Sign in to use this feature.

Years

Between: -

Subjects

remove_circle_outline
remove_circle_outline
remove_circle_outline
remove_circle_outline
remove_circle_outline
remove_circle_outline
remove_circle_outline
remove_circle_outline
remove_circle_outline

Journals

remove_circle_outline
remove_circle_outline
remove_circle_outline
remove_circle_outline
remove_circle_outline
remove_circle_outline
remove_circle_outline
remove_circle_outline

Article Types

Countries / Regions

remove_circle_outline
remove_circle_outline
remove_circle_outline
remove_circle_outline

Search Results (315)

Search Parameters:
Keywords = maximum specific growth rate

Order results
Result details
Results per page
Select all
Export citation of selected articles as:
31 pages, 6179 KB  
Article
Effects of Climate Change and Crop Management on Wheat Phenology in Arid Oasis Areas
by Jian Huang, Juan Huang, Pengfei Wu, Wenyuan Xing and Xiaojun Wang
Agriculture 2026, 16(3), 314; https://doi.org/10.3390/agriculture16030314 - 27 Jan 2026
Abstract
Crops grown in ecologically vulnerable oases are increasingly vulnerable to climate change, a trend that poses a severe threat to the sustainability of agricultural production in arid zones. Clarifying the relative contributions of climate change and crop management to crop phenology is critical [...] Read more.
Crops grown in ecologically vulnerable oases are increasingly vulnerable to climate change, a trend that poses a severe threat to the sustainability of agricultural production in arid zones. Clarifying the relative contributions of climate change and crop management to crop phenology is critical for designing climate-resilient agricultural practices—yet this remains underexplored for wheat in Xinjiang’s oases, a major arid-region agricultural hub. Using 1981–2021 phenological and meteorological data from 26 agrometeorological stations, we integrated a first-difference multiple regression model, Pearson’s correlation, multiple linear regression, and path analysis to quantify spatiotemporal phenological dynamics; disentangle the distinct impacts of climate and management factors; and identify dominant climatic drivers regulating wheat growth. Temperature was confirmed as the dominant climatic factor regulating wheat growth in arid oasis regions. Results showed that the annual change rates of sowing, emergence, booting, flowering, and maturity dates were 0.261 (−0.027), 0.265 (−0.103), −0.272 (−0.161), −0.269 (−0.226), and −0.216 (−0.127) days/year for winter (spring) wheat, respectively. For phenological durations, the annual change rates of sowing-to-emergence, emergence-to-anthesis, anthesis-to-maturity, vegetative growth period, reproductive growth period, and whole growth period were 0.007 (−0.076), −0.537 (−0.068), 0.096 (0.099), −0.502 (−0.134), 0.068 (0.034), and −0.434 (−0.100) days/year for winter (spring) wheat, respectively. Regarding climatic effects, maximum, minimum, and mean temperatures generally exerted positive impacts on wheat phenological durations; increased precipitation prolonged growth periods; and higher sunshine hours shortened winter wheat growth periods while extending those of spring wheat. Multiple regression and path analysis were employed to clarify the relative importance of climatic and management factors, as well as their direct and indirect effects on wheat phenology and yield. Furthermore, climate change had a substantially weaker impact on wheat phenology and yield compared to crop management, with climatic driver intensity following the order of mean temperature > precipitation > sunshine hours—confirming mean temperature as the key climate-induced driver. Correlation analysis revealed a positive relationship between yield and growth period length. This study provides novel insights into region-specific climate adaptation for wheat production in arid oases, highlighting that planting longer-growth-period varieties is an effective, eco-friendly strategy to enhance climate resilience and ensure sustainable agricultural development in fragile ecosystems. Full article
(This article belongs to the Section Ecosystem, Environment and Climate Change in Agriculture)
Show Figures

Figure 1

19 pages, 3614 KB  
Article
Physiological State of the Carotenogenic Microalga Coelastrella rubescens (Scenedesmaceae, Sphaeropleales) During Two-Stage Cultivation
by Irina Mansurova, Nataliya Dantsyuk, Irina Chubchikova, Elena Bocharova and Olga Krivenko
Phycology 2026, 6(1), 8; https://doi.org/10.3390/phycology6010008 - 5 Jan 2026
Viewed by 404
Abstract
A strain of aeroterrestrial green microalgae Coelastrella rubescens IBSS-156, isolated from an epilithic lichen, has been previously shown to efficiently produce green biomass and accumulate significant amounts of secondary carotenoids. In this study, using a two-stage batch culture, we analyzed time-course changes in [...] Read more.
A strain of aeroterrestrial green microalgae Coelastrella rubescens IBSS-156, isolated from an epilithic lichen, has been previously shown to efficiently produce green biomass and accumulate significant amounts of secondary carotenoids. In this study, using a two-stage batch culture, we analyzed time-course changes in variable chlorophyll a (Chl a) fluorescence parameters. Additionally, regression models were developed to correlate autofluorescence signals with spectrophotometric measurements of Chl a and total carotenoid content. Maximum quantum efficiency of photosystemII (Fv/Fm) remained high throughout the vegetative stage. At the end of this stage, under nutrient-limited conditions, the relative electron transport rate (rETR) declined to half its peak value during exponential growth. Stress induced a strong response in the algal photosynthetic apparatus during the early red stage. Within the first three days, Fv/Fm and rETR remained extremely low, but both increased sharply by day 5. During secondary carotenoid accumulation, fluorescence parameters remained at 70–80% of the vegetative-stage maximum, followed by a sharp decline toward the end of the red stage. Therefore, changes in variable fluorescence parameters can serve as markers of C. rubescens cellular physiology during biotechnological cultivation, denoting the completion of specific stages. Flow cytometry and pigment assay regression enabled real-time monitoring of C. rubescens biomass and carotenoids. Full article
(This article belongs to the Special Issue Development of Algal Biotechnology)
Show Figures

Figure 1

21 pages, 3420 KB  
Article
Sustaining Edible Grass (Rumex patientia L. × Rumex tianschanicus Losinsk.) Through Summer Lethal Stress: Multi-Omics Reveals Shading-Mediated Mitigation of High Light-Aggravated Heat Damage
by Zengyang He, Qinzhuo Zhong, Xinyao Li, Miaofen Chen, Wei Liu, Tao Jiang and Jianfeng Zou
Antioxidants 2026, 15(1), 33; https://doi.org/10.3390/antiox15010033 - 25 Dec 2025
Viewed by 449
Abstract
Edible Grass (EG) is a hybrid vegetable variety valued for its high biomass and protein content, garnering significant interest in recent years for its potential in food, feed, and health product applications. However, in subtropical climates, intense light and high temperatures severely affect [...] Read more.
Edible Grass (EG) is a hybrid vegetable variety valued for its high biomass and protein content, garnering significant interest in recent years for its potential in food, feed, and health product applications. However, in subtropical climates, intense light and high temperatures severely affect the growth and development of Edible Grass (EG), leading to substantial reductions in yield and quality. This study was conducted in the subtropical humid monsoon climate zone of Changsha, Hunan, China, comparing two growth conditions: natural light (CK) and shading treatment (ST). High light-aggravated heat damage under CK significantly reduced EG yield and quality (p < 0.05), with severe cases leading to plant death. and could even lead to plant death in severe cases. Specifically, maximum air and leaf temperatures under CK reached 38.85 °C and 38.14 °C, respectively, well exceeding the plant’s optimal growth range. Shading treatment (ST) effectively alleviated this damage, significantly increasing the net photosynthetic rate, stomatal conductance, and intercellular CO2 concentration, while decreasing leaf temperature and transpiration rate (p < 0.001). The analysis of physiological and biochemical indicators indicates that after ST, the activities of SOD, CAT, and POD in the leaves decreased, while the contents of MDA and H2O2 were significantly lower compared to the CK group (p < 0.001). The transcriptome sequencing results indicate that a total of 8004 DEGs were identified under shading treatment (ST) relative to natural light (CK), with 3197 genes upregulated and 4807 genes downregulated. Significantly enriched Gene Ontology (GO) terms include ‘cell membrane’, ‘extracellular region’, and ‘protein kinase activity’, while significantly enriched KEGG metabolic pathways include ‘plant hormone signal transduction’, ‘photosynthesis–antenna proteins’, and ‘glutathione metabolism’. Compared to CK, the expression of genes associated with oxidative stress (e.g., CAT1, OXR1, APX, GPX) was significantly downregulated in ST, indicating a relief from light-aggravated heat stress. This transcriptional reprogramming was corroborated by metabolomic data, which showed reduced accumulation of key flavonoid compounds, aligning with the downregulation of their biosynthetic genes as well as genes encoding heat shock proteins (e.g., Hsp40, Hsp70, Hsp90). It indicated that plants switch from a ‘ROS stress–high energy defense’ mode to a ‘low oxidative pressure–resource-saving’ mode. Collectively, ST significantly alleviated the physiological damage of forage grasses under heat stress by modulating the processing of endoplasmic reticulum heat stress proteins, plant hormones, and related genes and metabolic pathways, thereby improving photosynthetic efficiency and yield. The findings provide a theoretical basis for optimizing the cultivation management of EG, particularly in subtropical regions, where shade treatment serves as an effective agronomic strategy to significantly enhance the stress resistance and yield of EG. Full article
(This article belongs to the Special Issue Antioxidant Systems in Plants)
Show Figures

Figure 1

18 pages, 2552 KB  
Article
Production of Lipids and Carotenoids in Coccomyxa onubensis Under Acidic Conditions in Raceway Ponds
by Martin Szotkowski, María Robles, Juan Luis Fuentes, Jiří Holub, María Cuaresma, Ivana Márová, Mari Carmen Ruiz-Domínguez, Rafael Torronteras, Javier Dávila, Inés Garbayo and Carlos Vílchez
Processes 2025, 13(12), 4041; https://doi.org/10.3390/pr13124041 - 14 Dec 2025
Viewed by 355
Abstract
Coccomyxa onubensis (C. onubensis) belongs to the extensive genus Coccomyxa, which inhabits ecosystems with high metal concentrations, generally at acidic pH. In this study, the feasibility of cultivating the acidotolerant microalga C. onubensis in raceway open ponds was investigated. Specific [...] Read more.
Coccomyxa onubensis (C. onubensis) belongs to the extensive genus Coccomyxa, which inhabits ecosystems with high metal concentrations, generally at acidic pH. In this study, the feasibility of cultivating the acidotolerant microalga C. onubensis in raceway open ponds was investigated. Specific attention was paid to the production of lipids and carotenoids. C. onubensis was cultivated outdoors, under non-sterile conditions, in three separate ponds that differed in their nutrient concentrations and aeration rates. The results show that C. onubensis was able to grow steadily and free of photosynthetic contaminants throughout the cultivation period. The low pH of the media prevented non-extremophilic competitors from proliferating, thus allowing for the selective growth of C. onubensis. The highest productivity values for the biomass and targeted compounds were obtained in the culture supplemented with twice the amount of nutrients and aeration rate. These significant maximum productivity values were 0.223 mg of carotenoids·g−1·d−1, 0.139 mg of chlorophylls·g−1·d−1, and 0.031 g of biomass·L−1·d−1. A significant maximum lipid production of 9.87% in the dry biomass was reached, of which 49.92% corresponded to polyunsaturated fatty acids (PUFAs). Overall, this manuscript demonstrates that the production of acidic-habitat microalgae in open systems can be advantageous for microalgae-based production of carotenoids and PUFAs, while avoiding contamination by photosynthetic competitors. Full article
Show Figures

Graphical abstract

16 pages, 2154 KB  
Article
Low-Cost Production Process of Saccharomyces cerevisiae Yeast for Craft Beer Fermentation
by Jessica Rodríguez, Domenica Villavicencio, Alys Raza, Fernanda Hernández-Alomía, Carlos Bastidas-Caldes and María Alejandra Cruz
Fermentation 2025, 11(12), 688; https://doi.org/10.3390/fermentation11120688 - 12 Dec 2025
Viewed by 965
Abstract
The production of craft beer depends on the quality and availability of yeast. However, many small breweries in developing countries face high costs due to their reliance on imported yeast strains. Developing efficient and low-cost propagation methods is therefore essential for sustainable production. [...] Read more.
The production of craft beer depends on the quality and availability of yeast. However, many small breweries in developing countries face high costs due to their reliance on imported yeast strains. Developing efficient and low-cost propagation methods is therefore essential for sustainable production. A lager-type Saccharomyces cerevisiae strain (SC-Lager2) was propagated using both synthetic and low-cost alternative media. The latter was formulated with malt extract as a carbon source and yeast extract obtained from brewery by-products as a nitrogen source. A Plackett–Burman design identified significant factors influencing growth (p < 0.05), and a full factorial design (24) optimized conditions. Growth kinetics and biomass yield were validated at laboratory (2 L) and pilot (83 L) scales. Maltose, yeast extract, zinc sulfate, and agitation significantly affected cell density and viability (p < 0.05). Under optimized conditions, 100% viability, a maximum cell density of 1.4 × 1010 cells/mL, and a biomass yield of 10 g/L were achieved values that were statistically higher (p < 0.05) than those obtained with the synthetic medium. The maximum specific growth rate (μmax) increased by 52%, while doubling time decreased by 39%. Overall, the use of agro-industrial by-products reduced medium costs by approximately 65% compared to conventional synthetic formulations. The proposed low-cost medium provides a scalable, economical, and sustainable solution for yeast propagation, reducing production costs while maintaining high cell viability and performance. This approach supports the autonomy and competitiveness of the craft beer sector in developing regions. Full article
(This article belongs to the Special Issue Development and Application of Starter Cultures, 2nd Edition)
Show Figures

Figure 1

14 pages, 1316 KB  
Article
Use of Alternative Soil Amendments to Enhance the Phytoremediation Capacity of Heavy Metal Hyperaccumulator Plants
by Nikolaos Kiatikidis, Evangelia E. Golia, Dimitrios Alexiadis, Rafaella Vogia, Sotiria G. Papadimou, Eleni Tsaliki, Niki Paraskevaidou, Ana Pérez-Gimeno and Jose Navarro-Pedreño
Land 2025, 14(12), 2399; https://doi.org/10.3390/land14122399 - 10 Dec 2025
Viewed by 361
Abstract
The current investigation involved preliminary laboratory research regarding the accumulation capacity of three types of hyperaccumulator plants when specific soil factors are altered during their cultivation. Three different plants participated in this experiment, namely, milk thistle (Silybum marianum (L.) Gaerth), industrial hemp [...] Read more.
The current investigation involved preliminary laboratory research regarding the accumulation capacity of three types of hyperaccumulator plants when specific soil factors are altered during their cultivation. Three different plants participated in this experiment, namely, milk thistle (Silybum marianum (L.) Gaerth), industrial hemp (Cannabis sativa L.), and tobacco (Nicotiana tabacum L.), which were cultivated in two soils with different pH values, yet containing similar levels of metal pollutants. ABC fire extinguisher powder (FP), which had been tested in the past and found to cause a significant change in nutrient availability, was added to the soils. The FP was added at 1% v/v and, in order to facilitate its fast incorporation into the soil, the soil moisture was maintained at 60–65%. The experiment was conducted in pots where the plants were grown in contaminated soils, with and without the FP addition. The pseudo-total (after extraction with Aqua Regia), available (after extraction with DTPA), and water-soluble concentrations (after extraction with CaCl2 solution) of Cd, Cr, and Cu were determined in the soils. The plants completed their growth cycle (in 112, 128, and 139 days, respectively), were harvested, and the metal concentrations were assessed after extraction with Aqua Regia, both in the underground and above-ground parts. FP addition caused a significant decrease in the availability of each of the three metals, yet mainly Cr, as it caused a maximum reduction of 19.6% and 16.0% in the rate of water-soluble and available (after extraction with DTPA) Cr, respectively, in relation to the total Cr concentration in acidic soil, revealing the decisive role played by soil reaction in metal availability. FP addition caused a significant Cd reduction in accumulation in the above-ground parts of cultivated plants in the order of hemp > thistle > tobacco. FP use appears to significantly alter the plant-to-soil metal transfer, affecting the plants’ ability to accumulate Cd, Cr, and Cu. Apparently, this material, disposed of in the environment, could be a useful and low-cost soil conditioner, in line with the principles of the circular economy. Full article
Show Figures

Figure 1

10 pages, 1301 KB  
Communication
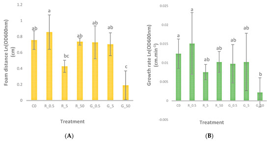
Effect of Red and Grey Selenium Nanoparticles on Yeast Growth: Short Communication
by Aya Ferroudj, Dávid Semsey, Daniella Sári and József Prokisch
Foods 2025, 14(24), 4229; https://doi.org/10.3390/foods14244229 - 9 Dec 2025
Cited by 1 | Viewed by 369
Abstract
Selenium nanoparticles (SeNPs) present a promising alternative to toxic inorganic selenium salts, yet the differential bioactivity between their allotropic forms—amorphous red (RSeNPs) and crystalline grey (GSeNPs)—is not fully determined. This study investigated the allotropic status and concentration-dependent effects of RSeNPs and GSeNPs (0.5, [...] Read more.
Selenium nanoparticles (SeNPs) present a promising alternative to toxic inorganic selenium salts, yet the differential bioactivity between their allotropic forms—amorphous red (RSeNPs) and crystalline grey (GSeNPs)—is not fully determined. This study investigated the allotropic status and concentration-dependent effects of RSeNPs and GSeNPs (0.5, 5, and 50 mg·L−1) on Saccharomyces cerevisiae growth, monitored via foam expansion distance, calculated growth rate, and the normal logarithm of the samples’ optical densities at 600 nm. The results revealed that the allotropic form was the dominant factor influencing yeast performance. Specifically, RSeNPs exhibited superior biocompatibility; the 0.5 mg·L−1 dose (RSe0.5) yielded the highest overall growth rate, suggesting a potential growth-promoting effect. Conversely, GSeNPs demonstrated concentration-dependent toxicity, with the 50 mg·L−1 dose (GSe50) causing a statistically significant inhibition compared to the control. Moreover, optical density measurements confirmed that both red and grey SeNPs enhanced the maximum specific growth rate (µmax) compared to the control, demonstrating a stimulatory effect on yeast growth kinetics. These findings confirm that amorphous RSeNPs are less inhibitory and potentially more beneficial than their crystalline grey counterparts, underscoring the critical importance of nanoparticle morphology in determining biological outcomes. Full article
(This article belongs to the Special Issue Application of Nanomaterials in Food Analysis)
Show Figures

Figure 1

28 pages, 15628 KB  
Article
Effects of Different Plant Growth Regulators on Growth Physiology and Photosynthetic Characteristics of Pinus koraiensis Seedlings
by Wenbo Zhang, Chunming Li, Zhenghua Li, Naizhong Hu, Guanghao Cao, Jiaqi Huang, Panke Yang, Huanzhen Liu, Hui Bai and Haifeng Zhang
Plants 2025, 14(23), 3671; https://doi.org/10.3390/plants14233671 - 2 Dec 2025
Viewed by 639
Abstract
Pinus koraiensis, as a keystone tree species, possesses immense economic and ecological value. However, the present cultivation of high-quality seedlings in Pinus koraiensis plantations remains hindered by prohibitively high costs and inadequate technological advancements. Additionally, the species’ prolonged growth cycle and low [...] Read more.
Pinus koraiensis, as a keystone tree species, possesses immense economic and ecological value. However, the present cultivation of high-quality seedlings in Pinus koraiensis plantations remains hindered by prohibitively high costs and inadequate technological advancements. Additionally, the species’ prolonged growth cycle and low yield, when compounded by issues such as excessive harvesting, may result in supply constraints. Plant growth regulators (PGRs), a class of naturally occurring or synthetically derived chemical compounds, are capable of modulating plant development and physiology. These regulators exert notable effects by enhancing root proliferation, facilitating lignification, influencing plant architecture, and augmenting yield. Owing to their operational simplicity and relatively low cost, PGR applications hold substantial promise for cultivating Pinus koraiensis seedlings with superior traits. In this study, four-year-old Pinus koraiensis seedlings were employed to evaluate the impacts of three PGRs (paclobutrazol, chlormequat chloride, and diethyl aminoethyl hexanoate), alongside varied application methods (dosage and frequency), on the growth, physiological, and photosynthetic parameters of the seedlings. The findings revealed that treatment with 1.5 g/L paclobutrazol produced the most pronounced effects across a range of indicators. Specifically, this treatment markedly enhanced growth traits (e.g., branch diameter, new shoot length, lateral branch length, aboveground fresh and dry weights, root fresh and dry weights, lateral root dry weight, and number of second-order roots), physiological attributes (e.g., increased superoxide dismutase and peroxidase activities, elevated lignin content, and reduced relative conductivity and malondialdehyde levels), and photosynthetic metrics (e.g., elevated net photosynthetic rate, stomatal conductance, transpiration rate, and maximum net photosynthetic rate), thereby constituting the optimal treatment combination. Full article
Show Figures

Figure 1

13 pages, 951 KB  
Article
Assessment of the Use of Coconut Water as a Cultivation Medium for Limnospira (Arthrospira) platensis (Gomont): Effects on Productivity and Phycocyanin Concentration
by Maria Rafaele Oliveira Bezerra da Silva, Bruna Emanuelle Gomes do Nascimento, Maria Eduarda Moura Mendes, Rayane Oliveira Bezerra da Silva, Silvana de Fátima Ferreira da Silva, Romero Marcos Pedrosa Brandão Costa and Daniela de Araújo Viana Marques
Phycology 2025, 5(4), 82; https://doi.org/10.3390/phycology5040082 - 1 Dec 2025
Viewed by 605
Abstract
Due to the scarcity of sustainable inputs for photosynthetic microorganisms’ biotechnology, the search for natural substrates such as coconut water has gained prominence. This by-product is a substrate rich in macro- and micronutrients, as well as endogenous phytohormones that support microbial growth. In [...] Read more.
Due to the scarcity of sustainable inputs for photosynthetic microorganisms’ biotechnology, the search for natural substrates such as coconut water has gained prominence. This by-product is a substrate rich in macro- and micronutrients, as well as endogenous phytohormones that support microbial growth. In this context, this study aimed to use it as an alternative cultivation medium for Limnospira platensis (Gomont), formerly known as Arthrospira platensis, a high-value cyanobacterium. We evaluated growth parameters, phycocyanin concentration, purity, and biomass yield cultivated in coconut water and in SAG1x medium, a modified Zarrouk medium. Over 35 days of cultivation, both media efficiently supported cyanobacterial growth. In coconut water, the specific growth rate was 0.305 d−1, the maximum growth rate was 0.629 d−1, and the productivity was 0.256 g L−1 d−1. In SAG1x medium, the values obtained were 0.240 d−1, 0.676 d−1, and 0.218 g L−1 d−1, respectively. Phycocyanin obtained from cultivation in SAG1x medium presented food-grade purity (OD620/OD280 ratio > 0.7), while in coconut water, it was 0.6. The pigment concentration and yield in SAG1x (19.1 mg/L and 34.3%, respectively) also slightly exceeded those obtained with coconut water (14.3 mg/L and 25.5%, respectively). Despite this, the data reinforce the potential of coconut water as a viable and economically competitive alternative to conventional media for L. platensis production. Full article
(This article belongs to the Special Issue Development of Algal Biotechnology)
Show Figures

Graphical abstract

39 pages, 650 KB  
Review
Applications of Artificial Intelligence as a Prognostic Tool in the Management of Acute Aortic Syndrome and Aneurysm: A Comprehensive Review
by Cagri Ayhan, Marina Mekhaeil, Rita Channawi, Alp Eren Ozcan, Elif Akargul, Atakan Deger, Incilay Cayan, Amr Abdalla, Christopher Chan, Ronan Mahon, Dilara Ayhan, William Wijns, Sherif Sultan and Osama Soliman
J. Clin. Med. 2025, 14(23), 8420; https://doi.org/10.3390/jcm14238420 - 27 Nov 2025
Cited by 1 | Viewed by 901
Abstract
Acute Aortic Syndromes (AAS) and Thoracic Aortic Aneurysm (TAA) remain among the most fatal cardiovascular emergencies, with mortality rising by the hour if diagnosis and treatment are delayed. Despite advances in imaging and surgical techniques, current clinical decision-making still relies heavily on population-based [...] Read more.
Acute Aortic Syndromes (AAS) and Thoracic Aortic Aneurysm (TAA) remain among the most fatal cardiovascular emergencies, with mortality rising by the hour if diagnosis and treatment are delayed. Despite advances in imaging and surgical techniques, current clinical decision-making still relies heavily on population-based parameters such as maximum aortic diameter, which fail to capture the biological and biomechanical complexity underlying these conditions. In today’s data-rich era, where vast clinical, imaging, and biomarker datasets are available, artificial intelligence (AI) has emerged as a powerful tool to process this complexity and enable precision risk prediction. To date, AI has been applied across multiple aspects of aortic disease management, with mortality prediction being the most widely investigated. Machine learning (ML) and deep learning (DL) models—particularly ensemble algorithms and biomarker-integrated approaches—have frequently outperformed traditional clinical tools such as EuroSCORE II and GERAADA. These models provide superior discrimination and interpretability, identifying key drivers of adverse outcomes. However, many studies remain limited by small sample sizes, single-center design, and lack of external validation, all of which constrain their generalizability. Despite these challenges, the consistently strong results highlight AI’s growing potential to complement and enhance existing prognostic frameworks. Beyond mortality, AI has expanded the scope of analysis to the structural and biomechanical behavior of the aorta itself. Through integration of imaging, radiomic, and computational modeling data, AI now allows virtual representation of aortic mechanics—enabling prediction of aneurysm growth rate, remodeling after repair, and even rupture risk and location. Such models bridge data-driven learning with mechanistic understanding, creating an opportunity to simulate disease progression in a virtual environment. In addition to mortality and growth-related outcomes, morbidity prediction has become another area of rapid development. AI models have been used to assess a wide range of postoperative complications, including stroke, gastrointestinal bleeding, prolonged hospitalization, reintubation, and paraplegia—showing that predictive applications are limited only by clinical imagination. Among these, acute kidney injury (AKI) has received particular attention, with several robust studies demonstrating high accuracy in early identification of patients at risk for severe renal complications. To translate these promising results into real-world clinical use, future work must focus on large multicenter collaborations, external validation, and adherence to transparent reporting standards such as TRIPOD-AI. Integration of explainable AI frameworks and dynamic, patient-specific modeling—potentially through the development of digital twins—will be essential for achieving real-time clinical applicability. Ultimately, AI holds the potential not only to refine risk prediction but to fundamentally transform how we understand, monitor, and manage patients with AAS and TAA. Full article
(This article belongs to the Special Issue The Use of Artificial Intelligence in Cardiovascular Medicine)
Show Figures

Figure 1

26 pages, 1977 KB  
Article
Sustainable Nutrient Recovery from Wastewater Mixture to Optimize Microalgal Lipid Production: A Vision of Zero Water Footprint
by Marco Alberto Mamani Condori, Danae Colque Ollachica, Abel Roberto Ccapa Loncone, José C. M. Pires and Ana María Gagneten
Bioengineering 2025, 12(12), 1291; https://doi.org/10.3390/bioengineering12121291 - 24 Nov 2025
Viewed by 765
Abstract
In this study, two native microalgae, Chlorella sp. MC18 (CH) and Scenedesmus sp. MJ23-R (SC) were cultivated in bubble column photobioreactors for wastewater treatment. Domestic wastewater (DWW) was used as the main culture medium, alone (100%) and blended (10%) with vinasse, whey, or [...] Read more.
In this study, two native microalgae, Chlorella sp. MC18 (CH) and Scenedesmus sp. MJ23-R (SC) were cultivated in bubble column photobioreactors for wastewater treatment. Domestic wastewater (DWW) was used as the main culture medium, alone (100%) and blended (10%) with vinasse, whey, or agro-food waste (AFW), respectively. Both species thrived in 100% DWW, achieving significantly high removal efficiencies for chemical oxygen demand, total nitrogen, and total phosphorus. Mineral removal exceeded 90% in all blended systems, highlighting the strong nutrient uptake capacity of both strains. The maximum specific growth rate (µmax) in 100% DWW was higher for SC than in standard BG11 medium, and supplementation with vinasse, whey, or AFW further increased µmax for both species. Blending DWW significantly enhanced microalgal biomass and lipid production compared to 100% DWW. Lipid production (max., 374 mg L−1), proximate lipid composition (max., 30.4%), and lipid productivity (max., 52.9 mg L−1 d−1) significantly increased in all supplemented cultures relative to DWW alone, demonstrating the potential of co-substrate supplementation to optimize microalgal cultivation. This study contributes to reducing the water footprint and fills a gap in the bioprocessing potential of algae-based systems, highlighting wastewater blending as a circular economy-aligned approach that supports sustainable bioprocesses and resource recovery. Full article
Show Figures

Figure 1

27 pages, 2609 KB  
Article
Hydroponic Thermal Regulation for Low-Energy Winter Strawberry Production in Mediterranean Coastal Infrastructures
by Helen Kalorizou, Paschalis Giannoulis, Athanasios Koulopoulos, Eleni Trigka, Efstathios Xanthopoulos, Eleni Iliopoulou, Athanasios Chatzikamaris and George Zervoudakis
Horticulturae 2025, 11(11), 1383; https://doi.org/10.3390/horticulturae11111383 - 16 Nov 2025
Viewed by 1528
Abstract
The implementation of immersion heaters in hydroponic strawberry systems offers substantial potential for reducing glasshouse operational costs. This 115-day study investigated the effects of nutrient solution temperature on strawberry physiological and biochemical parameters. Temperature significantly influenced anthocyanin accumulation, with a maximum increase (135.49%) [...] Read more.
The implementation of immersion heaters in hydroponic strawberry systems offers substantial potential for reducing glasshouse operational costs. This 115-day study investigated the effects of nutrient solution temperature on strawberry physiological and biochemical parameters. Temperature significantly influenced anthocyanin accumulation, with a maximum increase (135.49%) at 20 °C. Total chlorophyll content and photosystem II efficiency (Fv/Fm) exhibited temperature-dependent variations, while the 20 °C treatment served as the optimal baseline. Plants maintained at 20 °C demonstrated superior growth performance, achieving 64.79% higher fresh shoot weight and 50.29% greater total dry biomass compared to controls. Fruit quality parameters remained largely temperature-independent, except at 15 °C, which produced fruits with elevated sugar content but reduced acidity and dimensions. Conversely, the 20 °C treatment yielded the maximum fruit weight. Photosynthetic rates peaked during the experimental period, with plants at 20 °C exhibiting optimal recovery capacity. Both transpiration and stomatal conductance displayed treatment-specific patterns, with 20 °C maintaining superior physiological responses despite stress periods. These findings establish that maintaining nutrient solution temperature at 20 °C optimizes strawberry physiology, growth, and fruit quality, validating temperature regulation as an effective practice for hydroponic strawberry production systems. Full article
Show Figures

Graphical abstract

20 pages, 2421 KB  
Article
PLGA Nanoparticles Double-Decorated with a TAT Peptide and Folic Acid to Target Staphylococcus aureus
by Stéphanie Andrade, Maria J. Ramalho, João Santos, Sílvio Santos, Luís D. R. Melo, Nuno Guimarães, Maria P. Ferraz, Nuno F. Azevedo, Maria C. Pereira and Joana A. Loureiro
Int. J. Mol. Sci. 2025, 26(21), 10666; https://doi.org/10.3390/ijms262110666 - 1 Nov 2025
Viewed by 745
Abstract
Treating bacterial infections has become increasingly difficult due to the rise in antibiotic-resistant bacterial strains. Strategies involving the targeted delivery of antibiotics have been proposed to minimize the administered antibiotic doses. This study aims to develop the first double-modified nanovehicle capable of increasing [...] Read more.
Treating bacterial infections has become increasingly difficult due to the rise in antibiotic-resistant bacterial strains. Strategies involving the targeted delivery of antibiotics have been proposed to minimize the administered antibiotic doses. This study aims to develop the first double-modified nanovehicle capable of increasing bacterial membranes’ permeability while specifically targeting Staphylococcus aureus, one of the foremost pathogens responsible for global mortality rates. Thus, polymeric NPs composed of poly(lactic-co-glycolic acid) (PLGA) were produced, and their surface was modified with TAT peptide to increase the membranes’ permeability and folic acid (FA) to direct the NPs to S. aureus. The nanosystem showed spherical morphology with sizes of 174 ± 4 nm, a monodisperse population (polydispersity index of 0.08 ± 0.02), and a zeta potential of −2.5 ± 0.1 mV. The NPs remained stable for up to four months during storage. Fluorescence-based flow cytometry analysis proved that the double modification of PLGA NPs increased the interaction of the NPs with S. aureus, with fluorescence increasing from 71 ± 3% to 87 ± 1%. The nanosystem slightly affected the growth curve of S. aureus by extending both the lag time (from 2.5 ± 0.2 to 2.88 ± 0.4 h) and the exponential phase, as evidenced by an increase in the half-maximum growth time (from 3.9 ± 0.2 to 4.4 ± 0.1 h). Furthermore, the nanocarrier showed no toxicity for human dermal fibroblast cells, maintaining a 100% cell viability at the highest concentration tested (100 µM). Therefore, the proposed FA/TAT-functionalized nanocarrier presented promising features to be successfully used as a delivery vehicle of antimicrobials to fight S. aureus. Full article
(This article belongs to the Special Issue Recent Advances in Nanomedicines Against Bacterial Infections)
Show Figures

Graphical abstract

21 pages, 1405 KB  
Review
TiO2 Nanoparticles in Soil: Adsorption, Transformation, and Environmental Risks
by Hongyu Liu, Yaqin Wang, Xicheng Wang, Rui Liu and Peng Zhang
Powders 2025, 4(4), 28; https://doi.org/10.3390/powders4040028 - 23 Oct 2025
Viewed by 949
Abstract
Titanium-containing nanoparticles have emerged as materials of significant technological importance due to their multifunctional properties and excellent performance. With their expanding applications, the amount of TiO2 nanoparticles (TNPs) being released into the soil environment has increased significantly. This review addresses the gap [...] Read more.
Titanium-containing nanoparticles have emerged as materials of significant technological importance due to their multifunctional properties and excellent performance. With their expanding applications, the amount of TiO2 nanoparticles (TNPs) being released into the soil environment has increased significantly. This review addresses the gap in current research, which has predominantly focused on the environmental behavior of TNPs in aquatic systems while lacking systematic integration of the synergetic mechanism of adsorption–transformation–ecological effects in soil systems and its guiding value for practical applications. It deeply reveals the interaction mechanisms between TNPs and environmental pollutants. TNPs exhibit outstanding adsorption performance towards environmental pollutants such as heavy metals and organic compounds. Specifically, the maximum adsorption capacities of titanate nanowhiskers for the heavy metal ions Cu(II), Pb(II), and Cr(III) are 143.9 mg·g−1, 384.6 mg·g−1, and 190.8 mg·g−1, respectively. Additionally, 1-hydroxydinaphthoic acid surface-modified nano-TiO2 exhibits an adsorption rate of up to 98.6% for p-nitrophenol, with an enrichment factor of 50-fold. The transformation process of TNPs after pollutant adsorption profoundly affects their environmental fate, among which pH is a critical controlling factor: when the environmental pH is close to the point of zero charge (pHpzc = 5.88), TNPs exhibit significant aggregation behavior and macroscopic sedimentation. Meanwhile, factors such as soil solution chemistry, dissolved organic matter, and microbial activities collectively regulate the aggregation, aging, and chemical/biological transformation of TNPs. In the soil ecosystem, TNPs can exert both beneficial and detrimental impacts on various soil organisms, including bacteria, plants, nematodes, and earthworms. The beneficial effects include alleviating heavy metal stress, serving as a nano-fertilizer to supply titanium elements, and acting as a nano-pesticide to enhance plants’ antiviral capabilities. However, excessively high concentrations of TiO2 can stimulate plants, induce oxidative stress damage, and impair plant growth. This review also highlights promising research directions for future studies, including the development of safer-by-design TNPs, strategic surface modifications to enhance functionality and reduce risks, and a deeper understanding of TNP–soil microbiome interactions. These avenues are crucial for guiding the sustainable application of TNPs in soil environments. Full article
Show Figures

Figure 1

14 pages, 5622 KB  
Article
Numerical Simulation of Shallow Coalbed Methane Based on Geology–Engineering Integration
by Bin Pang, Tengze Ge, Jianjun Wu, Qian Gong, Shangui Luo, Yinhua Liu and Decai Yin
Processes 2025, 13(11), 3381; https://doi.org/10.3390/pr13113381 - 22 Oct 2025
Viewed by 541
Abstract
Coalbed-methane (CBM) extraction involves complex processes such as desorption, diffusion, and seepage, significantly increasing the difficulty of numerical simulation. To enable efficient CBM development, this study establishes an integrated simulation workflow for CBM, encompassing geological modeling, geomechanical modeling, hydraulic fracture simulation, and production [...] Read more.
Coalbed-methane (CBM) extraction involves complex processes such as desorption, diffusion, and seepage, significantly increasing the difficulty of numerical simulation. To enable efficient CBM development, this study establishes an integrated simulation workflow for CBM, encompassing geological modeling, geomechanical modeling, hydraulic fracture simulation, and production dynamic simulation. Specifically, the unconventional fracture model (UFM), integrated within the Petrel commercial software, is applied for fracture simulation, with an unstructured grid constructing the CBM production model. Subsequently, based on the case study of well pad A in the Daning–Jixian block, the effects of well spacing and hydraulic fractures on gas production were analyzed. The results indicate that the significant stress difference between the coal seam and the top/bottom strata constrains fracture height, with simulated hydraulic fractures ranging from 169.79 to 215.84 m in length, 8.91 to 10.45 m in height, and 121.92 to 248.71 mD·m in conductivity. Due to the low matrix permeability, pressure drop and desorption primarily occur in the stimulated reservoir volume (SRV) region. The calibrated model predicts a 10-year cumulative gas production of 616 × 104 m3 for the well group, with a recovery rate of 10.17%, indicating significant potential for enhancing recovery rates. Maximum cumulative gas production occurs when well spacing slightly exceeds fracture length. Beyond 200 mD·m, fracture conductivity has diminishing returns on production. Fracture length increases from 100 to 250 m show near-linear growth in production, but further increases yield smaller gains. These findings provide valuable insights for evaluating development performance and exploiting remaining gas resources for CBM. Full article
(This article belongs to the Special Issue Advances in Enhancing Unconventional Oil/Gas Recovery, 2nd Edition)
Show Figures

Figure 1

Back to TopTop