error_outline You can access the new MDPI.com website here. Explore and share your feedback with us.
 
 
Sign in to use this feature.

Years

Between: -

Subjects

remove_circle_outline
remove_circle_outline
remove_circle_outline
remove_circle_outline
remove_circle_outline
remove_circle_outline
remove_circle_outline
remove_circle_outline
remove_circle_outline

Journals

remove_circle_outline
remove_circle_outline
remove_circle_outline
remove_circle_outline
remove_circle_outline
remove_circle_outline
remove_circle_outline
remove_circle_outline
remove_circle_outline
remove_circle_outline
remove_circle_outline

Article Types

Countries / Regions

remove_circle_outline
remove_circle_outline
remove_circle_outline

Search Results (565)

Search Parameters:
Keywords = micro-movements

Order results
Result details
Results per page
Select all
Export citation of selected articles as:
15 pages, 3373 KB  
Article
Strain and Electromyography Dual-Mode Stretchable Sensor for Real-Time Monitoring of Joint Movement
by Hanfei Li, Xiaomeng Zhou, Shouwei Yue, Qiong Tian, Qingsong Li, Jianhong Gong, Yong Yang, Fei Han, Hui Wei, Zhiyuan Liu and Yang Zhao
Micromachines 2026, 17(1), 77; https://doi.org/10.3390/mi17010077 - 6 Jan 2026
Abstract
Flexible sensors have emerged as critical interfaces for information exchange between soft biological tissues and machines. Here, we present a dual-mode stretchable sensor system capable of synchronous strain and electromyography (EMG) signal detection, integrated with wireless WIFI transmission for real-time joint movement monitoring. [...] Read more.
Flexible sensors have emerged as critical interfaces for information exchange between soft biological tissues and machines. Here, we present a dual-mode stretchable sensor system capable of synchronous strain and electromyography (EMG) signal detection, integrated with wireless WIFI transmission for real-time joint movement monitoring. The system consists of two key components: (1) A multi-channel gel electrode array for high-fidelity EMG signal acquisition from target muscle groups, and (2) a novel capacitive strain sensor made of stretchable micro-cracked gold film based on Styrene Ethylene Butylene Styrene (SEBS) that exhibits exceptional performance, including >80% stretchability, >4000-cycle durability, and fast response time (<100 ms). The strain sensor demonstrates position-independent measurement accuracy, enabling robust joint angle detection regardless of placement variations. Through synchronized mechanical deformation and electrophysiological monitoring, this platform provides comprehensive movement quantification, with data visualization interfaces compatible with mobile and desktop applications. The proposed technology establishes a generalizable framework for multimodal biosensing in human motion analysis, robotics, and human–machine interaction systems. Full article
(This article belongs to the Special Issue Flexible Materials and Stretchable Microdevices)
Show Figures

Figure 1

33 pages, 1141 KB  
Review
The Protonic Brain: Nanoscale pH Dynamics, Proton Wires, and Acid–Base Information Coding in Neural Tissue
by Valentin Titus Grigorean, Catalina-Ioana Tataru, Cosmin Pantu, Felix-Mircea Brehar, Octavian Munteanu and George Pariza
Int. J. Mol. Sci. 2026, 27(2), 560; https://doi.org/10.3390/ijms27020560 - 6 Jan 2026
Viewed by 39
Abstract
Emerging research indicates that neuronal activity is maintained by an architectural system of protons in a multi-scale fashion. Proton architecture is formed when organelles (such as mitochondria, endoplasmic reticulum, lysosomes, synaptic vesicles, etc.) are coupled together to produce dynamic energy domains. Techniques have [...] Read more.
Emerging research indicates that neuronal activity is maintained by an architectural system of protons in a multi-scale fashion. Proton architecture is formed when organelles (such as mitochondria, endoplasmic reticulum, lysosomes, synaptic vesicles, etc.) are coupled together to produce dynamic energy domains. Techniques have been developed to visualize protons in neurons; recent advances include near-atomic structural imaging of organelle interfaces using cryo-tomography and nanoscale resolution imaging of organelle interfaces and proton tracking using ultra-fast spectroscopy. Results of these studies indicate that protons in neurons do not diffuse randomly throughout the neuron but instead exist in organized geometric configurations. The cristae of mitochondrial cells create oscillating proton micro-domains that are influenced by the curvature of the cristae, hydrogen bonding between molecules, and localized changes in dielectric properties that result in time-patterned proton signals that can be used to determine the metabolic load of the cell and the redox state of its mitochondria. These proton patterns also communicate to the rest of the cell via hydrated aligned proton-conductive pathways at the mitochon-dria-endoplasmic reticulum junctions, through acidic lipid regions, and through nano-tethered contact sites between mitochondria and other organelles, which are typically spaced approximately 10–25 nm apart. Other proton architectures exist in lysosomes, endosomes, and synaptic vesicles. In each of these organelles, the V-ATPase generates steep concentration gradients across their membranes, controlling the rate of cargo removal from the lumen of the organelle, recycling receptors from the surface of the membrane, and loading neurotransmitters into the vesicles. Recent super-resolution pH mapping has indicated that populations of synaptic vesicles contain significant heterogeneity in the amount of protons they contain, thereby influencing the amount of neurotransmitter released per vesicle, the probability of vesicle release, and the degree of post-synaptic receptor protonation. Additionally, proton gradients in each organelle interact with the cytoskeleton: the protonation status of actin and microtubules influences filament stiffness, protein–protein interactions, and organelle movement, resulting in the formation of localized spatial structures that may possess some type of computational significance. At multiple scales, it appears that neurons integrate the proton micro-domains with mechanical tension fields, dielectric nanodomains, and phase-state transitions to form distributed computing elements whose behavior is determined by the integration of energy flow, organelle geometry, and the organization of soft materials. Alterations to the proton landscape in neurons (e.g., due to alterations in cristae structure, drift in luminal pH, disruption in the hydration-structure of the cell, or imbalance in the protonation of cytoskeletal components) could disrupt the intracellular signaling network well before the onset of measurable electrical or biochemical pathologies. This article will summarize evidence indicating that proton–organelle interaction provides a previously unknown source of energetic substrate for neural computation. Using an integrated approach combining nanoscale proton energy, organelle interface geometry, cytoskeletal mechanics, and AI-based multiscale models, this article outlines current principles and unresolved questions related to the subject area as well as possible new approaches to early detection and precise intervention of pathological conditions related to altered intracellular energy flow. Full article
(This article belongs to the Special Issue Molecular Synapse: Diversity, Function and Signaling)
Show Figures

Figure 1

22 pages, 1208 KB  
Review
Exosome and miRNA Content Engagement in the Physical Exercise Response: What Is Known to Date in Atheltic Horses?
by Giulia Sisia, Elisabetta Giudice, Alessandro Attanzio, Marilena Briglia, Giuseppe Piccione, Caterina Trunfio and Francesca Arfuso
Int. J. Mol. Sci. 2026, 27(1), 520; https://doi.org/10.3390/ijms27010520 - 4 Jan 2026
Viewed by 216
Abstract
To date, there is extensive scientific evidence affirming that physical exercise plays a fundamental role in both the prevention and treatment of various pathological conditions in humans as well as in animals. It is understood that the advantages of movement and exercise have [...] Read more.
To date, there is extensive scientific evidence affirming that physical exercise plays a fundamental role in both the prevention and treatment of various pathological conditions in humans as well as in animals. It is understood that the advantages of movement and exercise have a multifactorial origin and they depend on a category of bioactive molecules vehicolated by extracellular microvesicles known as exosomes. The exosomes act as potential delivery systems for messages within the organism. These findings have drawn significant attention, leading researchers to further investigate the role of exosomes, delving into the study of microRNAs (miRNAs). In particular, these molecules are found inside exosomes and play a key role in cellular communication, with an impact on numerous physiological functions of the organism. It has been suggested that during physical exercise, the expression levels of miRNAs increase in parallel with those of exosomes, and their release enables intercellular communication in multicellular organisms, thereby regulating both cell growth and division. Studies have not only been carried out in humans, but also in laboratory animals and in mammals following exercise. Specifically, a change in exosome expression has been found in athletic horses following physical exercise. The aim of the current review was to highlight what is known about the role played by exosomes and miRNAs during physical exercise in equine species by considering, on a broad scale, the published data on this topic, including comparative data from humans and rodent models. Full article
(This article belongs to the Collection Feature Papers Collection in Biochemistry)
Show Figures

Figure 1

17 pages, 12851 KB  
Article
The Fenestras Elisabeth Complex (Nova Structura) in the Parietal Bone of Plecotus auritus: Morphology, Topography, and Functional Significance
by Grzegorz Kłys and Paweł Socha
Animals 2026, 16(1), 109; https://doi.org/10.3390/ani16010109 - 30 Dec 2025
Viewed by 105
Abstract
Fenestrations of mammalian skull bones are rare and poorly understood, particularly within the parietal bone. In bats—a group characterised by advanced sensory specialisation and echolocation—superficial modifications of the cranial vault may have functional significance, yet their occurrence and organisation remain insufficiently documented. In [...] Read more.
Fenestrations of mammalian skull bones are rare and poorly understood, particularly within the parietal bone. In bats—a group characterised by advanced sensory specialisation and echolocation—superficial modifications of the cranial vault may have functional significance, yet their occurrence and organisation remain insufficiently documented. In this study, we describe an exceptional fenestrated complex in the posterolateral parietal bone of Plecotus auritus, comprising structural elements not previously recorded within Vespertilionidae. The aim of the study was to characterise in detail the morphology, topography, and variability of the surface structure termed Fenestras Elisabeth (nova structura), with particular emphasis on its relationship with the auditory region and its potential biomechanical–acoustic significance. The material consisted of ten skulls of P. auritus, examined using micro-CT scanning, 3D reconstruction, and qualitative analysis of fenestrated structures and their topographic relationships. Within the posterolateral parietal region, we identified an extensive and repeatable fenestrated complex comprising numerous fenestrae parietales Elisabeth, paired fenestrula Elisabeth, a central depression (recessus acousticus parietalis), and a bordering fissure (fissura occipitalis mastoidea, nova structura topographica). The complex exhibited a stable spatial organisation despite individual variation in the number and shape of the openings. All fenestrations were confined to the posterolateral zone, and the contact between the fenestrae and the fissura occipitalis mastoidea represented a diagnostic feature. Our analysis suggests that the Fenestras Elisabeth complex may be associated with combined biomechanical and acoustic constraints: (1) a biomechanical role—reducing strain in the parietal lamina during movements of the extremely mobile and elongated pinnae; and (2) an acoustic role—modulating micro-vibrations transmitted to the inner-ear structures. Individual variability and lateral asymmetry of fenestration patterns indicate a high degree of adaptive plasticity in this region of the skull. This study provides the first documentation of a large, structurally organised parietal-bone fenestration complex in Plecotus auritus, expanding current knowledge of bat cranial morphology and suggesting a likely functional significance for these previously unknown bony structures. Full article
(This article belongs to the Section Mammals)
Show Figures

Figure 1

22 pages, 4148 KB  
Article
Computational Methods and Simulation of UAVs’ Micro-Motion Echo Characteristics Using Distributed Radar Detection
by Tao Zhang and Xiaoru Song
Symmetry 2026, 18(1), 26; https://doi.org/10.3390/sym18010026 - 23 Dec 2025
Viewed by 183
Abstract
The large number of UAVs under supervision at low altitudes have brought serious security risks to the field of air defense. Accurately analyzing the characteristics of UAVs’ echo signals is of great research significance for the detection and recognition of UAVs. Based on [...] Read more.
The large number of UAVs under supervision at low altitudes have brought serious security risks to the field of air defense. Accurately analyzing the characteristics of UAVs’ echo signals is of great research significance for the detection and recognition of UAVs. Based on the principle of radar detection, the echo spatial correlation in the distributed radar detection mode is studied. According to the influence of different movement speeds on the micro-motion characteristics of UAVs, the echo signal models of UAVs in two flight states are established. Combined with the instantaneous micro-Doppler frequency model of the ideal motion state of UAVs, micro-Doppler frequency calculation functions of UAVs at different attitude angles are constructed. Through simulation calculation, the variation curves between the observation angle and the echo spatial correlation using different detection distances are given. Based on time–frequency images of UAVs in their ideal motion state, changes in the time–frequency images at different motion speeds and attitude angles are analyzed. These research results will help radar detection systems to accurately recognize UAVs in an uncertain motion state and can also provide a basis for predicting the next motion action of UAVs in subsequent target tracking. Full article
(This article belongs to the Section Engineering and Materials)
Show Figures

Figure 1

21 pages, 3813 KB  
Article
HMRM: A Hybrid Motion and Region-Fused Mamba Network for Micro-Expression Recognition
by Zhe Guo, Yi Liu, Rui Luo, Jiayi Liu and Lan Wei
Sensors 2025, 25(24), 7672; https://doi.org/10.3390/s25247672 - 18 Dec 2025
Viewed by 323
Abstract
Micro-expression recognition (MER), as an important branch of intelligent visual sensing, enables the analysis of subtle facial movements for applications in emotion understanding, human–computer interaction and security monitoring. However, existing methods struggle to capture fine-grained spatiotemporal dynamics under limited data and computational resources, [...] Read more.
Micro-expression recognition (MER), as an important branch of intelligent visual sensing, enables the analysis of subtle facial movements for applications in emotion understanding, human–computer interaction and security monitoring. However, existing methods struggle to capture fine-grained spatiotemporal dynamics under limited data and computational resources, making them difficult to deploy in real-world sensing systems. To address this limitation, we propose HMRM, a hybrid motion and region-fused Mamba network designed for efficient and accurate MER. HMRM enhances motion representation through a hybrid feature augmentation module that integrates gated recurrent unit (GRU)-attention optical flow estimation with a regional MotionMix enhancement strategy to increase motion diversity. Furthermore, it employs a grained Mamba encoder to achieve lightweight and effective long-range temporal modeling. Additionally, a regions feature fusion strategy is introduced to strengthen the representation of localized expression dynamics. Experiments on multiple MER benchmark datasets demonstrate that HMRM achieves state-of-the-art performance with strong generalization and low computational cost, highlighting its potential for integration into compact, real-time visual sensing and emotion analysis systems. Full article
(This article belongs to the Special Issue Emotion Recognition and Cognitive Behavior Analysis Based on Sensors)
Show Figures

Figure 1

14 pages, 1965 KB  
Article
Humanoid Robotic Head Movement Platform
by Alu Abdullah Al-Saadi, Nabil Yassine, Steve Barker, John Durodola and Khaled Hayatleh
Electronics 2025, 14(24), 4925; https://doi.org/10.3390/electronics14244925 - 16 Dec 2025
Viewed by 317
Abstract
Humanoid robots have gained public awareness and intrigue over the last few years. During this time, there has been a greater push to develop robots to behave more like humans, not just in how they speak but also in how they move. A [...] Read more.
Humanoid robots have gained public awareness and intrigue over the last few years. During this time, there has been a greater push to develop robots to behave more like humans, not just in how they speak but also in how they move. A novel humanoid robotic head-and-neck platform designed to facilitate the investigation of movement characteristics is proposed. The research presented here aims to characterise the motion of a humanoid robotic head, Aquila, to aid the development of humanoid robots with head movements more similar to those of humans. This platform also aims to promote further studies in human head motion. This paper proposes a design for a humanoid robotic head platform capable of performing three principal human motion patterns: yaw, pitch, and roll. Using the Arduino IDE (2.3.2) and MATLAB/Simulink (2024b), all three types of movement were implemented and tested with various parameters. Each type of movement is quantified in terms of range, stability, and dynamic response using time-series data collected over 35 s of continuous observation. The results demonstrate that a humanoid robot head can mimic the range of displacement of a healthy human subject but does not exhibit the same smoothness and micro-adjustments observed in dynamic human head movements. An RMSE of under 0.3 rad is achieved for each motion axis—pitch, roll, and yaw—when comparing robotic head movement to human head movement. The investigation of preliminary results highlights the need for further system optimisation. This paper’s conclusion highlights that the bio-inspired control concept, paired with the proposed 8-stepper motor platform, enhances realism and interaction in the context of head movement in robotic systems. Full article
(This article belongs to the Special Issue Advances in UAV-Assisted Wireless Communications)
Show Figures

Figure 1

12 pages, 792 KB  
Article
Evaluation of Laser Therapy During Orthodontic Treatment in Adult Patients by Determining N-Telopeptide Levels in Gingival Crevicular Fluid
by Luminița Lazăr, Dora Maria Popescu, Timea Dakó, Mihaela Moisei, Dorin Nicolae Gheorghe, Anamaria Bud, Mădălina Oprica, Mariana Păcurar and Ana-Petra Lazăr
Medicina 2025, 61(12), 2170; https://doi.org/10.3390/medicina61122170 - 5 Dec 2025
Viewed by 296
Abstract
Background and Objectives: Orthodontic tooth movement triggers micro-trauma in the periodontal ligament, leading to a balanced process of bone resorption and apposition mediated by local inflammatory responses. Monitoring N-telopeptide levels in gingival crevicular fluid (GCF) and applying low-intensity laser biostimulation can help [...] Read more.
Background and Objectives: Orthodontic tooth movement triggers micro-trauma in the periodontal ligament, leading to a balanced process of bone resorption and apposition mediated by local inflammatory responses. Monitoring N-telopeptide levels in gingival crevicular fluid (GCF) and applying low-intensity laser biostimulation can help optimize mechanical loading, reduce adverse effects, and enhance tissue remodeling during treatment. Materials and Methods: This study had a split-mouth observational design. From 30 patients with ages between 20 and 50, with standardized fixed orthodontic treatment, GCF samples were collected from both control and laser-treated hemiarches before and 14 days after appliance activation. Low-intensity laser therapy (LLLT) was applied to selected sites to assess its effect on N-telopeptide levels, a marker of bone resorption, with samples analyzed via ELISA and results compared statistically to evaluate the impact of laser biostimulation during orthodontic treatment. Statistical analysis was performed using paired t-tests or Wilcoxon tests for two-group comparisons. Results: N-telopeptide levels in gingival crevicular fluid increased significantly from baseline (T0) to 14 days (T1) in both the laser-treated (HL) and control (sham) hemiarches (HC), with higher values observed in the lasered side. Statistical analysis confirmed significant differences between HL and HC at T1 (p < 0.0001), as well as between each T1 group and baseline, indicating that low-intensity laser therapy enhanced bone resorption activity during orthodontic tooth movement. Conclusions: N-telopeptide exhibited higher values in the hemiarches where laser therapy was applied than in the control ones. This provides a rationale for using laser biostimulation as an adjuvant during orthodontic treatment to modulate tissue restructuring. Full article
(This article belongs to the Special Issue Recent Advances in Orthodontics and Dental Medicine)
Show Figures

Figure 1

22 pages, 6329 KB  
Article
Optimizing Pedestrian Evacuation: A PSO Approach to Interpretability and Herd Dynamics
by Jin Cui, Peijiang Ding and Qiangyu Zheng
Buildings 2025, 15(23), 4298; https://doi.org/10.3390/buildings15234298 - 27 Nov 2025
Viewed by 270
Abstract
Traditional pedestrian evacuation models struggle to balance global exit guidance with local, individual decision making under hazards. We address this by decomposing long-term objectives into Particle Swarm Optimization (PSO)-based micro-goals and proposing a hybrid Cellular Automaton (CA) and PSO model. The hybrid design [...] Read more.
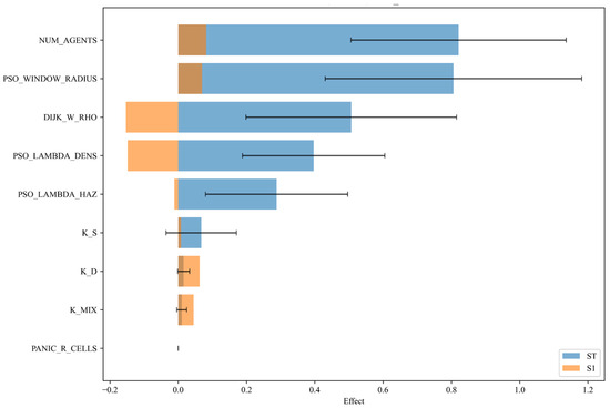
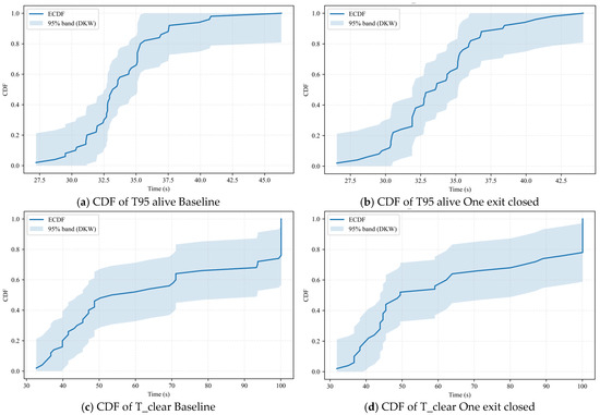
Traditional pedestrian evacuation models struggle to balance global exit guidance with local, individual decision making under hazards. We address this by decomposing long-term objectives into Particle Swarm Optimization (PSO)-based micro-goals and proposing a hybrid Cellular Automaton (CA) and PSO model. The hybrid design reduces the decoupling between spatial discretization and individual choices and more tightly couples hazard and density fields with movement decisions. Two contributions are central. First, we develop an autonomous following pathfinding mechanism (AFPM) that linearly blends the direction toward a PSO micro-goal with a herd following direction and adds a small reward for directional consistency. This mitigates path chaos from purely autonomous moves and congestion aggregation from purely herding moves. Second, we build a multi-dimensional interpretability and robustness framework that combines the empirical Cumulative Distribution Function (CDF) and a kernel-smoothed Probability Density Function (PDF) of key evacuation times (T_clear, T_95%_alive) together with vulnerability curves, to analyze the data and assess robustness. It combines Shapley Sobol analysis to quantify parameter effects on clearance time T_clear and the 95% survival evacuation time T_95%_alive, with CDF/PDF summaries and vulnerability curves to assess anti-interference performance. Experiments use a simulated underground shopping mall. In a 60 pedestrian case, a geometry-only baseline yields T_clear 33 s; hazard- and density-aware strategies produce slightly longer T_clear but reduce peak bottleneck congestion by 20–30%. When one exit is closed, the exceedance probability at τ=70 s drops from 0.44 to 0.36, reducing long tail risk. Compared with geometry-based Dijkstra, the proposed model slightly increases clearance time while lowering peak congestion by 20–30%, achieving a balance between efficiency and safety. The model and evaluation protocol provide technical support for evacuation policy, facility layout, and emergency system design in large complex buildings. Full article
(This article belongs to the Section Architectural Design, Urban Science, and Real Estate)
Show Figures

Figure 1

12 pages, 2183 KB  
Article
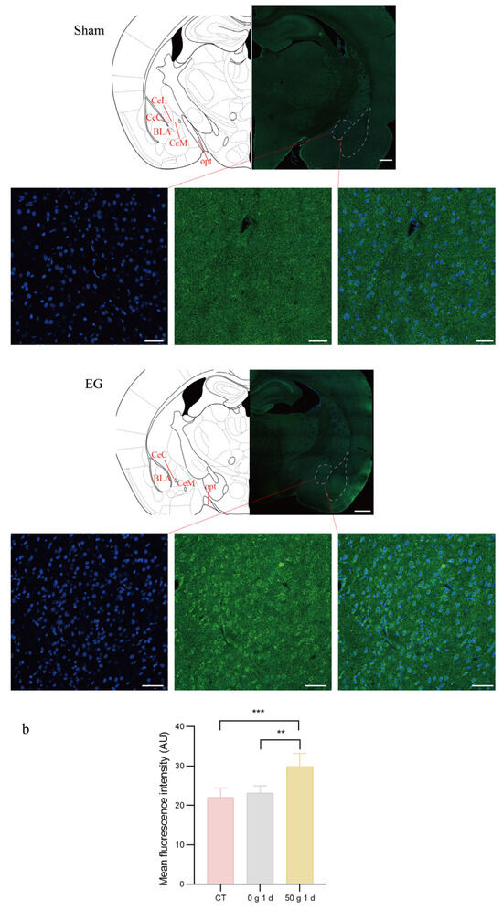
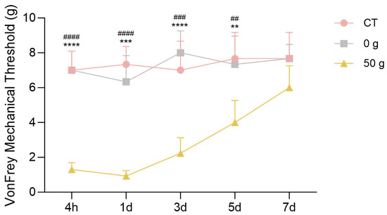
Increased Expression of TRPV1 in the Central Nucleus of the Amygdala Is Involved in Orthodontic Pain in Rats
by Rui Wang, Weining Wang, Yuxin Kang, Yuhuan Jiang, Xiaoyu Tang, Yaxing Shu, Jiayi Zhou, Zhiping Hu, Shuang Wang and Hu Qiao
Int. J. Mol. Sci. 2025, 26(23), 11296; https://doi.org/10.3390/ijms262311296 - 22 Nov 2025
Viewed by 474
Abstract
Transient receptor potential vanilloid type 1 (TRPV1) is known to gate nociceptive signals, while the central amygdala (CeA) plays a key role in encoding pain and avoidance behaviors; however, whether TRPV1 within CeA mediate orthodontic tooth-moving pain remains unclear. To investigate this, we [...] Read more.
Transient receptor potential vanilloid type 1 (TRPV1) is known to gate nociceptive signals, while the central amygdala (CeA) plays a key role in encoding pain and avoidance behaviors; however, whether TRPV1 within CeA mediate orthodontic tooth-moving pain remains unclear. To investigate this, we examined the role of TRPV1 in the CeA using a rat model of experimental tooth movement. A total of 118 Sprague-Dawley rats were divided into control, 30 g, 50 g, and 80 g force groups. Micro-CT confirmed successful tooth movement, and the 50 g force was selected as optimal. Pain was assessed by mechanical hypersensitivity using the von Frey test, face-grooming, and the Rat Grimace Scale (RGS). All measures showed maximal changes at day 1 and returned to baseline by day 7. Immunohistochemistry and western blot analysis in the 50 g group revealed upregulation of TRPV1 in the CeA following force application, a trajectory that paralleled the pain behavioral responses. These findings indicate that experimental tooth movement upregulates TRPV1 in the CeA and that this channel contributes to orthodontic pain. Full article
(This article belongs to the Special Issue TRP Channels: Mechanisms, Functions, and Therapeutic Implications)
Show Figures

Figure 1

20 pages, 5630 KB  
Article
Correlation Analysis Between Pore Structure and Mechanical Strength of Mine Filling Materials Based on Low-Field NMR and Fractal Theory
by Wei Wang, Yajun Wang, Weixing Lin, Long Dou, Dongrui Liu, Yuding Wang, Shitong Zhou and Yao Liu
Minerals 2025, 15(11), 1211; https://doi.org/10.3390/min15111211 - 17 Nov 2025
Viewed by 321
Abstract
Filling mining offers significant technical advantages in controlling rock mass movement and preventing disasters. Investigating the correlation between the macro- and micro-scale characteristics of filling materials will help optimize this process. The paper analyzes the variation patterns and mechanisms of the pore structure [...] Read more.
Filling mining offers significant technical advantages in controlling rock mass movement and preventing disasters. Investigating the correlation between the macro- and micro-scale characteristics of filling materials will help optimize this process. The paper analyzes the variation patterns and mechanisms of the pore structure and mechanical strength characteristics of the filling body based on low-field nuclear magnetic resonance (NMR) technology and fractal theory, exploring the relationship between microstructure and macroscopic features. Results indicate that as the cement-to-sand ratio or mass concentration decreases, the total pore structure count in the filling material increases, predominantly consisting of micropores that account for over 76%. The complexity of total pores, micropores, mesopores, and macropores progressively decreases. Mechanical strength exhibits a positive correlation with both the cement-to-sand ratio and mass concentration. A reduced cement-to-sand ratio diminishes hydration products, lowering the cohesive strength of tailings particles. As mass concentration increases, the internal structure of the filling body becomes denser, enhancing its mechanical properties. An increase in pore number progressively improves pore connectivity, reducing fluid flow resistance. The porosity of the pore structure exhibits a strong correlation with fractal dimension, mechanical strength, and permeability coefficient, with a coefficient of determination ranging from 0.631 to 0.996. The strength prediction model constructed using mesopore porosity and material intrinsic characteristics also demonstrated excellent accuracy. Full article
(This article belongs to the Special Issue Advances in Mine Backfilling Technology and Materials, 2nd Edition)
Show Figures

Figure 1

1971 KB  
Proceeding Paper
Design and Implementation of an IoT-Based Respiratory Motion Sensor
by Bardia Baraeinejad, Maryam Forouzesh, Saba Babaei, Yasin Naghshbandi, Yasaman Torabi and Shabnam Fazliani
Eng. Proc. 2025, 118(1), 44; https://doi.org/10.3390/ECSA-12-26582 - 7 Nov 2025
Viewed by 161
Abstract
In the last few decades, several wearable devices have been designed to monitor respiration rate to capture pulmonary signals with a higher accuracy and reduce patients’ discomfort during use. In this article, we present the design and implementation of a device for the [...] Read more.
In the last few decades, several wearable devices have been designed to monitor respiration rate to capture pulmonary signals with a higher accuracy and reduce patients’ discomfort during use. In this article, we present the design and implementation of a device for the real-time monitoring of respiratory system movements. When breathing, the circumference of the abdomen and thorax changes; therefore, we used a Force-Sensing Resistor (FSR) attached to a Printed Circuit Board (PCB) to measure this variation as the patient inhales and exhales. The mechanical strain this causes changes the FSR electrical resistance accordingly. Also, for streaming this variable resistance on an Internet of Things (IoT) platform, Bluetooth Low Energy (BLE) 5 is utilized due to its adequate throughput, high accessibility, and the possibility of power consumption reduction. In addition to the sensing mechanism, the device includes a compact, energy-efficient micro-controller and a three-axis accelerometer that captures body movement. Power is supplied by a rechargeable Lithium-ion Polymer (LiPo) battery, and energy usage is optimized using a buck converter. For comfort and usability, the enclosure was 3D printed using Stereolithography (SLA) technology to ensure a smooth, ergonomic shape. This setup allows the device to operate reliably over long periods without disturbing the user. Altogether, the design supports continuous respiratory tracking in both clinical and home settings, offering a practical, low-power, and portable solution. Full article
Show Figures

Figure 1

11 pages, 1565 KB  
Article
Internal and External Loads in U16 Women’s Basketball Players Participating in U18 Training Sessions: A Case Study
by Álvaro Bustamante-Sánchez, Enrique Alonso-Perez-Chao, Rubén Portes and Nuno Leite
Appl. Sci. 2025, 15(21), 11820; https://doi.org/10.3390/app152111820 - 6 Nov 2025
Viewed by 539
Abstract
Background: This study aimed to analyze and compare the internal and external training load responses in U16 female basketball players participating in a micro-cycle with the U18 team from the same club. Methods: Twelve U16 and six U18 female basketball players completed two [...] Read more.
Background: This study aimed to analyze and compare the internal and external training load responses in U16 female basketball players participating in a micro-cycle with the U18 team from the same club. Methods: Twelve U16 and six U18 female basketball players completed two U18-team training sessions (MD-3 and MD-1; 90 min each). The internal load (heart rate metrics) and external load (accelerations, decelerations, speed, and distance) were measured using Polar Team Pro sensors. Differences between groups were analyzed using t-tests and Cohen’s d effect sizes. Results: No significant differences (p > 0.05) were found between age categories for either the internal or external load variables. U16 players showed slightly higher maximum heart rate percentages (96.5% vs. 94.7%, ES = 0.29) but similar average heart rate and time in heart rate zones. For the external load, both groups exhibited comparable values in total distance, average speed, and movement across speed and acceleration/deceleration zones. Effect sizes were mostly small, with moderate differences found in specific acceleration and deceleration zones. Conclusions: U16 players training with the U18 team experienced similar internal and external loads, suggesting that they can cope with the physical and physiological demands of older-age-group training. These findings support the inclusion of younger players in higher-age-group training environments as part of their long-term athletic development. Full article
(This article belongs to the Section Applied Biosciences and Bioengineering)
Show Figures

Figure 1

20 pages, 2366 KB  
Article
Optimized Design of a Sub-Arc-Second Micro-Drive Rotary Mechanism Based on the Swarm Optimization Algorithm
by Na Zhang, Dongmei Wang, Kai Li, Zhenyang Lv, Haochen Gui, Yizhi Yang and Manzhi Yang
Micromachines 2025, 16(10), 1190; https://doi.org/10.3390/mi16101190 - 21 Oct 2025
Viewed by 469
Abstract
The optimization of the micro-motion rotary mechanism aims to obtain the maximum rotation angle in a certain space and increase the compensation range of the micro-motion mechanism. Aiming to address the disadvantages of a small movement stroke, low positioning accuracy, and limited research [...] Read more.
The optimization of the micro-motion rotary mechanism aims to obtain the maximum rotation angle in a certain space and increase the compensation range of the micro-motion mechanism. Aiming to address the disadvantages of a small movement stroke, low positioning accuracy, and limited research on the sub-arc-second level of precision micro-drive mechanism, a micro-drive mechanism was designed in this study and structural optimization was performed to obtain the maximum output angle. Additionally, the performance of the optimized mechanism was investigated. First, based on the principle of a flexure hinge guide and conversion, a micro-drive rotary mechanism that could transform the linear motion of piezoelectric ceramics into rotating motion accurately without parasitic motion and non-motion direction force was designed. Second, its structural optimization was achieved using the particle swarm optimization algorithm. Third, analyses of the drive performance and kinematics of the system were conducted. Finally, a performance test platform for the micro-drive rotary mechanism was built, its positioning performance and dynamic characteristics were verified experimentally, and the maximum rotary displacements and positioning error of the system were calculated. This research has certain reference value for studies of ultra-precision positioning. Full article
(This article belongs to the Special Issue Advanced Manufacturing Technology and Systems, 4th Edition)
Show Figures

Figure 1

19 pages, 11176 KB  
Article
Multiscale Investigation of the Anti-Friction Mechanism in Graphene Coatings on Copper Substrates: Substrate Reinforcement via Microstructural Evolution
by Di Ran, Zewei Yuan, Po Du, Ning Wang, Na Wang, Li Zhao, Song Feng, Weiwei Jia and Chaoqun Wu
Lubricants 2025, 13(10), 457; https://doi.org/10.3390/lubricants13100457 - 20 Oct 2025
Viewed by 2323
Abstract
Graphene exhibits great potential as an anti-friction coating material in MEMS. However, its underlying microscopic friction-reduction mechanism remains unclear. In this paper, the microstructural evolution and nanomechanical behavior of graphene coatings on copper substrates were systematically investigated by AFM friction experiments and MD [...] Read more.
Graphene exhibits great potential as an anti-friction coating material in MEMS. However, its underlying microscopic friction-reduction mechanism remains unclear. In this paper, the microstructural evolution and nanomechanical behavior of graphene coatings on copper substrates were systematically investigated by AFM friction experiments and MD simulations. MD simulations reveal that the anti-friction properties of graphene coatings primarily stem from microstructural regulation and load-bearing reinforcement of the substrate. The graphene coatings increase indentation diameter by forming transition radii at the indentation edges, and suppress the plowing effect of the substrate by restricting atomic upward movement, both of which enhance the dislocation density and load-bearing capacity of the substrate. Additionally, graphene coatings also reduce the scratch edge angle, weakening the interlocking effect between the substrate and tip, further lowering the friction force. Experimental results indicate that the tribological behavior of graphene coatings exhibits staged characteristics: graphene coatings show excellent ultrafriction properties under intact structural conditions, while showing a higher friction force in wear and tear states. This research provides a theoretical basis and technical guidance for the development of anti-friction and wear-resistant coatings for micro-nano devices. Full article
Show Figures

Graphical abstract

Back to TopTop