Sign in to use this feature.

Years

Between: -

Subjects

remove_circle_outline
remove_circle_outline
remove_circle_outline
remove_circle_outline
remove_circle_outline
remove_circle_outline
remove_circle_outline
remove_circle_outline

Journals

Article Types

Countries / Regions

Search Results (189)

Search Parameters:
Keywords = mild traumatic brain injury (mTBI)

Order results
Result details
Results per page
Select all
Export citation of selected articles as:
19 pages, 1208 KB  
Perspective
A Prefrontal Neuromodulation Route for Post-Traumatic Olfactory Dysfunction: A Perspective Supported by Recovery During Left-DLPFC rTMS
by Chiara Di Fazio and Sara Palermo
Brain Sci. 2026, 16(1), 99; https://doi.org/10.3390/brainsci16010099 (registering DOI) - 17 Jan 2026
Abstract
Post-traumatic olfactory dysfunction (PTOD) is a common and often persistent sequela of mild traumatic brain injury (mTBI), with limited evidence-based treatment options. We propose that high-frequency rTMS applied to the left dorsolateral prefrontal cortex (DLPFC) may support olfactory recovery via top-down modulation of [...] Read more.
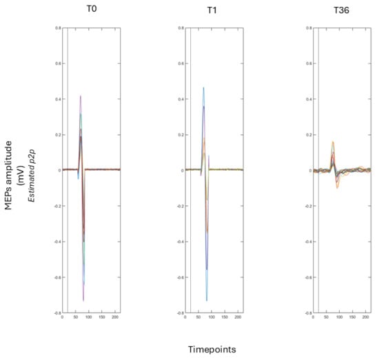
Post-traumatic olfactory dysfunction (PTOD) is a common and often persistent sequela of mild traumatic brain injury (mTBI), with limited evidence-based treatment options. We propose that high-frequency rTMS applied to the left dorsolateral prefrontal cortex (DLPFC) may support olfactory recovery via top-down modulation of distributed olfactory, attentional, and reward networks, and we outline key mechanistic and methodological considerations for future studies. We summarize the case of a 70-year-old woman with severe post-traumatic hyposmia persisting for ~5 months, who underwent a 12-week, 10 Hz rTMS course over left DLPFC (36 sessions; 800 pulses/session). Using a structured door diary and repeated ratings across odour categories, she reported stepwise improvement starting around sessions 10–12 (re-emergence of pungent odours) and progressing to broad restoration, including subtle fragrances, by treatment end; no adverse events occurred. While causality cannot be inferred from a single case, this pattern is consistent with a network-level neuromodulatory effect and motivates controlled trials combining standardized olfactory testing with neurophysiology and neuroimaging. Full article
(This article belongs to the Special Issue Review in Neuropsychology: Advances and Future Directions)
Show Figures

Figure 1

30 pages, 828 KB  
Systematic Review
Sex Differences in Severity and Recovery Following Mild Traumatic Brain Injury: A Systematic Review
by Shanika Arachchi, Ed Daly, Anushree Dwivedi and Lisa Ryan
Brain Sci. 2026, 16(1), 77; https://doi.org/10.3390/brainsci16010077 - 6 Jan 2026
Viewed by 449
Abstract
Background: Sex-based variations in brain structure, hormonal balance, and neurochemistry may influence symptom presentation and recovery after mild traumatic brain injury (mTBI). This systematic review investigated sex-related differences in mTBI severity, symptoms, and recovery outcomes across different injury mechanisms. Methods: This [...] Read more.
Background: Sex-based variations in brain structure, hormonal balance, and neurochemistry may influence symptom presentation and recovery after mild traumatic brain injury (mTBI). This systematic review investigated sex-related differences in mTBI severity, symptoms, and recovery outcomes across different injury mechanisms. Methods: This review followed PRISMA 2020 guidelines and was registered with PROSPERO (CRD420251011379). Searches were conducted in PubMed, SPORTDiscus, Web of Science, and Scopus for articles published between 2000 and 2024. Eligible studies included adults (≥18 years) diagnosed with mTBI or concussion (Glasgow Coma Scale 13–15) with quantifiable outcome data for both sexes. Data extraction and quality assessment followed the JBI critical appraisal tools. Results: Forty-one studies involving 15,656 participants (8671 males; 6985 females) met the inclusion criteria. Female participants reported a greater symptom burden, higher pain intensity, and longer recovery times for gait abnormalities and return to activity compared with males. Neuroimaging studies showed more extensive white matter alterations in females, whereas males displayed greater reductions in cerebral blood flow. Cognitive and neurosensory outcomes revealed poorer cognitive performance, slower reaction times, and higher rates of vestibular–ocular and visual abnormalities in females. A limited number of studies explored electrophysiological measures, indicating sex-based differences in early brain responses to emotional stimuli. Conclusions: Sex plays an important role in symptom presentation and recovery after mTBI. Female patients demonstrate heightened vulnerability across several clinical domains, likely due to biological and neurochemical differences. Recognising these sex-specific patterns can support more targeted diagnostic and rehabilitation strategies. Future research should further explore the structural and biochemical mechanisms underlying these differences to improve precision in mTBI management. Full article
(This article belongs to the Section Neurorehabilitation)
Show Figures

Figure 1

29 pages, 5306 KB  
Article
N-Stearidonoylethanolamine Restores CA1 Synaptic Integrity and Reduces Astrocytic Reactivity After Mild Traumatic Brain Injury
by Anastasia Egoraeva, Igor Manzhulo, Darya Ivashkevich and Anna Tyrtyshnaia
Int. J. Mol. Sci. 2026, 27(1), 471; https://doi.org/10.3390/ijms27010471 - 2 Jan 2026
Viewed by 288
Abstract
Mild traumatic brain injury (mTBI) disrupts hippocampal network function through coordinated alterations in glial reactivity, synaptic integrity, and adult neurogenesis. Effective therapeutic approaches targeting these interconnected processes remain limited. Lipid-derived molecules capable of modulating these mTBI-induced disturbances are emerging as promising neuroprotective candidates. [...] Read more.
Mild traumatic brain injury (mTBI) disrupts hippocampal network function through coordinated alterations in glial reactivity, synaptic integrity, and adult neurogenesis. Effective therapeutic approaches targeting these interconnected processes remain limited. Lipid-derived molecules capable of modulating these mTBI-induced disturbances are emerging as promising neuroprotective candidates. Here, we investigated the effects of N-stearidonylethanolamine (SDEA), an ω-3 ethanolamide, in a mouse model of mTBI. SDEA treatment attenuated astrocytic reactivity, restored Arc expression, and improved dendritic spine density and morphology in the CA1 hippocampal area. In the dentate gyrus, mTBI reduced Ki-67-indexed proliferation while leaving DCX-positive immature neurons unchanged, and SDEA partially rescued proliferative activity. These effects were accompanied by improvements in anxiety-like behavior and working-memory performance. Together, these findings demonstrate that SDEA modulates several key components of the glia-synapse-neurogenesis axis and supports functional recovery of hippocampal circuits following mTBI. These results suggest that ω-3 ethanolamides may represent promising candidates for multi-target therapeutic strategies in mTBI. Full article
Show Figures

Figure 1

29 pages, 385 KB  
Review
Psychological Injuries in the DSM-5: Courting Troubles
by Gerald Young
Psychiatry Int. 2026, 7(1), 4; https://doi.org/10.3390/psychiatryint7010004 - 23 Dec 2025
Viewed by 618
Abstract
Introduction: The Diagnostic and Statistical Manual of Mental Disorders has been criticized for its reliability and validity, including for the major psychological injuries [Posttraumatic Stress Disorder (PTSD), chronic pain-related disorders, and neurocognitive disorders, pertinent for mild traumatic brain injury (MTBI)/persistent post-concussion syndrome (PPCS)]. [...] Read more.
Introduction: The Diagnostic and Statistical Manual of Mental Disorders has been criticized for its reliability and validity, including for the major psychological injuries [Posttraumatic Stress Disorder (PTSD), chronic pain-related disorders, and neurocognitive disorders, pertinent for mild traumatic brain injury (MTBI)/persistent post-concussion syndrome (PPCS)]. Methods: This review article examines both the mental health/psychiatric and legal literature on the DSM-5 and its criticisms. The DSM-5 uses a polythetic approach, which leads to many complicating ways of expressing disorders (e.g., PTSD). Disorders related to chronic pain refer to somatic symptom disorders (e.g., with predominant pain), which leads to less focus on the chronic pain itself. The neurocognitive disorder diagnosis includes minor and major classifications, but excludes moderate ones. The international diagnostic system (International Classification of Diseases (ICD-11)) and alternate approaches to psychiatric nosology [the Research Domain Criteria (RDoC) and Hierarchal Taxonomy of Psychopathology (HiTOP)] do not help resolve these issues. Results: The comprehensive literature review undertaken indicates the limitations of the DSM-5 clinically and in court, especially for psychological injuries. The article includes tables and boxes that complement the text with specificities related to the issues raised. Conclusions: The article recommends supplementary diagnostic criteria for the three major psychological injuries (PTSD, chronic pain, and MTBI) for forensic use. This paper is an original contribution to improving the diagnostics/description and forensic use of the major psychological injuries: aside from the paper’s clinical contributions, these disorders/conditions are contentious in court, and their better specification in diagnosis, as attempted herein, is important to undertake forensically. Full article
23 pages, 13189 KB  
Article
Multimodal Canonical Correlation Analysis with Joint Independent Component Analysis (mCCA+jICA) of IVIM and ASL MRI Reveals Perfusion and Diffusion Abnormalities in mTBI—A Pilot Study
by Maurizio Bergamino, Lauren R. Ott, Molly M. McElvogue, Ruchira Jha, Cindy Moreno and Ashley M. Stokes
NeuroSci 2025, 6(4), 123; https://doi.org/10.3390/neurosci6040123 - 3 Dec 2025
Viewed by 523
Abstract
Mild traumatic brain injury (mTBI) frequently causes subtle brain changes that are difficult to detect with conventional diagnostic approaches. In this exploratory pilot study, we combined tri-exponential intravoxel incoherent motion (IVIM) and pseudocontinuous arterial spin labeling (pCASL) MRI with Multimodal Canonical Correlation Analysis [...] Read more.
Mild traumatic brain injury (mTBI) frequently causes subtle brain changes that are difficult to detect with conventional diagnostic approaches. In this exploratory pilot study, we combined tri-exponential intravoxel incoherent motion (IVIM) and pseudocontinuous arterial spin labeling (pCASL) MRI with Multimodal Canonical Correlation Analysis and joint independent component analysis (mCCA+jICA) to identify imaging signatures distinguishing mTBI patients from healthy controls (HCs) and their associations with clinical function. Cerebral blood flow (CBF) and IVIM-derived metrics were extracted from 90 brain regions in 19 mTBI patients and 24 HCs, and multivariate components were identified using mCCA+jICA. Two independent components (IC2, IC15) showed group differences at the uncorrected level (p < 0.05) but did not survive false discovery rate (FDR) correction. IC2 correlated positively with CBF and perfusion fraction (Fp) and negatively with tissue diffusion fraction (Fs), consistent with reduced vascular integrity in mTBI, while IC15 showed similar trends. One component correlated with Glasgow Outcome Scale–Extended (GOS-E) scores (uncorrected p = 0.046). Although this study is preliminary and limited by a small sample size, our findings suggest that mTBI is associated with perfusion and microstructural alterations, particularly in subcortical regions, and demonstrate the potential value of combining IVIM and ASL within multivariate fusion frameworks to reveal patterns not captured by single-modality approaches. Full article
Show Figures

Figure 1

13 pages, 443 KB  
Review
Objective Markers for Diagnosing Concussions: Beyond Blood Biomarkers and the Role of Real-Time Diagnostic Tools
by Robert Kamil, Youssef Atef AbdelAlim, Shiv Patel, Paxton Sweeney, Harry Feng, Jasdeep Hundal and Ira Goldstein
J. Clin. Med. 2025, 14(21), 7727; https://doi.org/10.3390/jcm14217727 - 30 Oct 2025
Viewed by 872
Abstract
Concussions, classified as a type of mild traumatic brain injury (mTBI), are frequently underdiagnosed due to the subjective nature of symptoms and limitations in existing diagnostic methodologies. Current clinical evaluations, including tools such as the Sport Concussion Assessment Tool 5 (SCAT5), Balance Error [...] Read more.
Concussions, classified as a type of mild traumatic brain injury (mTBI), are frequently underdiagnosed due to the subjective nature of symptoms and limitations in existing diagnostic methodologies. Current clinical evaluations, including tools such as the Sport Concussion Assessment Tool 5 (SCAT5), Balance Error Scoring System (BESS), and Vestibular Ocular Motor Screening (VOMS), demonstrate high sensitivity and specificity but often fail to capture the full complexity of concussive injuries. Emerging diagnostic approaches, such as blood biomarkers (for example, glial fibrillary acidic protein (GFAP), ubiquitin C-terminal hydrolase-L1 (UCH-L1), S100 calcium-binding protein B (S100B), and tau) and advanced neuroimaging techniques (for example, diffusion tensor imaging (DTI) and functional magnetic resonance imaging (fMRI)), show promise but remain impractical for routine clinical use due to accessibility and standardization challenges. This review examines objective markers, including neuroimaging, electrophysiological measures (for example, Electroencephalography (EEG), Magnetoencephalography (MEG)), and real-time diagnostic tools, as complementary strategies to enhance traditional clinical evaluations. Findings indicate that while clinical assessments remain central to concussion diagnosis, integrating them with advanced imaging and electrophysiological tools can provide more accurate diagnostics and recovery tracking. Biomarkers, although not yet ready for widespread use, hold significant potential for future applications. Further research is required to validate these methods and establish standardized protocols to facilitate their integration into clinical practice. Full article
(This article belongs to the Section Brain Injury)
Show Figures

Figure 1

27 pages, 3261 KB  
Article
A Bioinformatic Study of Genetics Involved in Determining Mild Traumatic Brain Injury Severity and Recovery
by Mahnaz Tajik and Michael D. Noseworthy
Biomedicines 2025, 13(11), 2669; https://doi.org/10.3390/biomedicines13112669 - 30 Oct 2025
Viewed by 1103
Abstract
Objectives: This in silico study sought to identify specific biomarkers for mild traumatic brain injury (mTBI) through the analysis of publicly available gene and miRNA databases, hypothesizing their influence on neuronal structure, axonal integrity, and regeneration. Methods: This study implemented a three-step process: [...] Read more.
Objectives: This in silico study sought to identify specific biomarkers for mild traumatic brain injury (mTBI) through the analysis of publicly available gene and miRNA databases, hypothesizing their influence on neuronal structure, axonal integrity, and regeneration. Methods: This study implemented a three-step process: (1) data searching for mTBI-related genes in Gene and MalaCard databases and literature review, (2) data analysis involved performing functional annotation through GO and KEGG, identifying hub genes using Cytoscape, mapping protein–protein interactions via DAVID and STRING, and predicting miRNA targets using miRSystem, miRWalk2.0, and mirDIP, and (3) RNA-sequencing analysis applied to the mTBI dataset GSE123336. Results: Eleven candidate hub genes associated with mTBI outcome were identified: APOE, S100B, GFAP, BDNF, AQP4, COMT, MBP, UCHL1, DRD2, ASIC1, and CACNA1A. Enrichment analysis linked these genes to neuron projection regeneration and synaptic plasticity. miRNAs linked to the mTBI candidate genes were hsa-miR-9-5p, hsa-miR-204-5p, hsa-miR-1908-5p, hsa-miR-16-5p, hsa-miR-10a-5p, has-miR-218-5p, has-miR-34a-5p, and has-miR-199b-5p. The RNA sequencing revealed 2664 differentially expressed miRNAs post-mTBI, with 17 showing significant changes at the time of injury and 48 h post-injury. Two miRNAs were positively correlated with direct head hits. Conclusions: Our bioinformatic analysis suggests that specific genes and miRNAs, particularly hsa-miR-10a-5p, may be involved in molecular pathways influencing mTBI outcomes. Our research may guide future mTBI diagnostics, emphasizing the need to measure and track these specific genes and miRNAs in diverse cohorts. Full article
Show Figures

Figure 1

20 pages, 4901 KB  
Article
A Diffusion Tensor Imaging Study: Relation of Wisconsin Card Sorting Covariates to White Matter Abnormalities in Traumatic Brain Injury
by Aditya Prashant Kamble, Angel Liu, Dean Choi and Joseph Wu
Life 2025, 15(10), 1633; https://doi.org/10.3390/life15101633 - 20 Oct 2025
Viewed by 703
Abstract
New brain imaging modalities and neuropsychological testing tools are used to study neuronal changes in brain injuries such as mild traumatic brain injury (mTBI). Here we utilized diffusion tensor imaging (DTI) parameters and Wisconsin Card Sorting Test (WCST) variables to investigate patients with [...] Read more.
New brain imaging modalities and neuropsychological testing tools are used to study neuronal changes in brain injuries such as mild traumatic brain injury (mTBI). Here we utilized diffusion tensor imaging (DTI) parameters and Wisconsin Card Sorting Test (WCST) variables to investigate patients with chronic mTBI. Neuropsychological assessments for mTBI evaluate impairments across a broad spectrum of executive functions. Our study aims to examine the relationship between fractional anisotropy (FA) and WCST covariates in patients with chronic mTBI. We hypothesize that patients who suffered chronic mTBI have significantly reduced FA in frontal white matter regions in association with significant deviation from standard percentile scores in WSCT. Utilizing multi-linear regression models alongside analyzing DTI scans, WCST covariates were linearly regressed to produce positive and negative contrasts to identify specific regions of interest (ROIs) with reduced FA. Results show that WCST covariates (such as percentile perseverative responses (Ep), non-perseverative responses (Enp), and conceptual response (CResp)) significantly deviate beyond standard percentile scores and correlate with lower FA in white matter regions in the frontal cortex, demonstrating executive function deficits. These frontal regions include the inferior frontal, superior frontal, and corpus callosum (CC), correlated with greater errors in WCST percentile scores. This study investigates the correlation between WCST covariates and DTI parameters as valuable tools in the diagnosis and prognosis of persistent cognitive impairment for patients with a history of chronic traumatic brain injury. Full article
(This article belongs to the Special Issue Traumatic Brain Injury (TBI))
Show Figures

Figure 1

13 pages, 429 KB  
Review
Post-Traumatic Epilepsy After Mild and Moderate Traumatic Brain Injury: A Narrative Review and Development of a Clinical Decision Tool
by Ioannis Mavroudis, Katerina Franekova, Foivos Petridis, Alin Ciobica, Gabriel Dăscălescu, Carmen Rodica Anton, Ciprian Ilea, Sotirios Papagiannopoulos, Dimitrios Kazis and Emil Anton
Reports 2025, 8(4), 193; https://doi.org/10.3390/reports8040193 - 29 Sep 2025
Viewed by 2515
Abstract
Background: Post-traumatic epilepsy (PTE) is a recognized complication of traumatic brain injury (TBI), yet its risk following mild and moderate TBI remains underappreciated. Although mild TBI represents the majority of cases in clinical practice, a subset of patients develop unprovoked seizures months or [...] Read more.
Background: Post-traumatic epilepsy (PTE) is a recognized complication of traumatic brain injury (TBI), yet its risk following mild and moderate TBI remains underappreciated. Although mild TBI represents the majority of cases in clinical practice, a subset of patients develop unprovoked seizures months or even years post-injury. This review aims to synthesize current evidence on the incidence and predictors of PTE in mild and moderate TBI and to propose a clinically actionable decision-support tool for early risk stratification. Methods: We performed a narrative review of peer-reviewed studies published between 1985 and 2024 that reported on the incidence, risk factors and predictive models of PTE in patients with mild (Glasgow Coma Scale [GCS] 13–15) and moderate (GCS 9–12 or imaging-positive) TBI. Data from 24 studies were extracted, focusing on neuroimaging findings, early post-traumatic seizures, EEG abnormalities and clinical risk factors. These variables were integrated into a rule-based algorithm, which was implemented using Streamlit to enable real-time clinical decision-making. The decision-support tool incorporated five domains: injury severity, early post-traumatic seizures, neuroimaging findings (including contusion location and hematoma type), clinical and demographic variables (age, sex, psychiatric comorbidities, prior TBI, neurosurgical intervention) and EEG abnormalities. Results: PTE incidence following mild TBI ranged from <1% to 10%, with increased risk observed in patients presenting with intracranial hemorrhage or early seizures. From moderate TBI, incidence rates were consistently higher (6–12%). Key predictors included early seizures, frontal or temporal contusions, subdural hematoma, multiple contusions and midline shift. Additional risk-enhancing factors included prolonged loss of consciousness, male sex, psychiatric comorbidities and abnormal EEG patterns. Based on these features, we developed a decision-support tool that stratifies patients into low-, moderate- and high-risk categories for developing PTE. Conclusions: Even in non-severe cases, patients with mild and moderate TBI who exhibit high-risk features remain vulnerable to long-term epileptogenesis. Our proposed tool provides a pragmatic, evidence-based framework for early identification and follow-up planning. Prospective validation studies are needed to confirm its predictive accuracy and optimize its clinical utility. Full article
Show Figures

Figure 1

18 pages, 2040 KB  
Article
Diagnosis of mTBI in an ER Setting Using Eye-Tracking and Virtual Reality Technology: An Exploratory Study
by Felix Sikorski, Claas Güthoff, Ingo Schmehl, Witold Rogge, Jasper Frese, Arndt-Peter Schulz and Andreas Gonschorek
Brain Sci. 2025, 15(10), 1051; https://doi.org/10.3390/brainsci15101051 - 26 Sep 2025
Viewed by 724
Abstract
Background: The aim of this study was to systematically explore point-of-care biomarkers as diagnostic indicators for the detection and exclusion of mild traumatic brain injury (mTBI) in an emergency room (ER) setting using Eye-Tracking and Virtual Reality (ET/VR) technology. The primary target group [...] Read more.
Background: The aim of this study was to systematically explore point-of-care biomarkers as diagnostic indicators for the detection and exclusion of mild traumatic brain injury (mTBI) in an emergency room (ER) setting using Eye-Tracking and Virtual Reality (ET/VR) technology. The primary target group included patients who had suffered an acute trauma to the head and presented within 24 h to the emergency department. Methods: The BG Unfallkrankenhaus Berlin and the BG Klinikum Hamburg participated in this explorative, prospective, single-arm accuracy study. This study included patients who presented to the emergency department with suspected mTBI and were examined using ET/VR glasses. All further steps corresponded to clinical routine (e.g., decision on hospital admission, imaging diagnostics). After the completion of treatment, the patients were divided into mTBI and non-TBI subgroups by consensus between two independent clinical experts, who were blinded to the results of the index test (examination using ET/VR glasses) in the form of a clinical synopsis. The diagnosis was based on all clinical, neurological, neurofunctional, neuropsychological, and imaging findings. Routine trauma and neurological history, examination, and diagnosis were performed in each case. All statistical analyses were performed with exploratory intent. Results: The use of ET/VR glasses was found to be predominantly unproblematic. Two of the fifty-two analyzed parameters can be statistically distinguished from a random decision. No difference in oculomotor function was found between the two subgroups, and no correlations between the parameters recorded by the VR goggles and the detection of mTBI were found. Conclusions: At present, the use of VR goggles for the diagnosis of mTBI in an ER setting cannot be recommended. Full article
(This article belongs to the Section Neurotechnology and Neuroimaging)
Show Figures

Figure 1

13 pages, 619 KB  
Article
The Effect of Mucuna pruriens on Depression-like Behavior Induced by a Mild Traumatic Brain Injury in Rats Is Associated with a Decrease in Brain Nitrite and Nitrate Levels
by Alfonso Mata-Bermudez, Ricardo Trejo-Chávez, Marina Martínez-Vargas, Adán Pérez-Arredondo, Araceli Diaz-Ruiz, Camilo Rios, Héctor Alonso Romero-Sánchez, María de los Ángeles Martínez-Cárdenas, Perla Ugalde-Muñiz, Roxana Noriega-Navarro and Luz Navarro
NeuroSci 2025, 6(4), 92; https://doi.org/10.3390/neurosci6040092 - 24 Sep 2025
Cited by 1 | Viewed by 2598
Abstract
Traumatic brain injury (TBI), even when mild, has been associated with the presence of depression. Depression is a mood disorder characterized by persistent negative thoughts and sadness and is challenging to treat due to the multiple mechanisms involved in its pathophysiology, including increased [...] Read more.
Traumatic brain injury (TBI), even when mild, has been associated with the presence of depression. Depression is a mood disorder characterized by persistent negative thoughts and sadness and is challenging to treat due to the multiple mechanisms involved in its pathophysiology, including increased nitric oxide (NO) levels. There are no completely safe and effective pharmacological strategies to treat this disorder. Mucuna pruriens (MP) has been shown to possess neuroprotective properties by regulating inflammatory responses and nitric oxide synthase activity. In this study, we evaluated the antidepressant-like effect of MP in male Wistar rats with induced mild traumatic brain injury (mTBI). MP extract (50 mg/kg i.p.) was administered immediately after mTBI and every 24 h for five days. We used the rats’ preference for sucrose consumption to assess the presence of depression-like behavior and analyzed the nitrite and nitrate levels in their cerebral cortex, striatum, midbrain, and nucleus accumbens. Untreated animals with mTBI showed a reduced preference for sucrose than those treated with MP, whose preference for sucrose was similar to that of sham animals. Increased nitrite and nitrate levels were observed in different brain regions in the TBI subjects; however, this increase was not observed in MP-treated animals. MP reduces behavior associated with depression and the brain NO levels in rats with mTBI. Full article
Show Figures

Figure 1

12 pages, 1158 KB  
Systematic Review
Neurogranin as a Synaptic Biomarker in Mild Traumatic Brain Injury: A Systematic Review of Diagnostic and Pathophysiological Evidence
by Ioannis Mavroudis, Foivos Petridis, Eleni Karantali and Dimitrios Kazis
Proteomes 2025, 13(3), 46; https://doi.org/10.3390/proteomes13030046 - 19 Sep 2025
Viewed by 881
Abstract
Neurogranin (NRGN), a synaptic protein essential for plasticity and memory function, is gaining recognition as a promising biomarker for mild traumatic brain injury (mTBI). This systematic review brings together findings from six studies that measured neurogranin levels in biofluids—including serum, cerebrospinal fluid (CSF), [...] Read more.
Neurogranin (NRGN), a synaptic protein essential for plasticity and memory function, is gaining recognition as a promising biomarker for mild traumatic brain injury (mTBI). This systematic review brings together findings from six studies that measured neurogranin levels in biofluids—including serum, cerebrospinal fluid (CSF), plasma, and exosomes—during both the acute and chronic phases following injury. In the acute phase of mTBI, elevated levels of neurogranin were consistently observed in serum samples, suggesting its potential as a diagnostic marker. These increases appear to reflect immediate synaptic disturbances caused by injury. In contrast, studies focusing on the chronic phase reported a decrease in exosomal neurogranin levels, pointing to ongoing synaptic dysfunction well after the initial trauma. This temporal shift in neurogranin expression highlights its dual utility—both as an early indicator of injury and as a longer-term marker of synaptic integrity. However, interpreting these findings is not straightforward. The studies varied considerably in terms of sample type, timing of measurements, and control for potential confounding factors such as physical activity. Such variability makes direct comparisons difficult and may influence the outcomes observed. Additionally, none of the studies included proteoform-specific analyses of neurogranin, an omission that limits our understanding of the molecular changes underlying mTBI-related synaptic alterations. Due to heterogeneity across study designs and outcome measures, a meta-analysis could not be performed. Instead, a narrative synthesis was conducted, revealing consistent patterns in neurogranin dynamics over time and underscoring the influence of biofluid selection on measured outcomes. Overall, the current evidence supports neurogranin’s potential as both a diagnostic and mechanistic biomarker for mTBI. Yet, to fully realize its clinical utility, future research must prioritize standardized protocols, the inclusion of proteoform profiling, and rigorous longitudinal validation studies. Full article
Show Figures

Figure 1

15 pages, 518 KB  
Article
Six-Month Brain Health Outcomes in the Geriatric Population After Mild Traumatic Brain Injury: A Prospective Neuroimaging Study
by Igor Horvat, Jagoš Golubović, Djula Djilvesi, Bojan Jelača and Petar Vuleković
Clin. Transl. Neurosci. 2025, 9(3), 40; https://doi.org/10.3390/ctn9030040 - 12 Sep 2025
Viewed by 1507
Abstract
Introduction: Mild traumatic brain injury (mTBI) in older adults (≥65 years) is often underestimated, despite being associated with significant morbidity. Age-related vulnerability, comorbidities, and medication use may exacerbate outcomes. This study aimed to identify predictors of brain health and functional recovery in older [...] Read more.
Introduction: Mild traumatic brain injury (mTBI) in older adults (≥65 years) is often underestimated, despite being associated with significant morbidity. Age-related vulnerability, comorbidities, and medication use may exacerbate outcomes. This study aimed to identify predictors of brain health and functional recovery in older adults following mTBI, focusing on acute symptoms, CT imaging findings, and sociodemographic factors. Methods: We analyzed a cohort of 93 older adult patients with mTBI (GCS 13–15) who were prospectively enrolled at a tertiary neurosurgical center. All patients underwent baseline CT, structured clinical assessment, and follow-up at six months with standardized instruments (Glasgow Outcome Scale–Extended-GOSE, 12-Item Short Form Health Survey (quality-of-life measure)-SF-12, Rivermead Post-Concussion Symptoms Questionnaire-RPQ, Patient Health Questionnaire-9 (depression measure)-PHQ-9, PTSD (Post Traumatics Stress Disorder) Checklist for DSM (Diagnostic and Statistical Manual for Mental Disorders)-PCL-5, Timed up and Go Test (mobility measure-TUG test). Multivariate regression was performed to identify independent predictors of recovery. Results: At six months, 94.9% of older adults achieved functional independence (GOSE ≥ 5), though only 43% attained complete recovery (GOSE = 8). Patients with acute intracranial lesions on CT had worse physical outcomes, including slower mobility (mean TUG 17.6 vs. 16.3 s, p = 0.012). Severe acute headache independently predicted poorer recovery (lower GOSE and SF-12 PCS). Lower educational attainment correlated with worse functional and quality-of-life outcomes, consistent with reduced cognitive reserve. Psychological outcomes (PTSD and depression rates) were not associated with CT findings but were influenced by social support and sex. Prompt anticoagulation reversal in patients on anticoagulants markedly reduced hemorrhagic complications. Discussion: Older adults with mTBI generally maintain independence but experience reduced physical health and mobility compared to younger patients. Predictors of poorer outcomes include severe acute symptoms, CT-detected lesions, advanced age, and lower educational levels. Psychosocial support mitigated mental health complications. Conclusions: mTBI in older adults is not benign. Clinical, imaging, and sociodemographic factors collectively shape recovery. Early identification of high-risk patients and targeted interventions are essential to preserve brain health and independence in this growing population. Full article
(This article belongs to the Special Issue Brain Health)
Show Figures

Graphical abstract

14 pages, 689 KB  
Article
Biological Plausibility of Using Plasma Amino Acid Profile Determination as a Potential Biomarker for Pediatric Patients with Mild Traumatic Brain Injuries
by Adán Pérez-Arredondo, Eduardo Cázares-Ramírez, Luis Tristán-López, Carlos Jiménez-Gutiérrez, Diana L. Pérez-Lozano, Ivette A. Martínez-Hernández, Valentina Vega-Rangel, Hugo F. Narváez-González, Camilo Rios, Marina Martínez-Vargas, Luz Navarro and Liliana Carmona-Aparicio
Neurol. Int. 2025, 17(9), 145; https://doi.org/10.3390/neurolint17090145 - 9 Sep 2025
Viewed by 1181
Abstract
Background: Amino acid biomarkers have a crucial influence on our understanding of brain injury mechanisms, and their plasma concentrations may indicate neurological damage and recovery patterns. Pediatric mild traumatic brain injury (mTBI) assessment particularly benefits from such molecular indicators, as clinical presentations can [...] Read more.
Background: Amino acid biomarkers have a crucial influence on our understanding of brain injury mechanisms, and their plasma concentrations may indicate neurological damage and recovery patterns. Pediatric mild traumatic brain injury (mTBI) assessment particularly benefits from such molecular indicators, as clinical presentations can be subtle and variable. However, current diagnostic and prognostic tools lack reliable biochemical markers that can track the temporal evolution of injuries and recovery. Methods: We conducted a prospective longitudinal cohort study involving 36 pediatric mTBI patients and 44 controls to characterize the temporal evolution of key amino acids and their derived indices. Blood samples were collected at 3, 6, 12, and 24 h and at 7, 14, and 28 days post-injury, with amino acids quantified using high-performance liquid chromatography. Results: Our analysis revealed significant temporal changes in glutamate, glutamine, and glycine concentrations, with glutamate peaking at day 7 before declining, while glutamine showed steady increases throughout. The GLN/GLU ratio demonstrated an early excitatory imbalance followed by astrocytic compensation, and the GLX ratio indicated progressive recovery. Conclusions: These patterns represent continuous neurochemical processes involving excitotoxicity and glial regulation, suggesting potential utility as biomarkers for mTBI diagnosis and monitoring. While further validation using larger cohorts is needed, these findings provide compelling evidence of the efficacy of using amino acid profiles to track pediatric mTBI progression and recovery. Full article
(This article belongs to the Section Brain Tumor and Brain Injury)
Show Figures

Graphical abstract

19 pages, 349 KB  
Review
From the Emergency Department to Follow-Up: Clinical Utility of Biomarkers in Mild Traumatic Brain Injury
by Giacomo Spaziani, Gloria Rozzi, Silvia Baroni, Benedetta Simeoni, Simona Racco, Fabiana Barone, Mariella Fuorlo, Francesco Franceschi and Marcello Covino
Emerg. Care Med. 2025, 2(3), 45; https://doi.org/10.3390/ecm2030045 - 8 Sep 2025
Cited by 1 | Viewed by 2156
Abstract
Mild traumatic brain injury (mTBI) remains a clinical challenge, particularly in cases with normal computed tomography (CT) findings but persistent or evolving symptoms. Conventional diagnostic approaches relying solely on clinical criteria and neuroimaging often lack adequate sensitivity and may lead to unnecessary radiation [...] Read more.
Mild traumatic brain injury (mTBI) remains a clinical challenge, particularly in cases with normal computed tomography (CT) findings but persistent or evolving symptoms. Conventional diagnostic approaches relying solely on clinical criteria and neuroimaging often lack adequate sensitivity and may lead to unnecessary radiation exposure. Recent advances in biomarker research have identified several blood-based proteins such as glial fibrillary acidic protein (GFAP), ubiquitin carboxy-terminal hydrolase L1 (UCH-L1), S100 calcium-binding protein B (S100B), Tau protein, neuron-specific enolase (NSE), and neurofilament light chain (NFL) as potential tools for improving diagnostic precision and guiding clinical decisions. In this study, we synthesize current evidence evaluating the diagnostic and prognostic utility of these biomarkers using sensitivity, specificity, negative predictive value (NPV), and area under the receiver operating characteristic curve (AUC). GFAP and UCH-L1 have shown high sensitivity in detecting intracranial lesions and are now FDA-cleared for emergency department triage within 12 h of injury. While S100B remains widely investigated, its low specificity limits its application beyond select clinical scenarios (i.e., in patients without polytrauma). Additionally, Tau, NSE, and NFL are emerging as prognostic markers, with studies suggesting associations with persistent symptoms and long-term neurocognitive outcomes. Overall, the integration of biomarker-based data into clinical workflows may enhance early mTBI diagnosis, reduce reliance on imaging, and enable individualized follow-up and prognostic stratification. Future research should refine optimal sampling windows and explore multimarker panels to maximize diagnostic and prognostic performance. Full article
Back to TopTop