Sign in to use this feature.

Years

Between: -

Subjects

remove_circle_outline
remove_circle_outline
remove_circle_outline
remove_circle_outline
remove_circle_outline
remove_circle_outline
remove_circle_outline
remove_circle_outline
remove_circle_outline

Journals

Article Types

Countries / Regions

Search Results (97)

Search Parameters:
Keywords = microbial IAA

Order results
Result details
Results per page
Select all
Export citation of selected articles as:
24 pages, 1551 KB  
Article
Physiological and Transcriptome Analyses Reveal the Important Role of Microbial Fertilizer in the Response of Sugar Beet Seedlings to Saline-Alkali Stress
by Chunyan Huang, Kang Han, Xiaoxia Guo, Lu Tian, Caiyuan Jian, Wenbin Su, Zhigang Wei, Peng Zhang, Yinghao Li, Huimin Ren, Jianjun Song, Liang Wang, Yongkang Zhang and Zhi Li
Int. J. Mol. Sci. 2025, 26(18), 8840; https://doi.org/10.3390/ijms26188840 - 11 Sep 2025
Viewed by 226
Abstract
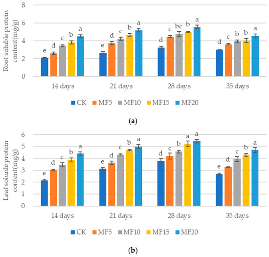
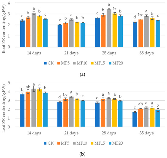
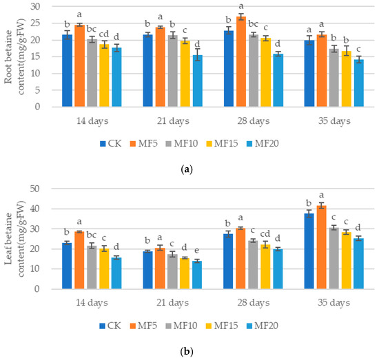
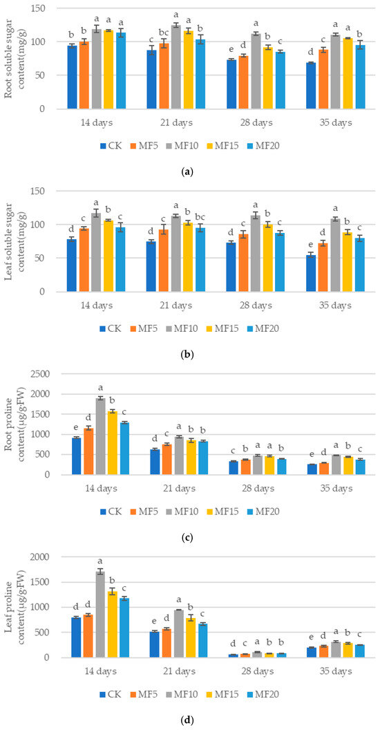
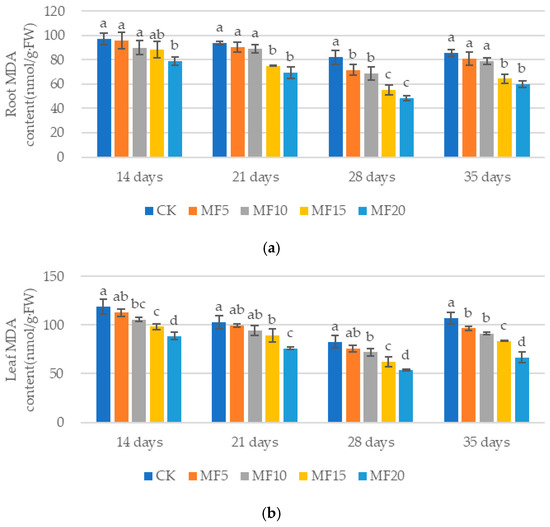
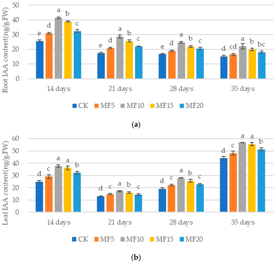
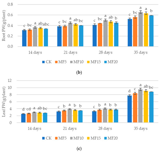
Sugar beet is one of China’s major cash crops, and Inner Mongolia has become an important sugar base in China. However, cultivation of sugar beet in Inner Mongolia could be improved, as it contains 1.06 million hectares of saline–alkali land, accounting for 11.4% [...] Read more.
Sugar beet is one of China’s major cash crops, and Inner Mongolia has become an important sugar base in China. However, cultivation of sugar beet in Inner Mongolia could be improved, as it contains 1.06 million hectares of saline–alkali land, accounting for 11.4% of the total arable land in the region. This saline–alkali land challenges the potential for sugar-beet cultivation as excessive concentrations of saline and alkaline substances, in addition to ionic components, have been demonstrated to have a detrimental effect on the growth of crops, including sugar beet. In sugar beet, excessive concentrations of saline and alkaline substances impact the normal metabolism of sugar beets, thereby inhibiting their growth and development. The present study posits that the utilization of a microbial fertilizer has the potential to mitigate the repercussions of saline–alkali stress. The application of microbial fertilizer has been demonstrated to exert a substantial influence on the accumulation of soluble sugars, soluble proteins and free proline in sugar beet roots and leaves. This study demonstrated a decrease in malondialdehyde (MDA) content and an increase in the K+/Na+ ratio following treatment with a microbial fertilizer. Furthermore, increased activity of superoxide dismutase (SOD), peroxidase (POD) and catalase (CAT) enzymes was observed. These changes induced an increase in the contents of indole-3-acetic acid (IAA), gibberellic acid (GA) and zeatin (ZR) and a decrease in abscisic acid (ABA) content. The results also indicate an increase in the seedling retention rate and fresh weight of sugar beets. Full article
(This article belongs to the Section Molecular Genetics and Genomics)
Show Figures

Figure 1

17 pages, 4071 KB  
Article
Biostimulation of Mesembryanthemum crystallinum L. (The Common Ice Plant) by Plant Growth-Promoting Rhizobacteria: Implication for Cadmium Phytoremediation
by Paulina Supel, Paweł Kaszycki, Sileola Olatunji, Anna Faruga and Zbigniew Miszalski
Sustainability 2025, 17(17), 8073; https://doi.org/10.3390/su17178073 - 8 Sep 2025
Viewed by 661
Abstract
Plant growth-promoting rhizobacteria (PGPR) employ various mechanisms to enhance plant development and growth as well as to mitigate environmental stress, including heavy metal contamination. Cadmium is a particularly severe stressor, toxic to both plants and soil microbiota. Mesembryanthemum crystallinum L. (the common ice [...] Read more.
Plant growth-promoting rhizobacteria (PGPR) employ various mechanisms to enhance plant development and growth as well as to mitigate environmental stress, including heavy metal contamination. Cadmium is a particularly severe stressor, toxic to both plants and soil microbiota. Mesembryanthemum crystallinum L. (the common ice plant), a fast-growing semi-halophyte, was previously investigated for phytoremediation potential towards saline environments and toxic metals, especially cadmium and chromium. The study was aimed at assessing whether bacteria isolated from the rhizosphere of M. crystallinum treated with Cd reveal growth-promoting traits and if the plant tolerance to Cd results from a synergistic action of the Cd/salt-resistant strains. The isolates demonstrated PGP characteristics, including nitrogen fixation, phosphate solubilization, and production of ammonia, indolyl-3-acetic acid (IAA), and siderophores. A microbial consortium consisting of these strains was developed and applied to pots with M. crystallinum. After a 14-day experiment, plant growth and Cd-accumulation potential were evaluated upon treatment with 1 mM or 10 mM Cd, either in the presence or absence of NaCl. Plant inoculation with the consortium stimulated Cd accumulation both by roots and shoots at 10 mM Cd under saline conditions. The results suggest that bioaugmentation of M. crystallinum with the bacterial community can be used as an effective, sustainable phytoremediation method for cadmium-contaminated soils. Full article
Show Figures

Figure 1

19 pages, 4752 KB  
Article
AeroHydro Culture: An Integrated Approach to Improve Crop Yield and Ecological Restoration Through Root–Microbe Symbiosis in Tropical Peatlands
by Eric Verchius, Kae Miyazawa, Rahmawati Ihsani Wetadewi, Maman Turjaman, Sarjiya Antonius, Hendrik Segah, Tirta Kumala Dewi, Entis Sutisna, Tien Wahyuni, Didiek Hadjar Goenadi, Niken Andika Putri, Sisva Silsigia, Tsuyoshi Kato, Alue Dohong, Hidenori Takahashi, Dedi Nursyamsi, Hideyuki Kubo, Nobuyuki Tsuji and Mitsuru Osaki
Land 2025, 14(9), 1823; https://doi.org/10.3390/land14091823 - 7 Sep 2025
Viewed by 577
Abstract
Tropical peatlands in Indonesia are increasingly degraded by conventional oil palm practices involving drainage and chemical fertilizers. This study evaluates AeroHydro Culture (AHC), a method applying microbe-enriched organic media aboveground, as a sustainable alternative that maintains high groundwater levels while supporting plant productivity. [...] Read more.
Tropical peatlands in Indonesia are increasingly degraded by conventional oil palm practices involving drainage and chemical fertilizers. This study evaluates AeroHydro Culture (AHC), a method applying microbe-enriched organic media aboveground, as a sustainable alternative that maintains high groundwater levels while supporting plant productivity. Field trials were conducted at two sites: a managed plantation in Siak and a degraded, abandoned plantation in Pulang Pisau. Ten months after treatment, AHC plots showed development of aerial-like lateral roots, improved chlorophyll levels, and increased arbuscular mycorrhizae colonization (from 0–46% to 22–73% in Siak, and 1.7–20% to 16–60% in Pulang Pisau). In Siak, AHC significantly increased IAA-producing and proteolytic bacteria in the 0–25 cm soil layer and raised oil palm yield by 36% over controls. This yield benefit was sustained in 2025, five years after the initial application. In Pulang Pisau, AHC also enhanced microbial abundance and promoted growth in the native species Shorea balangeran, suggesting its potential for reforestation. Drone imagery confirmed visible long-term differences in canopy color, supporting lasting physiological improvement. These results demonstrate that AHC promotes plant–microbe symbiosis, enhances nutrient acquisition, and sustains oil palm yield under saturated conditions. AHC offers a promising strategy for peatland rehabilitation where ecological recovery and agricultural productivity must be achieved in parallel. Full article
Show Figures

Figure 1

23 pages, 1544 KB  
Article
Isolation and Molecular Characterization of Potential Plant Growth-Promoting Bacteria from Groundnut and Maize
by Bartholomew Saanu Adeleke and Soji Fakoya
Int. J. Plant Biol. 2025, 16(3), 102; https://doi.org/10.3390/ijpb16030102 - 5 Sep 2025
Viewed by 488
Abstract
Exploring microbial resources from coastal environments is crucial for enhancing food security; however, current knowledge remains limited. This study aimed to isolate and molecularly characterize bacteria associated with maize and groundnut, and to evaluate their potential as plant growth-promoting (PGP) agents. Rhizobacteria were [...] Read more.
Exploring microbial resources from coastal environments is crucial for enhancing food security; however, current knowledge remains limited. This study aimed to isolate and molecularly characterize bacteria associated with maize and groundnut, and to evaluate their potential as plant growth-promoting (PGP) agents. Rhizobacteria were isolated from rhizospheric soil, and endophytic bacteria were obtained from surface-sterilized and macerated plant roots. One gram of each sample was suspended in sterile distilled water in test tubes, serially diluted, and plated on nutrient agar. After incubation, distinct colonies were sub-cultured to obtain pure cultures for biochemical tests, screening for PGP traits, assessment of pH and salt tolerance, optimal growth conditions, bioinoculation potential, and molecular analysis. Out of sixty isolated bacteria, five potent strains, BS1-BS5, were identified. BS3 showed the highest mannanase activity, with a 2.3 cm zone of clearance, while BS2 exhibited high indole-3-acetic acid (IAA) and phosphate solubilization activities of 10.92 µg/mL and 10.78 mg/L. BS1 and BS4 demonstrated high drought tolerance, 0.94 and 0.98 at 10% PEG, with BS1 also showing maximum salt tolerance of 0.76. At 6.0 g and 2.0 g supplementation, BS1 and BS2 utilized 100% lactose and fructose. BS3 exhibited the highest percentage of antifungal activity, with a 30.12% inhibition rate. BS4 and BS5 promoted shoot lengths of 55.00 cm and 49.80 cm, respectively. Although the bacterial species isolated are generally considered pathogenic, their positive effects contributed significantly to maize growth. Full article
(This article belongs to the Topic New Challenges on Plant–Microbe Interactions)
Show Figures

Figure 1

14 pages, 2493 KB  
Article
Whole-Genome Analysis and Growth-Promoting Mechanism of Klebsiella pneumoniae YMK25 from Maize Rhizobacteria
by Xinhui Yu, Jinnan Xia, Shaojie Bi, Haipeng Wang and Changjiang Zhao
Plants 2025, 14(17), 2738; https://doi.org/10.3390/plants14172738 - 2 Sep 2025
Viewed by 518
Abstract
Plant growth-promoting rhizobacteria (PGPR) are microorganisms that enhance plant growth through various mechanisms. In the context of global agriculture, which faces fertilizer dependency and environmental pollution, developing eco-friendly microbial fertilizers has become crucial for enhancing agricultural sustainability. To identify highly effective PGPR, we [...] Read more.
Plant growth-promoting rhizobacteria (PGPR) are microorganisms that enhance plant growth through various mechanisms. In the context of global agriculture, which faces fertilizer dependency and environmental pollution, developing eco-friendly microbial fertilizers has become crucial for enhancing agricultural sustainability. To identify highly effective PGPR, we isolated 102 bacterial strains from maize rhizosphere soil using the dilution plating method. The strains were screened for growth-promoting abilities using functional media, resulting in the selection of strain YMK25 for its exceptional capabilities in nitrogen fixation, solubilization of inorganic and organic phosphorus, indole-3-acetic acid (IAA) production, and siderophore production. Strain YMK25 produced IAA at a concentration of 80.49 ± 0.68 μg/mL and exhibited a relative siderophore expression level of 43.68%. Morphological analysis, 16S rDNA gene sequence analysis, and whole-genome sequencing confirmed that strain YMK25 is Klebsiella pneumoniae. Whole-genome analysis revealed a total genome length of 5,115,280 bp, a GC content of 57.61%, and it contained 4746 coding genes. Gene annotation results indicated genes involved in siderophore synthesis, phosphatase activity, and other plant growth-promoting functions, which align with the verified characteristics of strain YMK25. Furthermore, this strain exhibited significant metabolic capabilities. The pot experiment demonstrated that strain YMK25 promotes maize plant growth and assists in nutrient fixation in these plants. In conclusion, strain YMK25 is a high-quality PGPR with substantial potential for application in agricultural production, presenting promise for widespread use in sustainable agriculture. Full article
Show Figures

Figure 1

26 pages, 7929 KB  
Article
Genomic and Metabolomic Insights into the Antimicrobial Activities and Plant-Promoting Potential of Streptomyces olivoreticuli YNK-FS0020
by Xin Liu, Yongqin Liao, Zhufeng Shi, Te Pu, Zhuli Shi, Jianpeng Jia, Yu Wang, Feifei He and Peiwen Yang
Microorganisms 2025, 13(9), 1964; https://doi.org/10.3390/microorganisms13091964 - 22 Aug 2025
Viewed by 614
Abstract
Streptomycetes are vital microbial resources used in agriculture and biotechnology and are diverse secondary metabolites. The Streptomyces olivoreticuli YNK-FS0020 strain was isolated from the rhizosphere soil in Yunnan’s Wuliangshan Forest; its functions were explored via a series of experiments and genomic analysis. Indoor [...] Read more.
Streptomycetes are vital microbial resources used in agriculture and biotechnology and are diverse secondary metabolites. The Streptomyces olivoreticuli YNK-FS0020 strain was isolated from the rhizosphere soil in Yunnan’s Wuliangshan Forest; its functions were explored via a series of experiments and genomic analysis. Indoor assays showed that this strain inhibits seven plant pathogens (including Fusarium oxysporum f. sp. cubense Tropical Race 4) and exhibits phosphorus solubilization, siderophore production, and plant-growth promotion. Genomic analysis revealed 47 secondary metabolite biosynthetic gene clusters: 12 shared over 60% similarity with known clusters (4 exhibited 100% similarity, involving antimycin and ectoine), while 19 showed low similarity or unknown functions, indicating the strain’s potential in the development of novel compounds. Genes related to tryptophan-IAA synthesis, phosphate metabolism, and siderophore systems were annotated, while metabolomics detected indole-3-acetic acid and kitasamycin, revealing mechanisms like hormonal regulation and antimicrobial secretion. In summary, YNK-FS0020 has potential for use in plant-growth promotion and disease control, aiding agricultural microbial resource utilization. Full article
(This article belongs to the Section Plant Microbe Interactions)
Show Figures

Figure 1

15 pages, 3465 KB  
Article
Identification of Bioactive Peptides from Caenorhabditis elegans Secretions That Promote Indole-3-Acetic Acid Production in Arthrobacter pascens ZZ21
by Shan Sun, Mengsha Li, Luchen Tao, Xiran Liu, Lei Ouyang, Gen Li, Feng Hu and Huixin Li
Microorganisms 2025, 13(8), 1951; https://doi.org/10.3390/microorganisms13081951 - 21 Aug 2025
Viewed by 482
Abstract
Caenorhabditis elegans, a free-living nematode model, secretes neuropeptides, but the ecological roles of its peptide exudates in regulating rhizosphere microbial activity remain largely unexplored. We identified six short peptides (P1, P9, P19, P20, P25, and P26) from C. elegans exudates that significantly [...] Read more.
Caenorhabditis elegans, a free-living nematode model, secretes neuropeptides, but the ecological roles of its peptide exudates in regulating rhizosphere microbial activity remain largely unexplored. We identified six short peptides (P1, P9, P19, P20, P25, and P26) from C. elegans exudates that significantly enhanced indole-3-acetic acid (IAA) production by the plant growth-promoting bacterium Arthrobacter pascens ZZ21. These peptides were heat-labile and proteinase K-sensitive but unaffected by DNase I or RNase A, confirming their proteinaceous (peptide) nature rather than nucleic acid origin. The retention of bioactivity in n-butanol extracts further supported their hydrophilic, peptide-like properties. LC-MS/MS identified 30 linear peptides, including the six bioactive ones, which exhibited distinct dose-dependent effects, suggesting diverse regulatory mechanisms. Despite their relatively low abundance, these peptides strongly promoted IAA production in the bacterial culture system across multiple concentrations. These findings reveal an unrecognized mechanism whereby free-living nematodes regulate rhizobacterial metabolism via secreted peptides, offering new insights into nematode-mediated chemical signaling. Therefore, this study advances understanding of plant–microbe–nematode interactions and highlights strategies for manipulating rhizosphere microbiota in sustainable agriculture. Full article
(This article belongs to the Section Plant Microbe Interactions)
Show Figures

Figure 1

24 pages, 2865 KB  
Article
Isolation and Screening of the Novel Multi-Trait Strains for Future Implications in Phytotechnology
by Zhuldyz Batykova, Valentina Pidlisnyuk, Aida Kistaubayeva, Sergey Ust’ak, Irina Savitskaya, Laila Saidullayeva and Aigerim Mamirova
Microorganisms 2025, 13(8), 1902; https://doi.org/10.3390/microorganisms13081902 - 15 Aug 2025
Viewed by 597
Abstract
Plant growth-promoting rhizobacteria (PGPRs) colonise the rhizosphere and root surfaces, enhancing crop development through a variety of mechanisms. This study evaluated microbial strains isolated from Triticum aestivum L. for key plant growth-promoting traits, including indole-3-acetic acid (IAA) production, phosphate and zinc (Zn) solubilisation, [...] Read more.
Plant growth-promoting rhizobacteria (PGPRs) colonise the rhizosphere and root surfaces, enhancing crop development through a variety of mechanisms. This study evaluated microbial strains isolated from Triticum aestivum L. for key plant growth-promoting traits, including indole-3-acetic acid (IAA) production, phosphate and zinc (Zn) solubilisation, nitrogen (N2) fixation, and antifungal activity. Among 36 isolates, 3 (AS8, AS23, AS31) exhibited strong growth-promoting potential. IAA production, citrate assimilation, carbohydrate fermentation, and catalase activity were observed to a comparable extent among the selected strains. AS8 showed the highest protease, lipase, and amylolytic activity, while AS23 demonstrated superior phosphate and Zn solubilisation. Notably, AS31 emerged as the most promising multi-trait isolate, exhibiting the highest levels of IAA production, N2 fixation, antifungal activity against five phytopathogens (Fusarium graminearum, F. solani, F. oxysporum, Pythium aphanidermatum, and Alternaria alternata), potentially linked to its hydrogen sulphide (H2S) production, and cellulolytic activity. Molecular identification based on 16S rRNA gene sequencing revealed the isolates as Stenotrophomonas indicatrix AS8, Pantoea agglomerans AS23, and Bacillus thuringiensis AS31. Seed germination assays confirmed the plant growth-promoting efficacy of these PGPR strains, with vigour index increases of up to 43.4-fold. Given their positive impact on seed germination and significant Zn-solubilising abilities, the selected strains represent promising candidates for use as bio-inoculants, offering a sustainable and eco-friendly strategy to enhance agricultural productivity in nutrient-deficient soils. Future research should validate the efficacy of these PGPR strains under pot conditions to confirm their potential for practical agricultural applications. Full article
Show Figures

Figure 1

20 pages, 2633 KB  
Article
Microbial–Organic Inputs with Glycine Supplementation Enhance Growth and Heat Stress Tolerance in Lettuce
by Kanjana Kudpeng, Ahmad Nuruddin Khoiri, Thanawat Duangfoo, Supapon Cheevadhanarak and Jiraporn Jirakkakul
Horticulturae 2025, 11(8), 935; https://doi.org/10.3390/horticulturae11080935 - 8 Aug 2025
Viewed by 764
Abstract
The escalating demand for sustainable agriculture calls for innovative strategies that enhance crop resilience while minimizing dependence on synthetic fertilizers. This study evaluated the synergistic effects of a microbial consortium (PYS), organic fertilizer (OF), glycine (Gly), and indole-3-acetic acid (IAA) on lettuce under [...] Read more.
The escalating demand for sustainable agriculture calls for innovative strategies that enhance crop resilience while minimizing dependence on synthetic fertilizers. This study evaluated the synergistic effects of a microbial consortium (PYS), organic fertilizer (OF), glycine (Gly), and indole-3-acetic acid (IAA) on lettuce under heat stress. The experiment was conducted in a greenhouse in Bangkok, Thailand, simulating tropical high-temperature conditions. The PYS+OF+Gly treatment significantly improved fresh weight, matching the performance of chemical fertilizer (CF) and indicating a strong growth-promoting synergy. Chlorophyll a, chlorophyll b, and carotenoid contents were higher in PYS or PYS+OF treatment, suggesting enhanced photosynthetic efficiency. At 60 days, PYS-based treatments also led to substantial increases in total phenolics and flavonoids, coupled with reduced lipid peroxidation and elevated antioxidant activities (DPPH, APX, CAT, POD, and SOD). However, vitamin C levels remained highest in the CF and OF controls, indicating a potential metabolic shift toward phenylpropanoid rather than ascorbate biosynthesis. Overall, our results demonstrate that combining microbial consortia with organic and biostimulant inputs could enhance growth, stress tolerance, and the nutritional quality of lettuce. This integrated approach presents a promising strategy for climate-resilient crop production and warrants further validation across different crops, environmental settings, and large-scale agricultural systems. Full article
(This article belongs to the Section Biotic and Abiotic Stress)
Show Figures

Figure 1

38 pages, 4443 KB  
Review
The Role of Plant Growth-Promoting Bacteria in Soil Restoration: A Strategy to Promote Agricultural Sustainability
by Mario Maciel-Rodríguez, Francisco David Moreno-Valencia and Miguel Plascencia-Espinosa
Microorganisms 2025, 13(8), 1799; https://doi.org/10.3390/microorganisms13081799 - 1 Aug 2025
Viewed by 2488
Abstract
Soil degradation resulting from intensive agricultural practices, the excessive use of agrochemicals, and climate-induced stresses has significantly impaired soil fertility, disrupted microbial diversity, and reduced crop productivity. Plant growth-promoting bacteria (PGPB) represent a sustainable biological approach to restoring degraded soils by modulating plant [...] Read more.
Soil degradation resulting from intensive agricultural practices, the excessive use of agrochemicals, and climate-induced stresses has significantly impaired soil fertility, disrupted microbial diversity, and reduced crop productivity. Plant growth-promoting bacteria (PGPB) represent a sustainable biological approach to restoring degraded soils by modulating plant physiology and soil function through diverse molecular mechanisms. PGPB synthesizes indole-3-acetic acid (IAA) to stimulate root development and nutrient uptake and produce ACC deaminase, which lowers ethylene accumulation under stress, mitigating growth inhibition. They also enhance nutrient availability by releasing phosphate-solubilizing enzymes and siderophores that improve iron acquisition. In parallel, PGPB activates jasmonate and salicylate pathways, priming a systemic resistance to biotic and abiotic stress. Through quorum sensing, biofilm formation, and biosynthetic gene clusters encoding antibiotics, lipopeptides, and VOCs, PGPB strengthen rhizosphere colonization and suppress pathogens. These interactions contribute to microbial community recovery, an improved soil structure, and enhanced nutrient cycling. This review synthesizes current evidence on the molecular and physiological mechanisms by which PGPB enhance soil restoration in degraded agroecosystems, highlighting their role beyond biofertilization as key agents in ecological rehabilitation. It examines advances in nutrient mobilization, stress mitigation, and signaling pathways, based on the literature retrieved from major scientific databases, focusing on studies published in the last decade. Full article
Show Figures

Figure 1

14 pages, 2284 KB  
Article
Rhizobacteria’s Effects on the Growth and Competitiveness of Solidago canadensis Under Nutrient Limitation
by Zhi-Yun Huang, Ying Li, Hu-Anhe Xiong, Misbah Naz, Meng-Ting Yan, Rui-Ke Zhang, Jun-Zhen Liu, Xi-Tong Ren, Guang-Qian Ren, Zhi-Cong Dai and Dao-Lin Du
Agriculture 2025, 15(15), 1646; https://doi.org/10.3390/agriculture15151646 - 30 Jul 2025
Viewed by 422
Abstract
The role of rhizosphere bacteria in facilitating plant invasion is increasingly acknowledged, yet the influence of specific microbial functional traits remains insufficiently understood. This study addresses this gap by isolating two bacterial strains, Bacillus sp. ScRB44 and Pseudomonas sp. ScRB22, from the rhizosphere [...] Read more.
The role of rhizosphere bacteria in facilitating plant invasion is increasingly acknowledged, yet the influence of specific microbial functional traits remains insufficiently understood. This study addresses this gap by isolating two bacterial strains, Bacillus sp. ScRB44 and Pseudomonas sp. ScRB22, from the rhizosphere of the invasive weed Solidago canadensis. We assessed their nitrogen utilization capacity and indoleacetic acid (IAA) production capabilities to evaluate their ecological functions. Our three-stage experimental design encompassed strain promotion, nutrient stress, and competition phases. Bacillus sp. ScRB44 demonstrated robust IAA production and significantly improved the nitrogen utilization efficiency, significantly enhancing S. canadensis growth, especially under nutrient-poor conditions, and promoting a shift in biomass allocation toward the roots, thereby conferring a competitive advantage over native species. Conversely, Pseudomonas sp. ScRB22 exhibited limited functional activity and a negligible impact on plant performance. These findings underscore that the ecological impact of rhizosphere bacteria on invasive weeds is closely linked to their specific growth-promoting functions. By enhancing stress adaptation and optimizing resource allocation, certain microorganisms may facilitate the establishment of invasive weeds in adverse environments. This study highlights the significance of microbial functional traits in invasion ecology and suggests novel approaches for microbiome-based invasive weed management, with potential applications in agricultural soil health improvement and ecological restoration. Full article
(This article belongs to the Topic Microbe-Induced Abiotic Stress Alleviation in Plants)
Show Figures

Figure 1

19 pages, 2164 KB  
Article
Community Structure, Growth-Promoting Potential, and Genomic Analysis of Seed-Endophytic Bacteria in Stipagrostis pennata
by Yuanyuan Yuan, Shuyue Pang, Wenkang Niu, Tingting Zhang and Lei Ma
Microorganisms 2025, 13(8), 1754; https://doi.org/10.3390/microorganisms13081754 - 27 Jul 2025
Viewed by 482
Abstract
Stipagrostis pennata is an important plant in desert ecosystems. Its seed-endophytic bacteria may play a critical role in plant growth and environmental adaptation processes. This study systematically analyzed the community composition and potential plant growth-promoting (PGP) functions of seed-endophytic bacteria associated with S. [...] Read more.
Stipagrostis pennata is an important plant in desert ecosystems. Its seed-endophytic bacteria may play a critical role in plant growth and environmental adaptation processes. This study systematically analyzed the community composition and potential plant growth-promoting (PGP) functions of seed-endophytic bacteria associated with S. pennata. The results showed that while the overall diversity of bacterial communities from different sampling sites was similar, significant differences were observed in specific functional genes and species abundances. Nine endophytic bacterial strains were isolated from the seeds, among which Bacillus altitudinis strain L7 exhibited phosphorus solubilizing capabilities, nitrogen fixing, IAA production, siderophore generation, and multi-hydrolytic enzyme activities. Additionally, the genomic sequencing of L7 revealed the key genes involved in plant growth promotion and environmental adaptation, including Na+ efflux systems, K+ transport systems, compatible solute synthesis genes, and the gene clusters associated with nitrogen metabolism, IAA synthesis, phosphate solubilization, and siderophore synthesis. Strain L7 exhibits salt and osmotic stress tolerance while promoting plant growth, providing a promising candidate for desert microbial resource utilization and plant biostimulant development. Full article
(This article belongs to the Section Plant Microbe Interactions)
Show Figures

Figure 1

14 pages, 2015 KB  
Article
Transcriptome Analysis Elucidates the Mechanism of an Endophytic Fungus Cladosporium sp. ‘BF-F’ in Enhancing the Growth of Sesuvium portulacastrum
by Dan Wang, Wenbin Zhang, Dinging Cao and Xiangying Wei
Agriculture 2025, 15(14), 1522; https://doi.org/10.3390/agriculture15141522 - 15 Jul 2025
Viewed by 579
Abstract
Plant growth-promoting rhizobacteria (PGPR) are beneficial rhizosphere microorganisms for plants. They can promote plant absorption of nutrients, inhibit pathogenic microorganisms, enhance plant tolerance to abiotic and biotic stresses, and improve plant growth. Isolating new beneficial microbes and elucidating their promoting mechanisms can facilitate [...] Read more.
Plant growth-promoting rhizobacteria (PGPR) are beneficial rhizosphere microorganisms for plants. They can promote plant absorption of nutrients, inhibit pathogenic microorganisms, enhance plant tolerance to abiotic and biotic stresses, and improve plant growth. Isolating new beneficial microbes and elucidating their promoting mechanisms can facilitate the development of microbial fertilizers. This study combined transcriptome sequencing and related experiments to analyze the mechanism by which the endophytic fungus ‘BF-F’ promotes the growth of Sesuvium portulacastrum. We inoculated the ‘BF-F’ fungus beside S. portulacastrum seedlings as the experimental group. Meanwhile, S. portulacastrum seedlings not inoculated with ‘BF-F’ were set as the control group. After inoculation for 0 d, 7 d, 14 d, 21 d, and 28 d, the plant height and the number of roots were measured. Furthermore, transcriptome sequencing on the roots and leaves of the S. portulacastrum was conducted. Differentially expressed genes were screened, and KEGG enrichment analysis was performed. Nitrogen metabolism-related genes were selected, and qRT-PCR was conducted on these genes. Furthermore, we analyzed the metabolomics of ‘BF-F’ and its hormone products. The results showed that inoculation of ‘BF-F’ significantly promoted the growth of S. portulacastrum. After ‘BF-F’ inoculation, a large number of genes in S. portulacastrum were differentially expressed. The KEGG pathway enrichment results indicated that the ‘BF-F’ treatment affected multiple metabolic pathways in S. portulacastrum, including hormone signal transduction and nitrogen metabolism. The auxin signaling pathway was enhanced because of a decrease in AUX expression and an increase in ARF expression. Contrary to the auxin signal transduction pathway, the zeatin (ZT) signaling pathway was suppressed after the ‘BF-F’ treatment. ‘BF-F’ increased the expression of genes related to nitrogen metabolism (NRT, AMT, NR, and GAGOT), thereby promoting the nitrogen content in S. portulacastrum. The metabolites of ‘BF-F’ were analyzed, and we found that ‘BF-F’ can synthesize IAA and ZT, which are important for plant growth. Overall, ‘BF-F’ can produce IAA and enhance the nitrogen use efficiency of plants, which could have the potential to be used for developing a microbial fertilizer. Full article
(This article belongs to the Section Crop Genetics, Genomics and Breeding)
Show Figures

Figure 1

19 pages, 5884 KB  
Article
Partitioned Recirculating Renovation for Traditional Rice–Fish Farming Induced Substantial Alterations in Bacterial Communities Within Paddy Soil
by Yiran Hou, Hongwei Li, Rui Jia, Linjun Zhou, Bing Li and Jian Zhu
Agronomy 2025, 15(7), 1636; https://doi.org/10.3390/agronomy15071636 - 4 Jul 2025
Viewed by 625
Abstract
Integrated agriculture–aquaculture (IAA), represented by integrated rice–fish farming, offers a sustainable production method that addresses global food issues and ensures food security. Partitioned recirculating renovation based on traditional integrated rice–fish farming is an effective way to facilitate the convenient harvesting of aquatic products [...] Read more.
Integrated agriculture–aquaculture (IAA), represented by integrated rice–fish farming, offers a sustainable production method that addresses global food issues and ensures food security. Partitioned recirculating renovation based on traditional integrated rice–fish farming is an effective way to facilitate the convenient harvesting of aquatic products and avoid difficulties associated with mechanical operations. To elucidate the impact of partitioned recirculating renovation on the bacterial communities within paddy field ecosystems, we investigated the soil environmental conditions and soil bacterial communities within integrated rice–fish farming, comparing those with and without partitioned recirculating renovations. The findings indicated a significant reduction in the bacterial community richness within paddy soil in the ditch (fish farming area), along with noticeable changes in the relative proportions of the predominant bacterial phyla in both the ditch and the rice cultivation area following the implementation of partitioned recirculating renovation. In both the ditch and the rice cultivation area, partitioned recirculating renovation diminished the edges and nodes in the co-occurrence networks for soil bacterial communities and considerably lowered the robustness index, negatively impacting the stability of bacterial communities in paddy soil. Simultaneously, the partitioned recirculating renovation substantially influenced the bacterial community assembly process, enhancing the relative contributions of stochastic processes such as dispersal limitation, drift, and homogenizing dispersal. In addition, partitioned recirculating renovation significantly altered the soil environmental conditions in both the ditch and the rice cultivation area, with environmental factors being markedly correlated with the soil bacterial community, especially the total nitrogen (TN) and total phosphorus (TP), which emerged as the primary environmental drivers influencing the soil bacterial community. Overall, these results elucidated the ecological impacts of partitioned recirculating renovation on the paddy soil from a microbiomic perspective, providing a microbial basis for optimizing partitioned rice–fish systems. Full article
(This article belongs to the Special Issue Microbial Interactions and Functions in Agricultural Ecosystems)
Show Figures

Figure 1

13 pages, 886 KB  
Article
Production of Indole-3-Acetic Acid and Degradation of 2,4-D by Yeasts Isolated from Pollinating Insects
by Camila G. de Oliveira, Angela Alves dos Santos, Eduardo J. P. Pritsch, Stéfany K. Bressan, Anderson Giehl, Odinei Fogolari, Altemir J. Mossi, Helen Treichel and Sérgio L. Alves
Microorganisms 2025, 13(7), 1492; https://doi.org/10.3390/microorganisms13071492 - 26 Jun 2025
Cited by 2 | Viewed by 619
Abstract
Synthetic herbicides such as glyphosate and 2,4-D are widely used in agriculture but can negatively impact non-target organisms, including microorganisms essential for ecological balance. Yeasts associated with pollinating insects play crucial roles in plant–insect interactions, yet their responses to herbicides remain understudied. This [...] Read more.
Synthetic herbicides such as glyphosate and 2,4-D are widely used in agriculture but can negatively impact non-target organisms, including microorganisms essential for ecological balance. Yeasts associated with pollinating insects play crucial roles in plant–insect interactions, yet their responses to herbicides remain understudied. This study aimed to evaluate the capacity of yeasts isolated from bees and beetles to produce indole-3-acetic acid (IAA), a plant-growth-promoting hormone, as well as their ability to tolerate or degrade glyphosate (in the commercial herbicide Zapp QI 620®) and 2,4-D (in the commercial Aminol 806®). Seven yeast strains were isolated from insects, identified via ITS sequencing, and assessed for IAA production in YPD medium. Growth assays were conducted under varying herbicide concentrations, and 2,4-D degradation was analyzed using high-performance liquid chromatography. All strains produced IAA, with Papiliotrema siamensis CHAP-239 exhibiting the highest yield (4.17 mg/L). Glyphosate completely inhibited growth in all strains, while 2,4-D showed dose-dependent effects, with four strains tolerating lower concentrations. Notably, Meyerozyma caribbica CHAP-248 degraded up to 46% of 2,4-D at 6.045 g/L. These findings highlight the ecological risks herbicides pose to beneficial yeasts and suggest the potential of certain strains for bioremediation in herbicide-contaminated environments. Overall, the study underscores the importance of preserving microbial biodiversity in the context of sustainable agriculture. Full article
(This article belongs to the Section Microbial Biotechnology)
Show Figures

Figure 1

Back to TopTop