Sign in to use this feature.

Years

Between: -

Subjects

remove_circle_outline
remove_circle_outline
remove_circle_outline
remove_circle_outline
remove_circle_outline
remove_circle_outline
remove_circle_outline
remove_circle_outline
remove_circle_outline

Journals

remove_circle_outline
remove_circle_outline
remove_circle_outline
remove_circle_outline
remove_circle_outline
remove_circle_outline
remove_circle_outline
remove_circle_outline
remove_circle_outline
remove_circle_outline
remove_circle_outline
remove_circle_outline
remove_circle_outline
remove_circle_outline
remove_circle_outline
remove_circle_outline
remove_circle_outline
remove_circle_outline
remove_circle_outline

Article Types

Countries / Regions

remove_circle_outline
remove_circle_outline
remove_circle_outline
remove_circle_outline
remove_circle_outline
remove_circle_outline

Search Results (2,156)

Search Parameters:
Keywords = modification density

Order results
Result details
Results per page
Select all
Export citation of selected articles as:
27 pages, 4098 KB  
Review
Silica Aerogels in Nano Drug Delivery Systems: A Comprehensive Review from Preparation to Medical Applications
by Xinran Qian, Jialu Lu, Meili Rui, Dengyun Xu, Haohan Liu, Dongxiao Han, Tianfeng Lu, Jianming Yang, Ai Du and Lili Qin
Gels 2025, 11(11), 859; https://doi.org/10.3390/gels11110859 (registering DOI) - 27 Oct 2025
Abstract
Silica aerogel has garnered significant attention in the biomedical field, primarily due to its unique combination of a three-dimensional structure, low density, tunable nanoscale pores, and an extensive surface area. These intrinsic properties render it as an exceptional candidate for advanced drug delivery [...] Read more.
Silica aerogel has garnered significant attention in the biomedical field, primarily due to its unique combination of a three-dimensional structure, low density, tunable nanoscale pores, and an extensive surface area. These intrinsic properties render it as an exceptional candidate for advanced drug delivery systems (DDSs). In the realm of medical applications, silica aerogels have demonstrated remarkable potential, especially in nanoscale DDSs. Traditional drug delivery methods, such as capsules and tablets, are often plagued by several drawbacks, including poor bioavailability, lack of target specificity, and multidrug resistance. These limitations necessitate the development of more efficient and targeted drug delivery systems. Recent advancements in the synthesis and modification of silica aerogels have significantly enhanced their biocompatibility and functionalization capabilities. These improvements have further bolstered their potential for controlled release and targeted delivery of therapeutic agents. This study is based on silica aerogel-based nanocarrier systems, providing an in-depth exploration of its fundamental principles, preparation processes, and recent advancements. Based on this, we summarize the drug delivery methods, drug release characteristics, and diverse medical applications of silica aerogels. Additionally, we discuss the challenges and future prospects of applying silica aerogels in drug delivery systems, aiming to provide a comprehensive overview of this field. Full article
(This article belongs to the Special Issue Aerogels: Recent Progress in Novel Applications)
Show Figures

Graphical abstract

18 pages, 2558 KB  
Article
Key Nutrient Drivers for Biomass and C-Phycocyanin Production in Spirulina sp. Revealed by Media Optimization
by Ivani Nurjannah, Toto Subroto, Ari Hardianto, Lucy Adinisa and Keiichi Mochida
Int. J. Mol. Sci. 2025, 26(21), 10425; https://doi.org/10.3390/ijms262110425 - 27 Oct 2025
Abstract
Optimizing nutrient formulations is essential to improving the biomass yield and C-phycocyanin (C-PC) productivity of Spirulina sp., a cyanobacterium with wide-ranging applications in food, pharmaceutical, and biotechnological industries. This study evaluated the effects of macronutrient modifications on growth and pigment biosynthesis using a [...] Read more.
Optimizing nutrient formulations is essential to improving the biomass yield and C-phycocyanin (C-PC) productivity of Spirulina sp., a cyanobacterium with wide-ranging applications in food, pharmaceutical, and biotechnological industries. This study evaluated the effects of macronutrient modifications on growth and pigment biosynthesis using a two-level full factorial design across eight Zarrouk-based formulations compared to the standard medium. Cultivation experiments were conducted in triplicate, and growth was evaluated using linear growth rate, maximum optical density (OD680), and dry biomass, while C-PC was quantified in crude extracts (PCL), dried biomass (PCD), and the purity index (PI). Among the tested formulations, F2 (16 g/L NaHCO3, 5 g/L NaNO3, 0.25 g/L K2HPO4) achieved the highest biomass productivity, yielding a 37.6% increase in dry weight and a 38.1% improvement in daily productivity compared to the control. In contrast, F3 (16 g/L NaHCO3, 5 g/L NaNO3, 1 g/L K2HPO4) yielded the highest C-PC content, nearly doubling both PCL and PCD values and enhancing pigment purity by 40.2%. ANOVA and interaction analyses confirmed that carbon and nitrogen synergistically promoted biomass formation, while phosphorus had a strong effect on pigment biosynthesis through C:N:P interactions. These findings demonstrate that Spirulina sp. requires distinct nutrient balances for optimal growth and pigment formation. Formulation F2 is ideal for maximizing biomass productivity, whereas F3 is optimal for high-value C-PC production. The results provide a rational framework for designing nutrient-efficient cultivation systems to advance sustainable Spirulina-based biomanufacturing. Full article
(This article belongs to the Special Issue Recent Research of Natural Products from Microalgae and Cyanobacteria)
Show Figures

Figure 1

17 pages, 14379 KB  
Article
Effect of AlCoCrFeNi2.1 High-Entropy Alloy Reinforcement on the Densification, Microstructure, and Hot-Cracking Behavior of LPBF-Processed AA7075
by Shixi Gan, Qiongqi Xu, Yi Zhang and Baljit Singh Bhathal Singh
Metals 2025, 15(11), 1193; https://doi.org/10.3390/met15111193 - 27 Oct 2025
Abstract
The application of laser powder bed fusion (LPBF) to 7xxx-series aluminum alloys is fundamentally limited by hot cracking and porosity. This study demonstrates that adding 5 wt.% AlCoCrFeNi2.1 high-entropy alloy (HEA) particles to 7075 aluminum alloy (AA7075) powder can effectively mitigate these [...] Read more.
The application of laser powder bed fusion (LPBF) to 7xxx-series aluminum alloys is fundamentally limited by hot cracking and porosity. This study demonstrates that adding 5 wt.% AlCoCrFeNi2.1 high-entropy alloy (HEA) particles to 7075 aluminum alloy (AA7075) powder can effectively mitigate these issues. Microstructural characterization revealed that the HEA particles remained largely intact and formed a strong metallurgical bond with the α-Al matrix. Scanning electron microscopy (SEM) and energy-dispersive X-ray spectroscopy (EDS) analysis confirmed that this bonding is facilitated via the in situ formation of new intermetallic phases at the particle/matrix interface. X-ray diffraction (XRD) identified these phases as primarily Al5Co2 and Fe3Ni2. A key consequence of this reinforced interface is a significant change in cracking behavior; optical microscopy (OM) showed that long, continuous cracks typical of AA7075 were replaced by shorter, deflected cracks in the composite. While porosity was not eliminated, the addition of HEA stabilized the process, yielding a consistent density improvement of 0.5–1.5% across the processing window. This microstructural modification resulted in a substantial ~64% increase in average microhardness, which increased from 96.41 ± 9.81 HV0.5 to 158.46 ± 11.33 HV0.5. These results indicate that HEA reinforcement is a promising route for engineering the microstructure and improving the LPBF processability of high-strength aluminum alloys. Full article
Show Figures

Figure 1

38 pages, 7558 KB  
Review
A Review on ZnO Nanostructures for Optical Biosensors: Morphology, Immobilization Strategies, and Biomedical Applications
by Amauri Serrano-Lázaro, Karina Portillo-Cortez, María Beatriz de la Mora Mojica and Juan C. Durán-Álvarez
Nanomaterials 2025, 15(21), 1627; https://doi.org/10.3390/nano15211627 - 25 Oct 2025
Viewed by 288
Abstract
ZnO nanostructures have attracted attention as transducer materials in optical biosensing platforms due to their wide bandgap, defect-mediated photoluminescence, high surface-to-volume ratio, and tunable morphology. This review examines how the dimensionality of ZnO nanostructures affects biosensor performance, particularly in terms of charge transport, [...] Read more.
ZnO nanostructures have attracted attention as transducer materials in optical biosensing platforms due to their wide bandgap, defect-mediated photoluminescence, high surface-to-volume ratio, and tunable morphology. This review examines how the dimensionality of ZnO nanostructures affects biosensor performance, particularly in terms of charge transport, signal transduction, and biomolecule immobilization. The synthesis approaches are discussed, highlighting how they influence crystallinity, defect density, and surface functionalization potential. The impact of immobilization strategies on sensor stability and sensitivity is also assessed. The role of ZnO in various optical detection schemes, including photoluminescence, surface plasmon resonance (SPR), localized (LSPR), fluorescence, and surface-enhanced Raman scattering (SERS), is reviewed, with emphasis on label-free and real-time detection. Representative case studies demonstrate the detection of clinically and environmentally relevant targets, such as glucose, dopamine, cancer biomarkers, and SARS-CoV-2 antigens, with limits of detection in the pico- to femtomolar range. Recent developments in ZnO-based hybrid systems and their integration into fiber-optic and microfluidic platforms are explored as scalable solutions for portable, multiplexed diagnostics. The review concludes by outlining current challenges related to reproducibility, long-term operational stability, and surface modification standardization. This work provides a framework for understanding structure–function relationships in ZnO-based biosensors and highlights future directions for their development in biomedical and environmental monitoring applications. Full article
(This article belongs to the Section Nanoelectronics, Nanosensors and Devices)
Show Figures

Graphical abstract

13 pages, 4341 KB  
Article
Ge4+ Stabilizes Cu1+ Active Sites to Synergistically Regulate the Interfacial Microenvironment for Electrocatalytic CO2 Reduction to Ethanol
by Xianlong Lu, Lili Wang, Hongtao Xie, Zhendong Li, Xiangfei Du and Bangwei Deng
Appl. Sci. 2025, 15(21), 11420; https://doi.org/10.3390/app152111420 - 24 Oct 2025
Viewed by 114
Abstract
Electrocatalytic conversion of CO2 to high-energy-density multicarbon products (C2+) offers a sustainable route for renewable energy storage and carbon neutrality. Precisely modulating Cu-based catalysts to enhance C2+ selectivity remains challenging due to uncontrollable reduction of Cuδ+ active sites. [...] Read more.
Electrocatalytic conversion of CO2 to high-energy-density multicarbon products (C2+) offers a sustainable route for renewable energy storage and carbon neutrality. Precisely modulating Cu-based catalysts to enhance C2+ selectivity remains challenging due to uncontrollable reduction of Cuδ+ active sites. Here, an efficient and stable Ge/Cu catalyst was developed for CO2 reduction to ethanol via Ge modification. A Cu2O/GeO2/Cu core–shell composite was constructed by controlling Ge doping. The structure–performance relationship was elucidated through in situ characterization and theoretical calculations. Ge4+ stabilized Cu1+ active sites and regulated the surface microenvironment via electronic effects. Ge modification simultaneously altered CO intermediate adsorption to promote asymmetric CO–CHO coupling, optimized water structure at the electrode/electrolyte interface, and inhibited over-reduction of Cuδ+. This multi-scale synergistic effect enabled a significant ethanol Faradaic efficiency enhancement (11–20%) over a wide potential range, demonstrating promising applicability for renewable energy conversion. This study provides a strategy for designing efficient ECR catalysts and offers mechanistic insights into interfacial engineering for C–C coupling in sustainable fuel production. Full article
Show Figures

Figure 1

22 pages, 1467 KB  
Article
Reactivity of Curcumin: Theoretical Insight from a Systematic Density Functional Theory-Based Review
by Marcin Molski
Int. J. Mol. Sci. 2025, 26(21), 10374; https://doi.org/10.3390/ijms262110374 - 24 Oct 2025
Viewed by 194
Abstract
A comprehensive analysis of key findings derived from density functional theory (DFT) studies reveals that current theoretical data on curcumin remain incomplete, underscoring the need for further computational investigation to achieve a more thorough understanding of its chemical and biological reactivity. This study [...] Read more.
A comprehensive analysis of key findings derived from density functional theory (DFT) studies reveals that current theoretical data on curcumin remain incomplete, underscoring the need for further computational investigation to achieve a more thorough understanding of its chemical and biological reactivity. This study addresses these gaps through four primary objectives: (i) determination of a complete set of thermodynamic descriptors and elucidation of the multi-step anti-radical mechanisms of the neutral, radical, anionic, and radical–anionic forms of curcumin; (ii) calculation of global chemical reactivity descriptors of curcumin in various solvent environments; (iii) theoretical reproduction of experimentally determined pKa values for all active sites within the molecule; and (iv) examination of the effects of dispersion interactions and solvent polarity on the reactivity descriptors of keto–enol forms of curcumin. The results obtained provide enhanced insight into the molecular behavior of curcumin, facilitating improved predictions of its reactivity under diverse conditions. Moreover, the findings indicate a potential structural modification of the keto form of curcumin, involving the attachment of two 4-hydroxy-3-methoxyphenyl-prop-1-en-2-one moieties to the methylene group. The resulting modeled compound, referred to as di-curcumin, exhibits enhanced chemical reactivity and increased anti-radical potential. Full article
(This article belongs to the Section Physical Chemistry and Chemical Physics)
Show Figures

Graphical abstract

24 pages, 1531 KB  
Review
Review of Cooling Effects from Roof Mitigation Strategies Against Urban Heat Island Effects
by Yuanchuan Yang, Zihao Pan, Binhua Zhang, Si Huang, Xiaoying Chen and Tingting Hong
Buildings 2025, 15(21), 3835; https://doi.org/10.3390/buildings15213835 - 23 Oct 2025
Viewed by 143
Abstract
The rapid increase in global human activities and urban surface modifications has exacerbated the urban heat island effect, prompting growing scholarly efforts to adopt various measures for mitigating heat islands worldwide. This paper reviews existing literature on rooftop mitigation of UHI, summarizes specific [...] Read more.
The rapid increase in global human activities and urban surface modifications has exacerbated the urban heat island effect, prompting growing scholarly efforts to adopt various measures for mitigating heat islands worldwide. This paper reviews existing literature on rooftop mitigation of UHI, summarizes specific existing rooftop mitigation measures, and examines the comparative effectiveness of various rooftop mitigation strategies in reducing urban heat islands. Findings indicate that cool roofs are the most effective rooftop measure for mitigating UHI, followed by green roofs and photovoltaic roofs. Simultaneously, the cooling effectiveness of rooftop mitigation strategies is influenced by their inherent characteristics (reflectivity, coverage, orientation, etc.), geographical and climatic features (latitude, humidity levels, temperature extremes, diurnal temperature variation, etc.), and urban morphology (building density, height, shape index, etc.). The research status summarized herein provides valuable insights for policy formulation and guides future studies, thereby promoting more innovative designs for sustainable urban roofs to mitigate UHI. Full article
Show Figures

Figure 1

13 pages, 3183 KB  
Article
Methyltrimethoxysilane Vapor Deposition Strategy for Preparing Superelastic and Hydrophobic Flexible Polyurethane Foams
by Hongyu Feng, Haijing Ma, Tian Jing, Bohan Zhai, Yanyan Dong, Shaohua Jiang and Xiaoshuai Han
Polymers 2025, 17(21), 2814; https://doi.org/10.3390/polym17212814 - 22 Oct 2025
Viewed by 204
Abstract
Flexible polyurethane foam (FPUF) is widely used in buffer protection, biomedical, and wearable fields due to its light weight, high resilience, and adjustable mechanical properties. However, the traditional water foaming system is often accompanied by bottleneck problems such as cyclic fatigue attenuation, insufficient [...] Read more.
Flexible polyurethane foam (FPUF) is widely used in buffer protection, biomedical, and wearable fields due to its light weight, high resilience, and adjustable mechanical properties. However, the traditional water foaming system is often accompanied by bottleneck problems such as cyclic fatigue attenuation, insufficient thermal stability, and surface hydrophilicity while achieving low density. In this study, a dense Si-O-Si cross-linked layer was in situ constructed on the surface of the foam by systematically regulating the water content of the foaming agent (1.5~2.5 wt%) and coupling with methyltrimethoxysilane (MTMS) chemical vapor deposition. Experiments show that the foam foamed with 2 wt% water content still maintains 0.0466 MPa compressive strength and 0.0532 MPa compressive modulus (modulus loss is only 16.6%) after 500 cycles of compression at 90% strain after MTMS deposition. MTMS modification drives the surface wettability to change from hydrophilic (70.4°) to hydrophobic (128.7°), and significantly improves thermal stability (the carbon residue rate at 800 °C increased to 25.5%, an increase of 59.4%). This study not only improves the resilience, but also endows the FPUF surface with hydrophobicity and thermal protection ability, which provides the feasibility for its wide application. Full article
(This article belongs to the Special Issue Polyurethane Composites: Properties and Applications)
Show Figures

Figure 1

24 pages, 16892 KB  
Article
Assessing Impacts of Anthropogenic Modification on Surface Soil Moisture Dynamics: A Case Study over Southwest China
by Chunying Shen, Changrui Qin, Zheng Lu, Dehui Ning, Zhenxiang Zang, Honglei Tang, Feng Pan, Guaimei Cheng, Jimin Hu and Shasha Meng
Hydrology 2025, 12(11), 275; https://doi.org/10.3390/hydrology12110275 - 22 Oct 2025
Viewed by 200
Abstract
Anthropogenic activities are profoundly altering the terrestrial water cycle, yet a comprehensive understanding of their impact on surface soil moisture (SSM) at regional scales remains limited. This study investigates the spatiotemporal dynamics of SSM and its relationship with anthropogenic modification (OAM) across Southwest [...] Read more.
Anthropogenic activities are profoundly altering the terrestrial water cycle, yet a comprehensive understanding of their impact on surface soil moisture (SSM) at regional scales remains limited. This study investigates the spatiotemporal dynamics of SSM and its relationship with anthropogenic modification (OAM) across Southwest China from 2000 to 2017. We employed multi-year geospatial and statistical analyses, including kernel density estimation and boxplots, to examine the impacts of human activities on regional soil moisture patterns. The results revealed that SSM exhibited a slight long-term declining trend (Sen’s slope = −0.0009 m3/m3/year) but showed a notable recovery after 2011, while overall anthropogenic modification (OAM) intensified until 2010 before declining sharply by 2015. A statistically significant and systematic relationship was observed, with increasing OAM intensity corresponding to higher median SSM and reduced spatial variability, indicating a homogenizing effect of human activities. Critically, the impacts of detailed anthropogenic stressors were highly divergent: agricultural modification correlated with elevated SSM, whereas transportation infrastructure and energy-related activities exhibited a suppressive effect. These findings highlight the necessity of integrating high-resolution SSM and anthropogenic data into land-use planning and implementing stressor-specific management strategies, such as improving irrigation efficiency and developing infrastructure designs that minimize SSM suppression, to achieve sustainable water resource management in rapidly developing regions. Full article
(This article belongs to the Section Soil and Hydrology)
Show Figures

Figure 1

32 pages, 4197 KB  
Review
Advancements and Prospects in Cathode Materials for Aqueous Zinc-Ion Batteries: Mechanisms, Challenges and Modification Strategies
by Yuewen Gong, Miao Jia, Qiong Yuan and Biao Yang
Molecules 2025, 30(20), 4143; https://doi.org/10.3390/molecules30204143 - 21 Oct 2025
Viewed by 543
Abstract
Owing to the inherent safety, environmental friendliness, and high theoretical capacity (820 mAh g−1) of zinc metal, aqueous zinc-ion batteries (AZIBs) have emerged as up-and-coming alternatives to organic lithium-ion batteries. However, the insufficient electrochemically active sites, poor structural stability, and severe [...] Read more.
Owing to the inherent safety, environmental friendliness, and high theoretical capacity (820 mAh g−1) of zinc metal, aqueous zinc-ion batteries (AZIBs) have emerged as up-and-coming alternatives to organic lithium-ion batteries. However, the insufficient electrochemically active sites, poor structural stability, and severe interfacial side reactions of cathode materials have always been key challenges, restricting battery gravimetric energy density and cycling stability. This article systematically reviews current mainstream AZIB cathode material systems, encompassing layered manganese- and vanadium-based metal oxides, Prussian blue analogs, and emerging organic polymers. It focuses on analyzing the energy storage mechanisms of different material systems and their structural evolution during Zn2+ (de)intercalation. Furthermore, mechanisms of innovative strategies for improving cathodes are thoroughly examined here, such as nanostructure engineering, lattice doping control, and surface coating modification, to address common issues like structural degradation, manganese/vanadium dissolution, and interface passivation. Finally, this article proposes future research directions: utilizing multi-scale in situ characterization to elucidate actual reaction pathways, constructing artificial interface layers to suppress side reactions, and optimizing full-cell design. This review provides a new perspective for developing practical AZIBs with high specific energy and long lifespans. Full article
Show Figures

Figure 1

27 pages, 1000 KB  
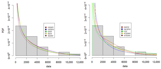
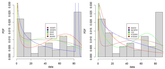
Article
Weibull Distribution with Linear Shape Function
by Piotr Sulewski and Antoni Drapella
Appl. Sci. 2025, 15(20), 11222; https://doi.org/10.3390/app152011222 - 20 Oct 2025
Viewed by 183
Abstract
The paper is intended to put forward a modified Weibull-type lifetime model. Modification consists of replacing the shape parameter of the original Weibull model with the shape function. It is self-evidently a novelty among lifetime models. The model in question will further be [...] Read more.
The paper is intended to put forward a modified Weibull-type lifetime model. Modification consists of replacing the shape parameter of the original Weibull model with the shape function. It is self-evidently a novelty among lifetime models. The model in question will further be named the Weibull-sf model. To present the Weibull-sf, we need appropriate background. The background comes from an extensive review performed on 165 Weibull-type lifetime models we found in the source literature. Performing this review, we focused on two properties of the models: modality of failure density functions, as well as shape of the hazard rate functions. It does not matter that these are strongly interrelated, incidentally. The Weibull-sf lifetime model has the valuable property of flexibility. It may have a bathtub-like hazard rate function and bimodal density function. This is exactly what reliability analysts want to have. Foreseeing the huge numerical problems one will face when trying the maximum-likelihood method, we promote the method of the least absolute values that is a “close relative” to the method of least squares. Examples of fitting the Weibull-sf to real data are given. The cumulative failure functions of bimodal models with a bathtub-like hazard rate function and R codes are given. Full article
Show Figures

Figure 1

13 pages, 2433 KB  
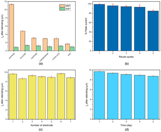
Article
Development of an Electrochemical Sensor Based on Molecularly Imprinted Polymer Using Functionalized Gold Nanoparticles for Caffeine Quantification
by Sergio Espinoza-Torres, Astrid Choquehuanca-Azaña, Marcos Rufino, Eleilton da Silva and Lucio Angnes
Biosensors 2025, 15(10), 704; https://doi.org/10.3390/bios15100704 - 18 Oct 2025
Viewed by 430
Abstract
Caffeine is a natural alkaloid consumed primarily for its stimulant and metabolic effects. Some everyday products, such as coffee, tea, soft drinks, sports supplements, and even pain relievers, contain caffeine. However, excessive caffeine consumption, greater than 400 mg per day, can cause adverse [...] Read more.
Caffeine is a natural alkaloid consumed primarily for its stimulant and metabolic effects. Some everyday products, such as coffee, tea, soft drinks, sports supplements, and even pain relievers, contain caffeine. However, excessive caffeine consumption, greater than 400 mg per day, can cause adverse effects. Therefore, this work presents an electrochemical sensor based on a molecularly imprinted polymer (MIP) electropolymerized on gold nanoparticles functionalized with p-aminothiophenol (AuNPs-pATP) for caffeine quantification. AuNPs-pATP synthesized show a spherical morphology with an average diameter of 2.54 nm. Stages of MIP formation were monitored by cyclic voltammetry (CV) and electrochemical impedance spectroscopy (EIS) using a potassium ferrocyanide redox probe, where the following were observed: (i) an increase in conductivity upon modification of the GCE with AuNPs-pATP, (ii) the blocking of active sites during the electropolymerization step, and (iii) the release of specific cavities upon template removal, revealing consistent differences between the MIP and the control polymer (NIP). SEM images revealed three-dimensional spherical cavities on MIP surface, while the NIP showed a more compact rough surface. Caffeine quantification was performed using square wave voltammetry (SWV) with LOD of 0.195 µmol L−1 and LOQ of 0.592 µmol L−1. Interference studies indicated high selectivity and a high density of caffeine-specific binding sites in the MIP. Additionally, MIP sensor demonstrated reusability, good reproducibility, and stability, as well as promising results for analysis in soft drink and sports supplement samples. Full article
(This article belongs to the Special Issue Recent Advances in Molecularly Imprinted-Polymer-Based Biosensors)
Show Figures

Graphical abstract

17 pages, 2658 KB  
Article
Development of Paper Utilizing Miscanthus Pulp Combined with Waste Paper for the Production of Packaging
by Yulia Sevastyanova, Natalya Shcherbak, Alexander Potashev, Svetlana Malkina, Ekaterina Palchikova, Igor Makarov, Danagul Kalimanova, Georgy Makarov, Ivan S. Levin, Gulbarshin Shambilova, Ayauzhan Shakhmanova, Amanzhan Saginayev, Fazilat Kairliyeva and Ivan Komarov
Appl. Sci. 2025, 15(20), 11157; https://doi.org/10.3390/app152011157 - 17 Oct 2025
Viewed by 200
Abstract
Much focus is being dedicated to the development of innovative technologies for producing biodegradable polymers from plant biomass. It is proposed that annual and perennial herbaceous plants, such as miscanthus, be used as promising sources of cellulose. The component composition of miscanthus allows [...] Read more.
Much focus is being dedicated to the development of innovative technologies for producing biodegradable polymers from plant biomass. It is proposed that annual and perennial herbaceous plants, such as miscanthus, be used as promising sources of cellulose. The component composition of miscanthus allows us to consider it as a raw material for obtaining cellulose. This paper proposes methods for cooking miscanthus lignocellulose raw materials, which allow sulfate cellulose to be obtained with a high yield (up to 52%). In the process of obtaining chemical–thermomechanical pulp, the product yield is 71%. The possibility of replacing unbleached sulfate pulp with a semi-finished product from miscanthus for paper production is considered. For all types of raw materials obtained, acceptable paper-forming properties are observed. The best strength and deformation properties are obtained for sulfate cellulose. The addition of this cellulose to the composition of waste paper fluting significantly increases the sheet density, elasticity, and energy capacity without losing tensile strength. Using miscanthus raw materials along with waste paper of grade MS 5B makes it possible to make a composite product. The resulting products have optimal mechanical properties for creating the middle layer of corrugated cardboard. Miscanthus cellulose can be considered a promising raw material for enhancing waste paper fluting. Altering the system composition utilizing miscanthus and waste paper enables a broad modification of the mechanical and optical qualities of the resultant paper. The recommended concentration of miscanthus fraction in waste paper fluting is 30%. Full article
Show Figures

Figure 1

25 pages, 18457 KB  
Article
Quantitative Characterization of Fractals and Curvatures in Complex Geological Structures of Wugou Coal Mine, Huaibei Coalfield
by Ming Li, Bo Jiang and Fengjuan Lan
Fractal Fract. 2025, 9(10), 669; https://doi.org/10.3390/fractalfract9100669 - 17 Oct 2025
Viewed by 261
Abstract
The complexity of geological structures significantly impacts both mining production efficiency and operational safety, making its quantitative assessment a core issue in ensuring coal’s safe production and coalbed methane development. Focusing on the Wugou Coal Mine in Anhui Province, which exhibits multi-phase tectonic [...] Read more.
The complexity of geological structures significantly impacts both mining production efficiency and operational safety, making its quantitative assessment a core issue in ensuring coal’s safe production and coalbed methane development. Focusing on the Wugou Coal Mine in Anhui Province, which exhibits multi-phase tectonic superposition, modification, and relatively complex structural characteristics, this study integrates stereographic projection analysis, fractal theory, and multiple structural curvature methods to quantitatively characterize structural types and evaluate complexity. The results show that the Wugou Coal Mine has undergone four main stages of tectonic deformation since the formation of the coal seam. The superposition and modification of tectonic events of different periods and properties have led to a complex structural pattern. The fractal dimension effectively characterizes the development degree and distribution density of faults. Structural curvature not only intuitively reflects the deformation extent of fold bending and fault separation, but also provides valuable insights into the structural types, structural positions, and the characteristics of superimposed folds. By combining the strengths of fractal analysis and curvature characterization, a fractal-curvature integrated evaluation model was developed to assess structural complexity. This model facilitates a high-resolution quantitative evaluation, delineating the geological structures of the Wugou Coal Mine into zones of extremely complex, complex, moderately complex, and simple structures. The findings not only provide accurate geological guidance for mine design and hazard prevention but also offer a quantitative evaluation methodology for the optimal selection of favorable areas for coalbed methane development. Full article
(This article belongs to the Special Issue Multiscale Fractal Analysis in Unconventional Reservoirs)
Show Figures

Figure 1

12 pages, 2224 KB  
Article
Tannic Acid-Induced Morphological and Electronic Tuning of Metal–Organic Frameworks Toward Efficient Oxygen Evolution
by Sivalingam Gopi, Mani Durai and Kyusik Yun
Catalysts 2025, 15(10), 991; https://doi.org/10.3390/catal15100991 - 16 Oct 2025
Viewed by 582
Abstract
This study presents a novel dual-temperature synthesis strategy for cobalt, zinc, and iron-based metal–organic frameworks (MOFs) integrated with tannic acid (TA) surface modification to enhance oxygen evolution reaction (OER) performance. MOFs were synthesized at room temperature and 80 °C, enabling controlled crystal growth [...] Read more.
This study presents a novel dual-temperature synthesis strategy for cobalt, zinc, and iron-based metal–organic frameworks (MOFs) integrated with tannic acid (TA) surface modification to enhance oxygen evolution reaction (OER) performance. MOFs were synthesized at room temperature and 80 °C, enabling controlled crystal growth and distinct morphologies. Subsequent TA treatment effectively tuned surface chemistry without altering core crystallinity, as confirmed by PXRD, FT-IR, and XPS analyses. Surface modification introduced oxygen-containing functional groups, improved charge transfer, and increased active-site accessibility. Among the catalysts, the tannic acid-modified Fe-based MOF synthesized at 80 °C (TAFeM-2) exhibited outstanding OER activity, achieving an overpotential of only 254 mV at 10 mA cm−2, outperforming benchmark RuO2 (276 mV) and unmodified counterparts. Tafel slope analysis revealed faster reaction kinetics for surface-tuned MOFs, while electrochemical impedance spectroscopy indicated reduced charge-transfer resistance (12 Ω for TAFeM-2). Chronoamperometry demonstrated exceptional long-term stability, maintaining constant current density over 20 h with minimal performance loss. Post-OER characterization suggested surface oxidation to iron oxyhydroxides without significant structural degradation. This work demonstrates that combining dual-temperature synthesis with TA surface engineering yields MOF-based catalysts with superior activity, conductivity, and durability, offering a promising pathway for developing high-performance electrocatalysts for sustainable energy applications. Full article
Show Figures

Figure 1

Back to TopTop