Sign in to use this feature.

Years

Between: -

Subjects

remove_circle_outline
remove_circle_outline
remove_circle_outline
remove_circle_outline
remove_circle_outline
remove_circle_outline
remove_circle_outline
remove_circle_outline
remove_circle_outline

Journals

remove_circle_outline
remove_circle_outline
remove_circle_outline
remove_circle_outline
remove_circle_outline
remove_circle_outline
remove_circle_outline
remove_circle_outline
remove_circle_outline
remove_circle_outline
remove_circle_outline
remove_circle_outline
remove_circle_outline

Article Types

Countries / Regions

remove_circle_outline
remove_circle_outline
remove_circle_outline
remove_circle_outline
remove_circle_outline

Search Results (883)

Search Parameters:
Keywords = membrane separation technology

Order results
Result details
Results per page
Select all
Export citation of selected articles as:
28 pages, 2709 KB  
Review
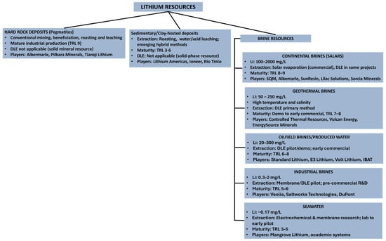
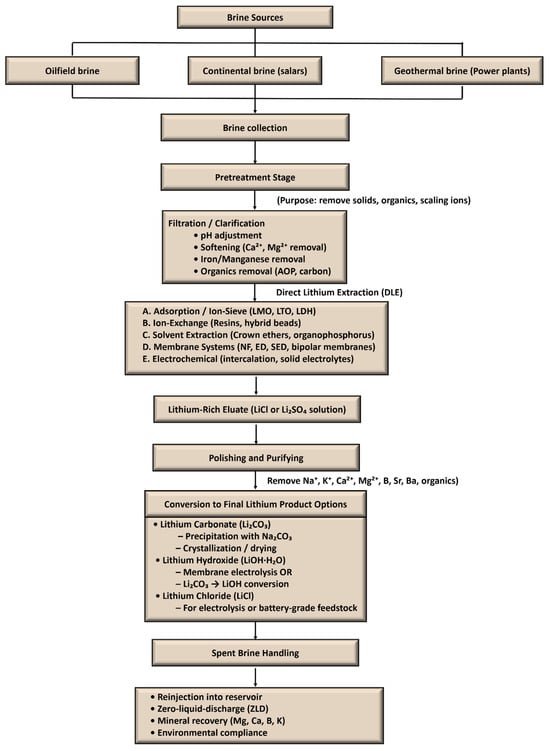
Review of Direct Lithium Extraction Methods: Recent Advances and Outlook
by Olukayode Fatoki, Santosh Kumar Parupelli, Manpreet Kaur, Alex Mathew, Amir Rehmat and Salil Desai
Batteries 2026, 12(4), 133; https://doi.org/10.3390/batteries12040133 (registering DOI) - 12 Apr 2026
Abstract
Lithium-ion batteries (LIBs) have become the prominent energy storage technology because of their high specific energy, longer lifespan, and excellent efficiency. Traditional lithium extraction processes are energy intensive and time-consuming. Direct lithium extraction (DLE) methods provide a more sustainable and efficient alternative. This [...] Read more.
Lithium-ion batteries (LIBs) have become the prominent energy storage technology because of their high specific energy, longer lifespan, and excellent efficiency. Traditional lithium extraction processes are energy intensive and time-consuming. Direct lithium extraction (DLE) methods provide a more sustainable and efficient alternative. This review offers a comprehensive overview of lithium-ion battery resources and direct lithium extraction methods. The detailed discussion of the DLE methods, which include adsorption, ion exchange, solvent extraction, membranes separation, and electro-chemical systems is presented. A comprehensive analysis of the recent technological advances of the direct lithium extraction processes in terms of technology readiness levels, and commercial potential is reported. The advantages and the technical challenges of the DLE methods are also reported. Finally, the review outlines the artificial intelligence outlook of the DLE processes. The review aims to provide deeper insights into the limitations and the opportunities of DLE methods towards crucial future research efforts for lithium-ion batteries advancements. Full article
Show Figures

Figure 1

32 pages, 19257 KB  
Review
Metal–Organic Frameworks for CO2 Capture: Improving Adsorption Performance Through Modification Methods
by Hongyu Pan, Li Xu, Tong Xu and Bin Zhu
Nanomaterials 2026, 16(8), 454; https://doi.org/10.3390/nano16080454 - 10 Apr 2026
Abstract
Industrial emissions of large amounts of CO2 have seriously affected human health, making it imperative to reduce atmospheric CO2 concentrations. However, carbon capture technologies such as chemical absorption and membrane separation are still limited by high regenerative energy costs, corrosion, and [...] Read more.
Industrial emissions of large amounts of CO2 have seriously affected human health, making it imperative to reduce atmospheric CO2 concentrations. However, carbon capture technologies such as chemical absorption and membrane separation are still limited by high regenerative energy costs, corrosion, and low efficiency in diluting flue gas. Within this technological landscape, physical adsorption separation technology, due to its advantages such as a wide operating temperature range, low equipment corrosivity, and low regeneration energy consumption, has gradually become a research hotspot in carbon capture technology. The core of physical adsorption lies in finding high-quality adsorbents. Metal–organic frameworks (MOFs), with their ultra-high specific surface area, tunable pore structure, and abundant functionalization sites, are considered highly promising next-generation CO2 adsorbent materials. This review summarizes strategies for modifying MOFs to improve CO2 adsorption performance, focusing on aperture adjustment, doped metal ions, functional group doping, and computational screening. Performance enhancements are mechanism-dependent rather than simply additive. Moderate aperture adjustment and defect engineering can improve gas selectivity and CO2 capture capacity, while excessively narrow pores sacrifice available pore volume and gas diffusion. Doped metal ions, particularly in MOF-74 and related materials, can enhance CO2 capture capacity while controlling framework integrity and dopant composition. Functional group Doping remains an effective method for capturing low-partial-pressure CO2. Computational screening is shifting from ranking based on single adsorption capacity to a comprehensive consideration that includes humidity tolerance, stability, and regenerability. Overall, under industrial conditions, modified MOFs should be evaluated by balancing affinity, selectivity, capacity, stability, and energy efficiency. This review provides guidance for the rational design of MOF-based carbon capture adsorbents. Full article
(This article belongs to the Section Environmental Nanoscience and Nanotechnology)
31 pages, 1937 KB  
Review
Industrial Waste Salts: Characteristics, Impurity-Oriented Treatment Pathways, and Resource Utilization Strategies
by Jun Yang, Yi He, Yanping Liu, Nianxi Wang, Yang Zheng and Honglian Wei
Sustainability 2026, 18(8), 3761; https://doi.org/10.3390/su18083761 - 10 Apr 2026
Viewed by 42
Abstract
The large-scale generation of industrial waste salts (IWSs) across sectors such as coal chemical, pesticide, pharmaceutical, and dye manufacturing has raised increasing environmental and regulatory concerns. These IWSs often exhibit complex physicochemical profiles—featuring high concentrations of inorganic salts, persistent organic pollutants, and trace [...] Read more.
The large-scale generation of industrial waste salts (IWSs) across sectors such as coal chemical, pesticide, pharmaceutical, and dye manufacturing has raised increasing environmental and regulatory concerns. These IWSs often exhibit complex physicochemical profiles—featuring high concentrations of inorganic salts, persistent organic pollutants, and trace heavy metals—that pose significant challenges for both safe disposal and resource recovery. This review provides a comprehensive and pollutant-oriented overview of industrial waste salts, focusing on their sector-specific characteristics, dominant contaminant types, and tailored treatment strategies. Removal pathways for organic matter (e.g., thermal decomposition, advanced oxidation) and inorganic impurities (e.g., precipitation, ion exchange) are systematically analyzed, followed by technical pathways for salt separation based on crystallization and membrane processes. Resource utilization routes for major salt components, particularly NaCl and Na2SO4, are critically assessed in terms of technical feasibility, impurity tolerance, and end-use compatibility. The emergence of reclaimed salt quality standards and sector-specific impurity thresholds reflects a paradigm shift from purity-based to performance-based reuse evaluation. Finally, the review highlights future priorities including adaptive impurity control, downstream-specific salt grading, and enforceable regulatory frameworks to ensure the safe, scalable, and circular deployment of reclaimed salts in industrial systems. This study supports the coordinated advancement of control technologies and reuse standards, enabling the transformation of waste salts from environmental liabilities to secondary resources. Full article
(This article belongs to the Section Resources and Sustainable Utilization)
14 pages, 2882 KB  
Article
Eco-Functional PVDF Mixed Matrix Membranes: Characterization and Regeneration in Natural Rubber Skim Latex Purification
by Rianyza Gayatri, Rendy Muhamad Iqbal, Wirach Taweepreda, Muzafar Zulkifli and Ahmad Naim Ahmad Yahaya
Polymers 2026, 18(8), 925; https://doi.org/10.3390/polym18080925 - 10 Apr 2026
Viewed by 58
Abstract
Concentrated natural rubber skim latex is a sustainable, value-added product derived from natural rubber latex processing, offering high rubber content, fine particle size, and shorter polymer chains compared to pure latex, making it suitable for diverse industrial applications. This study employed an environmentally [...] Read more.
Concentrated natural rubber skim latex is a sustainable, value-added product derived from natural rubber latex processing, offering high rubber content, fine particle size, and shorter polymer chains compared to pure latex, making it suitable for diverse industrial applications. This study employed an environmentally friendly ultrafiltration method using composite membranes composed of polyvinylidene fluoride (PVDF), titanium dioxide (TiO2), and polyvinylpyrrolidone (PVP) to concentrate skim latex without hazardous chemicals. The process generated two fractions: concentrated skim latex and skim serum. Membrane performance and fouling behavior were evaluated using FESEM-EDX and FTIR. Post-filtration analysis revealed significant latex particle deposition on the membrane surface, with elemental mapping confirming the presence of organic and inorganic residues. FTIR spectra indicated interaction between latex components and membrane functional groups, though the membrane’s structural integrity remained intact. Sodium dodecyl sulfate (SDS) was assessed as a cleaning agent and demonstrated the effective partial restoration of membrane performance, as confirmed by flux recovery (PVDF-PVP-TiO2 membrane recovered to a slightly higher flux of 7.35 L/m2h). These results highlight the membrane’s durability, fouling characteristics, and cleaning potential, supporting its reusability in latex processing. This study contributes to the development of sustainable separation technologies in the rubber industry, promoting circular economy and zero-discharge practices. Full article
Show Figures

Figure 1

21 pages, 4142 KB  
Article
Experimental and Numerical Investigation of Oil Removal in Oil-Contaminated Wastewater Using Membrane Treatment
by Ali Shahin and Rached Ben-Mansour
Eng 2026, 7(4), 168; https://doi.org/10.3390/eng7040168 - 7 Apr 2026
Viewed by 197
Abstract
The oil and gas industry is increasingly challenged by the global transition toward renewable energy systems aimed at reducing carbon emissions. Nevertheless, opportunities remain to mitigate the environmental impacts associated with ongoing oil and gas operations. One of the major environmental challenges in [...] Read more.
The oil and gas industry is increasingly challenged by the global transition toward renewable energy systems aimed at reducing carbon emissions. Nevertheless, opportunities remain to mitigate the environmental impacts associated with ongoing oil and gas operations. One of the major environmental challenges in this sector is the extensive use and treatment of water. Membrane-based separation has emerged as an effective technology for oil–water separation due to its ability to overcome limitations associated with conventional treatment methods. This study aims to build a CFD model to investigates the influence of operational hydrodynamic conditions on membrane separation, including transmembrane pressure 202, 101, 50, 10 kPa, crossflow velocity 0.08 m/s, 0.116 m/s, 0.33 m/s, 0.66 m/s, and oil droplet diameter 1, 5, 10, 50, 100 µm, on membrane performance in addition to different oil concentrations 1%, 2%, 4%, 8% using Eulerian-Eulerian multiphase model. This is done by experimentally extracting the membrane water resistance, which is found to be 6.46 × 1010 (1/m) and using it as an input to the numerical model. The results indicate that permeate flux is primarily governed by transmembrane pressure, in agreement with Darcy’s law, while fouling development along the membrane length is mainly influenced by crossflow velocity and oil droplet size. Where it was found that for large droplets 100 µm and 50 µm the buoyancy forces were large enough to lift the oil droplets away from the membrane at velocities 0.08, 0.16 and 0.33 m/s while smaller droplets remained at the membrane surface In addition, backward diffusion, which has been emphasized in previous studies, was found to play a comparatively minor role in the present numerical analysis. Full article
(This article belongs to the Section Chemical, Civil and Environmental Engineering)
Show Figures

Figure 1

26 pages, 2544 KB  
Article
Size-Dependent Diffusive Transport in Alkali-Insolubilized Konjac Glucomannan Free-Standing Membranes
by Misaki Morota, Keita Kashima and Masahide Hagiri
Polysaccharides 2026, 7(2), 43; https://doi.org/10.3390/polysaccharides7020043 - 6 Apr 2026
Viewed by 235
Abstract
As the demand for sustainable and bio-based alternatives to petroleum-derived membranes grows, polysaccharides have emerged as promising candidates. In this study, we fabricated free-standing membranes from konjac glucomannan (KGM), a neutral polysaccharide, using a simple base-induced insolubilization process. Fourier transform infrared spectroscopy revealed [...] Read more.
As the demand for sustainable and bio-based alternatives to petroleum-derived membranes grows, polysaccharides have emerged as promising candidates. In this study, we fabricated free-standing membranes from konjac glucomannan (KGM), a neutral polysaccharide, using a simple base-induced insolubilization process. Fourier transform infrared spectroscopy revealed that the deacetylation of KGM chains promotes extensive intermolecular hydrogen bonding, creating a robust and stable three-dimensional network without the need for chemical cross-linkers. The resulting KGM free-standing membranes exhibited excellent mechanical properties, characterized by high tensile strength in the dry state and remarkable flexibility when hydrated. Furthermore, the membranes demonstrated superior chemical resistance to organic solvents such as acetone and n-hexane. Transport studies showed that the membranes possess a highly dense structure with no detectable pressure-driven pure-water permeation up to 0.25 MPa. Solute permeation experiments using eight model molecules (molecular weight = 144–14,600 Da) indicated that transport behavior is consistent with diffusion through a hydrated polymer network. The effective diffusion coefficient Deff showed a strong correlation with molecular weight M, following the relationship DeffM−1.7. Furthermore, the permeation behavior remained stable across a wide pH range (2–12), and, within the investigated range of monovalent solutes, Deff was insensitive to solute charge, indicating that mass transport is dominated by size-based diffusion rather than electrostatic interactions. These findings suggest that KGM free-standing membranes enable reliable molecular fractionation based on size-dependent diffusion within a stable, neutral matrix, offering significant potential for sustainable separation technologies and biomedical applications. Full article
Show Figures

Figure 1

11 pages, 2510 KB  
Proceeding Paper
Development and Synthesis of a Novel Carbon Dioxide-Capturing Polyacrylic Sorbent
by Shahnozakhon Shavkatjon kizi Khakimova and Oytura Sitdikovna Maksumova
Eng. Proc. 2026, 124(1), 97; https://doi.org/10.3390/engproc2026124097 - 30 Mar 2026
Viewed by 264
Abstract
The release of CO2 gas into the atmosphere is one of the most prolific causes of global climate change. To solve this problem, cost-effective technologies are being sought. Polymer membranes are innovative materials that can be widely used in the process of [...] Read more.
The release of CO2 gas into the atmosphere is one of the most prolific causes of global climate change. To solve this problem, cost-effective technologies are being sought. Polymer membranes are innovative materials that can be widely used in the process of capturing and separating CO2 gas. In this work, an amine impregnated and amidated solid sorbent (AISS) containing a copolymer (PMMA-co-AA), which consists of acrylic acid (AA) and methyl methacrylate (MMA), and PEPA (polyethylene polyamine), was synthesized. For the first time, sorbents based on homopolymers and copolymers of acrylic acid and methyl methacrylate were compared for their ability to capture CO2 gas. Other than the synthesis of low swelling AISS, a calculation of its energy consumption, and a comparison of its cyclic capacity with 30% water solutions of monoethanolamine and methyldiethanolamine (MEA and MDEA) were performed. The solid sorbent PMMA-co-AAS showed a higher cyclic capacity than others, corresponding to the order PMMA-co-AAS (23 mg/g) > PAAS (16 mg/g) > MDEA (10 mg/g) > MEA (6 mg/g). The average absorption rate for these sorbents was in the sequence of MEA > PMMA-co-AAS > PAAS > MDEA at 40 °C, and the desorption rates were PMMA-co-AAS > PAAS > MDEA > MEA for these sorbents at 70 °C, correspondingly. When the amount of acrylic acid in the copolymer was varied from 0 to 100%, the copolymer’s water absorption capacity ranged from 0.2 to 1359.63%. Among them, the swelling ability of the chosen sorbent prepared from the 10% AA-containing copolymer and PEPA was 0.64%. Full article
(This article belongs to the Proceedings of The 6th International Electronic Conference on Applied Sciences)
Show Figures

Figure 1

25 pages, 19863 KB  
Review
Recent Advances in Low-Carbon Membrane Materials: A Review of Material Development and Application Research
by Meixuan Xin, Huamei He, Feifei Wei, Xia Zheng and Yuan Xiang
Membranes 2026, 16(4), 120; https://doi.org/10.3390/membranes16040120 - 30 Mar 2026
Viewed by 521
Abstract
Traditional membrane separation materials suffer from drawbacks such as a high carbon footprint, significant energy consumption, membrane fouling, and the potential for secondary pollution. Under the dual drivers of carbon neutrality and carbon peak strategies, as well as the deepening of environmental governance, [...] Read more.
Traditional membrane separation materials suffer from drawbacks such as a high carbon footprint, significant energy consumption, membrane fouling, and the potential for secondary pollution. Under the dual drivers of carbon neutrality and carbon peak strategies, as well as the deepening of environmental governance, low-carbon membrane separation materials have emerged as a pivotal direction for the green transformation of membrane technology, leveraging their core advantages of green raw materials, low-energy preparation, and high application adaptability. This green transition is primarily achieved through the development of green raw materials and preparation processes, the enhancement of separation efficiency, and a reduction in operational energy consumption. Consequently, this review systematically summarizes the low-carbon design principles, key performance metrics, separation mechanisms, catalytic coupling technologies, and the recent application progress of several mainstream types of low-carbon membrane materials. It further identifies current bottlenecks in the research of low-carbon membrane materials such as performance trade-offs, challenges in scalable fabrication, and long-term operational instability. Finally, the review proposes future research directions aimed at developing novel membrane materials that integrate low-carbon attributes, excellent separation performance, and multifunctionality. Full article
(This article belongs to the Special Issue Membrane Materials and Technologies for Sustainable Water Treatment)
Show Figures

Figure 1

20 pages, 2325 KB  
Review
Research Progress of Methane Membrane Separation Technology
by Xiujuan Feng, Haoyu Zhang, Haotong Guo, Chuhao Huang, Yiwen Fu, Shuqi Wang, Jing Yang, Jie Li and Yankun Ma
Membranes 2026, 16(4), 119; https://doi.org/10.3390/membranes16040119 - 28 Mar 2026
Viewed by 315
Abstract
Membrane technology demonstrates broad prospects in the field of methane capture and purification due to its high efficiency and low energy consumption characteristics. This paper systematically reviews the research progress in membrane technology for methane separation in recent years, focusing on the design [...] Read more.
Membrane technology demonstrates broad prospects in the field of methane capture and purification due to its high efficiency and low energy consumption characteristics. This paper systematically reviews the research progress in membrane technology for methane separation in recent years, focusing on the design and optimization of membrane material systems, in-depth analysis of mass transfer mechanisms, and practical applications in areas such as biogas upgrading and natural gas decarbonization. Researchers have significantly enhanced membrane separation performance for CO2/CH4, CH4/N2, and other systems by developing novel material systems such as polymer membranes, inorganic membranes, and mixed matrix membranes (MMMs), combined with strategies like pore structure regulation, interface optimization, and functionalization. Although membrane technology has shown good economic feasibility and application potential in some scenarios, challenges such as long-term material stability, anti-plasticization capability, and large-scale manufacturing remain the main current obstacles. Future research should further focus on the development of novel membrane materials, process integration optimization, and intelligent process control to promote a greater role for membrane technology in the efficient utilization of methane resources and energy structure transformation. Full article
Show Figures

Figure 1

22 pages, 8563 KB  
Article
Computer Simulation-Guided Rational Design of Sulfadiazine-Imprinted Polymers for High-Efficiency Adsorption of Antibiotics in Complex Aquatic Matrices
by Mengfan Xu, Yanhong Wang, Mingfen Niu, Qiang Zhou and Wang Yang
Membranes 2026, 16(4), 118; https://doi.org/10.3390/membranes16040118 - 28 Mar 2026
Viewed by 301
Abstract
To address the limited selectivity of conventional membrane materials toward sulfonamide antibiotics, this study employed a DFT calculation approach to optimize the design of a molecularly imprinted system for sulfadiazine (SDZ). A hierarchical set of template molecules—aniline (ANL), sulfanilamide (SNM), and SDZ—was introduced [...] Read more.
To address the limited selectivity of conventional membrane materials toward sulfonamide antibiotics, this study employed a DFT calculation approach to optimize the design of a molecularly imprinted system for sulfadiazine (SDZ). A hierarchical set of template molecules—aniline (ANL), sulfanilamide (SNM), and SDZ—was introduced to systematically elucidate structure-dependent template–monomer matching mechanisms in sulfonamide imprinting systems. Through rational screening, trifluoroethyl methacrylate (TFEMAA) was identified as the optimal functional monomer, with an optimal imprinting molar ratio of 1:4 (SDZ to TFEMAA). Guided by the simulation results, SDZ molecularly imprinted polymers (MIPs) were synthesized via precipitation polymerization and systematically characterized for their morphology and recognition properties. The MIPs exhibited a well-defined spherical morphology with abundant imprinted cavities, achieving adsorption equilibrium within 1.5 h. The adsorption kinetics followed a pseudo-second-order model, indicating a chemisorption-dominated process. Scatchard analysis revealed the presence of both high- and low-affinity binding sites in the MIPs. Selectivity experiments, quantified by distribution coefficients (Kd) and selectivity coefficients (k), demonstrated a significantly higher adsorption capacity for SDZ than for structural analogs and non-analogs. In real water samples, the MIPs outperformed conventional HLB sorbents and showed strong anti-interference capability (RSD < 3%). This work provides a material foundation for developing highly selective SDZ-imprinted membranes and advances the application of molecular imprinting technology in membrane separation systems. Full article
Show Figures

Figure 1

40 pages, 6016 KB  
Review
Advanced Technologies to Treat Manure Generated on Dairy Farms: Overview and Perspectives for Intensifying Australian Systems
by Sharon R. Aarons, José A. D. López-Coronado, Scott McDonald and Rachael Campbell
Agriculture 2026, 16(7), 747; https://doi.org/10.3390/agriculture16070747 - 27 Mar 2026
Viewed by 532
Abstract
Livestock production systems are considered some of the most environmentally degrading due to greenhouse gas (GHG) emissions and their contribution to poor air, soil and water quality, amongst other impacts. Advanced manure treatment technologies are required in response to intensification of dairy production [...] Read more.
Livestock production systems are considered some of the most environmentally degrading due to greenhouse gas (GHG) emissions and their contribution to poor air, soil and water quality, amongst other impacts. Advanced manure treatment technologies are required in response to intensification of dairy production worldwide, and the considerably greater volumes of manure generated that require collection and management. Similarly, in Australian dairy systems cows spend more time off pasture, with increased collection of larger manure volumes from a range of contained housing facilities. Adoption of advanced treatment is required to capture nutrients at risk of loss, and ideally to valorise manure to support uptake of these technologies. This review describes the generation of manure and the manure sources found in commercial Australian systems, including grazing-based and intensive dairy farms, supporting zero grazing. The review draws on manure data from pasture-based industries elsewhere and summarises their properties for comparison with Australian systems. Manure treatments that recover and retain nutrients, water and energy are reviewed. These include additives, mechanical/chemical/membrane separation, thermochemical and biological treatments which produce organic and inorganic soil amendments, clarified or potable water, gases (N2, H2), biofuels and energy. The review describes the technical and operational details of the technologies, and where there are opportunities for the Australian dairy industry. Treatment technologies need to be validated for Australian systems based on the collated data of local manure properties, as differences with international manure data have been observed. The relative costs, technological maturity, and the benefits and challenges associated with adoption are discussed. Many advanced technologies are ready for adoption, but others are experimental or at pilot stage and relative costs range from low to very high. However, to accurately assess feasibility of manure treatments, environmental, and production benefits should be balanced against capital and operating expenses and account for costs associated with current management. For large intensive farms, implementing advanced manure technologies may be required to ensure approval to operate/expand and to meet regulatory compliance. Future research for the Australian industry should investigate nutrient retention and further develop separation treatments incorporating chemical and mechanical technologies. Bioconversion of manure through insect composting as well as investigating co-digestion opportunities to enhance biogas production would support famers currently using these systems. Full article
Show Figures

Graphical abstract

15 pages, 4376 KB  
Article
Ni/Mo Regulated Nb35Hf30Co15Ni20-xMox High-Entropy Alloy Membranes for High Hydrogen Permeability and Hydrogen Embrittlement Resistance
by Boyuan Cao, Chen Sun, Xiaofei Xing, Zhao Zhang, Mingxing Wei, Chong Cui, Yanghui Lu, Wei Zheng, Liangliang Lv and Tong Liu
Physchem 2026, 6(2), 18; https://doi.org/10.3390/physchem6020018 - 26 Mar 2026
Viewed by 254
Abstract
Efficient hydrogen separation and purification technology plays a crucial role in the hydrogen energy industry. VB-group alloy membranes have demonstrated favorable hydrogen permeability, but their hydrogen embrittlement resistance remains generally insufficient. This work designed Nb35Hf30Co15Ni20-xMo [...] Read more.
Efficient hydrogen separation and purification technology plays a crucial role in the hydrogen energy industry. VB-group alloy membranes have demonstrated favorable hydrogen permeability, but their hydrogen embrittlement resistance remains generally insufficient. This work designed Nb35Hf30Co15Ni20-xMox high-entropy alloy (HEA) membranes with regulated Ni and Mo contents. The influences of HEA compositions on microstructures, hydrogen permeability and hydrogen embrittlement resistance were systematically analyzed. On the one hand, the doping of Mo increased the volume and proportion of BCC-Nb phase, thus promoting hydrogen permeation; on the other hand, the hydrogen solubility was reduced, thus enhancing the hydrogen embrittlement resistance. The lattice distortion effect, sluggish diffusion effect and optimized Mo content collectively enhanced the comprehensive performance of Nb35Hf30Co15Ni12.5Mo7.5, achieving a hydrogen permeability (Φ) of 2.68 × 10−8 mol H2 m−1·s−1·Pa−0.5 at 673 K and exhibiting excellent hydrogen embrittlement resistance, showing no hydrogen-induced fractures even at room temperature. This quantitatively demonstrates its excellent performance, which represents a certain breakthrough compared to related studies. The novel Nb35Hf30Co15Ni20-xMox HEA membranes offer excellent hydrogen permeability and improved hydrogen embrittlement resistance, thereby highlighting the potential for future hydrogen purification applications. Full article
(This article belongs to the Section Solid-State Chemistry and Physics)
Show Figures

Figure 1

12 pages, 827 KB  
Article
Experimental Analysis of PEGs Separation at Mono–Channel Ceramic Membranes in DEMO Plasma Exhaust Processing
by Luca Farina, Gessica Cortese, Daniela Pietrogiacomi, Maria Cristina Campa and Silvano Tosti
Separations 2026, 13(4), 102; https://doi.org/10.3390/separations13040102 - 24 Mar 2026
Viewed by 190
Abstract
Plasma Enhancement Gases (PEGs) are a set of gaseous elements studied for converting plasma thermal energy and mitigating the heat load on the plasma-facing components of a tokamak fusion power plant. In particular, PEG separation is part of the Plasma Exhaust Processing System [...] Read more.
Plasma Enhancement Gases (PEGs) are a set of gaseous elements studied for converting plasma thermal energy and mitigating the heat load on the plasma-facing components of a tokamak fusion power plant. In particular, PEG separation is part of the Plasma Exhaust Processing System of EU-DEMO. This work addresses issues related to the purification of Deuterium-Tritium fusion fuel, introducing ceramic membranes having a low specific area to process and purify unburned streams throughout the fuel cycle. A commercial microporous mono-channel α-Alumina membrane was considered for the evaluation of its efficacy in separating binary mixtures of H2 with a PEG (Ar and N2), D2, or He. Several tests were carried out, feeding equimolar streams of H2-Ar, H2-N2, D2-Ar, and He-Ar, and the separation factor (SF) of the aforementioned binary mixtures was experimentally assessed. Finally, based on the results from the experimental campaign, the separation factors of several gas mixtures that had not been experimentally investigated were theoretically calculated and proposed. Full article
(This article belongs to the Special Issue Advanced Separation Membranes in Environmental and Energy Fields)
Show Figures

Figure 1

17 pages, 2161 KB  
Article
Integrated Enzymatic Membrane Reactor (EMR) for Continuous Production of Antidiabetic, Antihypertensive, and Antioxidant Peptides from Jack Bean
by Rose Uli Ruth Cecilia, Azis Boing Sitanggang, Slamet Budijanto and Endang Prangdimurti
Foods 2026, 15(6), 1083; https://doi.org/10.3390/foods15061083 - 19 Mar 2026
Viewed by 372
Abstract
The growing demand for functional foods reflects greater consumer awareness of diet–health links, with bioactive peptides receiving increasing attention for their health-promoting effects. In this study, bioactive peptides exhibiting antioxidant, dipeptidyl peptidase-IV (DPP-IV) inhibitory, and angiotensin-converting enzyme (ACE) inhibitory activities were produced from [...] Read more.
The growing demand for functional foods reflects greater consumer awareness of diet–health links, with bioactive peptides receiving increasing attention for their health-promoting effects. In this study, bioactive peptides exhibiting antioxidant, dipeptidyl peptidase-IV (DPP-IV) inhibitory, and angiotensin-converting enzyme (ACE) inhibitory activities were produced from a jack bean (Canavalia ensiformis) protein isolate using a continuous proteolysis system with two enzymes. This study encompassed two major phases: isolating protein from jack beans and implementing a continuous enzymatic hydrolysis process. Key variables examined included the enzyme-to-substrate ratio ([E]/[S]), pH level, and residence time (τ). Optimal performance was achieved at [E]/[S] = 5%, pH = 7.5, and τ = 12 h, yielding a permeate with peptide content of 0.6143 mg SE/mL, along with notable antioxidant capacity and ACE inhibition of 0.0454 mg TEAC/mL and 92.18%, respectively. These results confirm that the jack bean protein isolate is a viable substrate for generating multifunctional bioactive peptides. This study provides a foundation for scalable and sustainable production of functional food ingredients from underutilized legumes using continuous bioprocessing technology. Industrial relevance: Integrating a stirred tank reactor with membrane separation provides a promising approach for continuous bioactive peptide production using a free-enzyme system, helping to streamline processing, reduces the demand for enzyme immobilization, and minimizes batch-to-batch variability. This study shows that continuous hydrolysis of jack bean protein isolate in EMR can enhance antioxidant activity and ACE inhibition of the hydrolysates. This approach offers a safer and more efficient route to support the commercialization of jack bean-based functional products. Full article
(This article belongs to the Section Food Engineering and Technology)
Show Figures

Figure 1

18 pages, 5708 KB  
Article
Fabrication of Cellulose Acetate-Based Membrane Doped with Plasticizer for High-Efficiency Separation of CO2
by Jin Li, Zhongyong Su, Tiantian Jia, Kai Liu, Liulian Huang, Fang Huang, Xiaolin Luo, Jianguo Li and Qingxian Miao
Polymers 2026, 18(6), 740; https://doi.org/10.3390/polym18060740 - 18 Mar 2026
Viewed by 353
Abstract
It is essential to develop a practical technology for the separation and capture of carbon dioxide (CO2) due to the gradually increased concentration of CO2 in the atmosphere, which has driven the rise in global temperature. Membrane separation is regarded [...] Read more.
It is essential to develop a practical technology for the separation and capture of carbon dioxide (CO2) due to the gradually increased concentration of CO2 in the atmosphere, which has driven the rise in global temperature. Membrane separation is regarded as a promising technology for the capture of CO2. However, most membranes employ non-biodegradable petroleum-based polymers. In this study, biodegradable and renewable membranes of cellulose acetate (CA) doped with polyethylene glycol (PEG) and polyethylene glycol diacrylate (PEGDA) were fabricated by solution casting and used for the separation of CO2/O2. The results indicated that the membrane doped with PEGDA exhibited higher permeability of CO2 and selectivity of CO2/O2 compared to those doped with PEG, while improving the tensile strain and structural uniformity of membranes. The membrane with a thickness of 25 μm at a PEGDA dosage of 10 wt% achieved optimal gas permeability, selectivity, and mechanical toughness, showing CO2 permeability of 4.59 Barrer and CO2/O2 selectivity of 5.68. The structure of the interpenetrating polymer network was responsible for the excellent properties of the membrane doped with PEGDA due to the formation of more mid- and micro-sized pores that increase the diffusion pathways of CO2. Full article
(This article belongs to the Section Biobased and Biodegradable Polymers)
Show Figures

Graphical abstract

Back to TopTop