217, 109154. [Google Scholar] [CrossRef]
- Nguyen, Q.; Ngo, T.; Mendis, P.; Tran, P. Composite Materials for Next Generation Building Façade Systems. Civ. Eng. Archit. 2013, 1, 88–95. [Google Scholar] [CrossRef]
- Thomason, J.; Xypolias, G. Hygrothermal Ageing of Glass Fibre Reinforced Vinyl Ester Composites: A Review. Polymers 2023, 15, 835. [Google Scholar] [CrossRef]
- Guo, R.; Xian, G.; Li, F.; Li, C.; Hong, B. Hygrothermal Resistance of Pultruded Carbon, Glass and Carbon/Glass Hybrid Fiber Reinforced Epoxy composites. Constr. Build. Mater. 2022, 315, 125710. [Google Scholar] [CrossRef]
- Wang, X.; Wu, G.; Wu, Z.; Dong, Z.; Xie, Q. Evaluation of Prestressed Basalt Fiber and Hybrid Fiber Reinforced Polymer Tendons under Marine Environment. Mater. Des. 2014, 64, 721–728. [Google Scholar] [CrossRef]
- Wang, X.; Zhao, X.; Wu, Z.; Zhu, Z.; Wang, Z. Interlaminar Shear Behaviour of Basalt FRP and Hybrid FRP Laminates. J. Compos. Mater. 2016, 50, 1073–1084. [Google Scholar] [CrossRef]
- Cuinat-Guerraz, N.; Dumont, M.J.; Hubert, P. Environmental resistance of Flax/Bio-based Epoxy and Flax/Polyurethane composites Manufactured by Resin Transfer Moulding. Compos. Part A Appl. Sci. Manuf. 2016, 88, 140–147. [Google Scholar] [CrossRef]
- Marouani, S.; Curtil, L.; Hamelin, P. Ageing of Carbon/Epoxy and Carbon/Vinylester Composites used in the Reinforcement and /or the Repair of civil Engineering Structures. Compos. B Eng. 2012, 43, 2020–2030. [Google Scholar] [CrossRef]
- Wang, B.; Li, D.; Xian, G.; Li, C. Effect of Immersion in Water or Alkali Solution on the Structures and Properties of Epoxy Resin. Polymers 2021, 13, 1902. [Google Scholar] [CrossRef]
- Yin, X.; Liu, Y.; Miao, Y.; Xian, G. Water Absorption, Hygrothermal Expansion and Thermomechanical Properties of a Vinylester Resin for Fiber-Reinforced Polymer Composites subjected to Water or Alkaline Solution Immersion. Polymers 2019, 11, 505. [Google Scholar] [CrossRef]
- Zhang, W.; Zou, J.; Liu, M.; Han, Z.; Xiong, Y.; Liang, B.; Hu, N.; Zhang, W. Investigating the Role of Fibre-Matrix Interfacial Degradation on the Ageing Process of Carbon Fibre-Reinforced Polymer under Hygrothermal Conditions. Compos. Sci. Technol. 2025, 259, 110922. [Google Scholar] [CrossRef]
- Chandra Ray, B.; Rathore, D. Environmental Damage and Degradation of FRP Composites: A Review Report. Polym. Compos. 2015, 36, 410–423. [Google Scholar]
- Mayandi, K.; Rajini, N.; Ayrilmis, N.; Indira Devi, M.P.; Siengchin, S.; Mohammad, F.; Al-Lohedan, H.A. An Overview of Endurance and Ageing Performance under Various Environmental Conditions of Hybrid Polymer Composites. J. Mater. Res. Technol. 2020, 9, 15962–15988. [Google Scholar] [CrossRef]
- Hota, G.; Barker, W.; Manalo, A. Degradation Mechanism of Glass Fibre/Vinylester-Based Composite Materials under Accelerated and Natural Aging. Constr. Build. Mater. 2020, 256, 119462. [Google Scholar] [CrossRef]
- Manalo, A.; Alajarmeh, O.; Ferdous, W.; Benmokrane, B.; Sorbello, C.D.; Gerdes, A. Effect of Simulated Hygrothermal Environment on the flexural and Interlaminar Shear Strength of Particulate-Filled Epoxy-Coated GFRP Composites. Constr. Build. Mater. 2022, 339, 127687. [Google Scholar] [CrossRef]
- Rocha, I.B.C.M.; Raijmaekers, S.; Nijssen, R.P.I.; van der Meer, F.P.; Sluys, L.J. Hygrothermal Ageing Behaviour of Glass/Epoxy Composite used in Wind Turbine Blades. Compos. Struct. 2017, 174, 110–122. [Google Scholar] [CrossRef]
- Niu, Y.F.; Yan, Y.; Yao, J.W. Hygrothermal Aging Mechanism of Carbon Fiber/Epoxy Resin Composites Based on Quantitative Characterization of Interface Structure. Polym. Test. 2021, 94, 107019. [Google Scholar] [CrossRef]
- Tserpes, K.; Tzatzadakis, V.; Katsiropoulos, C. Effect of Hygrothermal Ageing on the Interlaminar Shear Strength of Carbon Fiber-Reinforced Rosin-Based Epoxy Bio-Composites. Compos. Struct. 2016, 226, 111211. [Google Scholar] [CrossRef]
- Benmokrane, B.; Ali, A.H.; Mohamed, H.M.; ElSafty, A.; Manalo, A. Laboratory Assessment and Durability Performance of Vinyl-Ester, Polyester, and Epoxy Glass-FRP Bars for Concrete Structures. Compos. B Eng. 2017, 114, 163–174. [Google Scholar] [CrossRef]
- Iftikhar, A.; Manalo, A.; Senselova, Z.; Ferdous, W.; Peerzada, M.; Seligmann, H.; Nguyen, K.; Benmokrane, B. Hygrothermal Durability and Damage Evolution of Bio-Epoxy-Based Composites Reinforced with Different Fibre Types. Polymers 2025, 18, 58. [Google Scholar] [CrossRef] [PubMed]
- Iftikhar, A.; Manalo, A.; Senselova, Z.; Ferdous, W.; Peerzada, M.; Seligmann, H.; Nguyen, K.; Benmokrane, B. Effect of Resin Types on the Durability of Single Yarn Polymer Composites Exposed to Hygrothermal Environment. Compos. Part C Open Access 2025, 18, 100676. [Google Scholar] [CrossRef]
- ASTM D3039-17; Standard Test Method for Tensile Properties of Polymer Matrix Composite Materials. ASTM: West Conshohocken, PA, USA, 2025.
- ASTM D2344; Standard Test Method for Short-Beam Strength of Polymer Matrix Composite Materials and Their Laminates. ASTM: West Conshohocken, PA, USA, 2022.
- ASTM D7028-07; Standard Test Method for Glass Transition Temperature (DMA Tg) of Polymer Matrix Composites by Dynamic Mechanical Analysis (DMA). ASTM: West Conshohocken, PA, USA, 2024.
- ASTM D3418-21; Standard Test Method for Transition Temperatures and Enthalpies of Fusion and Crystallization of Polymers by Differential Scanning Calorimetry. ASTM: West Conshohocken, PA, USA, 2021.
- ASTM D570-22; Standard Test Method for Water Absorption of Plastics. ASTM: West Conshohocken, PA, USA, 2022.
- ASTM D3171-22; Standard Test Methods for Constituent Content of Composite Materials. ASTM: West Conshohocken, PA, USA, 2022.
- Sang, L.; Wang, C.; Wang, Y.; Wei, Z. Thermo-Oxidative Ageing Effect on Mechanical Properties and Morphology of Short Fibre Reinforced Polyamide Composites-Comparison of Carbon and Glass Fibres. RSC Adv. 2017, 7, 43334. [Google Scholar] [CrossRef]
- Korkees, F. Moisture Absorption Behaviour and Diffusion Characteristics of Continuous Carbon Fiber Reinforced Epoxy Composites: A Review. Polym.-Plast. Technol. Mater. 2023, 62, 1789–1822. [Google Scholar]
- Mishra, K.; Singh, A. Time-Dependant Degradation of highly Cross-Linked Epoxy due to Hygrothermal Ageing at Three Different Temperatures. Polym. Degrad. Stab. 2023, 215, 110448. [Google Scholar] [CrossRef]
- Xia, L.; Gui, T.; Wang, J.; Tian, H.; Wang, Y.; Ning, L.; Wu, L. Bio-Based Coatings: Progress, Challenges and Future Perspectives. Polymers 2025, 17, 3266. [Google Scholar] [CrossRef]
- Ghabezi, P.; Harrison, N.M. Hygrothermal Deterioration in Carbon/Epoxy and Glass/Epoxy Composite Laminates Aged in Marine-Based Environment (Degradation Mechanism, Mechanical and Physicochemical Properties). J. Mater. Sci. 2022, 57, 4239–4254. [Google Scholar] [CrossRef]
- Mourad, A.H.I.; Idrisi, A.H.; Wrage, M.C.; Abdel-Magid, B.M. Long-Term Durability of Thermoset Composites in Seawater Environment. Compos. B Eng. 2019, 168, 243–253. [Google Scholar] [CrossRef]
- Huang, S.; Yan, L.; Kasal, B.; Wei, Y. Moisture Diffusion and Tensile Properties of Epoxy-Based and Polyurethane-Based Flax-Glass Hybrid FRP under Hygrothermal and Weathering Environments. Compos. B Eng. 2023, 267, 111049. [Google Scholar] [CrossRef]
- Le-Guen-Geoffroy, A.; Le Gac, P.Z.; Habert, B.; Davies, P. Physical Ageing of Epoxy in a Wet Environment: Coupling Between Plasticization and Physical Ageing. Polym. Degrad. Stab. 2019, 168, 108947. [Google Scholar] [CrossRef]
- He, W.; Li, X.; Li, P.; Fang, S.; Ding, A. Experimental Investigation on Hydroscopic Aging of Glass Fiber Reinforced Vinylester Resin Composites. Polymers 2022, 14, 3828. [Google Scholar] [CrossRef]
- Xian, G.; Niu, Y.; Qi, X.; Tian, J.; Li, C.; Yue, Q.; Guo, R. Water Absorption and Property Evolution of Epoxy Resin under Hygrothermal Environment. Polymers 2022, 31, 3982–3997. [Google Scholar] [CrossRef]
- Liu, X.; Su, Q.; Zhu, J.; Song, X. The Aging Behavior and Life Prediction of CFRP Rods under a Hygrothermal Environment. Polymers 2023, 15, 2490. [Google Scholar] [CrossRef]
- Mazzuca, P.; Firmo, J.P.; Correia, J.R.; Castilho, E. Influence of Elevated Temperatures on the Mechanical Properties of Glass Fibre Reinforced Polymer Laminates Produced by Vacuum Infusion. Constr. Build. Mater. 2022, 345, 128340. [Google Scholar] [CrossRef]
- Fan, J.; Zhang, Q.; Chen, X.; He, Y. Interlaminar Shear Strength Change and Storage Life Prediction of Carbon Fiber/Epoxy Composites with Hygrothermal Accelerated Aging. Polymers 2024, 16, 1109. [Google Scholar] [CrossRef] [PubMed]


















| Property | Glass Fibre (E-Glass) | Carbon Fibre (PAN-Based) |
|---|---|---|
| Density (g/cm3) | 2.54 | 1.78 |
| Tensile strength (MPa) | 1602 | 1971 |
| Fibre surface treatment | Silane-based sizing (hydrolytically sensitive) | Epoxy-compatible organic sizing |
| Property | Epoxy Resin | Vinyl-Ester Resin | Bio-Epoxy Resin |
|---|---|---|---|
| Density (g/cm3) | 1.11–1.13 | 1.04–1.06 | 1.150–1.155 |
| Tensile strength (MPa) | 62.44 | 40.7 | 52.32 |
| Modulus (MPa) | 3377 | 3708 | 2972 |
| Glass transition temperature Tg (°C) | 73.45 | 103.64 | 44.49 |
| Properties | Test Standard | Number of Samples | |||
|---|---|---|---|---|---|
| Unconditioned | 42 Days | 83 Days | 125 Days | ||
| Tensile strength | ASTM D3039-17 [29] | 5 | 5 | 5 | 5 |
| Interlaminar shear strength (ILSS) | ASTM D2344 [30] | 5 | 5 | 5 | 5 |
| Dynamic mechanical analysis | ASTM D7028-07 [31] | 2 | 2 | 2 | 2 |
| Differential Scanning Calorimetry (DSC) | ASTM D3418-21 [32] | 3 | 3 | 3 | 3 |
| Water absorption | ASTM D570-22 [33] | 3 | 3 | 3 | 3 |
| Visual appearance change | 3 | 3 | 3 | 3 | |
| Fourier Transform Infrared Spectroscopy (FTIR) | 3 | 3 | 3 | 3 | |
| Composite | Fibre Weight Fraction (wt%) | Fibre Volume Fraction (vol%) | ΔHt (J/g) | ΔHr (J/g) | % Cure | |
|---|---|---|---|---|---|---|
| Glass | Epoxy | 68.47 | 49.16 | 386.4 | 0.4 | 99.91 |
| Vinyl-ester | 72.23 | 55.32 | 345.3 | 0.8 | 99.76 | |
| Bio-epoxy | 67.09 | 45.99 | 262.8 | 0.4 | 99.83 | |
| Carbon | Epoxy | 67.32 | 56.68 | 386.4 | 0.3 | 99.94 |
| Vinyl-ester | 70.72 | 61.05 | 345.3 | 0.8 | 99.76 | |
| Bio-epoxy | 66.20 | 53.86 | 262.8 | 0.4 | 99.85 | |
| Composite | Water Absorption % | |||
|---|---|---|---|---|
| RT (23 °C) | 40 °C | 60 °C | ||
| Glass | Epoxy | 1.89 | 2.18 | 2.44 |
| Vinyl-ester | 0.72 | 0.53 | 0.39 | |
| Bio-epoxy | 4.11 | 3.98 | 4.81 | |
| Carbon | Epoxy | 1.35 | 2.44 | 2.61 |
| Vinyl-ester | 2.48 | 1.33 | 1.25 | |
| Bio-epoxy | 5.13 | 5.50 | 6.51 | |
| Composite | Parameter | Unconditioned | 42 Days | 83 Days | 125 Days | |||||||
|---|---|---|---|---|---|---|---|---|---|---|---|---|
| RT | 40 °C | 60 °C | RT | 40 °C | 60 °C | RT | 40 °C | 60 °C | ||||
| Glass | Epoxy | Tg (°C) | 85.24 | 87.51 | 84.82 | 84.64 | 89.41 | 90.63 | 106.25 | 90.55 | 96.64 | 103.26 |
| CoV (%) | 7.44 | 0.91 | 11.82 | 1.76 | 0.45 | 1.52 | 8.25 | 0.54 | 0.49 | 0.61 | ||
| Vinyl-ester | Tg (°C) | 119.30 | 117.65 | 117.23 | 118.85 | 117.99 | 116.17 | 117.48 | 122.18 | 120.99 | 120.99 | |
| CoV (%) | 0.48 | 0.31 | 0.14 | 0.62 | 1.71 | 0.66 | 0.80 | 1.47 | 0.59 | 0.43 | ||
| Bio-epoxy | Tg (°C) | 62.05 | 47.58 | 37.99 | 41.48 | 39.90 | 31.18 | 35.11 | 38.74 | 40.62 | 41.61 | |
| CoV (%) | 2.14 | 1.94 | 8.38 | 1.01 | 2.05 | 1.44 | 6.35 | 6.69 | 5.25 | 3.18 | ||
| Carbon | Epoxy | Tg (°C) | 90.72 | 87.90 | 92.29 | 99.54 | 86.23 | 89.42 | 96.74 | 89.40 | 93.72 | 101.08 |
| CoV (%) | 1.85 | 0.59 | 0.43 | 0.34 | 1.60 | 0.75 | 0.20 | 0.31 | 0.19 | 0.22 | ||
| Vinyl-ester | Tg (°C) | 120.85 | 117.94 | 119.65 | 117.52 | 115.18 | 107.98 | 110.61 | 113.95 | 116.60 | 116.45 | |
| CoV (%) | 0.28 | 0.26 | 1.04 | 0.33 | 0.79 | 0.17 | 0.57 | 3.58 | 0.34 | 0.23 | ||
| Bio-epoxy | Tg (°C) | 65.07 | 46.08 | 43.57 | 54.34 | 42.15 | 40.53 | 37.63 | 42.35 | 39.58 | 42.53 | |
| CoV (%) | 1.15 | 1.18 | 1.07 | 10.80 | 5.33 | 2.33 | 5.72 | 3.27 | 2.21 | 2.06 | ||
| Composite | Parameter | Unconditioned | 42 Days | 83 Days | 125 Days | |||||||
|---|---|---|---|---|---|---|---|---|---|---|---|---|
| RT | 40 °C | 60 °C | RT | 40 °C | 60 °C | RT | 40 °C | 60 °C | ||||
| Glass | Epoxy | Tensile strength (MPa) | 505.49 | 494.69 | 448.06 | 337.28 | 502.93 | 417.02 | 383.37 | 501.14 | 442.01 | 399.51 |
| CoV (%) | 5.41 | 7.56 | 8.65 | 6.98 | 8.53 | 7.44 | 13.29 | 9.97 | 6.26 | 11.20 | ||
| Vinyl-ester | Tensile strength (MPa) | 615.88 | 630.98 | 637.46 | 559.17 | 711.07 | 680.68 | 483.50 | 624.73 | 554.27 | 435.96 | |
| CoV (%) | 5.63 | 5.70 | 6.06 | 1.65 | 2.63 | 6.08 | 9.11 | 9.82 | 7.38 | 7.22 | ||
| Bio-epoxy | Tensile strength (MPa) | 447.87 | 537.14 | 492.18 | 429.31 | 564.59 | 512.75 | 552.39 | 602.52 | 533.67 | 566.68 | |
| CoV (%) | 7.22 | 4.98 | 5.78 | 8.62 | 7.43 | 10.46 | 7.71 | 3.17 | 6.23 | 3.23 | ||
| Carbon | Epoxy | Tensile strength (MPa) | 1803.70 | 1389.00 | 1348.09 | 1342.00 | 1429.60 | 1311.32 | 1153.94 | 1351.48 | 1495.40 | 1300.31 |
| CoV (%) | 5.10 | 10.09 | 9.86 | 4.19 | 10.08 | 7.95 | 6.51 | 9.70 | 7.36 | 9.21 | ||
| Vinyl-ester | Tensile strength (MPa) | 1569.84 | 1242.71 | 1627.23 | 1270.11 | 1448.92 | 1412.84 | 773.64 | 1252.32 | 1306.01 | 1305.14 | |
| CoV (%) | 9.83 | 7.71 | 3.13 | 10.06 | 11.00 | 9.14 | 4.78 | 12.14 | 7.58 | 7.63 | ||
| Bio-epoxy | Tensile strength (MPa) | 1670.60 | 1650.26 | 1613.22 | 1474.69 | 1629.38 | 1361.47 | 911.90 | 1197.86 | 760.14 | 1019.13 | |
| CoV (%) | 5.16 | 1.38 | 8.42 | 6.56 | 4.84 | 8.70 | 11.50 | 10.32 | 14.07 | 7.49 | ||
| Composite | Parameter | Unconditioned | 42 Days | 83 Days | 125 Days | |||||||
|---|---|---|---|---|---|---|---|---|---|---|---|---|
| RT | 40 °C | 60 °C | RT | 40 °C | 60 °C | RT | 40 °C | 60 °C | ||||
| Glass | Epoxy | Modulus of elasticity (GPa) | 31.90 | 28.96 | 29.54 | 30.28 | 32.92 | 32.40 | 31.95 | 31.09 | 31.48 | 30.98 |
| CoV (%) | 0.007 | 0.96 | 1.27 | 0.002 | 0.55 | 0.78 | 2.35 | 0.49 | 2.15 | 2.69 | ||
| Vinyl-ester | Modulus of elasticity (GPa) | 35.04 | 34.84 | 36.68 | 38.21 | 38.15 | 38.15 | 37.76 | 36.38 | 36.07 | 36.65 | |
| CoV (%) | 2.11 | 7.29 | 1.94 | 1.46 | 2.54 | 2.19 | 3.14 | 3.12 | 3.67 | 2.94 | ||
| Bio-epoxy | Modulus of elasticity (GPa) | 32.07 | 33.46 | 33.59 | 33.16 | 35.60 | 35.24 | 34.23 | 34.90 | 34.60 | 34.59 | |
| CoV (%) | 5.38 | 2.00 | 2.81 | 2.99 | 2.09 | 3.03 | 3.15 | 2.66 | 2.74 | 1.25 | ||
| Carbon | Epoxy | Modulus of elasticity (GPa) | 106.49 | 111.44 | 113.47 | 113.96 | 109.21 | 109.61 | 110.59 | 112.32 | 117.99 | 109.64 |
| CoV (%) | 5.50 | 4.83 | 4.20 | 1.78 | 5.88 | 2.44 | 3.99 | 5.28 | 5.45 | 4.99 | ||
| Vinyl-ester | Modulus of elasticity (GPa) | 109.75 | 114.60 | 111.58 | 113.68 | 120.71 | 122.65 | 118.93 | 126.03 | 120.75 | 123.83 | |
| CoV (%) | 7.07 | 1.08 | 2.61 | 3.14 | 4.23 | 5.59 | 2.46 | 4.61 | 3.65 | 3.75 | ||
| Bio-epoxy | Modulus of elasticity (GPa) | 109.85 | 112.94 | 115.26 | 113.64 | 114.25 | 114.01 | 109.34 | 117.56 | 121.19 | 114.03 | |
| CoV (%) | 5.71 | 3.22 | 3.73 | 3.46 | 3.17 | 3.00 | 2.34 | 2.85 | 3.42 | 5.40 | ||
| Resin | Unconditioned | RT | 40 °C | 60 °C |
|---|---|---|---|---|
| Epoxy | 2.450 | 2.088 | 2.308 | 1.373 |
| Vinyl-ester | 0.958 | 1.318 | 1.904 | 2.414 |
| Bio-epoxy | 1.657 | 3.719 | 2.319 | 2.162 |
| Composite | Parameter | Unconditioned | 42 Days | 83 Days | 125 Days | |||||||
|---|---|---|---|---|---|---|---|---|---|---|---|---|
| RT | 40 °C | 60 °C | RT | 40 °C | 60 °C | RT | 40 °C | 60 °C | ||||
| Glass | Epoxy | ILSS (MPa) | 41.95 | 37.69 | 33.41 | 28.21 | 35.59 | 28.33 | 25.98 | 28.90 | 23.73 | 19.71 |
| CoV (%) | 3.33 | 6.28 | 4.50 | 6.66 | 7.62 | 1.61 | 4.56 | 3.68 | 1.57 | 5.44 | ||
| Vinyl-ester | ILSS (MPa) | 40.39 | 35.02 | 31.05 | 29.46 | 33.48 | 33.58 | 32.93 | 31.08 | 30.01 | 27.27 | |
| CoV (%) | 7.36 | 9.05 | 5.43 | 7.11 | 6.40 | 7.31 | 6.54 | 6.55 | 2.14 | 4.65 | ||
| Bio-epoxy | ILSS (MPa) | 23.36 | 14.71 | 13.70 | 13.45 | 20.33 | 14.64 | 16.87 | 13.75 | 9.63 | 16.09 | |
| CoV (%) | 5.78 | 8.94 | 2.48 | 7.63 | 3.24 | 8.81 | 4.52 | 10.29 | 6.42 | 4.05 | ||
| Carbon | Epoxy | ILSS (MPa) | 41.62 | 41.69 | 35.44 | 32.52 | 45.18 | 41.32 | 36.70 | 35.26 | 34.19 | 30.22 |
| CoV (%) | 5.89 | 7.62 | 1.64 | 5.20 | 1.56 | 4.23 | 3.95 | 4.58 | 2.65 | 4.42 | ||
| Vinyl-ester | ILSS (MPa) | 40.52 | 41.08 | 38.82 | 37.42 | 40.12 | 38.61 | 36.49 | 34.36 | 32.16 | 32.56 | |
| CoV (%) | 6.13 | 4.25 | 3.20 | 7.38 | 4.09 | 6.49 | 7.20 | 5.61 | 3.26 | 9.21 | ||
| Bio-epoxy | ILSS (MPa) | 37.51 | 32.35 | 17.21 | 15.40 | 33.10 | 22.95 | 26.71 | 23.59 | 16.10 | 16.62 | |
| CoV (%) | 1.68 | 5.09 | 2.86 | 3.99 | 3.99 | 7.91 | 6.44 | 4.60 | 5.96 | 2.66 | ||
| Independent Variable | Tensile Strength Retention | ILSS Retention | Retention in Tg | |||||
|---|---|---|---|---|---|---|---|---|
| p-Value | Effect Size (Partial η2) | p-Value | Effect Size (Partial η2) | p-Value | Effect Size (Partial η2) | |||
| 125 days | RT | Fibre Type | <0.001 | 0.856 | <0.001 | 0.475 | 0.047 | 0.579 |
| Resin Type | 0.003 | 0.461 | <0.001 | 0.739 | <0.001 | 0.989 | ||
| 40 °C | Fibre Type | <0.001 | 0.857 | <0.001 | 0.902 | 0.002 | 0.886 | |
| Resin Type | 0.456 | 0.088 | <0.001 | 0.981 | <0.001 | 0.996 | ||
| 60 °C | Fibre Type | <0.001 | 0.783 | 0.002 | 0.346 | <0.001 | 0.914 | |
| Resin Type | <0.001 | 0.708 | <0.001 | 0.736 | <0.001 | 0.998 | ||
Disclaimer/Publisher’s Note: The statements, opinions and data contained in all publications are solely those of the individual author(s) and contributor(s) and not of MDPI and/or the editor(s). MDPI and/or the editor(s) disclaim responsibility for any injury to people or property resulting from any ideas, methods, instructions or products referred to in the content. |
© 2026 by the authors. Licensee MDPI, Basel, Switzerland. This article is an open access article distributed under the terms and conditions of the Creative Commons Attribution (CC BY) license.
Share and Cite
Senselova, Z.; Manalo, A.; Iftikhar, A.; Alajarmeh, O.; Ramakrishnan, S.; Sakuraba, H.; Nguyen, K.; Benmokrane, B. Hygrothermal Ageing of Glass and Carbon Fibre Composites Manufactured Using Different Resin Systems. Polymers 2026, 18, 696. https://doi.org/10.3390/polym18060696
Senselova Z, Manalo A, Iftikhar A, Alajarmeh O, Ramakrishnan S, Sakuraba H, Nguyen K, Benmokrane B. Hygrothermal Ageing of Glass and Carbon Fibre Composites Manufactured Using Different Resin Systems. Polymers. 2026; 18(6):696. https://doi.org/10.3390/polym18060696
Chicago/Turabian StyleSenselova, Zaneta, Allan Manalo, Abdullah Iftikhar, Omar Alajarmeh, Saya Ramakrishnan, Hiroki Sakuraba, Kate Nguyen, and Brahim Benmokrane. 2026. "Hygrothermal Ageing of Glass and Carbon Fibre Composites Manufactured Using Different Resin Systems" Polymers 18, no. 6: 696. https://doi.org/10.3390/polym18060696
APA StyleSenselova, Z., Manalo, A., Iftikhar, A., Alajarmeh, O., Ramakrishnan, S., Sakuraba, H., Nguyen, K., & Benmokrane, B. (2026). Hygrothermal Ageing of Glass and Carbon Fibre Composites Manufactured Using Different Resin Systems. Polymers, 18(6), 696. https://doi.org/10.3390/polym18060696

