Sign in to use this feature.

Years

Between: -

Subjects

remove_circle_outline
remove_circle_outline
remove_circle_outline
remove_circle_outline
remove_circle_outline
remove_circle_outline
remove_circle_outline
remove_circle_outline
remove_circle_outline

Journals

Article Types

Countries / Regions

remove_circle_outline
remove_circle_outline
remove_circle_outline
remove_circle_outline
remove_circle_outline

Search Results (268)

Search Parameters:
Keywords = maximum power point (MPP)

Order results
Result details
Results per page
Select all
Export citation of selected articles as:
23 pages, 3607 KB  
Article
Dynamic Average-Value Modeling and Stability of Shipboard PV–Battery Converters with Curve-Scanning Global MPPT
by Andrei Darius Deliu, Emil Cazacu, Florențiu Deliu, Ciprian Popa, Nicolae Silviu Popa and Mircea Preda
Electricity 2025, 6(4), 66; https://doi.org/10.3390/electricity6040066 - 12 Nov 2025
Viewed by 85
Abstract
Maritime power systems must reduce fuel use and emissions while improving resilience. We study a shipboard PV–battery subsystem interfaced with a DC–DC converter running maximum power point tracking (MPPT) and curve-scanning GMPPT to manage partial shading. Dynamic average-value models capture irradiance steps and [...] Read more.
Maritime power systems must reduce fuel use and emissions while improving resilience. We study a shipboard PV–battery subsystem interfaced with a DC–DC converter running maximum power point tracking (MPPT) and curve-scanning GMPPT to manage partial shading. Dynamic average-value models capture irradiance steps and show GMPPT sustains operation near the global MPP without local peak trapping. We compare converter options—conventional single-port stages, high-gain bidirectional dual-PWM converters, and three-level three-port topologies—provide sizing rules for passives, and note soft-switching in order to limit loss. A Fourier framework links the switching ripple to power quality metrics: as irradiance falls, the current THD rises while the PCC voltage distortion remains constant on a stiff bus. We make the loss relation explicit via Irms2R scaling with THDi and propose a simple reactive power policy, assigning VAR ranges to active power bins. For AC-coupled cases, a hybrid EMT plus transient stability workflow estimates ride-through margins and critical clearing times, providing a practical path from modeling to monitoring. Full article
Show Figures

Figure 1

16 pages, 968 KB  
Article
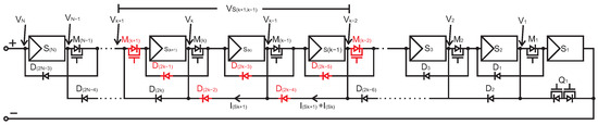
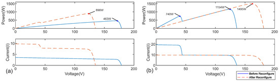
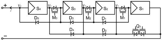
Real-Time Reconfiguration of PV Arrays and Control Strategy Using Minimum Number of Sensors and Switches
by Wing Kong Ng and Nesimi Ertugrul
Energies 2025, 18(22), 5866; https://doi.org/10.3390/en18225866 - 7 Nov 2025
Viewed by 189
Abstract
This paper presents a reconfigurable switching circuit and control methodology for mitigating power losses in photovoltaic (PV) systems under partial shading. The proposed hardware uses a simplified network of power MOSFETs and diodes to enable dynamic reconfiguration between series and parallel connections, improving [...] Read more.
This paper presents a reconfigurable switching circuit and control methodology for mitigating power losses in photovoltaic (PV) systems under partial shading. The proposed hardware uses a simplified network of power MOSFETs and diodes to enable dynamic reconfiguration between series and parallel connections, improving energy yield with minimal conduction losses. Unlike conventional approaches that require irradiance measurements or extensive sensing, the control algorithm uses only per-module voltage and a single-current measurement to detect shading events in real time. A novel switching strategy reduces the number of actively controlled transistors, simplifying the control circuitry and reducing power dissipation. Both simulation and experimental results validate the method. Simulations of a 4-module PV system showed maximum power point (MPP) increases from 900 W to over 1100 W and from 460 W to 900 W, with full recovery to 1500 W after shading removal. Experimental verification on a 3-module setup under controlled shading yielded similar improvements: MPP increased from 38.4 W to 45.6 W and from 38.4 W to 45.8 W. These results demonstrate rapid adaptability, effective mismatch loss reduction, and maximisation of available power, making the proposed design a practical and low-overhead solution for commercial PV systems with non-uniform irradiance. Full article
(This article belongs to the Special Issue Intelligent Control for Electrical Power and Energy System)
Show Figures

Figure 1

16 pages, 2711 KB  
Article
Study on the Passivation of Defect States in Wide-Bandgap Perovskite Solar Cells by the Dual Addition of KSCN and KCl
by Min Li, Zhaodong Peng, Xin Yao, Jie Huang and Dawei Zhang
Nanomaterials 2025, 15(20), 1602; https://doi.org/10.3390/nano15201602 - 21 Oct 2025
Viewed by 456
Abstract
Wide-bandgap (WBG) perovskite solar cells (PSCs) are critical for high-efficiency tandem photovoltaic devices, but their practical application is severely limited by phase separation and poor film quality. To address these challenges, this study proposes a dual-additive passivation strategy using potassium thiocyanate (KSCN) and [...] Read more.
Wide-bandgap (WBG) perovskite solar cells (PSCs) are critical for high-efficiency tandem photovoltaic devices, but their practical application is severely limited by phase separation and poor film quality. To address these challenges, this study proposes a dual-additive passivation strategy using potassium thiocyanate (KSCN) and potassium chloride (KCl) to synergistically optimize the crystallinity and defect state of WBG perovskite films. The selection of KSCN/KCl is based on their complementary functionalities: K+ ions occupy lattice vacancies to suppress ion migration, Cl ions promote oriented crystal growth, and SCN ions passivate surface defects via Lewis acid-base interactions. A series of KSCN/KCl concentrations (relative to Pb) were tested, and the effects of dual additives on film properties and device performance were systematically characterized using scanning electron microscopy (SEM), X-ray diffraction (XRD), X-ray photoelectron spectroscopy (XPS), photoluminescence (PL), space-charge-limited current (SCLC), current-voltage (J-V), and external quantum efficiency (EQE) measurements. Results show that the dual additives significantly enhance film crystallinity (average grain size increased by 27.0% vs. control), reduce surface roughness (from 86.50 nm to 24.06 nm), and passivate defects-suppressing non-radiative recombination and increasing electrical conductivity. For WBG PSCs, the champion device with KSCN (0.5 mol%) + KCl (1 mol%) exhibits a power conversion efficiency (PCE) of 16.85%, representing a 19.4% improvement over the control (14.11%), along with enhanced open-circuit voltage (Voc: +2.8%), short-circuit current density (Jsc: +6.7%), and fill factor (FF: +8.9%). Maximum power point (MPP) tracking confirms superior operational stability under illumination. This dual-inorganic-additive strategy provides a generalizable approach for the rational design of stable, high-efficiency WBG perovskite films. Full article
(This article belongs to the Section Solar Energy and Solar Cells)
Show Figures

Figure 1

22 pages, 3640 KB  
Article
Computational Intelligence-Based Modeling of UAV-Integrated PV Systems
by Mohammad Hosein Saeedinia, Shamsodin Taheri and Ana-Maria Cretu
Solar 2025, 5(4), 45; https://doi.org/10.3390/solar5040045 - 3 Oct 2025
Viewed by 427
Abstract
The optimal utilization of UAV-integrated photovoltaic (PV) systems demands accurate modeling that accounts for dynamic flight conditions. This paper introduces a novel computational intelligence-based framework that models the behavior of a moving PV system mounted on a UAV. A unique mathematical approach is [...] Read more.
The optimal utilization of UAV-integrated photovoltaic (PV) systems demands accurate modeling that accounts for dynamic flight conditions. This paper introduces a novel computational intelligence-based framework that models the behavior of a moving PV system mounted on a UAV. A unique mathematical approach is developed to translate UAV flight dynamics, specifically roll, pitch, and yaw, into the tilt and azimuth angles of the PV module. To adaptively estimate the diode ideality factor under varying conditions, the Grey Wolf Optimization (GWO) algorithm is employed, outperforming traditional methods like Particle Swarm Optimization (PSO). Using a one-year environmental dataset, multiple machine learning (ML) models are trained to predict maximum power point (MPP) parameters for a commercial PV panel. The best-performing model, Rational Quadratic Gaussian Process Regression (RQGPR), demonstrates high accuracy and low computational cost. Furthermore, the proposed ML-based model is experimentally integrated into an incremental conductance (IC) MPPT technique, forming a hybrid MPPT controller. Hardware and experimental validations confirm the model’s effectiveness in real-time MPP prediction and tracking, highlighting its potential for enhancing UAV endurance and energy efficiency. Full article
(This article belongs to the Special Issue Efficient and Reliable Solar Photovoltaic Systems: 2nd Edition)
Show Figures

Figure 1

25 pages, 8468 KB  
Article
Robust Backstepping Super-Twisting MPPT Controller for Photovoltaic Systems Under Dynamic Shading Conditions
by Kamran Ali, Shafaat Ullah and Eliseo Clementini
Energies 2025, 18(19), 5134; https://doi.org/10.3390/en18195134 - 26 Sep 2025
Cited by 1 | Viewed by 539
Abstract
In this research article, a fast and efficient hybrid Maximum Power Point Tracking (MPPT) control technique is proposed for photovoltaic (PV) systems. The method combines two phases—offline and online—to estimate the appropriate duty cycle for operating the converter at the maximum power point [...] Read more.
In this research article, a fast and efficient hybrid Maximum Power Point Tracking (MPPT) control technique is proposed for photovoltaic (PV) systems. The method combines two phases—offline and online—to estimate the appropriate duty cycle for operating the converter at the maximum power point (MPP). In the offline phase, temperature and irradiance inputs are used to compute the real-time reference peak power voltage through an Adaptive Neuro-Fuzzy Inference System (ANFIS). This estimated reference is then utilized in the online phase, where the Robust Backstepping Super-Twisting (RBST) controller treats it as a set-point to generate the control signal and continuously adjust the converter’s duty cycle, driving the PV system to operate near the MPP. The proposed RBST control scheme offers a fast transient response, reduced rise and settling times, low tracking error, enhanced voltage stability, and quick adaptation to changing environmental conditions. The technique is tested in MATLAB/Simulink under three different scenarios: continuous variation in meteorological parameters, sudden step changes, and partial shading. To demonstrate the superiority of the RBST method, its performance is compared with classical backstepping and integral backstepping controllers. The results show that the RBST-based MPPT controller achieves the minimum rise time of 0.018s, the lowest squared error of 0.3015V, the minimum steady-state error of 0.29%, and the highest efficiency of 99.16%. Full article
(This article belongs to the Special Issue Experimental and Numerical Analysis of Photovoltaic Inverters)
Show Figures

Figure 1

26 pages, 5274 KB  
Article
Hybrid Artificial Neural Network and Perturb & Observe Strategy for Adaptive Maximum Power Point Tracking in Partially Shaded Photovoltaic Systems
by Braulio Cruz, Luis Ricalde, Roberto Quintal-Palomo, Ali Bassam and Roberto I. Rico-Camacho
Energies 2025, 18(19), 5053; https://doi.org/10.3390/en18195053 - 23 Sep 2025
Viewed by 467
Abstract
Partial shading in photovoltaic (PV) systems causes multiple local maximum power points (LMPPs), complicating tracking and reducing energy efficiency. Conventional maximum power point tracking (MPPT) methods, such as Perturb and Observe (P&O), often fail because of oscillations and entrapment at local maxima. To [...] Read more.
Partial shading in photovoltaic (PV) systems causes multiple local maximum power points (LMPPs), complicating tracking and reducing energy efficiency. Conventional maximum power point tracking (MPPT) methods, such as Perturb and Observe (P&O), often fail because of oscillations and entrapment at local maxima. To address these shortcomings, this study proposes a hybrid MPPT strategy combining artificial neural networks (ANNs) and the P&O algorithm to enhance tracking accuracy under partial shading while maintaining implementation simplicity. The research employs a detailed PV cell model in MATLAB/Simulink (2019b) that incorporates dynamic shading to simulate non-uniform irradiance. Within this framework, an ANN trained with the Levenberg–Marquardt algorithm predicts global maximum power points (GMPPs) from voltage and irradiance data, guiding and accelerating subsequent P&O operation. In the hybrid system, the ANN predicts the maximum power points (MPPs) to provide initial estimates, after which the P&O fine-tunes the duty cycle optimization in a DC-DC converter. The proposed hybrid ANN–P&O MPPT method achieved relative improvements of 15.6–49% in tracking efficiency, 16–20% in stability, and 14–54% in convergence speed compared with standalone P&O, depending on the irradiance scenario. This research highlights the potential of ANN-enhanced MPPT systems to maximize energy harvest in PV systems facing shading variability. Full article
Show Figures

Figure 1

32 pages, 1924 KB  
Review
A Review of Mamdani, Takagi–Sugeno, and Type-2 Fuzzy Controllers for MPPT and Power Management in Photovoltaic Systems
by Rodrigo Vidal-Martínez, José R. García-Martínez, Rafael Rojas-Galván, José M. Álvarez-Alvarado, Mario Gozález-Lee and Juvenal Rodríguez-Reséndiz
Technologies 2025, 13(9), 422; https://doi.org/10.3390/technologies13090422 - 20 Sep 2025
Cited by 1 | Viewed by 1821
Abstract
This review presents a synthesis of fuzzy logic-based (FL) controllers applied to photovoltaic (PV) systems over the last decade, with a specific focus on maximum power point tracking (MPPT) and power management. These subsystems are critical for improving the efficiency of PV energy [...] Read more.
This review presents a synthesis of fuzzy logic-based (FL) controllers applied to photovoltaic (PV) systems over the last decade, with a specific focus on maximum power point tracking (MPPT) and power management. These subsystems are critical for improving the efficiency of PV energy conversion, as they directly address the nonlinear, time-varying, and uncertain behavior of solar generation under dynamic environmental conditions. FL-based control has proven to be a powerful and versatile tool for enhancing MPPT accuracy, inverter performance, and hybrid energy management strategies. The analysis concentrates on three main categories, namely, Mamdani, Takagi–Sugeno (T-S), and Type-2, highlighting their architectures, operational characteristics, and application domains. Mamdani controllers remain the most widely adopted due to their simplicity, interpretability, and effectiveness in scenarios with moderate response time requirements. T-S controllers excel in real-time high-frequency operations by eliminating the defuzzification stage and approximating system nonlinearities through local linear models, achieving rapid convergence to the maximum power point (MPP) and improved power quality in grid-connected PV systems. Type-2 fuzzy controllers represent the most advanced evolution, incorporating footprints of uncertainty (FOU) to handle high variability, sensor noise, and environmental disturbances, thereby strengthening MPPT accuracy under challenging conditions. This review also examines the integration of metaheuristic algorithms for automated tuning of membership functions and hybrid architectures that combine fuzzy control with artificial intelligence (AI) techniques. A bibliometric perspective reveals a growing research interest in T-S and Type-2 approaches. Quantitatively, Mamdani controllers account for 54.20% of publications, T-S controllers for 26.72%, and Type-2 fuzzy controllers for 19.08%, reflecting the balance between interpretability, computational performance, and robustness to uncertainty in PV-based MPPT and power management applications. Full article
Show Figures

Graphical abstract

23 pages, 8222 KB  
Article
Development of a Global Maximum Power Point Tracker for Photovoltaic Module Arrays Based on the Idols Algorithm
by Kuei-Hsiang Chao and Yi-Chan Kuo
Mathematics 2025, 13(18), 2999; https://doi.org/10.3390/math13182999 - 17 Sep 2025
Viewed by 430
Abstract
The main objective of this paper is to develop a maximum power point tracker (MPPT) for a photovoltaic module array (PVMA) under conditions of partial shading and sudden changes in solar irradiance. PVMAs exhibit nonlinear characteristics with respect to temperature and solar irradiance [...] Read more.
The main objective of this paper is to develop a maximum power point tracker (MPPT) for a photovoltaic module array (PVMA) under conditions of partial shading and sudden changes in solar irradiance. PVMAs exhibit nonlinear characteristics with respect to temperature and solar irradiance conditions. Therefore, when some modules in the array are shaded or when there is a sudden change in solar irradiance, the maximum power point (MPP) of the array will also change, and the power–voltage (P-V) characteristic curve may exhibit multiple peaks. Under such conditions, if the tracking algorithm employs a fixed step size, the time required to reach the MPP may be significantly prolonged, potentially causing the tracker to converge on a local maximum power point (LMPP). To address the issues mentioned above, this paper proposes a novel MPPT technique based on the nature-inspired idols algorithm (IA). The technique allows the promotion value (PM) to be adjusted through the anti-fans weight (afw) in the iteration formula, thereby achieving global maximum power point (GMPP) tracking for PVMAs. To verify the effectiveness of the proposed algorithm, a model of a 4-series–3-parallel PVMA was first established using MATLAB (2024b version) software under both non-shading and partial shading conditions. The voltage and current of the PVMAs were fed back, and the IA was then applied for GMPP tracking. The simulation results demonstrate that the IA proposed in this study outperforms existing MPPT techniques, such as particle swarm optimization (PSO), cat swarm optimization (CSO), and the bat algorithm (BA), in terms of tracking speed, dynamic response, and steady-state performance, especially when the array is subjected to varying shading ratios and sudden changes in solar irradiance. Full article
(This article belongs to the Special Issue Evolutionary Algorithms and Applications)
Show Figures

Figure 1

19 pages, 3868 KB  
Article
Experimental Determination of the Power Coefficient and Energy-Efficient Operating Zone for a 2.5 MW Wind Turbine Under High-Wind Conditions
by Sorin Musuroi, Ciprian Sorandaru, Samuel Ciucurita and Cristina-Lavinia Milos
Energies 2025, 18(18), 4912; https://doi.org/10.3390/en18184912 - 16 Sep 2025
Viewed by 711
Abstract
This study investigates the behavior of large-scale wind turbines operating under high wind speed conditions. A particular emphasis is placed on power output limitations and the dynamic adjustment of rotor blade pitch angles to ensure system stability and prevent structural or operational damage. [...] Read more.
This study investigates the behavior of large-scale wind turbines operating under high wind speed conditions. A particular emphasis is placed on power output limitations and the dynamic adjustment of rotor blade pitch angles to ensure system stability and prevent structural or operational damage. The novelty of this work lies in integrating real operational data with simplified empirical models, CP(ω) and PWT(β, V), to identify an energy-efficient operating zone that minimizes curtailment losses. Using experimental data from a 2.5 MW wind turbine located in the Dobrogea region of Romania, the power curves and mechanical behavior under variable pitch control were analyzed. At a wind speed of 16.5 m/s, the theoretical available power exceeded 12 MW, while the measured output was curtailed to 2.52 MW, corresponding to an ≈80% loss due to pitch regulation. The recalculated power coefficient CP decreased from ≈0.48 at V = 10 m/s to ≈0.28 at V = 16.5 m/s. Polynomial fitting achieved R2 = 0.982 and RMSE = 0.014, ensuring accurate representation of experimental data. Results demonstrate significant losses in extractable wind power when the turbine is operated in a curtailed mode due to pitch regulation. Strategies for maintaining maximum power point (MPP) operation are discussed, along with potential implications of coupling turbines with energy storage systems to reduce curtailment effects. The findings contribute to improved wind turbine control strategies in variable and extreme wind environments. The theoretical models developed in this study were validated using real-world data recorded from a GEWE-B2.5-100 wind turbine located in Dobrogea, Romania. Full article
(This article belongs to the Section A3: Wind, Wave and Tidal Energy)
Show Figures

Figure 1

18 pages, 2507 KB  
Article
A Robust MPPT Algorithm for PV Systems Using Advanced Hill Climbing and Simulated Annealing Techniques
by Bader N. Alajmi, Nabil A. Ahmed, Ibrahim Abdelsalam and Mostafa I. Marei
Electronics 2025, 14(18), 3644; https://doi.org/10.3390/electronics14183644 - 15 Sep 2025
Viewed by 815
Abstract
A newly developed hybrid maximum power point tracker (MPPT) utilizes a modified simulated annealing (SA) algorithm in conjunction with an adaptive hill climbing (HC) technique to optimize the extraction of the maximum power point (MPP) from photovoltaic (PV) systems. This innovative MPPT improves [...] Read more.
A newly developed hybrid maximum power point tracker (MPPT) utilizes a modified simulated annealing (SA) algorithm in conjunction with an adaptive hill climbing (HC) technique to optimize the extraction of the maximum power point (MPP) from photovoltaic (PV) systems. This innovative MPPT improves the ability to harvest maximum power from the PV system, particularly under rapidly fluctuating weather conditions and in situations of partial shading. The controller combines the rapid local search abilities of HC with the global optimization advantages of SA, which has been modified to retain and retrieve the maximum power achieved, thus ensuring the extraction of the global maximum. Furthermore, an adaptive HC algorithm is implemented with a variable step size adjustment, which accelerates convergence and reduces steady-state oscillations. Additionally, an offline SA algorithm is utilized to fine-tune the essential parameters of the proposed controller, including the maximum and minimum step sizes for duty cycle adjustments, initial temperature, and cooling rate. Simulations performed in Matlab/Simulink, along with experimental validation using Imperix-Opal-RT, confirm the effectiveness and robustness of the proposed controller. In the scenarios that were tested, the suggested HC–SA reached the global maximum power point (GMPP) of approximately 600 W in about 0.05 s, whereas the traditional HC stabilized at a local maximum close to 450 W, and the fuzzy-logic MPPT attained the GMPP at a slower rate, taking about 0.2 s, with a pronounced transient dip before settling with a small steady-state ripple. These findings emphasize that, under the operating conditions examined, the proposed method reliably demonstrates quicker convergence, enhanced tracking accuracy, and greater robustness compared with the other MPPT techniques. Full article
(This article belongs to the Section Power Electronics)
Show Figures

Figure 1

28 pages, 5869 KB  
Article
Comparison of Classical and Artificial Intelligence Algorithms to the Optimization of Photovoltaic Panels Using MPPT
by João T. Sousa and Ramiro S. Barbosa
Algorithms 2025, 18(8), 493; https://doi.org/10.3390/a18080493 - 7 Aug 2025
Cited by 1 | Viewed by 848
Abstract
This work investigates the application of artificial intelligence techniques for optimizing photovoltaic systems using maximum power point tracking (MPPT) algorithms. Simulation models were developed in MATLAB/Simulink (Version 2024), incorporating conventional and intelligent control strategies such as fuzzy logic, genetic algorithms, neural networks, and [...] Read more.
This work investigates the application of artificial intelligence techniques for optimizing photovoltaic systems using maximum power point tracking (MPPT) algorithms. Simulation models were developed in MATLAB/Simulink (Version 2024), incorporating conventional and intelligent control strategies such as fuzzy logic, genetic algorithms, neural networks, and Deep Reinforcement Learning. A DC/DC buck converter was designed and tested under various irradiance and temperature profiles, including scenarios with partial shading conditions. The performance of the implemented MPPT algorithms was evaluated using such metrics as Mean Absolute Error (MAE), Integral Absolute Error (IAE), mean squared error (MSE), Integral Squared Error (ISE), efficiency, and convergence time. The results highlight that AI-based methods, particularly neural networks and Deep Q-Network agents, outperform traditional approaches, especially in non-uniform operating conditions. These findings demonstrate the potential of intelligent controllers to enhance the energy harvesting capability of photovoltaic systems. Full article
(This article belongs to the Special Issue Algorithmic Approaches to Control Theory and System Modeling)
Show Figures

Figure 1

22 pages, 1670 KB  
Article
The Behavior of Wind Turbines Equipped with Induction Generators and Stator Converters Under Significant Variations in Wind Speed
by Cristian Paul Chioncel, Gelu-Ovidiu Tirian and Elisabeta Spunei
Appl. Sci. 2025, 15(14), 7700; https://doi.org/10.3390/app15147700 - 9 Jul 2025
Cited by 1 | Viewed by 707
Abstract
This study investigates the performance of medium-power wind turbines (within kilowatt range) in response to substantial fluctuations in wind speed. The wind turbines utilize induction generators that have a short-circuited rotor and are controlled by a power converter within the stator circuit. This [...] Read more.
This study investigates the performance of medium-power wind turbines (within kilowatt range) in response to substantial fluctuations in wind speed. The wind turbines utilize induction generators that have a short-circuited rotor and are controlled by a power converter within the stator circuit. This configuration facilitates the adjustment of the stator frequency, thereby allowing the desired rotational speed to be achieved and guaranteeing that the turbine operates at the maximum power point (MPP). Specific mathematical models for the turbine and generator have been developed using technical data from an operational wind turbine. The study demonstrated that utilizing a power converter within the stator circuit enhances the turbine’s operation at its maximum power point. A crucial aspect of effective MPP operation is the accurate determination of the relationship between wind speed and the corresponding optimal angular mechanical speed. Precise understanding and implementation of the interdependence among the primary generator parameters—namely power, frequency, current, and power factor—in relation to wind speed is essential for maximizing power generation and achieving grid stability for wind turbines operating in variable wind speed. Full article
Show Figures

Figure 1

40 pages, 3694 KB  
Article
AI-Enhanced MPPT Control for Grid-Connected Photovoltaic Systems Using ANFIS-PSO Optimization
by Mahmood Yaseen Mohammed Aldulaimi and Mesut Çevik
Electronics 2025, 14(13), 2649; https://doi.org/10.3390/electronics14132649 - 30 Jun 2025
Cited by 2 | Viewed by 1737
Abstract
This paper presents an adaptive Maximum Power Point Tracking (MPPT) strategy for grid-connected photovoltaic (PV) systems that uses an Adaptive Neuro-Fuzzy Inference System (ANFIS) optimized by Particle Swarm Optimization (PSO) to enhance energy extraction efficiency under diverse environmental conditions. The proposed ANFIS-PSO-based MPPT [...] Read more.
This paper presents an adaptive Maximum Power Point Tracking (MPPT) strategy for grid-connected photovoltaic (PV) systems that uses an Adaptive Neuro-Fuzzy Inference System (ANFIS) optimized by Particle Swarm Optimization (PSO) to enhance energy extraction efficiency under diverse environmental conditions. The proposed ANFIS-PSO-based MPPT controller performs dynamic adjustment Pulse Width Modulation (PWM) switching to minimize Total Harmonic Distortion (THD); this will ensure rapid convergence to the maximum power point (MPP). Unlike conventional Perturb and Observe (P&O) and Incremental Conductance (INC) methods, which struggle with tracking delays and local maxima in partial shading scenarios, the proposed approach efficiently identifies the Global Maximum Power Point (GMPP), improving energy harvesting capabilities. Simulation results in MATLAB/Simulink R2023a demonstrate that under stable irradiance conditions (1000 W/m2, 25 °C), the controller was able to achieve an MPPT efficiency of 99.2%, with THD reduced to 2.1%, ensuring grid compliance with IEEE 519 standards. In dynamic irradiance conditions, where sunlight varies linearly between 200 W/m2 and 1000 W/m2, the controller maintains an MPPT efficiency of 98.7%, with a response time of less than 200 ms, outperforming traditional MPPT algorithms. In the partial shading case, the proposed method effectively avoids local power maxima and successfully tracks the Global Maximum Power Point (GMPP), resulting in a power output of 138 W. In contrast, conventional techniques such as P&O and INC typically fail to escape local maxima under similar conditions, leading to significantly lower power output, often falling well below the true GMPP. This performance disparity underscores the superior tracking capability of the proposed ANFIS-PSO approach in complex irradiance scenarios, where traditional algorithms exhibit substantial energy loss due to their limited global search behavior. The novelty of this work lies in the integration of ANFIS with PSO optimization, enabling an intelligent self-adaptive MPPT strategy that enhances both tracking speed and accuracy while maintaining low computational complexity. This hybrid approach ensures real-time adaptation to environmental fluctuations, making it an optimal solution for grid-connected PV systems requiring high power quality and stability. The proposed controller significantly improves energy harvesting efficiency, minimizes grid disturbances, and enhances overall system robustness, demonstrating its potential for next-generation smart PV systems. Full article
(This article belongs to the Special Issue AI Applications for Smart Grid)
Show Figures

Figure 1

23 pages, 10259 KB  
Article
A Real-Time Investigation of an Enhanced Variable Step PO MPPT Controller for Photovoltaic Systems Using dSPACE 1104 Board
by Abdelkhalek Chellakhi and Said El Beid
Energies 2025, 18(13), 3343; https://doi.org/10.3390/en18133343 - 26 Jun 2025
Viewed by 723
Abstract
This paper aims to maximize the performance of photovoltaic generators under varying atmospheric conditions by employing an improved variable-step current perturbation Perturb and Observe (IVSCP-PO) MPPT controller. The proposed approach overcomes the limitations of traditional controllers and significantly enhances tracking efficiency. The IVSCP-PO [...] Read more.
This paper aims to maximize the performance of photovoltaic generators under varying atmospheric conditions by employing an improved variable-step current perturbation Perturb and Observe (IVSCP-PO) MPPT controller. The proposed approach overcomes the limitations of traditional controllers and significantly enhances tracking efficiency. The IVSCP-PO controller locates the maximum power point (MPP) using current perturbation instead of voltage perturbation and employs a variable step iteration based on input variables such as power, voltage, and current for better adjustment of the boost converter’s duty ratio. Comprehensive simulations demonstrate the tracking effectiveness of the IVSCP-PO approach under varied and severe temperature and solar intensity conditions. The results indicate that the IVSCP-PO controller outperforms traditional and recently published methods by avoiding drift and oscillation and minimizing power loss. This translates to maximized static and dynamic tracking efficiencies, reaching 99.99% and 99.98%, respectively. Additionally, the IVSCP-PO controller boasts a record-breaking average tracking time of just 0.002 s, a substantial improvement over traditional and improved PO methods ranging from 0.036 to 0.6 s. To further validate these results, experiments were conducted using the dSPACE 1104 board, demonstrating the superior accuracy and effectiveness of the approach and providing a promising solution to optimize the performance of photovoltaic panels. Full article
Show Figures

Figure 1

32 pages, 8258 KB  
Article
Optimal Incremental Conductance-Based MPPT Control Methodology for a 100 KW Grid-Connected PV System Employing the RUNge Kutta Optimizer
by Kareem M. AboRas, Abdullah Hameed Alhazmi and Ashraf Ibrahim Megahed
Sustainability 2025, 17(13), 5841; https://doi.org/10.3390/su17135841 - 25 Jun 2025
Viewed by 1241
Abstract
Solar energy is a promising and sustainable green energy source, showing significant advancements in photovoltaic (PV) system deployment. To maximize PV efficiency, robust maximum power point tracking (MPPT) methods are essential, as the maximum power point (MPP) shifts with changing irradiance and temperature. [...] Read more.
Solar energy is a promising and sustainable green energy source, showing significant advancements in photovoltaic (PV) system deployment. To maximize PV efficiency, robust maximum power point tracking (MPPT) methods are essential, as the maximum power point (MPP) shifts with changing irradiance and temperature. This paper proposes a novel MPPT control strategy for a 100 kW grid-connected PV system, based on the incremental conductance (IC) method and enhanced by a cascaded Fractional Order Proportional–Integral (FOPI) and conventional Proportional–Integral (PI) controller. The controller parameters are optimally tuned using the recently introduced RUNge Kutta optimizer (RUN). MATLAB/Simulink simulations have been conducted on the 100 kW benchmark PV model integrated into a medium-voltage grid, with the objective of minimizing the integral square error (ISE) to improve efficiency. The performance of the proposed IC-MPPT-(FOPI-PI) controller has been benchmarked against standalone PI and FOPI controllers, and the RUN optimizer is here compared with recent metaheuristic algorithms, including the Gorilla Troops Optimizer (GTO) and the African Vultures Optimizer (AVO). The evaluation covers five different environmental scenarios, including step, ramp, and realistic irradiance and temperature profiles. The RUN-optimized controller achieved exceptional performance with 99.984% tracking efficiency, sub-millisecond rise time (0.0012 s), rapid settling (0.015 s), and minimal error (ISE: 16.781), demonstrating outstanding accuracy, speed, and robustness. Full article
(This article belongs to the Special Issue Sustainable Electrical Engineering and PV Microgrids)
Show Figures

Figure 1

Back to TopTop