Sign in to use this feature.

Years

Between: -

Subjects

remove_circle_outline
remove_circle_outline
remove_circle_outline
remove_circle_outline
remove_circle_outline
remove_circle_outline
remove_circle_outline
remove_circle_outline
remove_circle_outline

Journals

remove_circle_outline
remove_circle_outline
remove_circle_outline
remove_circle_outline
remove_circle_outline
remove_circle_outline
remove_circle_outline
remove_circle_outline
remove_circle_outline
remove_circle_outline
remove_circle_outline
remove_circle_outline
remove_circle_outline
remove_circle_outline
remove_circle_outline
remove_circle_outline
remove_circle_outline
remove_circle_outline
remove_circle_outline
remove_circle_outline
remove_circle_outline
remove_circle_outline
remove_circle_outline
remove_circle_outline
remove_circle_outline
remove_circle_outline
remove_circle_outline
remove_circle_outline
remove_circle_outline

Article Types

Countries / Regions

remove_circle_outline
remove_circle_outline
remove_circle_outline
remove_circle_outline
remove_circle_outline
remove_circle_outline
remove_circle_outline

Search Results (6,552)

Search Parameters:
Keywords = models on graphs

Order results
Result details
Results per page
Select all
Export citation of selected articles as:
22 pages, 4162 KB  
Article
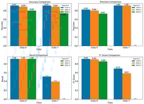
Evolutionary Algorithm Approaches for Cherry Fruit Classification Based on Pomological Features
by Erhan Akyol, Bilal Alatas and Inanc Ozgen
Agriculture 2025, 15(21), 2207; https://doi.org/10.3390/agriculture15212207 - 24 Oct 2025
Abstract
The cherry fruit fly (Rhagoletis cerasi L.) poses a major threat to global cherry production, with significant economic implications. This study presents an innovative approach to assist pest control strategies by classifying cherry fruit samples based on pomological data using evolutionary rule-based [...] Read more.
The cherry fruit fly (Rhagoletis cerasi L.) poses a major threat to global cherry production, with significant economic implications. This study presents an innovative approach to assist pest control strategies by classifying cherry fruit samples based on pomological data using evolutionary rule-based classification algorithms. A unique dataset comprising 396 samples from five different coloring periods was collected, focusing particularly on the second pomological period when pest activity peaks. Three evolutionary algorithms, CORE (Evolutionary Rule Extractor for Classification), DMEL (Data Mining with Evolutionary Learning for Classification) and OCEC (Organizational Evolutionary Classification), were applied to find interpretable classification rules that find whether an incoming cherry sample belongs to the second pomological period or other periods. Two distinct fitness functions were used to evaluate the algorithms’ performance. The results of the algorithms are compared with various visual graphs and the metric values are compared with visual graphs in a similar fashion. The findings highlight the potential of explainable AI models in enhancing agricultural decision-making and offer a novel, data-based methodology for integrated pest management in cherry production for the prediction of cherry fruit phenology class. Full article
(This article belongs to the Section Artificial Intelligence and Digital Agriculture)
Show Figures

Figure 1

16 pages, 813 KB  
Review
A Review of Urban Path Planning Algorithms in Intelligent Transportation Systems
by Zhenyu Tian, Huaqi Yao and Yu Shao
Algorithms 2025, 18(11), 676; https://doi.org/10.3390/a18110676 - 23 Oct 2025
Abstract
With the accelerating pace of urbanization and the increasing complexity of traffic systems, urban transportation faces growing challenges such as congestion, inefficiency, and environmental strain. Path planning algorithms—key components in intelligent transportation systems—have evolved from classical graph-based methods like Dijkstra and A* to [...] Read more.
With the accelerating pace of urbanization and the increasing complexity of traffic systems, urban transportation faces growing challenges such as congestion, inefficiency, and environmental strain. Path planning algorithms—key components in intelligent transportation systems—have evolved from classical graph-based methods like Dijkstra and A* to modern approaches leveraging metaheuristics and deep learning. This paper systematically reviews the development of urban path planning algorithms, tracing their progression from foundational methods to state-of-the-art techniques such as Ant Colony Optimization, Probabilistic Roadmaps, and Rapidly Exploring Random Trees. Recent innovations, including improved genetic algorithms, hybrid A* variants, and reinforcement learning models, are analyzed in terms of adaptability, efficiency, and real-time performance. Furthermore, the review highlights ongoing challenges in scalability, dynamic adaptation, and algorithmic fairness, while discussing future directions that integrate technical innovation with policy and ethical considerations to support sustainable and equitable urban mobility. Full article
Show Figures

Figure 1

14 pages, 1036 KB  
Article
Biomedical Knowledge Graph Embedding with Hierarchical Capsule Network and Rotational Symmetry for Drug-Drug Interaction Prediction
by Sensen Zhang, Xia Li, Yang Liu, Peng Bi and Tiangui Hu
Symmetry 2025, 17(11), 1793; https://doi.org/10.3390/sym17111793 - 23 Oct 2025
Abstract
The forecasting of Drug-Drug Interactions (DDIs) is essential in pharmacology and clinical practice to prevent adverse drug reactions. Existing approaches, often based on neural networks and knowledge graph embedding, face limitations in modeling correlations among drug features and in handling complex BioKG relations, [...] Read more.
The forecasting of Drug-Drug Interactions (DDIs) is essential in pharmacology and clinical practice to prevent adverse drug reactions. Existing approaches, often based on neural networks and knowledge graph embedding, face limitations in modeling correlations among drug features and in handling complex BioKG relations, such as one-to-many, hierarchical, and composite interactions. To address these issues, we propose Rot4Cap, a novel framework that embeds drug entity pairs and BioKG relationships into a four-dimensional vector space, enabling effective modeling of diverse mapping properties and hierarchical structures. In addition, our method integrates molecular structures and drug descriptions with BioKG entities, and it employs capsule network–based attention routing to capture feature correlations. Experiments on three benchmark BioKG datasets demonstrate that Rot4Cap outperforms state-of-the-art baselines, highlighting its effectiveness and robustness. Full article
(This article belongs to the Section Computer)
Show Figures

Figure 1

22 pages, 10534 KB  
Article
M3ASD: Integrating Multi-Atlas and Multi-Center Data via Multi-View Low-Rank Graph Structure Learning for Autism Spectrum Disorder Diagnosis
by Shuo Yang, Zuohao Yin, Yue Ma, Meiling Wang, Shuo Huang and Li Zhang
Brain Sci. 2025, 15(11), 1136; https://doi.org/10.3390/brainsci15111136 - 23 Oct 2025
Abstract
Background: Autism spectrum disorder (ASD) is a highly heterogeneous neurodevelopmental condition for which accurate and automated diagnosis is crucial to enable timely intervention. Resting-state functional magnetic resonance imaging (rs-fMRI) serves as one of the key modalities for diagnosing ASD and elucidating its underlying [...] Read more.
Background: Autism spectrum disorder (ASD) is a highly heterogeneous neurodevelopmental condition for which accurate and automated diagnosis is crucial to enable timely intervention. Resting-state functional magnetic resonance imaging (rs-fMRI) serves as one of the key modalities for diagnosing ASD and elucidating its underlying mechanisms. Numerous existing studies using rs-fMRI data have achieved accurate diagnostic performance. However, these methods often rely on a single brain atlas for constructing brain networks and overlook the data heterogeneity caused by variations in imaging devices, acquisition parameters, and processing pipelines across multiple centers. Methods: To address these limitations, this paper proposes a multi-view, low-rank subspace graph structure learning method to integrate multi-atlas and multi-center data for automated ASD diagnosis, termed M3ASD. The proposed framework first constructs functional connectivity matrices from multi-center neuroimaging data using multiple brain atlases. Edge weight filtering is then applied to build multiple brain networks with diverse topological properties, forming several complementary views. Samples from different classes are separately projected into low-rank subspaces within each view to mitigate data heterogeneity. Multi-view consistency regularization is further incorporated to extract more consistent and discriminative features from the low-rank subspaces across views. Results: Experimental results on the ABIDE-I dataset demonstrate that our model achieves an accuracy of 83.21%, outperforming most existing methods and confirming its effectiveness. Conclusions: The proposed method was validated using the publicly available Autism Brain Imaging Data Exchange (ABIDE) dataset. Experimental results demonstrate that the M3ASD method not only improves ASD diagnostic accuracy but also identifies common functional brain connections across atlases, thereby enhancing the interpretability of the method. Full article
Show Figures

Figure 1

19 pages, 7690 KB  
Article
Process Anomaly Detection in Cyber–Physical Production Systems Based on Conditional Discrete-Time Dynamic Graphs
by Christian Goetz and Bernhard G. Humm
Appl. Sci. 2025, 15(21), 11354; https://doi.org/10.3390/app152111354 - 23 Oct 2025
Abstract
Various types of anomalies can arise in cyber–physical production systems, caused by either faulty devices or incorrect processes. Anomalies within individual devices can often be detected by applying machine learning techniques to the respective produced multivariate time series. While this data typically shows [...] Read more.
Various types of anomalies can arise in cyber–physical production systems, caused by either faulty devices or incorrect processes. Anomalies within individual devices can often be detected by applying machine learning techniques to the respective produced multivariate time series. While this data typically shows temporal and spatial changes and can therefore be efficiently utilized by models, detecting anomalies within the process is often more challenging, as process data usually only consists of events, binary signals, or changes in unique process states. Due to the low variance of data, existing anomaly detection methods struggle to detect anomalies effectively and accurately. To address this challenge, in this paper, we propose a novel concept for process anomaly detection based on conditional discrete-time dynamic graphs. Through the conditional connections of the graph, essential characteristics can be generated and utilized to effectively train machine learning models to detect anomalies in the process data. Identified anomalies can be related to the current graph, facilitating transparent and explainable detections. By evaluating the concept against process data from an industrial unit and achieving an F1-Score of 0.96 and 1 for the realized repetitive processes, the accuracy and effectiveness of the concept can be demonstrated. Full article
(This article belongs to the Special Issue AI-Based Machinery Health Monitoring)
Show Figures

Figure 1

17 pages, 2735 KB  
Article
Relation Extraction in Spanish Medical Texts Using Deep Learning Techniques for Medical Knowledge Representation
by Gabriela A. García-Robledo, Maricela Bravo, Alma D. Cuevas-Rasgado, José A. Reyes-Ortiz and Josué Padilla-Cuevas
Appl. Sci. 2025, 15(21), 11352; https://doi.org/10.3390/app152111352 - 23 Oct 2025
Abstract
The extraction of relationships in natural language processing (NLP) is a task that consists of identifying interactions between entities within a text. This approach facilitates comprehension of context and meaning. In the medical field, this is of particular significance due to the substantial [...] Read more.
The extraction of relationships in natural language processing (NLP) is a task that consists of identifying interactions between entities within a text. This approach facilitates comprehension of context and meaning. In the medical field, this is of particular significance due to the substantial volume of information contained in scientific articles. This paper explores various training strategies for medical relationship extraction using large pre-trained language models. The findings indicate significant variations in performance between models trained with general domain data and those specialized in the medical domain. Furthermore, a methodology is proposed that utilizes language models for relation extraction with hyperparameter optimization techniques. This approach uses a triplet-based system. It provides a framework for the organization of relationships between entities and facilitates the development of medical knowledge graphs in the Spanish language. The training process was conducted using a dataset constructed and validated by medical experts. The dataset under consideration focused on relationships between entities, including anatomy, medications, and diseases. The final model demonstrated an 85.9% accuracy rate in the relationship classification task, thereby substantiating the efficacy of the proposed approach. Full article
Show Figures

Figure 1

20 pages, 2139 KB  
Article
Integrating Large Language Model and Logic Programming for Tracing Renewable Energy Use Across Supply Chain Networks
by Peng Su, Rui Xu, Wenbin Wu and Dejiu Chen
Appl. Syst. Innov. 2025, 8(6), 160; https://doi.org/10.3390/asi8060160 - 22 Oct 2025
Abstract
Global warming is a critical issue today, largely due to the widespread use of fossil fuels in everyday life. One promising solution to reduce reliance on conventional energy sources is to promote the use of renewable power. In particular, to encourage the use [...] Read more.
Global warming is a critical issue today, largely due to the widespread use of fossil fuels in everyday life. One promising solution to reduce reliance on conventional energy sources is to promote the use of renewable power. In particular, to encourage the use of renewable energy in industrial sectors which involve development and manufacture of the industrial artifacts, there is continuous demand for tracing energy sources within the production processes. However, given a sophisticated industrial product that involves diverse and extensive components and their suppliers, the traceability analysis across its production is a critical challenge for ensuring the full utilization of renewable energy. To alleviate this issue, this paper presents a functional framework to support tracing the usage of renewable energy by integrating the Large Language Models (LLMs) and logic programming across supply chain networks. Specifically, the proposed framework contains the following components: (1) adopting graph-based models to process and manage the extensive information within supply chain networks; (2) using the Retrieval-Augmented Generation (RAG) techniques to support the LLM for processing the information related to supply chain networks and generating relevant responses with structured representations; and (3) presenting a logic programming-based solution to support the traceability analysis of renewable energy regarding the responses from the LLM. As a case study, we use a public dataset to evaluate the proposed framework by comparing it to the RAG-based LLM and its variant. Compared to baseline methods solely relying on LLMs, the experiments show that the proposed framework achieves significant improvement. Full article
Show Figures

Figure 1

24 pages, 443 KB  
Article
Consistent Markov Edge Processes and Random Graphs
by Donatas Surgailis
Mathematics 2025, 13(21), 3368; https://doi.org/10.3390/math13213368 - 22 Oct 2025
Abstract
We discuss Markov edge processes {Ye;eE} defined on edges of a directed acyclic graph (V,E) with the consistency property [...] Read more.
We discuss Markov edge processes {Ye;eE} defined on edges of a directed acyclic graph (V,E) with the consistency property PE(Ye;eE)=PE(Ye;eE) for a large class of subgraphs (V,E) of (V,E) obtained through a mesh dismantling algorithm. The probability distribution PE of such edge process is a discrete version of consistent polygonal Markov graphs. The class of Markov edge processes is related to the class of Bayesian networks and may be of interest to causal inference and decision theory. On regular ν-dimensional lattices, consistent Markov edge processes have similar properties to Pickard random fields on Z2, representing a far-reaching extension of the latter class. A particular case of binary consistent edge process on Z3 was disclosed by Arak in a private communication. We prove that the symmetric binary Pickard model generates the Arak model on Z2 as a contour model. Full article
(This article belongs to the Special Issue Modeling and Data Analysis of Complex Networks)
Show Figures

Figure 1

19 pages, 1018 KB  
Article
Fractality and Percolation Sensitivity in Software Vulnerability Networks: A Study of CWE–CVE–CPE Relations
by Iulian Tiță, Mihai Cătălin Cujbă and Nicolae Țăpuș
Appl. Sci. 2025, 15(21), 11336; https://doi.org/10.3390/app152111336 - 22 Oct 2025
Abstract
Public CVE feeds add tens of thousands of entries each year, overwhelming patch-management capacity. We model the CWE–CVE–CPE triad and, for each CWE, build count-weighted product co-exposure graphs by projecting CVE–CPE links. Because native graphs are highly fragmented, we estimate graph-distance box-counting dimensions [...] Read more.
Public CVE feeds add tens of thousands of entries each year, overwhelming patch-management capacity. We model the CWE–CVE–CPE triad and, for each CWE, build count-weighted product co-exposure graphs by projecting CVE–CPE links. Because native graphs are highly fragmented, we estimate graph-distance box-counting dimensions component-wise on the fragmented graphs using greedy box covering on unweighted shortest paths, then assess significance on the largest component of reconnected graphs. Significance is evaluated against degree-preserving nulls, reporting null percentiles, a z-score–based p-value, and complementary KS checks. We further characterise meso-scale organisation via normalized rich-club coefficients and k-core structure. Additionally, we quantify percolation sensitivity on the reconnected graphs by contrasting targeted removals with random failures for budgets of 1%, 5%, 10%, and 20%. This quantification involves tracking changes in largest-component size, average shortest-path length on the LCC, and global efficiency, and an amplification factor at 10%. Our corpus covers the MITRE CWE Top 25; we report high-level summaries for all 25 and perform the deepest null-model and sensitivity analyses on a subset of 12 CWEs selected on the basis of CVE volume. This links self-similar topology on native fragments with rich-club/core organisation and disruption sensitivity on reconnections, yielding actionable, vendor/software-type-aware mitigation cues. Structural indices are used descriptively to surface topological hotspots within CWE-conditioned product networks and are interpreted alongside, not in place of, EPSS/KEV/CVSS severity metrics. Full article
(This article belongs to the Special Issue Novel Approaches for Cybersecurity and Cyber Defense)
Show Figures

Figure 1

25 pages, 1741 KB  
Article
Event-Aware Multimodal Time-Series Forecasting via Symmetry-Preserving Graph-Based Cross-Regional Transfer Learning
by Shu Cao and Can Zhou
Symmetry 2025, 17(11), 1788; https://doi.org/10.3390/sym17111788 - 22 Oct 2025
Abstract
Forecasting real-world time series in domains with strong event sensitivity and regional variability poses unique challenges, as predictive models must account for sudden disruptions, heterogeneous contextual factors, and structural differences across locations. In tackling these challenges, we draw on the concept of symmetry [...] Read more.
Forecasting real-world time series in domains with strong event sensitivity and regional variability poses unique challenges, as predictive models must account for sudden disruptions, heterogeneous contextual factors, and structural differences across locations. In tackling these challenges, we draw on the concept of symmetry that refers to the balance and invariance patterns across temporal, multimodal, and structural dimensions, which help reveal consistent relationships and recurring patterns within complex systems. This study is based on two multimodal datasets covering 12 tourist regions and more than 3 years of records, ensuring robustness and practical relevance of the results. In many applications, such as monitoring economic indicators, assessing operational performance, or predicting demand patterns, short-term fluctuations are often triggered by discrete events, policy changes, or external incidents, which conventional statistical and deep learning approaches struggle to model effectively. To address these limitations, we propose an event-aware multimodal time-series forecasting framework with graph-based regional transfer built upon an enhanced PatchTST backbone. The framework unifies multimodal feature extraction, event-sensitive temporal reasoning, and graph-based structural adaptation. Unlike Informer, Autoformer, FEDformer, or PatchTST, our model explicitly addresses naive multimodal fusion, event-agnostic modeling, and weak cross-regional transfer by introducing an event-aware Multimodal Encoder, a Temporal Event Reasoner, and a Multiscale Graph Module. Experiments on diverse multi-region multimodal datasets demonstrate that our method achieves substantial improvements over eight state-of-the-art baselines in forecasting accuracy, event response modeling, and transfer efficiency. Specifically, our model achieves a 15.06% improvement in the event recovery index, a 15.1% reduction in MAE, and a 19.7% decrease in event response error compared to PatchTST, highlighting its empirical impact on tourism event economics forecasting. Full article
Show Figures

Figure 1

22 pages, 5826 KB  
Article
Knowledge-Driven 3D Content Generation: A Rule+LLM-Verify-Based Method for Constructing a Tibetan Cultural and Tourism Knowledge Graph
by Ke Wang, Shuai Yan, Zirui Liu, Xiaokai Yuan, Fei Li, Bingtao Jiang, Shengying Yang and Huan Deng
Electronics 2025, 14(21), 4138; https://doi.org/10.3390/electronics14214138 - 22 Oct 2025
Abstract
The digital transformation of Tibetan cultural tourism is hindered by high manual costs, weak semantic adaptability, and cultural security risks. To address these, this paper proposes RLT2C, a “Rule+LLM-Verify” approach to automated and culturally secure KG construction. It employs a lightweight-large model collaboration [...] Read more.
The digital transformation of Tibetan cultural tourism is hindered by high manual costs, weak semantic adaptability, and cultural security risks. To address these, this paper proposes RLT2C, a “Rule+LLM-Verify” approach to automated and culturally secure KG construction. It employs a lightweight-large model collaboration mechanism, where a fine-tuned lightweight model generates initial Cypher statements, rigorously verified by LLMs for local semantic accuracy and cultural compliance. This two-stage process, combined with a dynamic-static cultural constraint system, ensures high efficiency and preserves cultural integrity, supporting knowledge-driven naked-eye 3D immersive experiences. Experimental results on 1200 Tibetan tourism-related texts show that RLT2C outperforms baselines in construction efficiency (14.5 triples/100 words), relationship accuracy (91.5%), local semantic adaptability (87.9%), and graph redundancy rate (5.4%). RLT2C exhibits strong practicality and scalability. The constructed KG serves not only as an information repository but also as a foundational engine for immersive visualization. By acting as a “central index” for 3D assets and a “safety gatekeeper” for content generation, it enables the dynamic and secure rendering of culturally authentic naked-eye 3D experiences from natural language queries. Full article
Show Figures

Figure 1

24 pages, 38382 KB  
Article
Skeleton Information-Driven Reinforcement Learning Framework for Robust and Natural Motion of Quadruped Robots
by Huiyang Cao, Hongfa Lei, Yangjun Liu, Zheng Chen, Shuai Shi, Bingquan Li, Weichao Xu and Zhi-Xin Yang
Symmetry 2025, 17(11), 1787; https://doi.org/10.3390/sym17111787 - 22 Oct 2025
Abstract
Legged robots have great potential in complex environments, but achieving robust and natural locomotion remains difficult due to challenges in generating smooth gaits and resisting disturbances. This article presents a novel reinforcement learning framework that integrates a skeleton-aware graph neural network (GNN), a [...] Read more.
Legged robots have great potential in complex environments, but achieving robust and natural locomotion remains difficult due to challenges in generating smooth gaits and resisting disturbances. This article presents a novel reinforcement learning framework that integrates a skeleton-aware graph neural network (GNN), a single-stage teacher–student architecture, a system-response model, and a Wasserstein Adversarial Motion Priors (wAMP) module. The skeleton-aware GNN enriches observations by encoding key node information and link properties, providing structured body information and better spatial awareness on irregular terrains. Unlike conventional two-stage approaches, this method jointly trains teacher and student policies to accelerate learning and improve sim-to-real transfer using hybrid advantage estimation (HAE). The system-response model further enhances robustness by predicting future observations from historical states via contrastive learning, enabling the policy to anticipate terrain variations and external disturbances. Finally, wAMP provides a more stable adversarial imitation method for fitting expert datasets of both flat ground and stair locomotion. Experiments on quadruped robots demonstrate that the proposed approach achieves more natural gaits and stronger robustness than existing baselines. Full article
Show Figures

Figure 1

24 pages, 10501 KB  
Article
Unveiling Dark Web Identity Patterns: A Network-Based Analysis of Identification Types and Communication Channels in Illicit Activities
by Luis de-Marcos, Adrián Domínguez-Díaz, Javier Junquera-Sánchez, Carlos Cilleruelo and José-Javier Martínez-Herráiz
Information 2025, 16(11), 924; https://doi.org/10.3390/info16110924 - 22 Oct 2025
Viewed by 59
Abstract
The Dark Web, a hidden segment of the internet, has become a hub for illicit activities, facilitated by various forms of digital identification (IDs) such as email addresses, Telegram accounts, and cryptocurrency wallets. This study conducts a comprehensive analysis of the Dark Web’s [...] Read more.
The Dark Web, a hidden segment of the internet, has become a hub for illicit activities, facilitated by various forms of digital identification (IDs) such as email addresses, Telegram accounts, and cryptocurrency wallets. This study conducts a comprehensive analysis of the Dark Web’s identification and communication patterns, focusing on the roles of different ID types and their associated activities. Using a dataset of Dark Web documents, we construct and analyze a bipartite network to model the relationships between IDs and web documents, employing graph–theoretical metrics such as degree centrality, closeness centrality, betweenness centrality, and k-core decomposition, while analyzing subnetworks formed by ID type. Our findings reveal that Telegram forms the backbone of the network, serving as the primary communication tool for hacking-related activities, particularly within Russian-speaking communities. In contrast, email plays a more decentralized role, facilitating finance–crypto and other activities but with a high level of fragmentation and English as the predominant language. XMR (Monero) wallets emerge as a key component in financial transactions, forming a cohesive subnetwork focused on cryptocurrency-related activities. The analysis also highlights the modular and hierarchical nature of the Dark Web, with distinct clusters for hacking, finance–crypto, and drugs–narcotics, often operating independently but with some cross-topic interactions. This study provides a foundation for understanding the Dark Web’s structure and dynamics, offering insights that can inform strategies for monitoring and mitigating its risks. Full article
(This article belongs to the Section Information Security and Privacy)
Show Figures

Graphical abstract

23 pages, 5146 KB  
Article
Spatio-Temporal Multi-Graph Convolution Traffic Flow Prediction Model Based on Multi-Source Information Fusion and Attention Enhancement
by Wenjing Li, Zhongning Sun and Yao Wan
Appl. Sci. 2025, 15(20), 11295; https://doi.org/10.3390/app152011295 - 21 Oct 2025
Viewed by 123
Abstract
Traffic flow prediction plays a vital role in intelligent transportation systems, directly affecting travel scheduling, road planning, and traffic management efficiency. However, traditional methods often struggle to capture complex spatiotemporal dependencies and integrate heterogeneous data sources. To overcome these challenges, we propose a [...] Read more.
Traffic flow prediction plays a vital role in intelligent transportation systems, directly affecting travel scheduling, road planning, and traffic management efficiency. However, traditional methods often struggle to capture complex spatiotemporal dependencies and integrate heterogeneous data sources. To overcome these challenges, we propose a Spatio-temporal Multi-graph Convolution Traffic Flow Prediction Model based on Multi-source Information Fusion and Attention Enhancement (MIFA-ST-MGCN). The model adopts adaptive data fusion strategies according to spatiotemporal characteristics, achieving effective integration through feature concatenation and multi-graph structure construction. A spatiotemporal attention mechanism is designed to dynamically capture the varying contributions of different adjacency relations and temporal dependencies, thereby enhancing feature representation. In addition, recurrent units are combined with graph convolutional networks to model spatiotemporal data and generate more accurate prediction results. Experiments conducted on a real-world traffic dataset demonstrate that the proposed model achieves superior performance, reducing the mean absolute error by 3.57% compared with mainstream traffic flow prediction models. These results confirm the effectiveness of multi-source fusion and attention enhancement in improving prediction accuracy. Full article
(This article belongs to the Special Issue Advanced Methods for Time Series Forecasting)
Show Figures

Figure 1

26 pages, 1728 KB  
Article
Optimizing Federated Scheduling for Real-Time DAG Tasks via Node-Level Parallelization
by Jiaqing Qiao, Sirui Chen, Tianwen Chen and Lei Feng
Computers 2025, 14(10), 449; https://doi.org/10.3390/computers14100449 - 21 Oct 2025
Viewed by 85
Abstract
Real-time task scheduling in multi-core systems is a crucial research area, especially for parallel task scheduling, where the Directed Acyclic Graph (DAG) model is commonly used to represent task dependencies. However, existing research shows that resource utilization and schedulability rates for DAG task [...] Read more.
Real-time task scheduling in multi-core systems is a crucial research area, especially for parallel task scheduling, where the Directed Acyclic Graph (DAG) model is commonly used to represent task dependencies. However, existing research shows that resource utilization and schedulability rates for DAG task set scheduling remain relatively low. Meanwhile, some studies have identified that certain parallel task nodes exhibit “parallelization freedom,” allowing them to be decomposed into sub-threads that can execute concurrently. This presents a promising opportunity for improving task schedulability. Building on this, we propose an approach that optimizes both node parallelization and processor core allocation under federated scheduling. Simulation experiments demonstrate that by parallelizing nodes, we can significantly reduce the number of cores required for each task and increase the percentage of task sets being schedulable. Full article
Show Figures

Figure 1

Back to TopTop